Vertical Profiles of Aerosol Optical Properties (VIS/NIR) over Wetland Environment: POLIMOS-2018 Field Campaign
Abstract
1. Introduction
2. Materials and Methods
2.1. Site and Campaign Overview
2.2. Measurement Setup
2.3. AE-51 and AE-31 Aethalometers
2.4. PMS7003 Aerosol Optical Counter
2.5. RS232SGP Radiosonde
2.6. Photoacoustic Extinctiometers
2.7. EMORAL Lidar
2.8. CE318 Sun Photometer
2.9. Modelling
3. Data Processing
4. Results
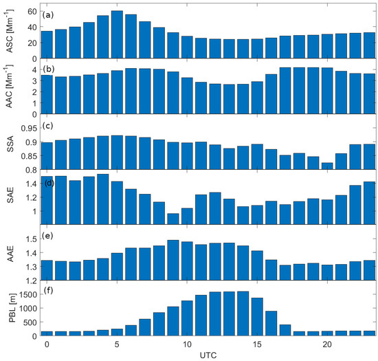
4.1. Overview of Aerosol Conditions During the Field Campaign
4.2. Profile of Aerosol Single-Scattering Properties
4.3. Representativeness of In Situ Ground-Based Observation
4.4. Difference Between Daytime and Nighttime Observations
4.5. Long-Range Transport of Biomass Burning Particles in August 2018
5. Discussion and Conclusions
Author Contributions
Funding
Data Availability Statement
Acknowledgments
Conflicts of Interest
Appendix A






References
- Garnés-Morales, G.; Montávez, J.P.; Halifa-Marín, A.; Jiménez-Guerrero, P. Role of Aerosols on Atmospheric Circulation in Regional Climate Experiments over Europe. Atmosphere 2023, 14, 491. [Google Scholar] [CrossRef]
- Zhang, B. The Effect of Aerosols to Climate Change and Society. J. Geosci. Environ. Prot. 2020, 8, 55–78. [Google Scholar] [CrossRef]
- Farid, M.; Younas, T.; Zaka, S.; Ahmed, M.; Javed, K.; Hussain, A.; Asam, Z.U.Z.; Farid, S.; Ali, S.; Zubair, M. Atmospheric Chemistry of Aerosols and Their Role in Global Climate Change. In Managing Plant Production Under Changing Environment; Hasanuzzaman, M., Ahammed, G.J., Nahar, K., Eds.; Springer Nature: Singapore, 2022; pp. 421–435. [Google Scholar] [CrossRef]
- Wang, Z.; Huang, X.; Ding, A. Optimization of vertical grid setting for air quality modelling in China considering the effect of aerosol-boundary layer interaction. Atmos. Environ. 2019, 210, 1–13. [Google Scholar] [CrossRef]
- Ou, J.; Hu, Q.; Xing, C.; Zhu, Y.; Feng, J.; Ji, X.; Zhang, M.; Wang, X.; Li, L.; Liu, T.; et al. Analysis of the Vertical Distribution and Driving Factors of Aerosol and Ozone Precursors in Huaniao Island, China, Based on Ground-Based MAX-DOAS. Remote Sens. 2023, 15, 5103. [Google Scholar] [CrossRef]
- Wang, H.; Sun, Z.; Li, H.; Gao, Y.; Wu, J.; Cheng, T. Vertical-distribution Characteristics of Atmospheric Aerosols under Different Thermodynamic Conditions in Beijing. Aerosol Air Qual. Res. 2018, 18, 2775–2787. [Google Scholar] [CrossRef]
- Li, Z.; Guo, J.; Ding, A.; Liao, H.; Liu, J.; Sun, Y.; Wang, T.; Xue, H.; Zhang, H.; Zhu, B. Aerosol and boundary-layer interactions and impact on air quality. Natl. Sci. Rev. 2017, 4, 810–833. [Google Scholar] [CrossRef]
- Tian, P.; Liu, D.; Zhao, D.; Yu, C.; Liu, Q.; Huang, M.; Deng, Z.; Ran, L.; Wu, Y.; Ding, S.; et al. In situ vertical characteristics of optical properties and heating rates of aerosol over Beijing. Atmos. Chem. Phys. 2020, 20, 2603–2622. [Google Scholar] [CrossRef]
- Liu, C.; Huang, J.; Fedorovich, E.; Hu, X.M.; Wang, Y.; Lee, X. The Effect of Aerosol Radiative Heating on Turbulence Statistics and Spectra in the Atmospheric Convective Boundary Layer: A Large-Eddy Simulation Study. Atmosphere 2018, 9, 347. [Google Scholar] [CrossRef]
- Lisok, J.; Rozwadowska, A.; Pedersen, J.G.; Markowicz, K.M.; Ritter, C.; Kaminski, J.W.; Struzewska, J.; Mazzola, M.; Udisti, R.; Becagli, S.; et al. Radiative impact of an extreme Arctic biomass-burning event. Atmos. Chem. Phys. 2018, 18, 8829–8848. [Google Scholar] [CrossRef]
- Zhao, D.; Xin, J.; Gong, C.; Quan, J.; Wang, Y.; Tang, G.; Ma, Y.; Dai, L.; Wu, X.; Liu, G.; et al. The impact threshold of the aerosol radiative forcing on the boundary layer structure in the pollution region. Atmos. Chem. Phys. 2021, 21, 5739–5753. [Google Scholar] [CrossRef]
- Ma, Y.; Ye, J.; Xin, J.; Zhang, W.; Vilà-Guerau de Arellano, J.; Wang, S.; Zhao, D.; Dai, L.; Ma, Y.; Wu, X.; et al. The Stove, Dome, and Umbrella Effects of Atmospheric Aerosol on the Development of the Planetary Boundary Layer in Hazy Regions. Geophys. Res. Lett. 2020, 47, e2020GL087373. [Google Scholar] [CrossRef]
- Su, T.; Li, Z.; Kahn, R. Relationships between the planetary boundary layer height and surface pollutants derived from lidar observations over China: Regional pattern and influencing factors. Atmos. Chem. Phys. 2018, 18, 15921–15935. [Google Scholar] [CrossRef]
- Mhawish, A.; Vinjamuri, K.S.; Singh, N.; Kumar, M.; Banerjee, T. Vertical Profiling of Aerosol and Aerosol Types Using Space-Borne Lidar. In Measurement, Analysis and Remediation of Environmental Pollutants; Gupta, T., Singh, S.P., Rajput, P., Agarwal, A.K., Eds.; Springer: Singapore, 2020; pp. 165–177. [Google Scholar] [CrossRef]
- Chazette, P.; Totems, J. Lidar Profiling of Aerosol Vertical Distribution in the Urbanized French Alpine Valley of Annecy and Impact of a Saharan Dust Transport Event. Remote Sens. 2023, 15, 1070. [Google Scholar] [CrossRef]
- Cai, Z.; Li, Z.; Li, P.; Li, J.; Sun, H.; Yang, Y.; Gao, X.; Ren, G.; Ren, R.; Wei, J. Vertical distributions of aerosol microphysical and optical properties based on aircraft measurements made over the Loess Plateau in China. Atmos. Environ. 2022, 270, 118888. [Google Scholar] [CrossRef]
- Chiliński, M.T.; Markowicz, K.M.; Kubicki, M. UAS as a Support for Atmospheric Aerosols Research: Case Study. Pure Appl. Geophys. 2018, 175, 3325–3342. [Google Scholar] [CrossRef]
- Ferrero, L.; Ritter, C.; Cappelletti, D.; Moroni, B.; Močnik, G.; Mazzola, M.; Lupi, A.; Becagli, S.; Traversi, R.; Cataldi, M.; et al. Aerosol optical properties in the Arctic: The role of aerosol chemistry and dust composition in a closure experiment between Lidar and tethered balloon vertical profiles. Sci. Total Environ. 2019, 686, 452–467. [Google Scholar] [CrossRef]
- Nicolae, D.; Talianu, C.; Nemuc, A.; Cârstea, E. Benefits and drawbacks of laser remote sensing in atmospheric research. Sci. Bull. J. Politeh. Univ. Buchar. A Ser. 2008, 70, 5–14. [Google Scholar]
- Herreras, M.; Román, R.; Cazorla, A.; Toledano, C.; Lyamani, H.; Torres, B.; Cachorro, V.E.; Olmo, F.J.; Alados-Arboledas, L.; de Frutos, A.M. Evaluation of retrieved aerosol extinction profiles using as reference the aerosol optical depth differences between various heights. Atmos. Res. 2019, 230, 104625. [Google Scholar] [CrossRef]
- Winker, D.M.; Vaughan, M.A.; Omar, A.; Hu, Y.; Powell, K.A.; Liu, Z.; Hunt, W.H.; Young, S.A. Overview of the CALIPSO Mission and CALIOP Data Processing Algorithms. J. Atmos. Ocean. Technol. 2009, 26, 2310–2323. [Google Scholar] [CrossRef]
- Liu, Z.; Osborne, M.; Anderson, K.; Shutler, J.D.; Wilson, A.; Langridge, J.; Yim, S.H.L.; Coe, H.; Babu, S.; Satheesh, S.K.; et al. Characterizing the performance of a POPS miniaturized optical particle counter when operated on a quadcopter drone. Atmos. Meas. Tech. 2021, 14, 6101–6118. [Google Scholar] [CrossRef]
- Markowicz, K.M.; Ritter, C.; Lisok, J.; Makuch, P.; Stachlewska, I.S.; Cappelletti, D.; Mazzola, M.; Chilinski, M.T. Vertical variability of aerosol single-scattering albedo and equivalent black carbon concentration based on in-situ and remote sensing techniques during the iAREA campaigns in Ny-Ålesund. Atmos. Environ. 2017, 164, 431–447. [Google Scholar] [CrossRef]
- Posyniak, M.A.; Markowicz, K.M.; Czyzewska, D.; Chilinski, M.T.; Makuch, P.; Zawadzka-Manko, O.; Kucieba, S.; Kulesza, K.; Kachniarz, K.; Mijal, K.; et al. Experimental study of smog microphysical and optical vertical structure in the Silesian Beskids, Poland. Atmos. Pollut. Res. 2021, 12, 101171. [Google Scholar] [CrossRef]
- Markowicz, K.M.; Chiliński, M.T. Evaluation of Two Low-Cost Optical Particle Counters for the Measurement of Ambient Aerosol Scattering Coefficient and Ångström Exponent. Sensors 2020, 20, 2617. [Google Scholar] [CrossRef] [PubMed]
- Chojnicki, B.; Urbaniak, M.; Józefczyk, D.; Augustin, J.; Olejnik, J. Measurements of gas and heat fluxes at Rzecin wetland. In Wetlands: Monitoring, Modeling and Management; Okruszko, T., Maltby, E., Szatylowicz, J., Miroslaw-Swiatek, D., Kotowski, W., Eds.; Taylor & Francis Group: London, UK, 2007; pp. 125–131. [Google Scholar]
- Harenda, K.M.; Markowicz, K.M.; Poczta, P.; Stachlewska, I.S.; Bojanowski, J.S.; Czernecki, B.; McArthur, A.; Schütemeyer, D.; Chojnicki, B.H. Estimation of the effects of aerosol optical properties on peatland production in Rzecin, Poland. Agric. For. Meteorol. 2022, 316, 108861. [Google Scholar] [CrossRef]
- Chiliński, M.T.; Markowicz, K.M.; Zawadzka, O.; Stachlewska, I.S.; Lisok, J.; Makuch, P. Comparison of Columnar, Surface, and UAS Profiles of Absorbing Aerosol Optical Depth and Single-Scattering Albedo in South-East Poland. Atmosphere 2019, 10, 446. [Google Scholar] [CrossRef]
- Ferrero, L.; Castelli, M.; Ferrini, B.S.; Moscatelli, M.; Perrone, M.G.; Sangiorgi, G.; D’Angelo, L.; Rovelli, G.; Moroni, B.; Scardazza, F.; et al. Impact of black carbon aerosol over Italian basin valleys: High-resolution measurements along vertical profiles, radiative forcing and heating rate. Atmos. Chem. Phys. 2014, 14, 9641–9664. [Google Scholar] [CrossRef]
- Chilinski, M.T.; Markowicz, K.M.; Markowicz, J. Observation of vertical variability of black carbon concentration in lower troposphere on campaigns in Poland. Atmos. Environ. 2016, 137, 155–170. [Google Scholar] [CrossRef]
- Badura, M.; Batog, P.; Drzeniecka-Osiadacz, A.; Modzel, P. Regression methods in the calibration of low-cost sensors for ambient particulate matter measurements. Discov. Appl. Sci. 2019, 1, 622. [Google Scholar] [CrossRef]
- Nakayama, T.; Suzuki, H.; Kagamitani, S.; Ikeda, Y.; Uchiyama, A.; Matsumi, Y. Characterization of a Three Wavelength Photoacoustic Soot Spectrometer (PASS-3) and a Photoacoustic Extinctiometer (PAX). J. Meteorol. Soc. Jpn. Ser. II 2015, 93, 285–308. [Google Scholar] [CrossRef]
- Wang, D.; Stachlewska, I.S.; Delanoë, J.; Ene, D.; Song, X.; Schüttemeyer, D. Spatio-temporal discrimination of molecular, aerosol and cloud scattering and polarization using a combination of a Raman lidar, Doppler cloud radar and microwave radiometer. Opt. Express 2020, 28, 20117–20134. [Google Scholar] [CrossRef]
- Holben, B.N.; Eck, T.F.; Slutsker, I.; Tanré, D.; Buis, J.P.; Setzer, A.; Vermote, E.; Reagan, J.A.; Kaufman, Y.J.; Nakajima, T.; et al. AERONET—A Federated Instrument Network and Data Archive for Aerosol Characterization. Remote Sens. Environ. 1998, 66, 1–16. [Google Scholar] [CrossRef]
- Stein, A.F.; Draxler, R.R.; Rolph, G.D.; Stunder, B.J.B.; Cohen, M.D.; Ngan, F. NOAA’s HYSPLIT Atmospheric Transport and Dispersion Modeling System. Bull. Am. Meteorol. Soc. 2015, 96, 2059–2077. [Google Scholar] [CrossRef]
- Markowicz, K.M.; Stachlewska, I.S.; Zawadzka-Manko, O.; Wang, D.; Kumala, W.; Chilinski, M.T.; Makuch, P.; Markuszewski, P.; Rozwadowska, A.K.; Petelski, T.; et al. A Decade of Poland-AOD Aerosol Research Network Observations. Atmosphere 2021, 12, 1583. [Google Scholar] [CrossRef]
- Gelaro, R.; McCarty, W.; Suárez, M.J.; Todling, R.; Molod, A.; Takacs, L.; Randles, C.A.; Darmenov, A.; Bosilovich, M.G.; Reichle, R.; et al. The Modern-Era Retrospective Analysis for Research and Applications, Version 2 (MERRA-2). J. Clim. 2017, 30, 5419–5454. [Google Scholar] [CrossRef]
- Schmid, O.; Artaxo, P.; Arnott, W.P.; Chand, D.; Gatti, L.V.; Frank, G.P.; Hoffer, A.; Schnaiter, M.; Andreae, M.O. Spectral light absorption by ambient aerosols influenced by biomass burning in the Amazon Basin. I: Comparison and field calibration of absorption measurement techniques. Atmos. Chem. Phys. 2006, 6, 3443–3462. [Google Scholar] [CrossRef]
- Collaud Coen, M.; Weingartner, E.; Apituley, A.; Ceburnis, D.; Fierz-Schmidhauser, R.; Flentje, H.; Henzing, J.S.; Jennings, S.G.; Moerman, M.; Petzold, A.; et al. Minimizing light absorption measurement artifacts of the Aethalometer: Evaluation of five correction algorithms. Atmos. Meas. Tech. 2010, 3, 457–474. [Google Scholar] [CrossRef]
- Lynch, P.; Reid, J.S.; Westphal, D.L.; Zhang, J.; Hogan, T.F.; Hyer, E.J.; Curtis, C.A.; Hegg, D.A.; Shi, Y.; Campbell, J.R.; et al. An 11-year global gridded aerosol optical thickness reanalysis (v1.0) for atmospheric and climate sciences. Geosci. Model Dev. 2016, 9, 1489–1522. [Google Scholar] [CrossRef]
- Florczyk, G.; Markowicz, K.; Witek, M. How does the novel EDMF-AERO model help to study Aerosol-PBL Interactions? Initial testing and results. In Proceedings of the Copernicus Meetings EMS2024, Barcelona, Spain, 2–6 September 2024. number EMS2024-241. [Google Scholar] [CrossRef]
















| Type of Instruments | Equipment | Wavelength [nm] | Time Resolution [s] | Parameters |
|---|---|---|---|---|
| sUAS | AE-51 | 880 | 1 | eBC, AAC |
| Radiosonde RS92SGP | - | 1 | T, RH, P | |
| PMS7003 | - | 1 | PM1, PM2.5, PM10, ASC | |
| Remote sensing | EMORAL lidar | 355, 355 s, 387, 407, 532, 532 s, 607, 1064 | 1 | BASC, AEC |
| CIMEL | 340, 380, 440, 500, 675, 870, 936, 1020, 1640 | about 600–900 | AOD, SSA, AAOD | |
| Ground-base in-situ | AE-31 | 370, 470, 520, 590, 660, 880, 950 | 300 | eBC, AAC |
| PAX 532 | 532 | 60 | ASC, AAC, SSA | |
| PAX 870 | 870 | 60 | ASC, AAC, SSA |
| Parameter | May | June | July | Aug | Sep | |
|---|---|---|---|---|---|---|
| AOD at 550 nm | smoke | 0.007 | −0.003 | −0.002 | 0.022 | 0.001 |
| dust | 0.003 | −0.006 | −0.014 | 0.008 | −0.007 | |
| sulphate | 0.010 | 0.005 | −0.012 | 0.004 | −0.003 | |
| seasalt | −0.10 | 0.002 | −0.004 | 0.001 | −0.002 | |
| TOTAL | 0.010 | −0.003 | −0.031 | 0.034 | −0.012 | |
Disclaimer/Publisher’s Note: The statements, opinions and data contained in all publications are solely those of the individual author(s) and contributor(s) and not of MDPI and/or the editor(s). MDPI and/or the editor(s) disclaim responsibility for any injury to people or property resulting from any ideas, methods, instructions or products referred to in the content. |
© 2024 by the authors. Licensee MDPI, Basel, Switzerland. This article is an open access article distributed under the terms and conditions of the Creative Commons Attribution (CC BY) license (https://creativecommons.org/licenses/by/4.0/).
Share and Cite
Chilinski, M.T.; Markowicz, K.M.; Poczta, P.; Chojnicki, B.H.; Harenda, K.M.; Makuch, P.; Wang, D.; Stachlewska, I.S. Vertical Profiles of Aerosol Optical Properties (VIS/NIR) over Wetland Environment: POLIMOS-2018 Field Campaign. Remote Sens. 2024, 16, 4580. https://doi.org/10.3390/rs16234580
Chilinski MT, Markowicz KM, Poczta P, Chojnicki BH, Harenda KM, Makuch P, Wang D, Stachlewska IS. Vertical Profiles of Aerosol Optical Properties (VIS/NIR) over Wetland Environment: POLIMOS-2018 Field Campaign. Remote Sensing. 2024; 16(23):4580. https://doi.org/10.3390/rs16234580
Chicago/Turabian StyleChilinski, Michal T., Krzysztof M. Markowicz, Patryk Poczta, Bogdan H. Chojnicki, Kamila M. Harenda, Przemysław Makuch, Dongxiang Wang, and Iwona S. Stachlewska. 2024. "Vertical Profiles of Aerosol Optical Properties (VIS/NIR) over Wetland Environment: POLIMOS-2018 Field Campaign" Remote Sensing 16, no. 23: 4580. https://doi.org/10.3390/rs16234580
APA StyleChilinski, M. T., Markowicz, K. M., Poczta, P., Chojnicki, B. H., Harenda, K. M., Makuch, P., Wang, D., & Stachlewska, I. S. (2024). Vertical Profiles of Aerosol Optical Properties (VIS/NIR) over Wetland Environment: POLIMOS-2018 Field Campaign. Remote Sensing, 16(23), 4580. https://doi.org/10.3390/rs16234580

