Differential Study on Estimation Models for Indica Rice Leaf SPAD Value and Nitrogen Concentration Based on Hyperspectral Monitoring
Abstract
1. Introduction
2. Materials and Methods
2.1. Test Materials and Soil Physicochemical Properties
2.2. Experimental Design
2.3. Experimental Methods
2.3.1. Hyperspectral Data Collection
2.3.2. Leaf SPAD Value Determination
2.3.3. Leaf Nitrogen Concentration Analysis
2.3.4. Spectral Index Construction
2.3.5. Model Construction and Validation
2.4. Statistical Methods
3. Results and Analysis
3.1. Leaf SPAD Value and LNC
3.2. Correlation Analysis of Leaf SPAD Value and LNC
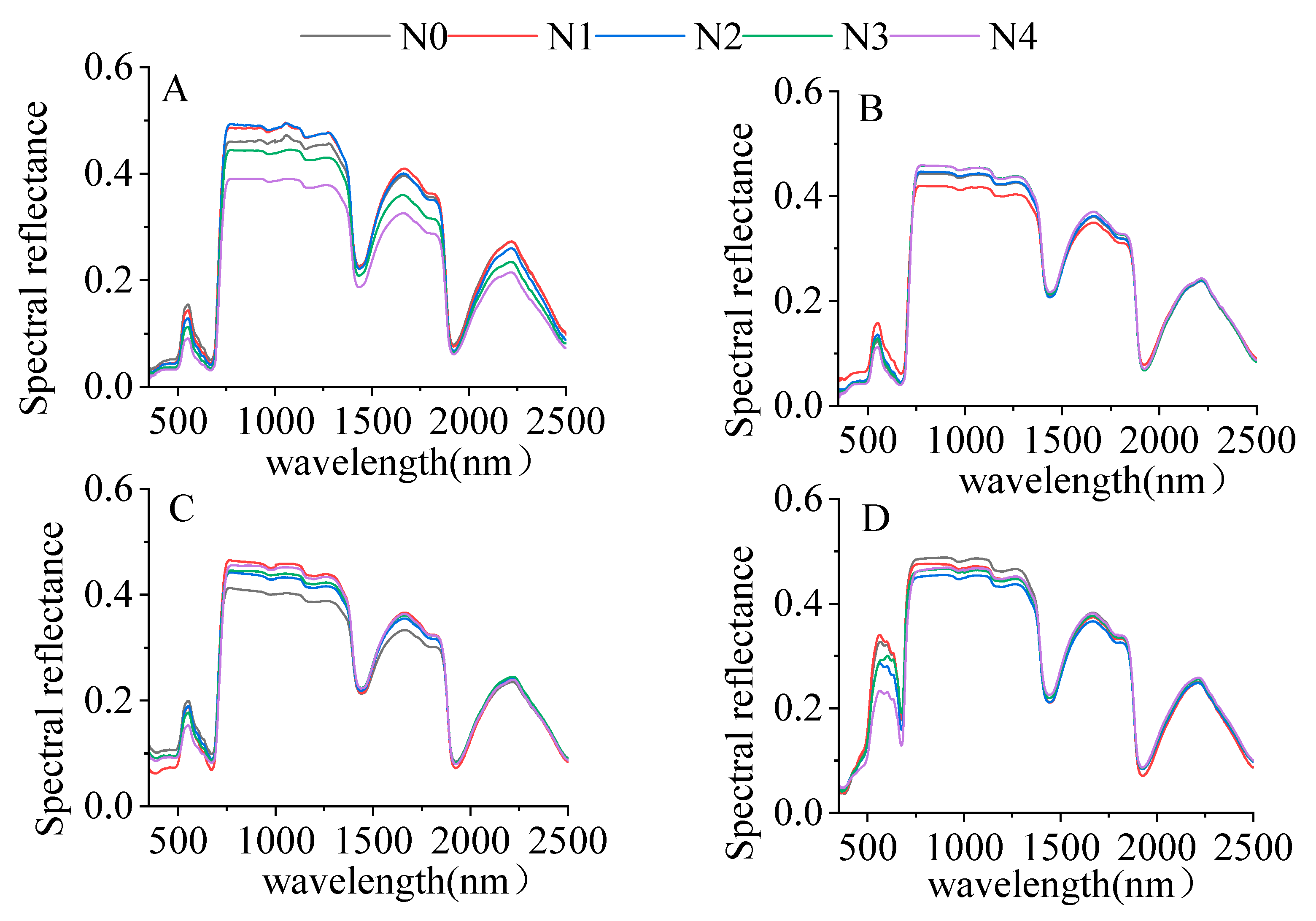
3.3. Spectral Reflectance
3.4. Spectral Reflectance Correlation Analysis with SPAD Value and LNC
3.5. Linear Regression Modeling
3.6. Model Construction
3.7. Leaf SPAD Value Prediction
3.8. LNC Prediction
4. Discussion
4.1. Sensitive Band Selection
4.2. Comparison of Estimation Effects of Four Algorithms
4.3. Comparison of Estimation Effects for Leaf SPAD Value and LNC
5. Conclusions
Author Contributions
Funding
Data Availability Statement
Conflicts of Interest
References
- Feng, B.; Liu, D. Research on the nitrogen use efficiency and low nitrogen tolerance genetic basis in rice—Review of “Application study of hyperspectral technology in the diagnosis of rice nitrogen nutrition”. Chin. J. Agrometeorol. 2022, 43, 159. [Google Scholar]
- Wang, S.W.; Zhao, Y.; Wang, L.F.; Wang, R.T.; Song, Y.Z. Prediction for nitrogen content of rice leaves in cold region based on hyperspectrum. Trans. Chin. Soc. Agric. Eng. 2016, 32, 187–194. [Google Scholar]
- Gitelson, A.A.; Gritz, Y.; Merzlyak, M.N. Relationships between leaf chlorophyll content and spectral reflectance and algorithms for non-destructive chlorophyll assessment in higher plant leaves. J. Plant Physiol. 2003, 160, 271–282. [Google Scholar] [CrossRef] [PubMed]
- Vane, G.; Goetz, A.F.H. Terrestrial imaging spectrometry: Current status, future trends. Remote Sens. Environ. 1993, 44, 117–126. [Google Scholar] [CrossRef]
- Chapman, S.C.; Barreto, H.J. Using a chlorophyll meter to estimate specific leaf nitrogen of tropical maize during vegetative growth. Agron. J. 1997, 89, 557–562. [Google Scholar] [CrossRef]
- Peng, S.B.; García, F.V.; Laza, R.C.; Cassman, K.G. Adjustment for specific leaf weight improves chlorophyll meter’s estimate of rice Leaf nitrogen concentration. Agron. J. 1993, 85, 987–990. [Google Scholar] [CrossRef]
- Ding, X.B.; Liu, F.; Zhang, C.; He, Y. Prediction of SPAD value in oilseed rape leaves using hyperspectral imaging technique. Spectrosc. Spectr. Anal. 2015, 35, 486–491. [Google Scholar]
- Cao, C.L.; Li, S.X. Effect of nitrogen level on the photosynthetic rate, NR activity and the contents of nucleic acid of wheat leaf in the stage of reproduction. Chin. Bull. Bot. 2003, 20, 319–324. [Google Scholar]
- Zhang, H.; Hu, H.; Chen, Y.; Tang, X.; Wu, C.Y.; Liu, Y.X.; Yang, S.M.; Zheng, K.F. Estimating nitrogen of rice leaf and protein of rice seed based on hyperspectral data. J. Nucl. Agric. Sci. 2012, 26, 135–140. [Google Scholar]
- Vigneau, N.; Ecarnot, M.; Rabatel, G.; Roumet, P. Potential of field hyperspectral imaging as a non-destructive method to assess leaf nitrogen content in wheat. Field Crops Res. 2011, 122, 25–31. [Google Scholar] [CrossRef]
- Curran, J.P. Remote sensing of foliar chemistry. Remote Sens. Environ. 1990, 30, 271–278. [Google Scholar] [CrossRef]
- Xue, L.H.; Cao, W.X.; Luo, W.H.; Jiang, D.; Meng, Y.L.; Zhu, Y. Diagnosis of nitrogen status in rice leaves with the canopy spectral reflectance. Agric. Sci. China 2003, 2, 250–257. [Google Scholar]
- Dehkordi, R.H.; Jarroudi, M.E.; Kouadio, L.; Meersmans, J.; Beyer, M. Monitoring wheat leaf rust and stripe rust in winter wheat using high-resolution UAV-based red-green-blue imagery. Remote Sens. 2020, 12, 3696. [Google Scholar] [CrossRef]
- Yin, C.X.; Lin, J.; Ma, L.L.; Zhang, Z.; Hou, T.Y.; Zhang, L.F.; Lv, X. Study on the quantitative relationship among canopy hyperspectral reflectance, vegetation index and cotton leaf nitrogen content. J. Indian Soc. Remote Sens. 2021, 49, 1787–1799. [Google Scholar] [CrossRef]
- Zhao, M.J.; Zhang, Z.Q.; Li, Z.H. NDVI value optimization and nitrogen content inversion of maize leaf based on the high spectrum. J. China Agric. Univ. 2014, 19, 56–61. [Google Scholar]
- Shen, X.H.; Jiang, C.; Zhang, J.T.; Liu, J.Q.; Zhao, G.F.; Feng, P. Correlation between spectrum reflectance and chlorophyll content of soybean leaves under different nitrogen level. Soybean Sci. 2012, 31, 73–75+80. [Google Scholar]
- Zhang, X.Y.; Wang, L.L.; Liu, F.; Feng, W.J.; Liu, S.Y.; Zhu, J.H. Study on monitoring model for nitrogen accumulation in peanut (Arachis Hypogasa L.) leaves based on hyper-spectral remote sensing. Shandong Agric. Sci. 2012, 44, 7–12+6. [Google Scholar]
- Wang, X.Z.; Huang, J.F.; Li, Y.M.; Wang, R.C. Correlation between chemical contents of leaves and characteristic variables of hyperspectral on rice field. Trans. Chin. Soc. Agric. Eng. 2003, 19, 144–148. [Google Scholar]
- Wu, C.S.; Xiang, Y.Q.; Zheng, L.F. Estimating chlorophyll density of crop canopies by using hyperspectral data. J. Remote Sens. 2000, 4, 228–232. [Google Scholar]
- Liu, W.D.; Xiang, Y.Q.; Zheng, L.F.; Tong, Q.X. Relationship between rice LAI, CH. D, and hyperspectral data. Proc. SPIE—Int. Soc. Opt. Eng. 2003, 4897, 352–359. [Google Scholar]
- Sun, Y.T.; Yang, H.Y.; Sun, A.Z.; Mei, F.; Yi, W.L. Hyperspectral estimation model for SPAD value of rice leaves. J. South. Agric. 2020, 51, 1062–1069. [Google Scholar]
- Tian, R.C.; Gao, Z.Q.; Zhou, K. Estimation of the flag leaf SPAD value in different late indica rice varieties based on hyperspectral data. China Rice 2021, 27, 45–50. [Google Scholar]
- Yu, Y.; Yu, H.Y.; Li, X.K.; Wang, H.J.; Liu, S.; Zhang, L.; Sui, Y.Y. Hyperspectral inversion model for SPAD of rice leaves based on optimized spectral index. Spectrosc. Spectr. Anal. 2022, 42, 1092–1097. [Google Scholar]
- Zhang, X.L.; Yu, Z.Y.; Li, H.X.; Liu, H.J.; Zhang, Z.C.; Zhao, M.M.; Wang, X. Remote sensing estimation model of SPAD for rice leaves in Northeast China. J. China Agric. Univ. 2020, 25, 66–75. [Google Scholar]
- Wu, X.M.; Chang, Q.R.; Luo, L.L.; You, M.M. Hyperspectral estimation model for chlorophyll content of rice canopy. Agric. Res. Arid Areas 2019, 37, 238–243. [Google Scholar]
- Zhang, L.L.; Lv, X. Estimating method for nitrogen content in rice leaves based on UAV hyper-spectrum. Agric. Sci. Technol. Equip. 2021, 6, 13–15. [Google Scholar]
- Stroppiana, D.; Boschetti, M.; Brivio, P.A.; Bocchi, S. Plant nitrogen concentration in paddy rice from field canopy hyperspectral radiometry. Field Crops Res. 2009, 111, 119–129. [Google Scholar] [CrossRef]
- Xu, H.C.; Yao, B.; Wang, Q.; Chen, T.T.; Zhu, T.Z.; He, H.B.; Ke, J.; You, C.C.; Wu, X.W.; Guo, S.S.; et al. Determination of suitable band width for estimating rice nitrogen nutrition index based on leaf reflectance spectra. Sci. Agric. Sin. 2021, 54, 4525–4539. [Google Scholar]
- Yu, F.H.; Xing, S.M.; Guo, Z.H.; Bai, J.C.; Xu, T.Y. Remote sensing inversion of the nitrogen content in rice leaves using character transfer vegetation index. Trans. Chin. Soc. Agric. Eng. 2022, 38, 175–182. [Google Scholar]
- Li, H.Y.; Gao, Z.W.; Wang, Z.J.; Lin, T.; Zhao, H.C.; Fan, M.Y. Prediction of leaf nitrogen content of rice in cold region based on spectral reflectance. Spectrosc. Spectr. Anal. 2024, 44, 2582–2593. [Google Scholar]
- Chen, Q.Y.; Huang, Y.H.; Zhang, H.J.; Zhou, L.Y.; Zhao, L.J.; Zhang, S.X.; Xia, L.S.; Hong, R.X.; Li, Y.D.; Chen, Q.C. Correlation between SPAD Value and nitrogen indicators in rice leaves at different growth stages. Hubei Agric. Sci. 2020, 59, 19–24+7. [Google Scholar]
- Zhang, X.N.; Wang, L.L.; Niu, M.X.; Zhan, N.; Ren, H.J.; Xu, H.C.; Yang, K.; Wu, L.Q.; Ke, J.; You, C.C.; et al. Estimation of rice leaf water content based on leaf reflectance spectrum and chlorophyll fluorescence. Acta Agric. Zhejiangensis 2023, 35, 1265–1277. [Google Scholar]
- Rouse, J.W.; Haas, R.H.; Deering, D.W.; Schell, J.A.; Harlan, J.C. Monitoring the Vernal Advancement and Retrogradation (Green Wave Effect) of Natural Vegetation; NASA/GSFC: Greenbelt, MD, USA, 1974. [Google Scholar]
- Breiman, L. Random forests. Mach. Learn. 2001, 45, 5–32. [Google Scholar] [CrossRef]
- Fang, K.N.; Wu, J.B.; Zhu, J.P.; Xie, B.C. A review of technologies on random forests. Stat. Inf. Forum 2011, 26, 32–38. [Google Scholar]
- Meyer, H.; Lehnert, L.W.; Wang, Y.; Reudenbach, C.; Nauss, T.; Bendix, J. From local spectral measurements to maps of vegetation cover and biomass on the Qinghai-Tibet-Plateau: Do we need hyperspectral information? Int. J. Appl. Earth Obs. Geoinf. 2017, 55, 21–31. [Google Scholar] [CrossRef]
- Li, X.Q.; Liu, X.N.; Liu, M.L.; Wu, L. Random forest algorithm and regional applications of spectral inversion model for estimating canopy nitrogen concentration in rice. J. Remote Sens. 2014, 18, 934–945. [Google Scholar]
- Bakhshipour, A.; Jafari, A. Evaluation of support vector machine and artificial neural networks in weed detection using shape features. Comput. Electron. Agric. 2018, 145, 153–160. [Google Scholar] [CrossRef]
- Zhang, J.; Cai, Z.J.; Zhang, D.F.; Fan, X.F.; Wang, L.B.; Wang, J. Estimation of water content in rape leaves by spectral reflectance combined with machine learning. J. Hebei Agric. Univ. 2021, 44, 122–127. [Google Scholar]
- Friedman, J.H. Stochastic gradient boosting: Nonlinear methods and data mining. Comput. Stat. Data Anal. 2002, 38, 367–378. [Google Scholar] [CrossRef]
- Mao, Y.P.; Fang, S.F. Research of reference evapotranspiration’s simulation based on machine learning. J. Geo-Inf. Sci. 2020, 22, 1692–1701. [Google Scholar]
- Niu, Q.L.; Feng, H.K.; Zhou, X.G.; Zhu, J.Q.; Yong, B.B.; Li, H.Z. Combining UAV visible light and multispectral vegetation indices for estimating SPAD value of winter wheat. Trans. Chin. Soc. Agric. Mach. 2021, 52, 183–194. [Google Scholar]
- Wang, J.J.; Song, X.Y.; Mei, X.; Yang, G.J.; Li, Z.H.; Li, H.L.; Meng, Y. Sensitive bands selection and nitrogen content monitoring of rice based on gaussian regression analysis. Spectrosc. Spectr. Anal. 2021, 41, 1722–1729. [Google Scholar]
- Li, Z.; Wang, J.Q.; Li, Z.Q.; Zou, D.Q.; Zhang, X.G.; Han, J.W.; Liu, W.Y. Hyperspectral monitoring and model study of nitrogen in cotton canopy. Acta Agric. Univ. Jiangxiensis 2023, 45, 1273–1284. [Google Scholar]
- Li, F.L.; Kong, Q.B.; Zhang, Q.; Zhuang, M.L. Comparative study on several hyperspectral estimation models of nitrogen contents in Guanxi honey pomelo leaves. J. Fruit Sci. 2022, 39, 882–891. [Google Scholar]
- Cao, Z.S.; Li, Y.D.; Pan, Y.X.; Sun, B.F.; Shu, S.F.; Ye, C.; Peng, X.Y. Monitoring the Jinsha pomelo leaf chlorophyll content based on unmanned aerial vehicle (UAV)-produced RGB images. Acta Agric. Univ. Jiangxiensis 2022, 44, 1407–1418. [Google Scholar]
- Zhang, M.; Chang, Q.R.; Zhang, X.H.; Liu, J.Q. Correlation between rice canopy spectral reflectance and leaf chlorophyll under different fertilization. Acta Agric. Boreali-Occident. Sin. 2015, 11, 53–60. [Google Scholar]
- Wang, X.K.; Liu, T.T.; Xu, G.L.; Feng, Y.H.; Peng, J.F.; Li, J.; Luo, Q.X.; Han, Z.L.; Lu, W.; Phonenasay, S. Nitrogen diagnosis model of vegetation indices based on canopy hyperspectral remote sensing for hybrid rice. China Rice 2021, 27, 21–29. [Google Scholar]
- Madeira, A.C.; Mentions, A.; Ferreira, M.E.; Taborda, M.d.L. Relationship between spectroradiometric and chlorophyll measurements in green beans. Commun. Soil Sci. Plant Anal. 2000, 31, 631–643. [Google Scholar] [CrossRef]
- Feng, H.; Yang, Z.T.; Chen, H.; Wu, L.H.; Li, C.; Wang, N.J. Estimation of summer maize SPAD based on UAV multispectral images. Trans. Chin. Soc. Agric. Mach. 2022, 53, 211–219. [Google Scholar]
- Liu, S.B.; Jin, X.L.; Feng, H.K.; Nie, C.W.; Bai, Y.; Cheng, M.H. Analysis of effect of disease stress on maize LAI remote sensing estimation. Trans. Chin. Soc. Agric. Mach. 2023, 54, 246–258. [Google Scholar]
- Chen, C.L.; Zhou, C.X.; Yu, F.H.; Xu, T.Y.; Cao, Y.L. A study on inversion method of nitrogen content in japonica rice based on spectral characteristic parameters. J. Shenyang Agric. Univ. 2020, 51, 218–224. [Google Scholar]
- Zhu, H.J.; Fu, H.Y.; Wang, X.H.; Cui, G.X.; Shi, A.L.; Xue, W.C. Preliminary study on the intertemporal predictability of the physiological index of early rice based on hyperspectral. Spectrosc. Spectr. Anal. 2022, 42, 170–175. [Google Scholar]
- Zhang, Z.H.; Yan, L.; Liu, S.Y.; Fu, Y.; Jiang, K.W.; Yang, B.; Liu, S.H.; Zhang, F.Z. Leaf nitrogen concentration retrieval based on polarization reflectance model and random forest regression. Spectrosc. Spectr. Anal. 2021, 41, 2911–2917. [Google Scholar]
- Cheng, J.; Li, G.; Chen, X.H. Research on travel time prediction model of freeway based on gradient boosting decision tree. IEEE Access 2018, 7, 7466–7480. [Google Scholar] [CrossRef]
- Alexey, N.; Alois, K. Gradient boosting machines, a tutorial. Front. Neurorobot. 2013, 7, 21. [Google Scholar]
- Yuan, Z.R.; Ye, Y.; Wu, J.; Fang, L.; Chen, X.F.; Yang, X. Estimation of chlorophyll content in pepper leaves based on hyperspectral imaging technology. Jiangsu Agric. Sci. 2021, 49, 189–193. [Google Scholar]
- Liu, N.; Li, F.; Yang, H.B.; Yin, H.; Gao, F.; Jia, Y.Z.; Sun, Z. Machine learning models fed with optimized spectral indices to improve inversion accuracy of potato chlorophyll content. J. Plant Nutr. Fertil. 2023, 29, 1531–1542. [Google Scholar]
- Li, Z.H.; Liu, H.B.; Zhang, F.S. Research of nitrogen nutrition status for winter wheat based on chlorophyll meter. Plant Nutr. Fertil. Sci. 2003, 9, 401–405. [Google Scholar]








| Estimation Indicators | Input Parameters | Sensitive Bands | Optimal Bands | Model | R2 | RMSE | NRMSE/% | 
|---|---|---|---|---|---|---|---|
| SPAD Value | PI Reflectance | 350~710 nm, 1880~2105 nm, 2339~2500 nm | 632 nm, 1937 nm, 2495 nm | Y = 49.41732 − 150.615x1 − 172.749x2 + 126.5831x3 | 0.77 | 0.87 | 12.52 | 
| HD Reflectance | 454~722 nm | 528 nm, 699 nm, 700 nm | Y = 51.56856 − 33.9771x1 − 184.126x2 + 102.9745x3 | 0.79 | 1.17 | 16.11 | |
| MF Reflectance | 706~724 nm | 716 nm | Y = 68.73271−108.685x | 0.48 | 2.95 | 23.78 | |
| MA Reflectance | 454~720 nm | 552 nm, 553 nm, 699 nm | Y = 23.2582 + 27.61633x1 − 90.5023x2 + 10.8267x3 | 0.66 | 1.85 | 16.54 | |
| Whole Growth Periods Reflectance | 497~730 nm | 603 nm, 702 nm, 703 nm | Y = 47.59452 + 226.4542x1 − 2183.72x2 + 1873.99x3 | 0.97 | 2.81 | 6.99 | |
| NDSI (R497, R654) | 497 nm, 654 nm | 497 nm, 654 nm | Y = 37.0635 + 107.2171x1 | 0.95 | 3.63 | 9.00 | |
| LNC | PI Reflectance | 486~715 nm, 1887~2500 nm | 522 nm, 585 nm, 697 nm | Y = 56.32937 + 789.2146x1 − 679.939x2 − 466.556x3 | 0.89 | 2.08 | 9.98 | 
| HD Reflectance | 514~605 nm, 693~714 nm | 535 nm, 536 nm, 703 nm | Y = 664.97158 − 7654.69x1 + 7494.566x2 − 151.478x3 | 0.76 | 3.46 | 15.17 | |
| MF Reflectance | 703~725 nm | 715 nm | Y = 79.34975 − 196.909x | 0.54 | 4.79 | 20.54 | |
| MA Reflectance | 499~713 nm | 568 nm, 569 nm, 698 nm | Y = 41.35319 − 1935.55x1 + 1915.405x2 − 62.8866x3 | 0.66 | 2.51 | 14.78 | |
| Whole Growth Periods Reflectance | 503~727 nm | 541 nm, 542 nm, 712 nm | Y = 58.89224 − 9075.25x1 + 9037.483x2 − 122.085x3 | 0.80 | 4.40 | 13.20 | |
| NDSI (R729, R730) | 729 nm, 730 nm | 729 nm, 730 nm | Y = 8.0997 − 2646.5775x1 | 0.81 | 4.24 | 12.74 | 
| Input Parameters | Model | SPAD Value | LNC | ||||
|---|---|---|---|---|---|---|---|
| R2 | RMSE | NRMSE (%) | R² | RMSE | NRMSE (%) | ||
| PI Reflectance | RF | 0.92 | 0.50 | 7.30 | 0.96 | 1.20 | 6.58 | 
| SVR | 0.61 | 1.23 | 17.82 | 0.89 | 2.04 | 9.79 | |
| GBRT | 0.95 | 0.27 | 6.91 | 0.94 | 1.30 | 8.27 | |
| HD Reflectance | RF | 0.93 | 0.69 | 9.53 | 0.93 | 1.79 | 8.49 | 
| SVR | 0.78 | 1.23 | 17.14 | 0.71 | 3.63 | 17.21 | |
| GBRT | 0.93 | 0.61 | 8.40 | 0.91 | 1.97 | 9.37 | |
| MF Reflectance | RF | 0.82 | 1.70 | 14.49 | 0.74 | 3.23 | 16.27 | 
| SVR | 0.36 | 3.10 | 26.70 | 0.38 | 4.97 | 24.99 | |
| GBRT | 0.78 | 2.04 | 16.47 | 0.95 | 1.68 | 7.22 | |
| MA Reflectance | RF | 0.91 | 1.04 | 9.43 | 0.91 | 1.48 | 8.84 | 
| SVR | 0.72 | 1.73 | 15.48 | 0.78 | 1.85 | 10.89 | |
| GBRT | 0.84 | 1.34 | 12.70 | 0.86 | 1.82 | 10.88 | |
| Whole Growth Periods Reflectance | RF | 0.99 | 1.18 | 2.99 | 0.98 | 1.46 | 4.61 | 
| SVR | 0.98 | 2.24 | 5.66 | 0.84 | 3.83 | 11.51 | |
| GBRT | 0.99 | 1.57 | 4.01 | 0.91 | 2.81 | 9.07 | |
| NDSI | RF | 0.99 | 1.39 | 3.55 | 0.97 | 1.66 | 5.30 | 
| SVR | 0.95 | 3.29 | 8.40 | 0.87 | 3.49 | 11.04 | |
| GBRT | 0.97 | 2.48 | 6.34 | 0.94 | 2.36 | 7.45 | |
| Disclaimer/Publisher’s Note: The statements, opinions and data contained in all publications are solely those of the individual author(s) and contributor(s) and not of MDPI and/or the editor(s). MDPI and/or the editor(s) disclaim responsibility for any injury to people or property resulting from any ideas, methods, instructions or products referred to in the content. | 
© 2024 by the authors. Licensee MDPI, Basel, Switzerland. This article is an open access article distributed under the terms and conditions of the Creative Commons Attribution (CC BY) license (https://creativecommons.org/licenses/by/4.0/).
Share and Cite
Zhang, Y.; Liang, K.; Zhu, F.; Zhong, X.; Lu, Z.; Chen, Y.; Pan, J.; Lu, C.; Huang, J.; Ye, Q.; et al. Differential Study on Estimation Models for Indica Rice Leaf SPAD Value and Nitrogen Concentration Based on Hyperspectral Monitoring. Remote Sens. 2024, 16, 4604. https://doi.org/10.3390/rs16234604
Zhang Y, Liang K, Zhu F, Zhong X, Lu Z, Chen Y, Pan J, Lu C, Huang J, Ye Q, et al. Differential Study on Estimation Models for Indica Rice Leaf SPAD Value and Nitrogen Concentration Based on Hyperspectral Monitoring. Remote Sensing. 2024; 16(23):4604. https://doi.org/10.3390/rs16234604
Chicago/Turabian StyleZhang, Yufen, Kaiming Liang, Feifei Zhu, Xuhua Zhong, Zhanhua Lu, Yibo Chen, Junfeng Pan, Chusheng Lu, Jichuan Huang, Qunhuan Ye, and et al. 2024. "Differential Study on Estimation Models for Indica Rice Leaf SPAD Value and Nitrogen Concentration Based on Hyperspectral Monitoring" Remote Sensing 16, no. 23: 4604. https://doi.org/10.3390/rs16234604
APA StyleZhang, Y., Liang, K., Zhu, F., Zhong, X., Lu, Z., Chen, Y., Pan, J., Lu, C., Huang, J., Ye, Q., Yin, Y., Peng, Y., Mo, Z., & Fu, Y. (2024). Differential Study on Estimation Models for Indica Rice Leaf SPAD Value and Nitrogen Concentration Based on Hyperspectral Monitoring. Remote Sensing, 16(23), 4604. https://doi.org/10.3390/rs16234604
 
        



 
       