Abstract
With the accumulation of synthetic aperture radar (SAR) altimetry data and advancements in retracking algorithms, the improved along-track spatial resolution and signal-to-noise ratio have significantly enhanced the availability and precision of sea surface height (SSH) measurements, particularly in challenging environments such as coastal areas, ocean currents, and polar regions. These improvements have refined the accuracy and reliability of mean sea surface (MSS) models, which in turn have enhanced the precision of mean dynamic topography (MDT) and geostrophic current models. However, in-depth research is required to quantify the specific contributions of SAR altimetry to these critical regions and their impacts on the MSS, MDT, and geostrophic currents. Given that DTU21MSS (Technical University of Denmark MSS 2021) incorporates a substantial amount of SAR altimetry data, this study utilized independent Sentinel-3A altimetric observations to evaluate the signal improvements of DTU21MSS compared with DTU15MSS, with a focus on its performance in polar, coastal, and current regions. In addition, a least-squares-based approach was employed to assess the impact of the improved MSS model on the deduced MDT and geostrophic current signals. The numerical results revealed that DTU21MSS achieved an accuracy improvement of ~8% within 20 km offshore compared with DTU15MSS. In the polar regions within 100 km offshore, DTU21MSS exhibited a maximum signal enhancement of ~0.1 m, with overall improvements of 10–20%. The DTU21MSS-derived MDT solution demonstrates better consistency with validation data, reducing the standard deviation of misfits from 0.058 m to 0.054 m. Signal enhancements of maximumly 0.1 m were observed in the polar regions and the Mediterranean/Red Sea. Furthermore, improvements in the MSS and its error information could directly enhance the deduced MDT models, highlighting its foundational role in precise oceanographic modeling.
1. Introduction
Accurate mean dynamic topography (MDT) information is of great significance for unifying terrestrial and marine benchmarks, studying ocean circulation, and monitoring global climate change, considering their physical relationships between the mean seas surface (MSS), geoid, and geostrophic currents [1,2,3,4]. In recent years, with the maturation and application of synthetic aperture radar (SAR) satellite altimetry and satellite gravity technologies, there has been a growing attention on MDT modeling in polar and coastal regions [5,6]. The spatial resolution of MDT in open ocean areas has now reached 0.125° with an accuracy of up to the centimeter level [7,8,9,10]. However, owing to data scarcity and lower data quality from satellite altimetry, there remain significant challenges in high-resolution and accurate MSS modeling in polar and coastal regions, and this consequently hinders the improvement of MDT and its associated geostrophic currents [11].
In open oceans, the MSS models derived from satellite altimetry have achieved a spatial resolution of ~1 arcminute [9,12,13,14]. In coastal areas, the accuracy and usability of low resolution mode (LRM) for conventional satellite altimetric data are significantly degraded due to severe interference from land, shallow water bathymetry, and ionospheric + tropospheric effects [15,16,17]. Additionally, the relatively low pulse repetition frequency (~2 kHz) and larger footprint (the diameter is roughly 14 km with a footprint of more than 100 km2) of conventional altimeters result in lower along-track resolution, making it challenging to obtain effective sampling in coastal areas. Furthermore, the low orbital inclination of most conventional radar altimeters (e.g., ±66° of Jason series) leads to data gaps over polar regions. Combined with the interference of sea ice and coastal land, this further undermines the accuracy of MSS models in these regions. However, the development of new retracking algorithms tailored for coastal areas has further enhanced the accuracy of traditional satellite altimeters in coastal and polar regions. These algorithms adopt different processing strategies based on varying topographic features and echo waveforms, enabling the removal of contaminated waveforms and the precise estimation of sea surface height. This effectively broadens the application scope of traditional altimetry [18,19,20].
The successful application of new-generation synthetic aperture radar (SAR) altimeters, such as CryoSat-2 and Sentinel-3A/B launched by the European Space Agency (ESA), has brought novel opportunities for sea surface height (SSH) monitoring and MSS modeling in coastal and polar regions [21,22,23,24,25,26]. The SAR altimeters operate with a pulse repetition frequency ranging from 10 to 20 kHz, enabling the retrieval of higher spatial resolution through beam sharpening and coherent accumulation. Currently, the unfocused SAR mode can improve the along-track spatial resolution to 300 m, with a significantly enhanced waveform signal-to-noise ratio compared to conventional altimeters. Also, the orbital inclination has increased, making these satellites cover a larger region of the Arctic Ocean (92° for Cryosat-2 and 98.65° for Sentinel-3A/B)—meaning that they cover up to 88°N and 81.35°N, respectively.
With the continuous deployment of SAR altimeter satellite constellations (e.g., CryoSat-2, Sentinel-3A/B, and Sentinel-6A, etc.), and the development of high-precision retracking algorithms, more MSS models have begun incorporating high-quality SAR and traditional altimeter data to improve modeling accuracy [8,13,14]. For instance, Andersen et al. (2023) released the latest DTU21MSS model (Danmarks Tekniske Universitet MSS 2021), which improved the modeling accuracy in coastal and polar regions. The DTU21MSS model has extensively integrated SAR altimetry data such as ~10 years of CryoSat-2 data, exhibiting significant improvements compared to its previous version (DTU15MSS) [27,28]. Simultaneously, the model introduces an improved retracking algorithm (two-pass retracker) to reprocess traditional radar altimeter data. This effectively suppresses the noise level of altimeter data in open ocean areas and enhances the data availability in coastal regions.
An initial assessment of the model quality of the recent DTU21MSS has been conducted by [27]. Additionally, Wu et al. (2022) employed optimal analysis and the least-squares (LS) method to compare their performance for MDT and current modeling in major ocean current regions such as the Kuroshio [29]. Despite the insights gained, a more rigorous and exhaustive investigation is imperative to fully assess the improvement of SAR and traditional altimetry data in the MSS, MDT, and geostrophic ocean currents. However, one of the largest sources of error in MDT modeling is signal leakage caused by spectral inconsistency between the MSS (2 km) and satellite-only GGM (70 km). Traditional spatial or spectral filtering algorithms not only result in the loss of detailed MDT detail signals but also fail to incorporate physical models or constraints [1,30,31,32,33]. To address this issue, it is crucial to carefully consider the error characteristics of the input data and develop error models to mitigate signal leakage and high-frequency noise. Becker et al. (2018) proposed a fusion algorithm that utilized error models to extract MDT signals from the MSS and GGM rigorously [32]. Building on this, Shi et al. (2020, 2022) developed a spectrally consistent algorithm (SCA) that accounts for the spectral and error characteristics of multi-source data and incorporates smoothing and constraint equations into the MDT modeling process [34,35]. Using least-squares (LS) adjustment and error propagation techniques, the MDT signals can be accurately reconstructed while avoiding the filtering procedure. As a result, it facilitates a deeper analysis of how improvements in MSS signals influence MDT modeling accuracy.
Owing to the advancement of these technologies, SAR altimetry has emerged as a key tool for enhancing the accuracy and reliability of the MSS in critical areas, such as polar, coastal, and current regions. More importantly, this will notably enhance MDT and geostrophic ocean current models, considering the physical connection between them. This study aims to comprehensively evaluate the latest DTU21MSS based on the independent SAR altimetry data and address the lack of research on how improvements in MSS performance affect MDT modeling accuracy, particularly in critical areas. The specific organization of this research is as follows: Section 2 details the study regions and input data; Section 3 briefly introduces the MDT modeling method that accounts for the SCA; Section 4 provides an in-depth analysis of the signal contribution of SAR and traditional altimetry data on the MSS, MDT, and geostrophic current signals; a discussion about the improvement of the latest DTU21MSS and its impact on MDT and current is conducted in Section 5; and finally, Section 6 presents the conclusions.
2. Data and Study Area
2.1. Study Area
The African–European region (0°–50°E, 50°S–75°N) was selected as the research area, as illustrated in the black box in Figure 1. The background of Figure 1a,b depict the DTU21MSS and the CNES-CLS22MDT (French National Centre Space and Satellite Data Collection and Localization 2022 Mean Dynamic Topography model, CLS22MDT), respectively [10,27]. It can be observed that the signal magnitude of MDT is ±2 m, compared to the larger MSS signals (up to ±50 m globally). Since the MDT is derived as the residual signal between the MSS and GGM, it is essential to carefully consider the error information of the input data and apply noise suppression during MDT modeling. The research area encompasses various representative ocean areas. The northern part of the study area falls within the Arctic, the central part comprises the Mediterranean and Red Sea regions, and the southern part includes the Agulhas Current off the coast of Africa [36,37,38]. These areas are denoted as the typical areas for specific analysis of the performance of the MSS, which are illustrated in the purple boxes in Figure 1a,b (i.e., the polar area, Mediterranean and Red Sea area, and the Agulhas Current area).
Figure 1.
(a) The DTU21MSS and (b) the CNES-CLS22MDT elevation. The black box outlines the study area, the purple boxes denote the typical subregions, and the green scatters denote the tide gauge stations (DTU21MSS: Mean Sea Surface from Danmarks Tekniske Universitet 2021. CNES-CLS22MDT: French National Centre Space and Satellite Data Collection and Localization 2022 Mean Dynamic Topography model).
Apart from the challenges of data gaps and interference encountered in polar regions, the study area encompassed semi-enclosed and narrow ocean areas such as the Baltic Sea, Mediterranean Sea, and Red Sea. Land contamination, intricate coastlines, and the confined spatial extent of these areas pose significant challenges to the accuracy of traditional altimetry data, resulting in a scarcity of effective altimetry data. The study area includes the Agulhas Current off the southern coast of Africa, one of the most active ocean currents worldwide. These typical study areas impose stringent demands on the accuracy of the MSS and MDT models. In addition, SAR altimetry data are abundant in this study area; e.g., CryoSat-2 operates in SAR mode in regions such as the Mediterranean, polar areas, and Agulhas Current. With continued operation and data collection from altimetry satellites equipped with SAR altimeters, in addition to advances in coastal retracking techniques, the accuracy of altimetric data is expected to improve, which could contribute to the enhancement of ocean dynamics models such as the MSS and MDT. Considering the complex ocean conditions in this region, it is advantageous to evaluate the accuracy of the MDT modeling results while enabling the inversion and analysis of the current signals.
2.2. MSS and GGM
Two different MSS models, i.e., DTU15MSS and DTU21MSS, were introduced for MDT reconstruction, and signal contribution evaluation [27,28]. These MSS models provided by the Technical University of Denmark incorporated ~20 years of altimeter data, with a global spatial resolution of 1′. Both MSS models incorporate conventional LRM radar altimeter data including TOPEX/Poseidon (T/P), Jason-1/2 (J1/J2), European Remote-Sensing Satellite-1/2 (ERS-1/2), and Geosat Follow-On (GFO). Notably, DTU15MSS incorporates about five years of Cryosat-2 SAR altimetric data from 2010 to 2014, whereas DTU21MSS includes 9 years of Cryosat-2 data from 2010 to 2019. This difference in the time span enables a comparative analysis of the modeling impact of the SAR altimetry data. It is notable that the reference period for both MSS models is 1993–2012, and the reference system is WGS84. In addition, the DTU21MSS model incorporated a two-pass retracker to reprocess traditional radar altimetry data, thereby reducing noise. This improvement has the potential to enhance signal accuracy, particularly in open ocean regions [28]. However, the DTU21MSS did not incorporate Sentinel-3A/B data for modeling, which presents an opportunity to validate the DTU21MSS model using SAR altimetry data.
GO_CONS_GCF_2_DIR_R6 (DIR6) is the latest released GGM by the European Space Agency (ESA), derived using the direct solution approach and exclusively based on satellite gravity data from the GRACE mission (Gravity Recovery and Climate Experiment) and GOCE mission (Gravity Field and Ocean Circulation Explorer) [39,40,41]. As it utilizes satellite-only gravity data, the spatial resolution of DIR6 is limited to ~70 km (degree/order 300) [42]. Despite this, it remains the most accurate model among those satellite-only GGMs [43]. Therefore, the DIR6 model was selected for MDT modeling in this study. Notably, the reference datum of the DTU21MSS, DTU15MSS, and DIR6 models were corrected to the mean tide system and the WGS84 ellipsoid. Additional details about the MSS and GGM datasets are provided in Table 1.
Table 1.
The summary of the models used for the mean dynamic topography reconstruction.
2.3. Validation Data
2.3.1. Sentinel-3A Altimetric Data
Launched successfully in 2016, Sentinel-3A is a new-generation satellite altimeter equipped with a dual-frequency (Ku and C-band) SAR altimeter and a near-polar, sun-synchronous orbit (orbit inclination 98.65°) [44]. Benefiting from the SAR mode, it achieves an along-track spatial resolution of 300 m [40]. Additionally, the higher satellite inclination orbit enhances altimetry accuracy and data availability in higher-altitude regions, particularly in polar areas [25,45,46]. Moreover, because neither DTU15MSS nor DTU21MSS incorporated Sentinel-3A altimetry data into their modeling, they can be treated as independent validation data, enabling the accuracy assessment of the aforementioned MSS models.
In this study, MSS validation was based on Sentinel-3A altimetry profiles averaged over a five-year period (2016 to 2021). These MSS profiles were made available through the work of Andersen et al. (2023), and were derived from analyzing 66 cycles of 1 Hz RADS (Radar Altimeter Database System, http://rads.tudelft.nl/rads/rads.shtml (accessed on 17 November 2024)) data, with a reference time centered around 2019. However, as it is challenging to align the reference time with the 1993–2012 period used for DTU15MSS and DTU21MSS, a unified sea-level rise trend of 0.05 m (3 mm/year) was removed from the averaged profiles [28]. This step aimed to eliminate systematic biases between the model results and validation data.
To evaluate the Sentinel-3A MSS profiles, 13 tide gauges near the Sentinel-3A track (represented by green scatter points in Figure 1) were derived from the Permanent Service for Mean Sea Level (PSMSL, https://psmsl.org/ (accessed on 17 November 2024)). First, tide gauge measurements (1993–2012) were corrected to the WGS-84 reference frame using co-located GNSS data [14]. The mean sea level was then calculated by averaging the results from the DTU21MSS model and Sentinel-3A profiles within 10 km of each tide gauge. The analysis exhibited that the Pearson correlation coefficients for Sentinel-3A MSS and DTU21MSS were 0.972 and 0.971, respectively, accompanied by R2 values of 0.939 and 0.937. This indicates that, despite the Sentinel-3A profiles being based on only five years of data, the MSS profiles derived from Sentinel-3A had reasonable data quality. It is notable that the limited number and concentrated distribution of tide gauge stations are insufficient for comprehensive and rigorous validation of Sentinel-3A MSS profiles. However, the validity and data quality of the Sentinel-3A MSS profiles can be assessed near these stations, thereby serving as accuracy indicators. Furthermore, the higher along-track resolution of the Sentinel-3A data allows the capture of finer sea surface details, facilitating a global validation of the DTU21MSS using Sentinel-3A MSS profiles and enabling the assessment of spatial variations in model accuracy. Therefore, Sentinel-3A MSS profiles were used in this study for independent validation of the MSS model in both coastal and open ocean regions.
2.3.2. Ocean Surface Current Analysis Real-Time Model (OSCAR)
To analyze and validate the accuracy of the MDT modeling results and the associated geostrophic currents, the latest numerical model OSCAR (https://podaac.jpl.nasa.gov/dataset/OSCAR_L4_OC_third-deg (accessed on 17 November 2024)) and the geodetic model CNES-CLS22MDT (CLS22MDT) were introduced [10,47].
The OSCAR model (OSCAR_L4_OC_third-deg_YEARLY), released by the national oceanic and atmospheric administration (NOAA), provides a global near-real-time analysis of surface ocean currents [47]. Based on quasi-linear and steady flow momentum equations, this model decomposes surface currents into the three components: driven by wind, sea surface slope, and sea surface temperature. It reconstructs a third-degree resolution estimate of the global surface current field with a 5-day temporal resolution by integrating multi-source and heterogeneous data, including satellite altimetry, wind field analyses, temperature and salinity observations, and Ekman and thermal wind dynamics [47,48]. Dohan et al. (2010) validated the OSCAR current products against a global drifter dataset, demonstrating correlation coefficients exceeding 0.9 in most open ocean areas [49].
Based on Greene et al. (2019), this study conducted a temporal analysis of the OSCAR third-degree, 5-day interval current data spanning 1993 to 2012 [50]. Through the removal of interannual and seasonal signals, a mean current model that illustrates a long-term ocean circulation was derived. The reference time period of this model is consistent with that of the MSS models.
2.3.3. CNES-CLS22MDT
The CLS22MDT provided by the French Space Agency was developed based on the CNES-CLS22MSS and GOCO06s models [13]. CNES-CLS22MSS utilizes over 20 years of altimetry data from traditional (e.g., T/P and Jason series) and SAR altimeters (e.g., Cryosat-2 and Sentinel series) for modeling. The GOCO06s model uses all GOCE data from 2009 to 2013, complemented by 14 years of GRACE data [51]. Drifter and hydrographic data (1993–2021) and high-frequency radar data (2006–2016) were assimilated to enhance the model’s representation of the current and other detailed signals. Additionally, the geostrophic ocean current elements (zonal and meridional currents) were provided in the CLS22MDT model. The reference period for the CLS22MDT is 1993–2012. Compared with the previous CNES-CLS18MDT, CLS22MDT exhibited a noticeable improvement in accuracy over the Arctic region. The root mean square error (RMSE) of the geostrophic currents derived from the CLS22MDT was enhanced by 1% [13,52]. The estimated error of CLS22MDT can reach approximately 10 cm in the current regions and 2 cm in other areas [13]. The CLS22MDT was referenced to the 1993–2012 period, with a spatial resolution of 0.125°.
CLS22MDT and OSCAR assimilate a substantial amount of in situ data, and this study utilized the ocean current component from CLS22MDT and OSCAR as validation data for model assessment. In this study, the norms of the zonal and meridional components for both OSCAR and CLS22MDT were compared with the synthesized geostrophic current signal. The geostrophic current parameters from CLS22MDT were designated as CLS22CURRENT.
3. Methodology
3.1. Spectrally Consistent MDT Modeling Algorithm
The SCA was introduced in this study to precisely fuse the MSS and GGM to address the signal leakage issue caused by their spectral mismatch. Through the application of LS adjustment and error propagation, the SCA can achieve a high-accuracy MDT solution, conduct an accurate model error estimation, and suppress the attenuation of geostrophic current signals [32,53].
The relationship between the MSS, MDT, and GGM can be expressed as
where and represent the latitude and longitude of the grid points, respectively.
It should be noted that and are parameterized on a rectangular grid using spherical harmonics and Lagrange basis functions, respectively. A detailed description of the parameterization can be found in [34].
To achieve accurate MDT reconstruction, it is essential to consider error characteristics of the input data through the formulation of comprehensive observation equations and associated weight matrices [32,35]. The SCA fully utilizes the error information provided by the MSS and GGM for error modeling. Given that the noise level rises as spherical harmonics expand, the algorithm specifically segments the GGM into a low-frequency band (), a buffer band (), and a high-frequency band (). Thus, Equation (1) can be represented as
where , , and denote the gridded MSS, geoid, and MDT vectors, respectively; and represent the spherical function coefficients from the different segmentation bands; represents the coefficients from the parameterized MDT; and represents the parameters to be solved.
In addition, the error variances of the spherical harmonic, Kaula function, and compensation for the truncation error were introduced for error modeling, ensuring the spectral consistency of the input data [35]. A smoothness constraint was introduced to obtain a smooth and reasonable MDT solution. Consequently, the following complete observation equation was constructed,
where represents the gridded geoid for , denotes an identical matrix, and and denote the smoothing constraints for the MDT [35].
In addition, the weight matrix () for the observations is presented as
where represents the error information from the high-frequency band of DIR6, which is expressed using the residual signals between DIR6 and high-order GGM (e.g., XGM2019) [35]. represents the error variances of the spherical harmonic provided by DIR6, and represents the error information in the mid-frequency bands of DIR6, which were modeled using the Kaula equation. Additionally, is the identity matrix, which represents the weighting matrix for smoothness constraints.
The MDT parameters and their associated errors can be estimated based on an LS estimator and error propagation. A flowchart of the MDT modeling process is shown in Figure 2. Due to space limitations, this study provides a brief introduction to the principles and model construction process of the SCA. For more details on the SCA MDT modeling algorithm and its accuracy analysis, refer to [35].
Figure 2.
Processing flow of the spectrally consistent MDT (mean dynamic topography) modeling algorithm.
3.2. Gaussian Filtering Algorithm
This study introduces a Gaussian filtering algorithm for MDT estimation to compare and analyze the performance of the SCA and Gaussian filtering algorithms in recovering detailed signals for MDT modeling:
where represents the original MDT solution, is the Gaussian-filtered result, and represents the corresponding filter weight matrix. and denote the spherical distances between the MDT points and the filtering radius (in meters), respectively, and represents the maximum degree of spherical harmonic expansion in the gravity field model.
3.3. Derivation of the Geostrophic Ocean Current
As the geostrophic ocean current signal has a differential relationship with the MDT model, the performance of the MDT can be evaluated by analyzing the geostrophic current signals derived from the MDT solution. The zonal () and meridional () components of geostrophic ocean currents can be represented as
where denotes the MDT model, denote the latitude and longitude coordinate of the point, denotes the mean radius of the Earth, represents acceleration due to gravity, and denotes the Coriolis coefficient.
4. Results
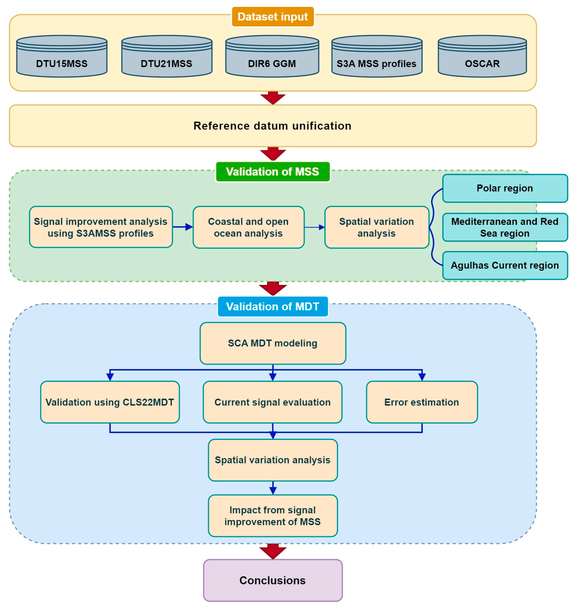
Figure 3 illustrates the research framework of this study. The DTU21MSS and DIR6 GGM models, along with the Sentinel-3A MSS profile data, were first preprocessed for reference datum unification and noise removal. DTU21MSS and DTU15MSS were validated using Sentinel-3A MSS profile data, focusing on the signal improvements of DTU21MSS, specifically at different coastal distances and in typical regions such as polar areas, the Mediterranean/Red Sea, and the Agulhas Current. Additionally, the SCA was introduced to integrate the DTU21MSS and DIR6 GGM to reconstruct the MDT and geostrophic current signals. The reconstructed models were then validated using the CLS22MDT and OSCAR geostrophic current models, and the performance variations in the MDT in specific regions were analyzed to explore the impact of MSS signal improvements on MDT and geostrophic current signals.
Figure 3.
Overall research framework diagram.
4.1. MSS Validation
Figure 4 depicts the differences between (a) DTU15MSS and (b) DTU21MSS against the along-track Sentinel-3A MSS profiles. Figure 4c shows the differences between DTU21MSS and DTU15MSS, illustrating the additional signal gain of DTU21MSS compared to that of DTU15MSS. It is seen that in the polar region (north of 60°N), DTU21MSS exhibits a signal enhancement of ~0.05 m compared to DTU15MSS, particularly in the coastal areas around 70°N. As shown in the magnified subfigure near (25°N 72°E) in Figure 4, the difference between the DTU21MSS and Sentinel-3A MSS profiles has decreased from over 0.1 m in DTU15MSS to ~0.03 m, indicating better performance of DTU21MSS in this region. In addition, there are maximally ~0.1 m differences between the validation results of DTU21MSS and DTU15MSS, which can be observed in the Agulhas Current region (south of 20°S), particularly around 40°S. This is because only five years of Sentinel-3A data were used in the validation, and the reference time of the mean Sentinel-3A profiles was not rigorously unified with the 1993–2012 period, potentially causing discrepancies in the current signals. In the Mediterranean and Red Sea regions (between 10°N and 50°N), the signal improvement of DTU21MSS over DTU15MSS is mainly concentrated within 20 km of the coast, and the magnitude of this improvement was smaller compared to the polar regions. As shown in Figure 4c, DTU21MSS demonstrated a signal improvement of ~0.03 m within 10 km of the Mediterranean and Red Sea coastline. Table 2 presents the statistics of the validation results for DTU21MSS and DTU15MSS in the study area, indicating a reduction in the standard deviation (SD) from 0.089 m for DTU15MSS to 0.087 m for DTU21MSS. The relatively small improvement in SD can be attributed to enhancements in DTU21MSS being primarily concentrated in coastal areas, whereas the presence of larger open sea areas within the study region reduced the statistical significance of the results.
Figure 4.
The misfits between (a) DTU15MSS and (b) DTU21MSS against the Sentinel-3A mean sea surface profiles, and (c) the signal difference between DTU21MSS and DTU15MSS (DTU15MSS: Mean Sea Surface from Danmarks Tekniske Universitet 2015. DTU21MSS: Mean Sea Surface from Danmarks Tekniske Universitet 2021).
Table 2.
Validation of the mean sea surface models using Sentinel-3A altimetric data (m).
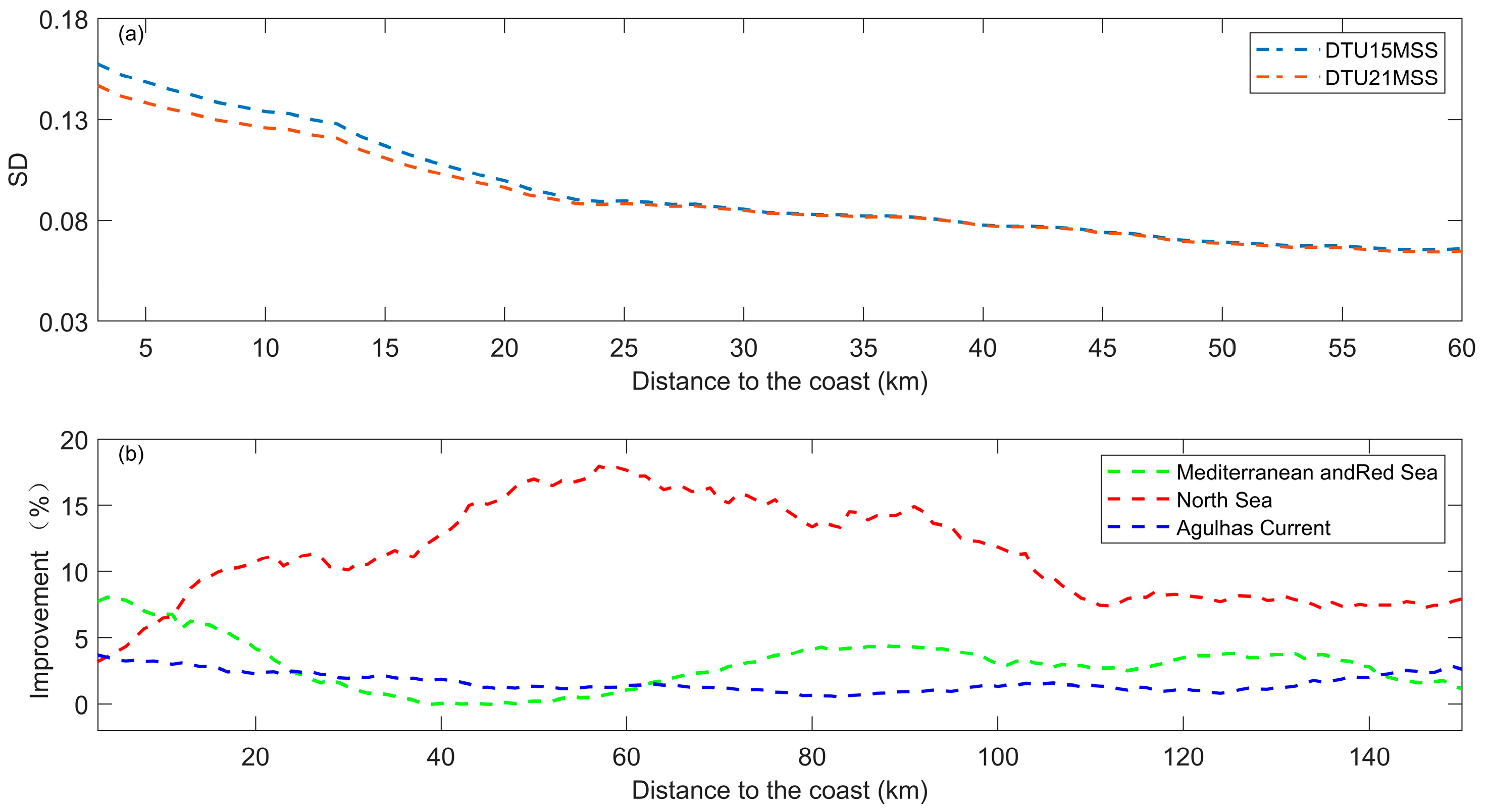
To further evaluate the signal improvement of the DTU21MSS near the coastal area, the SD of the validation results at various distances from land was calculated, as depicted in Figure 5. The blue and red curves in Figure 5a represent the SD of the differences between DTU15MSS and DTU21MSS against the validation data within the study area as a function of distance. Additionally, improvements (shown as percentages) in the polar, Mediterranean, and Agulhas Current regions were calculated separately, as shown in Figure 5b. For the entire study area, the accuracies of both models gradually decreased towards the coast. Within 20 km of the coastline, DTU21MSS exhibited a noticeable improvement over DTU15MSS, with the SD of the validation results improving by approximately 8% compared to DTU15MSS. More importantly, the accuracy improvements of DTU21MSS varied across the different regions. Figure 5b illustrates that the polar region exhibited larger signal improvements, where the improvement exceeded 20% within 50–100 km from the coast, whereas the improvement was only about 8% within 20 km of the coastline. This indicates that the accuracy and availability of the altimetric data utilized for DTU15MSS were relatively poor in this region, leading to a larger discrepancy between the MSS results and true MSS. Furthermore, in the Mediterranean/Red Sea regions, DTU21MSS shows an improvement of ~10% within 20 km from the coast. However, in the Agulhas Current region, the improvement in DTU21MSS over DTU15MSS was reduced to ~4%. Overall, the results indicate that in the polar region, MSS signal enhancements are more concentrated over the open ocean within 50–100 km off the coast, showing the most substantial improvements across the entire study area. Enhancements were noted within 20 km of the coastline in the Mediterranean and Red Sea regions. Conversely, there was minimal improvement in DTU21MSS over DTU15MSS in the Agulhas Current region.
Figure 5.
(a) Standard deviation of the differences between DTU15MSS (blue line) and DTU21MSS (red line) against the validation data within the study area as a function of distance, and (b) the improvement of DTU21MSS compared to DTU15MSS in various typical ocean regions (DTU15MSS: Mean Sea Surface from Danmarks Tekniske Universitet 2015. DTU21MSS: Mean Sea Surface from Danmarks Tekniske Universitet 2021).
4.2. MDT Solutions
This study introduced DTU15MSS and DTU21MSS along with the DIR6 GGM to derive the MDT and its associated geostrophic currents using SCA. MDT parameterization was conducted on a 0.6° rectangular grid based on four Lagrange polynomial parameters. The optimal frequency segmentation strategy, determined through trial-and-error experiments, selects low-frequency from degree and order 2–260, buffer from degree and order 261–280, and high-frequency from degree and order 281–2159 based on XGM2019_2159 GGM. Details of the segmentation are described in [35].
Figure 6 shows the discrepancies between the MDT derived from (a) DTU15MSS and (b) DTU21MSS against CLS22MDT, respectively. Figure 6c illustrates the misfits of the MDT result obtained by the Gaussian-filtered solution (filtering the difference signal between DTU21MSS and DIR6 GGM) with a 50 km filter radius. Differences were observed among the three models in the polar, coastal, and current regions, with the DTU21MSS-derived results showing more detailed information and higher consistency with the comparison data.
Figure 6.
Misfits between (a) DTU15MSS-derived mean dynamic topography model, (b) DTU21MSS-derived mean dynamic topography model, and (c) Gaussian-filtered mean dynamic topography model against the CLS22MDT (DTU15MSS: Mean Sea Surface from Danmarks Tekniske Universitet 2015. DTU21MSS: Mean Sea Surface from Danmarks Tekniske Universitet 2021. CLS22MDT: French National Centre Space and Satellite Data Collection and Localization 2022 Mean Dynamic Topography model).
To demonstrate the ability of the SCA to reconstruct detailed signals in MDT modeling, this study first compares the MDT results obtained using the SCA and Gaussian filtering algorithms, as shown in Figure 6b,c, respectively. The Gaussian-filtered results showed higher consistency with CLS22MDT in the polar regions. There are two main reasons for this. Gaussian filtering removes the high-frequency components of the model and retains only the smooth low-frequency signal, thereby suppressing high-frequency noise. However, the reference MDT model (CLS22MDT) used in this study may also suffer from over-smoothing issues due to low altimetry data availability, leading to higher consistency with the Gaussian-filtered result. In addition, the Gaussian-filtered results lose detailed signal information. This was particularly noticeable in the Mediterranean and Red Sea regions, where the coastal modeling results were inferior to those obtained using the MDT modeling algorithm. Statistically (Table 3), the SD of the difference between the MDT results and comparison data decreased from 0.058 m for DTU15MSS to 0.054 m for DTU21MSS, while the Gaussian-filtered result increased to 0.065 m.
Table 3.
Comparison of the mean dynamic topography solutions using CLS22MDT (m) (DTU15: DTU15MSS-derived MDT; DTU21: DTU21MSS-derived MDT; Gaussian filter: Gaussian-filtered MDT; DTU15MSS: Mean Sea Surface from Danmarks Tekniske Universitet 2015; DTU21MSS: Mean Sea Surface from Danmarks Tekniske Universitet 2021; CLS22MDT: French National Centre Space and Satellite Data Collection and Localization 2022 Mean Dynamic Topography model).
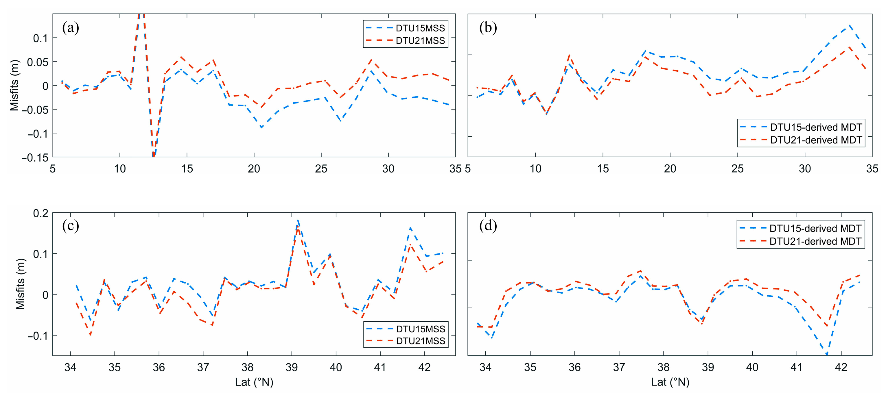
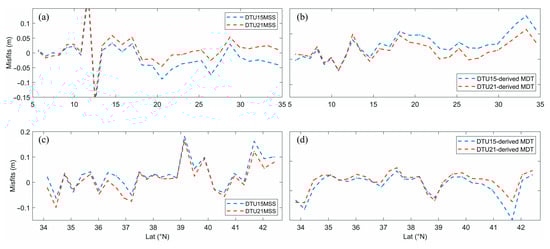
To further highlight the signal improvement from the DTU21MSS-derived MDT, Figure 7 and Figure 8a–c illustrate the magnified subplots of the misfit results from Figure 6 in the polar and Mediterranean/Red Sea regions, respectively, and (d) the profiles of MDT misfits in typical regions (black dashed lines in Figure 6). It is seen from Figure 7a,b and Figure 8a,b that, compared to DTU15MSS, the DTU21MSS-derived MDT exhibited biases up to 0.2 m in the polar regions (e.g., 18°E, 73°N) and even beyond 100 km from the coast (e.g., 4°E, 72°N). However, the Gaussian-filtered results reveal particularly distorted signals in the coastal regions (Figure 8c), likely due to the isotropic feature of its smoothing process. In the Mediterranean and Red Sea coastal areas, DTU21MSS-derived MDT results also outperformed the DTU15MSS-derived MDT, e.g., 38°E, 23°N. The misfit profiles of the MDT in Figure 7d and Figure 8d demonstrate that the MDT derived from DTU21MSS showed higher consistency with CLS22MDT in both the polar and Mediterranean/Red Sea regions, capturing more high-frequency information. The improvements are ~0.05 m in these areas. However, when compared with the corresponding MSS validation results in Figure 4, no improvements of such magnitude were observed in the MSS. This could be due to the robust error model used in the MDT modeling process, which takes into account error information from the MSS and GGM. Consequently, despite the lack of signal improvements in the DTU21MSS, a reasonable error model contributes to better enhancements in the final MDT output. In the Agulhas Current region, the MDT results based on DTU15MSS and DTU21MSS exhibited minor differences, with both models displaying more high-frequency signals in the current region because of the absence of filtering in the SCA.
Figure 7.
Misfits between (a) DTU15-derived MDT, (b) DTU21-derived MDT, and (c) Gaussian-filtered MDT, against the CLS22MDT, in polar area, and (d) the profiles of the misfits along the black dash lines in (a–c), respectively (DTU15MSS: Mean Sea Surface from Danmarks Tekniske Universitet 2015. DTU21MSS: Mean Sea Surface from Danmarks Tekniske Universitet 2021. CLS22MDT: French National Centre Space and Satellite Data Collection and Localization 2022 Mean Dynamic Topography model).
Figure 8.
Misfits between (a) DTU15-derived MDT and (b) DTU21-derived MDT against the CLS22MDT in the Mediterranean and Red Sea area, and (d) the profiles of the misfits along the black dash lines in (a–c), respectively (DTU15MSS: Mean Sea Surface from Danmarks Tekniske Universitet 2015. DTU21MSS: Mean Sea Surface from Danmarks Tekniske Universitet 2021. CLS22MDT: French National Centre Space and Satellite Data Collection and Localization 2022 Mean Dynamic Topography model).
In addition, the formal errors of the respective MDT models are derived through error propagation. Figure 9 and Figure 10 depict the error information for DTU15MSS and DTU21MSS, as well as the estimated errors of their corresponding MDT models. It can be observed that the larger errors in DTU15MSS and DTU21MSS are concentrated in coastal and current regions, while the error level of the DTU21MSS reduced ~0.01 m in these areas compared to DTU15MSS. Additionally, as observed in the (5°S, 0°E) region in Figure 9, the error level of DTU21MSS in open ocean areas was also reduced, primarily because of the performance improvements brought by the retracking algorithm for traditional altimeters. Figure 10 shows that the error distributions of the MDT models derived from the two MSSs were similar after error propagation, with larger errors concentrated in the current and coastal regions. Moreover, benefiting from the improved accuracy of the DTU21MSS model, the corresponding MDT model error exhibited minor improvements. By calculating the difference between the model errors of DTU21MSS and DTU15MSS (Figure 10c), the error reduction in the MDT model derived from DTU21MSS was at the millimeter level.
Figure 9.
Mean sea surface errors provided by (a) DTU15MSS and (b) DTU21MSS, respectively (DTU15MSS: Mean Sea Surface from Danmarks Tekniske Universitet 2015. DTU21MSS: Mean Sea Surface from Danmarks Tekniske Universitet 2021).
Figure 10.
Estimated errors from (a) DTU21MSS-derived MDT and (b) DTU15MSS-derived MDT, and (c) their differences, respectively (DTU15MSS: Mean Sea Surface from Danmarks Tekniske Universitet 2015. DTU21MSS: Mean Sea Surface from Danmarks Tekniske Universitet 2021).
4.3. Validation of Geostrophic Currents
The deduced geostrophic currents from the MDT solutions were validated using the OSCAR ocean numerical model and CLS22CURRENT geodetic model. Given the relatively weak geostrophic current signals in the Mediterranean and polar regions, this analysis focused exclusively on the Agulhas Current. A Gaussian filter with a radius of ~50 km was used to smooth the estimated geostrophic current signals.
Figure 11 shows the validation results, with Figure 11a,b depicting the discrepancies in the geostrophic currents derived from DTU15MSS and DTU21MSS against the OSCAR model, respectively. Figure 11c,d illustrate similar respective discrepancies, but in comparison with the CLS22CURRENT model. Notably, the noise level of the geostrophic current signal was relatively large within ~20 km of the coast and was therefore excluded from Figure 11. Additionally, the profiles of the discrepancies are plotted along the Agulhas Current (39.5°S) (Figure 12a,b), depicting the differences between OSCAR and CLS22MDT, respectively. It was observed that differences between the geostrophic currents derived from both models against OSCAR (CLS22CURRENT) were within ±0.2 m/s. However, geostrophic currents derived from DTU21MSS showed relatively higher misfits at 35°E–40°E. Furthermore, as illustrated in Figure 12, the geostrophic current signal obtained from DTU21MSS displayed high-frequency noise at 35°E–40°E compared to that derived from DTU15MSS. The potential reason for this discrepancy may be that the enhancement of the MSS signal (current region, as shown in Figure 4c) indirectly affects the current signal, leading to larger differences between the derived currents and the comparison data. The profiles of the MSS validation results shown in Figure 4 are presented in Figure 12c. There were noticeable enhancements in signal quality from DTU21MSS at 20°E–25°E and 35°E–40°E. Despite these improvements, it is also apparent that variations in amplitude in the profiles for DTU21MSS were more severe (see 30°E–40°E in Figure 12c). Since the MDT is derived from the difference between the MSS and GGM, and geostrophic currents are obtained by differentiating the MDT, signal changes in the DTU21MSS may impact MDT gradients. This may amplify the corresponding geostrophic current signals. Statistically, the accuracies of the geostrophic currents derived from DTU15MSS and DTU21MSS were comparable in the Agulhas region. The validation results against the OSCAR and CLS22MDT models revealed the SD of the differences to be 0.042 m and 0.059 m, respectively (Table 4).
Figure 11.
Misfits between smoothed (a,c) DTU15MSS-derived and (b,d) DTU21MSS-derived geostrophic current against the (a,b) OSCAR and (c,d) CLS22CURRENT models, respectively (DTU15MSS: Mean Sea Surface from Danmarks Tekniske Universitet 2015; DTU21MSS: Mean Sea Surface from Danmarks Tekniske Universitet 2021; OSCAR: Ocean Surface Current Analysis Real-time Model; CLS22CURRENT: French National Centre Space and Satellite Data Collection and Localization 2022 geostrophic current model).
Figure 12.
Profiles of the misfits between the geostrophic current model against (a) OSCAR and (b) CLS22CURRENT along 39.5°S, respectively, and (c) the same profile in the MSS validation results in Figure 4a. (OSCAR: Ocean Surface Current Analysis Real-time Model. CLS22CURRENT: French National Centre Space and Satellite Data Collection and Localization 2022 geostrophic current model).
Table 4.
Validation of estimated current using OSCAR and CLS22CURRENT (m/s) (OSCAR: Ocean Surface Current Analysis Real-time Model; CLS22CURRENT: French National Centre Space and Satellite Data Collection and Localization 2022 geostrophic current model).
5. Discussion
5.1. Regional Variations in the MSS Improvement
This study used Sentinel-3A MSS profiles to assess the performance of DTU21MSS in polar, coastal, and ocean current regions, and the signal improvement exhibited regional variations across the three typical areas. In the polar region, the signal improvement was primarily concentrated in the open ocean areas 20–100 km from the coast, with an improvement exceeding 15% compared to DTU15MSS (Figure 4c and Figure 5). In comparison, in the Mediterranean and Red Sea regions, signal improvement was mainly observed within the 20 km nearshore zone (5% to 8%), and it decreased to ~4% in the Agulhas Current area.
These regional differences in the signal improvement may be attributed to several factors. First, the complex distribution of sea ice in the polar region (>60°N) leads to severe signal contamination in the altimetry data, particularly for traditional altimeters (e.g., the Jason series). However, the introduction of a two-pass retracker and the Parks–McClellan along-track filtering algorithm in the DTU21MSS effectively reduced noise levels and improved the signal-to-noise ratio (SNR) of traditional altimetry data [27,54]. Additionally, the inclusion of more high-precision SAR altimetry data (i.e., CryoSat-2 data) further enhanced the spatial coverage of the region. Therefore, the signal improvement in the polar region primarily resulted from the improved quality of altimetry data in open ocean areas. Second, the Mediterranean and Red Sea regions are characterized by complex land topography, including narrow bays, irregular coastlines, and scattered islands, which interfere with the accuracy and availability of coastal altimetry data. However, the high resolution and high SNR characteristics of SAR altimetry are particularly beneficial for improving the precision of coastal SSH measurements. The green curve in Figure 5b illustrates that the signal improvements in the Mediterranean and Red Sea regions were concentrated within 20 km of the coast, demonstrating that these improvements are mainly driven by the contribution of SAR altimetry signals. In addition, the distribution of the signal improvement in the current area is similar to that in the Mediterranean and Red Sea regions, whereas the magnitude is relatively small and the pattern of the signal improvement is similar to that of the overall study region. This suggests that the ocean conditions in this region are less complex, and that the improvement is mainly due to the accumulation of SAR altimetry data, which enhances the SNR. This highlights that the different MSS accuracy improvements in the three typical regions were primarily due to variations in the interference from sea conditions and topography, which resulted in spatial variations in the quality of the altimetry data.
More importantly, within 20 km off the coast, the accuracy trends across the three regions varied distinctly as a function of distance (Figure 5b). In the polar region, the signal improvement decreased with increasing distance from the coast, whereas it increased gradually with different magnitudes in the Mediterranean/Red Sea regions and Agulhas Current area. These patterns suggest that there is a higher level of signal interference in the polar region (open ocean region) and the Mediterranean region (coastal region), which also align with the respective sea surface conditions and topographic features of the regions.
5.2. Signal Contributions of DTU21MSS to the MDT
The SCA provides a convenient approach for fusing the MSS and GGM for MDT reconstruction, despite the computational overhead. This algorithm incorporates model errors from both the MSS and GGM and estimates errors based on LS theory, facilitating a detailed examination of how enhanced MSS models affect MDT and geostrophic current recovery (Figure 6 and Figure 11). Using the polar and Red Sea regions in this study as examples, Figure 13a,c illustrate the profiles of the MSS validation results in the polar and Red Sea regions (Figure 4), respectively, and Figure 13b,d depict the same profiles but with MDT misfit results included (Figure 6). It was observed that the signal improvement for DTU21MSS was ~0.05 m in the 15°E–35°E region (Figure 13a), leading to a comparable enhancement in the MDT modeling (Figure 13b). This improvement is reasonable because the MDT is derived from the difference between the MSS and GGM. However, in the Red Sea region, as shown in Figure 13c,d, these represent the profiles of the MSS and MDT validation results for the Red Sea region. The signal improvement in some coastal areas (e.g., 36°E–37°E) was ~0.03 m (Figure 13c). Regardless, in Figure 13d, the DTU21MSS-derived MDT exhibits a signal enhancement of over 0.1 m compared to the DTU15MSS-derived MDT in the nearby sea areas (e.g., 40°E–42°E). There are two possible explanations for this observation. First, the MSS model validation used independent high-accuracy Sentinel-3A SAR altimeter data that reflected the actual model accuracy level. However, the validation of the MDT model employed CLS22MDT, which utilizes almost the same data for modeling, leading to model signal coupling and a higher level of signal enhancement for the MDT compared to the MSS results. Second, since the SCA comprehensively considers input data errors, a reasonable error model can suppress noise levels in complex sea areas, thereby improving modeling accuracy.
Figure 13.
Profiles of mean sea surface misfits results in (a) polar and (c) Red Sea regions. In (b,d), the same profiles are illustrated but show the mean dynamic topography misfit results.
To further analyze the impact of the MSS model on MDT and associated geostrophic currents, the differences between DTU21MSS and DTU15MSS, as well as their corresponding differences in MDT and geostrophic currents, were calculated and are shown in Figure 14a, 14b, and 14c, respectively. A strong correlation can be observed among these difference maps, where the correlation between the MSS difference map (Figure 14a) and the corresponding MDT difference map (Figure 14b) exceeded 0.6. For example, at locations (30°N, 30°E) and (30°N, 45°E), where a discrepancy of ~0.1 m exists between the two MSS models, the corresponding MDT differences also reached 0.05–0.1 m. Notably, the discrepancy in the geostrophic current signals was amplified compared to the differences in Figure 14a,b. As observed in the region around (30°N, 30°E), the geostrophic current difference reached 0.1–0.2 m. These results outline the crucial role of the MSS in modeling both the MDT and the associated geostrophic current fields, highlighting its importance as a critical input for accurate coastal oceanographic modeling. However, based on the geostrophic current validation results in Figure 11 and the MSS validation results in Figure 4, it was observed that although DTU21MSS exhibited improved modeling accuracy compared to DTU15MSS in the geostrophic current regions, more pronounced sea surface gradient variations in DTU21MSS amplified the geostrophic current signals in certain areas. This may have been due to the smoothing and filtering of the geostrophic current signal, which can result in the loss of small-scale signals. Despite a ~0.05 m difference between DTU21MSS and DTU15MSS in (30°N, 30°E), maximum discrepancies in geostrophic current signals exceeded 0.1 m.
Figure 14.
(a) Differences between DTU21MSS and DTU15MSS. (b) Differences in mean dynamic topography solutions using DTU21MSS against DTU15MSS. (c) Differences in geostrophic current solutions using DTU21MSS against DTU15MSS (DTU15MSS: Mean Sea Surface from Danmarks Tekniske Universitet 2015. DTU21MSS: Mean Sea Surface from Danmarks Tekniske Universitet 2021).
6. Conclusions
Accurate MDT information is of great significance for determining terrestrial and marine benchmarks, ocean circulation investigations, and global climate change monitoring. This study investigated the impact of incorporating improved SAR and conventional altimetry data to enhance the accuracy of ocean dynamic models, specifically the MSS, MDT, and associated geostrophic currents. Independent Sentinel-3A altimetric data were introduced for a comprehensive evaluation of the DTU15MSS and the latest DTU21MSS, focusing on their performance in three representative ocean areas: polar, coastal, and current regions. Additionally, the MDT solutions were derived based on the MSS and DIR6 introduced in the LS-based SCA. The CLS22MDT and OSCAR models were employed to evaluate the MDT and its associated geostrophic currents. The contribution of DTU21MSS to the MDT and ocean currents was evaluated by quantifying their unique contributions to the representative ocean areas mentioned above. The numerical results show the following:
- Validation results based on Sentinel-3A altimetric data demonstrated that, compared to DTU15MSS, DTU21MSS exhibited an ~8% improvement within 20 km offshore. Specifically, in the polar regions, DTU21MSS achieved over a 15% improvement, highlighting the advantages of SAR altimeters in high-interference environments. In addition, there was also 5–8% improvement within 20 km off the Mediterranean and Agulhas Current coasts due to enhanced signal-to-noise ratios from the cumulative SAR data.
- The MDT results derived using SCA demonstrate that the DTU21MSS-based MDT aligns better with validation data than the DTU15MSS-based MDT, with the standard deviation of misfits reduced from 0.058 m to 0.054 m, and localized improvements reaching up to 0.1 m in the polar coastal regions and the Mediterranean/Red Sea. Error distribution analysis further revealed that MDT errors were higher in coastal areas (~0.1 m) than in the open seas (~0.02 m).
- The enhanced spatial distribution and error characteristics of the MSS significantly improve the accuracy of MDT and geostrophic currents through LS estimation and error propagation, highlighting the MSS as a crucial input for precise oceanographic modeling.
Author Contributions
Conceptualization, methodology, software, and validation, H.S. and O.B.A.; writing—original draft preparation, H.S.; writing—review and editing, H.S. and X.H.; visualization, H.S.; supervision, H.S., O.B.A., and X.H. All authors have read and agreed to the published version of the manuscript.
Funding
This research was funded by the Jiangsu Funding Program for Excellent Postdoctoral Talent (No. 2024ZB632), the Fundamental Research Funds for the Central Universities (B240201097), the National Natural Science Foundation of China (No. 41974016), and the State Scholarship Fund from Chinese Scholarship Council (No. 202006710169).
Data Availability Statement
The data is contained within the article.
Acknowledgments
The DTU21MSS and the DTU15MSS are available at https://ftp.space.dtu.dk/pub/ (accessed on 12 December 2024). The CNES-CLS22MDT was accessed at https://www.aviso.altimetry.fr/ (accessed on 17 November 2024). The RADS was accessed at http://rads.tudelft.nl/rads/rads.shtml (accessed on 17 November 2024). OSCAR is available at https://podaac.jpl.nasa.gov/dataset/OSCAR_L4_OC_third-deg (accessed on 17 November 2024).
Conflicts of Interest
The authors declare no conflicts of interest. The funders had no role in the design of the study; in the collection, analyses, or interpretation of data; in the writing of the manuscript; or in the decision to publish the results.
References
- Bingham, R.J.; Haines, K.; Hughes, C.W. Calculating the Ocean’s Mean Dynamic Topography from a Mean Sea Surface and a Geoid. J. Atmos. Ocean. Tech. 2008, 25, 1808–1822. [Google Scholar] [CrossRef]
- Andersen, O.B.; Knudsen, P. DNSC08 Mean Sea Surface and Mean Dynamic Topography Models. J. Geophys. Res. Oceans 2009, 114, C11001. [Google Scholar] [CrossRef]
- Sarsito, D.; Syahrullah, M.; Bramanto, B.; Andreas, H.; Pradipta, D. Application of Geoid and Mean Dynamic Topography Models as an Alternative to the Mean Sea Level Approach in Determining Vertical Datum (Case Study: Java Island and Surrounding). In Proceedings of the IOP Conference Series: Earth and Environmental Science; IOP Publishing: Bristol, UK, 2024; Volume 1350, p. 012040. [Google Scholar] [CrossRef]
- Wu, Y.; Abulaitijiang, A.; Andersen, O.B.; He, X.; Luo, Z.; Wang, H. Refinement of Mean Dynamic Topography Over Island Areas Using Airborne Gravimetry and Satellite Altimetry Data in the Northwestern South China Sea. J. Geophys. Res. Solid Earth 2021, 126, e2021JB021805. [Google Scholar] [CrossRef]
- Zhu, C.; Guo, J.; Gao, J.; Liu, X.; Hwang, C.; Yu, S.; Yuan, J.; Ji, B.; Guan, B. Marine Gravity Determined from Multi-Satellite GM/ERM Altimeter Data over the South China Sea: SCSGA V1.0. J. Geod. 2020, 94, 50. [Google Scholar] [CrossRef]
- An, D.; Guo, J.; Li, Z.; Ji, B.; Liu, X.; Chang, X. Improved Gravity-Geologic Method Reliably Removing the Long-Wavelength Gravity Effect of Regional Seafloor Topography: A Case of Bathymetric Prediction in the South China Sea. IEEE Trans. Geosci. Remote Sens. 2022, 60, 4211912. [Google Scholar] [CrossRef]
- Huang, J. Determining Coastal Mean Dynamic Topography by Geodetic Methods. Geophys. Res. Lett. 2017, 44, 11,125–11,128. [Google Scholar] [CrossRef]
- Andersen, O.B.; Nielsen, K.; Knudsen, P.; Hughes, C.W.; Bingham, R.; Fenoglio-Marc, L.; Gravelle, M.; Kern, M.; Polo, S.P. Improving the Coastal Mean Dynamic Topography by Geodetic Combination of Tide Gauge and Satellite Altimetry. Mar. Geod. 2018, 41, 517–545. [Google Scholar] [CrossRef]
- Andersen, O.B.; Knudsen, P.; Stenseng, L. The DTU13 MSS (Mean Sea Surface) and MDT (Mean Dynamic Topography) from 20 Years of Satellite Altimetry. In IGFS 2014; Jin, S., Barzaghi, R., Eds.; International Association of Geodesy Symposia; Springer International Publishing: Cham, Switzerland, 2015; Volume 144, pp. 111–121. [Google Scholar] [CrossRef]
- Jousset, S.; Mulet, S.; Greiner, E.; Wilkin, J.; Vidar, L.; Dibarboure, G.; Picot, N. New Global Mean Dynamic Topography CNES-CLS-22 Combining Drifters, Hydrological Profiles and High Frequency Radar Data. Preprints. 2023. Available online: https://essopenarchive.org/doi/pdf/10.22541/essoar.170158328.85804859 (accessed on 17 November 2024).
- Caballero, A.; Mulet, S.; Ayoub, N.; Manso-Narvarte, I.; Davila, X.; Boone, C.; Toublanc, F.; Rubio, A. Integration of HF Radar Observations for an Enhanced Coastal Mean Dynamic Topography. Front. Mar. Sci. 2020, 7, 588713. [Google Scholar] [CrossRef]
- Andersen, O.; Knudsen, P.; Stenseng, L. A New DTU18 MSS Mean Sea Surface–Improvement from SAR Altimetry. In Proceedings of the 25 Years of Progress in Radar Altimetry Symposium, Ponta Delgada, Portugal, 24–29 September 2018. [Google Scholar]
- Schaeffer, P.; Pujol, M.-I.; Veillard, P.; Faugere, Y.; Dagneaux, Q.; Dibarboure, G.; Picot, N. The CNES CLS 2022 Mean Sea Surface: Short Wavelength Improvements from CryoSat-2 and SARAL/AltiKa High-Sampled Altimeter Data. Remote Sens. 2023, 15, 2910. [Google Scholar] [CrossRef]
- Yuan, J.; Guo, J.; Zhu, C.; Li, Z.; Liu, X.; Gao, J. SDUST2020 MSS: A Global 1′ × 1′ Mean Sea Surface Model Determined from Multi-Satellite Altimetry Data. Earth Syst. Sci. Data 2023, 15, 155–169. [Google Scholar] [CrossRef]
- Birol, F.; Fuller, N.; Lyard, F.; Cancet, M.; Niño, F.; Delebecque, C.; Fleury, S.; Toublanc, F.; Melet, A.; Saraceno, M.; et al. Coastal Applications from Nadir Altimetry: Example of the X-TRACK Regional Products. Adv. Space Res. 2017, 59, 936–953. [Google Scholar] [CrossRef]
- Peng, F.; Deng, X.; Cheng, X. Quantifying the Precision of Retracked Jason-2 Sea Level Data in the 0–5 Km Australian Coastal Zone. Remote Sens. Environ. 2021, 263, 112539. [Google Scholar] [CrossRef]
- Birol, F.; Léger, F.; Passaro, M.; Cazenave, A.; Niño, F.; Calafat, F.M.; Shaw, A.; Legeais, J.-F.; Gouzenes, Y.; Schwatke, C.; et al. The X-TRACK/ALES Multi-Mission Processing System: New Advances in Altimetry towards the Coast. Adv. Space Res. 2021, 67, 2398–2415. [Google Scholar] [CrossRef]
- Peng, F.; Deng, X. A New Retracking Technique for Brown Peaky Altimetric Waveforms. Mar. Geod. 2018, 41, 99–125. [Google Scholar] [CrossRef]
- Zhang, S.; Sandwell, D.T. Retracking of SARAL/AltiKa Radar Altimetry Waveforms for Optimal Gravity Field Recovery. Mar. Geod. 2017, 40, 40–56. [Google Scholar] [CrossRef]
- Schlembach, F.; Passaro, M.; Dettmering, D.; Bidlot, J.; Seitz, F. Interference-Sensitive Coastal SAR Altimetry Retracking Strategy for Measuring Significant Wave Height. Remote Sens. Environ. 2022, 274, 112968. [Google Scholar] [CrossRef]
- Nencioli, F.; Quartly, G.D. Evaluation of Sentinel-3A Wave Height Observations Near the Coast of Southwest England. Remote Sens. 2019, 11, 2998. [Google Scholar] [CrossRef]
- Birgiel, E.; Ellmann, A.; Delpeche-Ellmann, N. Performance of Sentinel-3A SAR Altimetry Retrackers: The SAMOSA Coastal Sea Surface Heights for the Baltic Sea. In Fiducial Reference Measurements for Altimetry; Mertikas, S.P., Pail, R., Eds.; International Association of Geodesy Symposia; Springer International Publishing: Cham, Switzerland, 2019; Volume 150, pp. 23–32. [Google Scholar] [CrossRef]
- Boy, F.; Desjonqueres, J.-D.; Picot, N.; Moreau, T.; Raynal, M. CryoSat-2 SAR-Mode Over Oceans: Processing Methods, Global Assessment, and Benefits. IEEE Trans. Geosci. Remote Sens. 2017, 55, 148–158. [Google Scholar] [CrossRef]
- Gómez-Enri, J.; Vignudelli, S.; Cipollini, P.; Coca, J.; González, C.J. Validation of CryoSat-2 SIRAL Sea Level Data in the Eastern Continental Shelf of the Gulf of Cadiz (Spain). Adv. Space Res. 2018, 62, 1405–1420. [Google Scholar] [CrossRef]
- Zhang, X.; Jiang, L.; Liu, Z.; Kittel, C.M.M.; Yao, Z.; Druce, D.; Wang, R.; Tøttrup, C.; Liu, J.; Jiang, H.; et al. Flow Regime Changes in the Lancang River, Revealed by Integrated Modeling with Multiple Earth Observation Datasets. Sci. Total Environ. 2023, 862, 160656. [Google Scholar] [CrossRef]
- Zhang, X.; Jiang, L.; Kittel, C.M.M.; Yao, Z.; Nielsen, K.; Liu, Z.; Wang, R.; Liu, J.; Andersen, O.B.; Bauer-Gottwein, P. On the Performance of Sentinel-3 Altimetry Over New Reservoirs: Approaches to Determine Onboard A Priori Elevation. Geophys. Res. Lett. 2020, 47, e2020GL088770. [Google Scholar] [CrossRef]
- Andersen, O.B.; Rose, S.K.; Abulaitijiang, A.; Zhang, S.; Fleury, S. The DTU21 Global Mean Sea Surface and First Evaluation. Earth Syst. Sci. Data 2023, 15, 4065–4075. [Google Scholar] [CrossRef]
- Andersen, O.B.; Piccioni, G.; Knudsen, P.; Stenseng, L. The DTU15 Mean Sea Surface and Mean Dynamic Topography-Focusing on Arctic Issues and Development. In Proceedings of the Oral Presentation, in the 2015 OSTST Meeting, Reston, VA, USA, 20–23 October 2015; pp. 19–23. [Google Scholar]
- Wu, Y.; He, X.; Huang, J.; Shi, H.; Wang, H.; Wu, Y.; Ding, Y. Comparison of Mean Dynamic Topography Modeling from Multivariate Objective Analysis and Rigorous Least Squares Method. Remote Sens. 2022, 14, 5330. [Google Scholar] [CrossRef]
- Tapley, B.D.; Chambers, D.P.; Bettadpur, S.; Ries, J.C. Large Scale Ocean Circulation from the GRACE GGM01 Geoid: LARGE SCALE OCEAN CIRCULATION. Geophys. Res. Lett. 2003, 30. [Google Scholar] [CrossRef]
- Siegismund, F. A Spectrally Consistent Globally Defined Geodetic Mean Dynamic Ocean Topography. J. Geophys. Res. Oceans 2020, 125, e2019JC016031. [Google Scholar] [CrossRef]
- Becker, S.; Brockmann, J.M.; Schuh, W.-D. Mean Dynamic Topography Estimates Purely Based on GOCE Gravity Field Models and Altimetry. Geophys. Res. Lett. 2014, 41, 2063–2069. [Google Scholar] [CrossRef]
- Rio, M.-H.; Hernandez, F. A Mean Dynamic Topography Computed over the World Ocean from Altimetry, in Situ Measurements, and a Geoid Model. J. Geophys. Res. Oceans 2004, 109, C12032. [Google Scholar] [CrossRef]
- Shi, H.; He, X.; Wu, Y.; Huang, J. The Parameterization of Mean Dynamic Topography Based on the Lagrange Basis Functions. Adv. Space Res. 2020, 66, 2122–2140. [Google Scholar] [CrossRef]
- Shi, H.; He, X.; Wu, Y.; Andersen, O.B.; Knudsen, P.; Liu, Y.; Zhang, Z. Spectrally Consistent Mean Dynamic Topography by Combining Mean Sea Surface and Global Geopotential Model Through a Least Squares-Based Approach. Front. Earth Sci. 2022, 10, 795935. [Google Scholar] [CrossRef]
- Tomić, M.; Breili, K.; Gerlach, C.; Ophaug, V. Validation of Retracked Sentinel-3 Altimetry Observations along the Norwegian Coast. Adv. Space Res. 2024, 73, 4067–4090. [Google Scholar] [CrossRef]
- Birol, F.; Delebecque, C. Using High Sampling Rate (10/20Hz) Altimeter Data for the Observation of Coastal Surface Currents: A Case Study over the Northwestern Mediterranean Sea. J. Mar. Syst. 2014, 129, 318–333. [Google Scholar] [CrossRef]
- Marechal, G.; Ardhuin, F. Surface Currents and Significant Wave Height Gradients: Matching Numerical Models and High-Resolution Altimeter Wave Heights in the Agulhas Current Region. J. Geophys. Res. Oceans 2021, 126, e2020JC016564. [Google Scholar] [CrossRef]
- Förste, C.; Abrykosov, O.; Bruinsma, S.; Dahle, C.; König, R.; Lemoine, J.-M. ESA’s Release 6 GOCE Gravity Field Model by Means of the Direct Approach Based on Improved Filtering of the Reprocessed Gradients of the Entire Mission (GO_CONS_GCF_2_DIR_R6) 2019, GFZ. Available online: https://dataservices.gfz-potsdam.de/icgem/showshort.php?id=escidoc:4232899 (accessed on 17 November 2024).
- Drinkwater, M.R.; Floberghagen, R.; Haagmans, R.; Muzi, D.; Popescu, A. GOCE: ESA’s First Earth Explorer Core Mission. In Earth Gravity Field from Space—From Sensors to Earth Sciences; Beutler, G., Drinkwater, M.R., Rummel, R., Von Steiger, R., Eds.; Space Sciences Series of ISSI; Springer: Dordrecht, The Netherlands, 2003; Volume 17, pp. 419–432. [Google Scholar] [CrossRef]
- Tapley, B.D.; Bettadpur, S.; Watkins, M.; Reigber, C. The Gravity Recovery and Climate Experiment: Mission Overview and Early Results: GRACE MISSION OVERVIEW AND EARLY RESULTS. Geophys. Res. Lett. 2004, 31, L09607. [Google Scholar] [CrossRef]
- Bruinsma, S.L.; Förste, C.; Abrikosov, O.; Lemoine, J.-M.; Marty, J.-C.; Mulet, S.; Rio, M.-H.; Bonvalot, S. ESA’s Satellite-Only Gravity Field Model via the Direct Approach Based on All GOCE Data. Geophys. Res. Lett. 2014, 41, 7508–7514. [Google Scholar] [CrossRef]
- Gruber, T. GOCE Release 6 Products and Performance. In Proceedings of the 27th IUGG General Assembly, Montreal, Canada, 8–18 July 2019; Available online: https://mediatum.ub.tum.de/doc/1510357/215011.pdf (accessed on 7 October 2024).
- Marie-noelle, L. Sentinel-3 SRAL/MWR Land User Handbook. Available online: https://sentinel.esa.int/documents/247904/4871083/Sentinel-3+SRAL+Land+User+Handbook+V1.1.pdf (accessed on 17 November 2024).
- Dinardo, S. Techniques and Applications for Satellite SAR Altimetry over Water, Land and Ice; Technische Universität: Darmstadt, Germany, 2020; Available online: https://tuprints.ulb.tu-darmstadt.de/id/eprint/11343 (accessed on 17 November 2024).
- Mertikas, S.; Donlon, C.; Féménias, P.; Mavrocordatos, C.; Galanakis, D.; Tripolitsiotis, A.; Frantzis, X.; Kokolakis, C.; Tziavos, I.; Vergos, G.; et al. Absolute Calibration of the European Sentinel-3A Surface Topography Mission over the Permanent Facility for Altimetry Calibration in West Crete, Greece. Remote Sens. 2018, 10, 1808. [Google Scholar] [CrossRef]
- ESR. OSCAR Third Degree Resolution Ocean Surface Currents NASA Physical Oceanography Distributed Active Archive Center. 2009. Available online: https://podaac.jpl.nasa.gov/dataset/OSCAR_L4_OC_third-deg (accessed on 17 November 2024).
- Bonjean, F.; Lagerloef, G.S. Diagnostic Model and Analysis of the Surface Currents in the Tropical Pacific Ocean. J. Phys. Oceanogr. 2002, 32, 2938–2954. [Google Scholar] [CrossRef]
- Sikhakolli, R.; Sharma, R.; Basu, S.; Gohil, B.; Sarkar, A.; Prasad, K. Evaluation of OSCAR Ocean Surface Current Product in the Tropical Indian Ocean Using in Situ Data. J. Earth Syst. Sci. 2013, 122, 187–199. [Google Scholar] [CrossRef]
- Dohan, K.; Maximenko, N. Monitoring Ocean Currents with Satellite Sensors. Oceanography 2010, 23, 94–103. [Google Scholar] [CrossRef]
- Greene, C.A.; Thirumalai, K.; Kearney, K.A.; Delgado, J.M.; Schwanghart, W.; Wolfenbarger, N.S.; Thyng, K.M.; Gwyther, D.E.; Gardner, A.S.; Blankenship, D.D. The Climate Data Toolbox for MATLAB. Geochem. Geophy. Geos 2019, 20, 3774–3781. [Google Scholar] [CrossRef]
- Kvas, A.; Brockmann, J.M.; Krauss, S.; Schubert, T.; Gruber, T.; Meyer, U.; Mayer-Gürr, T.; Schuh, W.-D.; Jäggi, A.; Pail, R. GOCO06s—A Satellite-Only Global Gravity Field Model. Earth Syst. Sci. Data 2020, 13, 99–118. [Google Scholar] [CrossRef]
- Becker, S. Konsistente Kombination von Schwerefeld, Altimetrie Und Hydrographischen Daten Zur Modellierung Der Dynamischen Ozeantopographie. Ph.D. Thesis, Universitäts-und Landesbibliothek Bonn, Bonn, Germany, 2012. Available online: https://hdl.handle.net/20.500.11811/1425 (accessed on 17 November 2024).
- Zhang, S.; Li, J.; Jin, T.; Che, D. HY-2A Altimeter Data Initial Assessment and Corresponding Two-Pass Waveform Retracker. Remote Sens. 2018, 10, 507. [Google Scholar] [CrossRef]
Disclaimer/Publisher’s Note: The statements, opinions and data contained in all publications are solely those of the individual author(s) and contributor(s) and not of MDPI and/or the editor(s). MDPI and/or the editor(s) disclaim responsibility for any injury to people or property resulting from any ideas, methods, instructions or products referred to in the content. |
© 2024 by the authors. Licensee MDPI, Basel, Switzerland. This article is an open access article distributed under the terms and conditions of the Creative Commons Attribution (CC BY) license (https://creativecommons.org/licenses/by/4.0/).













