Abstract
Although UAV height is precisely determined using GNSS, the vertical distance between the UAV and the sea surface should be subtracted to obtain the sea surface height (SSH). This distance can be measured using nadir-looking LiDAR or GNSS reflectometry (GNSS-R); thus, these two methods are examined in this study through three two-minute UAV experimental flights. The measurements of the flight-averaged SSHs made with both approaches were in good agreement with the reference SSH determined from a GNSS buoy, with differences of 0.03 m (LiDAR) and 0.05 m (GNSS-R), although the standard deviation (SD) for GNSS-R (1.72 m) was significantly larger than that for LiDAR (0.20 m). Each 4 Hz GNSS-R measurement was subject to errors caused by surface waves, though over 16 GNSS reflection points within a 70 m diameter footprint were used; these errors were, however, removed in the temporal mean. Extending the footprint diameter to 230 m with stronger data quality controls resulted in a smaller error (0.02 m) and SD (0.79 m). Meanwhile, LiDAR measured the flat-surface SSH at the nadir only, which inherently filtered out slant reflections, resulting in a lower SD. However, this filter reduces data acquisition rates, especially when the UAV attitude tilts.
1. Introduction
Sea surface height (SSH) is one of the primary variables in physical oceanography. Apart from the measurement of long-term sea level changes due to global warming, the spatial SSH gradient is also used to measure surface geostrophic velocity. Because tide gauges on seashores cannot observe offshore SSH, satellite altimeters are mostly used to observe offshore SSH topography. Since the recent successful launch of the SWOT (Surface Water and Ocean Topography) altimeter mission [1], satellite observations have been expanded to SSH variations with smaller temporal and spatial scales such as internal tides, which are associated with ageostrophic phenomena. Accordingly, the need to observe in situ SSH at an arbitrary time and location has increased in order to validate or expand the SSH observations of SWOT and conventional satellite altimeters.
However, in situ, offshore SSH observations have several limitations. The SSH varies with various temporal and spatial scales, such as surface waves and tides, so SSH variation components that are unnecessary may be included in a single measurement. For example, in order to eliminate SSH elevations caused by surface waves, either the temporal averaging of observations at a stationary point over a period longer than wave periods or spatial averaging with observations covering wider areas than wavelengths are required. Moreover, unlike coastal tide gauges, obtaining absolute SSH values is challenging due to the absence of a clear reference coordinate frame in the open ocean.
Using the global navigation satellite system (GNSS), which can provide height data with respect to the reference coordinates such as the world geodetic system (WGS84) ellipsoid, can reduce the latter problem. Recently, the accuracy of GNSS height measurements has been significantly improved because of the increased number of available GNSS satellites, including GPS, GLONASS, Galileo, BeiDou, and QZSS, and also because of the improved repository of GNSS data at position-fixed base stations and the progress of the positioning methods [2,3]. A stationary GNSS antenna can have its height measured to within a few millimeters, while a rover’s antenna can have its height measured to within a few centimeters, although these accuracy levels depend highly on several factors, such as the number of GNSS satellites that are available; their elevation angles; and the occurrence of various errors, such as multipath errors and tropospheric and ionospheric delays.
Though GNSS can provide the height of the GNSS antenna, an additional measurement is necessary to determine the SSH, which is the vertical distance between the sea surface and the antenna. This distance can be regarded as fixed if the GNSS antenna is settled just above the sea surface, such as for a GNSS buoy or a floating plate [4,5,6], but its observational area coverage is limited. To achieve wider coverage, GNSS systems are mounted on rover vehicles, such as ships [7], unmanned aerial vehicles (UAVs) [8,9,10], and aircraft [11,12,13]. Among them, using UAVs (especially multi-copters) is one of the most practical ways to measure the wave-averaged SSH because UAVs can measure the sea surface at a higher altitude while maintaining the position by hovering, which is suitable for the spatial and temporal averaging required for the removal of SSH elevations induced by surface waves. Although UAVs have limiting factors (such as battery life, flight distance, and payload limitations), the number of simultaneous observation points can be expanded by using several low-cost UAVs at the same time. In other words, the use of UAV altimeters would be equivalent to numerous short-term observations obtained by deploying and recovering many GNSS buoys, assuming UAV altimeters have the same level of accuracy as GNSS buoys.
Light detection and ranging (LiDAR) sensors are often used to determine the distance between a sensor and a surrounding material by measuring the travel time of the reflected light emitted from the sensor. Especially in land applications, three-dimensional (3D) positioning is possible using point clouds of multi-angle LiDAR sensors [9,14]. Unfortunately, however, most light reflected from off-nadir points does not return to the sensor because the sea surface slope is primarily flat [15,16,17], making 3D LiDAR point clouds unsuitable for SSH measurements. Therefore, only the distance between the sensor and the sea surface at the nadir point, namely, the vertical distance, can be measured by the nadir LiDAR [10]. The diameters of the nadir points would be less than 0.5 m because the maximum optical range of a low-cost LiDAR sensor is around 50 m, and the beam divergence is narrower than 0.5° (Figure 1a). The wave-averaged SSH will be determined by the temporal mean of the observed SSH at a point over a duration longer than wave periods. The UAV will move to another point for the next observation duration.
Figure 1.
Schematic figure of (a) a nadir LiDAR UAV altimeter and (b) a GNSS-R UAV altimeter. Green arrows with broken lines indicate UAV movements, yellow circles show measured sea surface areas (footprints), and dark circles represent previously observed areas. In the subfigure (b), paths of GNSS signals reflected at the sea surface are also indicated by dotted lines.
Apart from these nadir distance observations, altimetry using GNSS reflectometry (GNSS-R) is another approach to determine the UAV height by measuring bistatic slant ranges [8,18,19,20,21,22]. GNSS-R uses GNSS signals reflected at the sea surface, which are typically disregarded in GNSS positioning due to the potential for multipath errors. GNSS-R altimetry dares to use them by measuring the excess path lengths of the reflected GNSS signals with respect to the direct GNSS signals. The vertical distance between the UAV and the reflection point at the sea surface can be estimated for each GNSS satellite so that the method inherently averages the SSH spatially over a wide area using various GNSS satellites (Figure 1b).
In GNSS-R altimetry, the excess path length can be measured using several methods. Its temporal variations can be related to interferometric changes in the strength of the mixed direct and reflected GNSS signals (GNSS interferometric reflectometry; GNSS-IR) with a single GNSS antenna [22,23], but the direct and reflected GNSS signals should be separately received by two independent antennas to determine its absolute values. For the precise determination of the excess path length, several complex post-processes, such as the retracking of waveforms (or delay-Doppler maps) and carrier-phase processing, are required for the observed direct and reflected GNSS signals simultaneously recorded by a synchronized receiver [13,19,20,21]. In the present study, however, low-cost GNSS-R altimetry that uses independent low-cost receivers instead of an expensive synchronized receiver are adopted [8] for a lighter installation payload and also for the potential of lower costs to increase the number of UAV GNSS-R altimeters, although each measurement becomes less accurate. Low-cost GNSS-R UAV altimeters have never been applied before at sea where surface waves are present.
Both short-wavelength wind waves and long-wavelength swells are present at sea. Temporal or spatial averaging removes wave-induced SSH elevations due to the zero-mean nature of surface wave elevations. However, sea surface waves also change the sea surface slope conditions, which can significantly affect the reflection of infrared light and microwaves. Although sea surface slopes also have a zero-mean nature with the Gaussian distribution of their probability functions [15,16,17], the effects of the sea surface slopes could have different results in the nadir LiDAR and low-cost GNSS-R altimeters. Therefore, in this study, we conducted UAV flight experiments to validate the wave-averaged SSH measurements of both nadir LiDAR and low-cost GNSS-R UAV altimeters. We focused on the effects of sea surface slopes caused by surface waves, which have not been fully discussed in previous research [8,10].
Details of UAV altimetry will be provided in Section 2. Our UAV flight experiments are described in Section 3, and the results of the validation of the nadir LiDAR and low-cost GNSS-R UAV altimeters are provided in Section 4. Section 5 discusses errors, considering the effects of sea surface slopes and the movements of the UAV. Finally, the conclusions are summarized in Section 6.
2. Methods
As shown in the schematic figure in Figure 2, the SSH () from the reference ellipsoid is determined using UAV altimeters by subtracting the vertical distance between the UAV and the sea surface from the height of the UAV itself (), namely, . In the present study, two methods to obtain the vertical distance from the UAV (i.e., nadir LiDAR and low-cost GNSS-R) are examined.
Figure 2.
Schematic figure of GNSS altimeters with a smooth flat sea surface.
The UAV height is accurately determined using the recent GNSS positioning method. Similarly, assuming that a buoy floating at the sea surface follows the variations of the SSH exactly, the SSH at a point can be accurately measured with a GNSS buoy such as . In this study, therefore, the measurable vertical distance is compared with that observed using the nadir LiDAR altimeter () and that estimated from the low-cost GNSS-R altimeter ().
2.1. Nadir LiDAR UAV Altimeter
Infrared beams transmitted from the downward sensor on the UAV at the nadir angle are reflected at the flat sea surface and the temporal delay in the returned beam can measure the round-trip distance to the sea surface (2). Notably, the infrared lights are reflected at the sea surface without penetrating the water body.
When SSH elevations caused by surface waves are present, the vertical distance inversely variates following the wave-generated elevations, but they can be averaged out in the long-term temporal mean. When the sea surface is tilted due to surface waves, the reflection conditions of infrared lights change; the effects of these sea surface slopes will be studied later in this research.
2.2. Low-Cost GNSS-R UAV Altimeter
Because a GNSS satellite is far enough from the Earth’s surface, it transmits almost parallel microwave paths over a local area, but only selected paths can reach the receivers on the UAV that satisfy the geometric reflection condition. Considering a smooth flat sea surface, the signals reflected at the ideal geometric reflection point on the sea surface can reach the receiver on the UAV along with signals directly from the GNSS satellite (Figure 2). Notably, the direct and reflected GNSS signals can be separately received on the UAV because their microwave polarizations are different; the direct GNSS signals have right-handed circular polarization (RHCP), while the reflected signals have left-handed circular polarization (LHCP).
The reflected signal always travels along a longer path length () from the GNSS satellite than the direct signal (), although both experience almost the same ionospheric and tropospheric conditions if the UAV altitude is not very high. As shown in Figure 2, when the mirror image of the receiver relative to the sea surface is considered, the excess range length (Δ) will form one side of the red right triangle shown in Figure 2, whose hypotenuse is twice the vertical distance between the UAV and the sea surface (2), and its vertex is the elevation angle of the GNSS satellite (). At a given j-th epoch (),
If both direct and reflected GNSS signals are received simultaneously by one synchronized receiver, the difference in the pseudo ranges of the direct and reflected signals will provide estimations of according to Equation (1), although both measurements are subject to unknown measurement noises that include errors due to slight differences in the paths in the ionosphere and wet troposphere.
In a low-cost GNSS-R system, however, one expensive synchronized receiver is replaced by two independent low-cost GNSS receivers [8]. This replacement introduces additional unknown clock bias between the two receivers at the j-th epoch. However, because this clock bias is common for all GNSS satellites recorded at the given j-th epoch, the pseudo ranges of the direct and reflected GNSS signals for a given i-the GNSS satellite will satisfy the following:
where is the pseudo range of the direct GNSS signal, is the pseudo range of the reflected GNSS signal, is the vertical distance between the UAV and the sea surface at the ideal reflection point of the given satellite, is the elevation angle of the satellite, c is the speed of light, and is the unknown measurement noises of and . In the present study, the pseudo ranges were determined from C/A codes. Notably, the pseudo ranges and themselves are subject to various errors, but common errors are not included in the difference .
When SSH elevations caused by ocean surface waves are present, the vertical distance observed at one reflection point may differ from that of the wave-averaged SSH (Figure 3). Each includes an error , just as for an observation of the wave-averaged . If the number of available GNSS satellites () is large, the wave-averaged SSH would be close to the spatial mean of the SSH over various reflection points; namely, / would become negligibly small.
Figure 3.
Schematic figure of the GNSS-R UAV altimeter with surface waves. The wave-averaged SSH is shown with a horizontal broken line. Parallel paths from a GNSS satellite and reflected paths with a tilted surface at an angle are plotted by colored bold arrows. For reference, reflected paths with a flat surface are plotted with thin gray lines. Both the ideal reflection point with a non-tilted sea surface shown in Figure 2 (red circle) and the actual reflection point with a tilted surface (green circle) are plotted.
In addition, surface waves also tilt the sea surface, which changes the microwave reflection conditions. As shown in Figure 3, the actual reflection point , where the reflected signals at the tilted sea surface reach the UAV, is horizontally shifted from the ideal reflection point assumed in Figure 2. Because the sea surface waves are highly variable in both time and space, the individual horizontal shift of the actual reflection point at the j-th epoch is practically not determined; thus, the actual path length deviates from the one in Figure 2 that assumes an ideal smooth flat sea surface, producing an unknown error . However, since surface waves are most likely to occur at zero elevation and zero slope [15,16,17], the error could be statistically reduced if the is large.
Equation (2) can be written for the wave-averaged distance as
When is larger than three and the unknown distance and the unknown clock bias for the given j-th epoch can be mathematically determined using the least squares (LS) method, as in [8], by minimizing
The estimated wave-averaged distance and clock bias are determined at each j-th epoch from all GNSS reflection points within the observational coverage area (or a “footprint”). The diameter of this GNSS footprint depends on the smallest elevation angle and the UAV height , as ; this becomes approximately 69 m for 20 m and = 30°, and 227 m for = 10°.
Notably, Equation (4) minimizes the root sum error , but the footprint mean error / caused by the horizontal shifts of actual reflection points does not become zero, unlike the error caused by wave-generated elevations of the reflection points. This is because never becomes negative, since the reflection path at the ideal geometric reflection point is the shortest among all reflection paths if the elevation is set to zero. Therefore, the positive footprint mean remains as a bias delay length in all GNSS reflected paths . In practice, however, this bias could be accounted for as a part of the estimated clock bias in the LS method, but the estimated clock bias cannot be validated due to the absence of the true reference values. Meanwhile, because and are not independent, the actual behavior of errors + due to surface waves are examined later in this study.
3. Materials
In this study, we used a waterproof UAV (Swellpro, Sprash Drone 3+). An upward RHCP antenna for the direct GNSS signals and a downward LHCP antenna for the reflected GNSS signals were installed on the UAV, as in Figure 4a,b, respectively (Table 1). Additionally, a LiDAR sensor was attached to the bottom of the UAV (Figure 4b and Table 1). We conducted three two-minute flights on 28 and 29 August 2022, in the southern area of Sadamisaki Peninsula, Japan (Figure 5, Table 2). The UAV was launched from R/V Isana, Ehime University (14 gross tons), and landed on the sea surface.
Figure 4.
Sensors used in the experiments. (a) UAV top view; (b) UAV bottom view; (c) 0.12 m diameter GNSS buoy; (d) 1.5 m height reference GNSS antenna.
Table 1.
Sensors used in this study.
Figure 5.
Experiment location map. Locations of the three flight sites (red circles), the reference GNSS antenna and the bottom pressure gauge (green square) and GEONET station #970828 (yellow star) are indicated.
Table 2.
Location and period of observations.
To evaluate and , we also deployed a small 0.12 m diameter GNSS buoy (Figure 4c) on the sea surface beneath the UAV during its flights, which directly measured the reference SSH as in Figure 2. The antenna was designed to be close to the sea surface, so that only the upper half of the buoy ball is above the sea surface, which avoids multipath contamination from the sea surface surrounding the ball.
In addition, a long time series of the SSH variations was observed via a bottom pressure gauge in a shallow semi-enclosed fishing port close to the locations of the UAV flights (Figure 5 and Table 2). Notably, neither tidal heights nor barometric pressure heights are removed from any SSH observations (GNSS buoy, bottom pressure gauge, UAV LiDAR, and low-cost GNSS-R).
The heights of the UAV () and the GNSS buoy () from the WGS84 tide-free ellipsoid were determined using the RTKLIB post-processed kinematic (PPK) positioning method [3,8,24], which referred to a fixed GNSS antenna on land (Figure 4d and Figure 5 and Table 2). The precise positioning of this reference GNSS antenna was performed using the RTK static positioning method [3], referring to Ehime-Misaki Station (#970828) of the Japanese GNSS Earth Observation Network System (GEONET; https://www.gsi.go.jp/ENGLISH/geonet_english.html) accessed on 23 September 2022, which is operated by the Geospatial Information Authority of Japan (Figure 5, Table 2). To reduce tropospheric and ionospheric errors, GNSS satellites whose elevation angles were less than 30° were eliminated in the positioning process (Figure 6). Signals weaker than 20 dBHz were also not used; this study focuses on significant GNSS reflections at the primary reflection points only and the weak scattering of GNSS signals by small ripples on the sea surface is not counted.
Figure 6.
A plot for the azimuth and elevation angles (Skyplot) of GNSS satellites during Flight 1 (a) and Flights 2 and 3 (b). Letter “G” stands for “GPS”, “R” for “GLONASS”, “C” for “BeiDou”, and “J” for “QZSS”. Numbers indicate the PRN (pseudo-random noise code) assigned to each satellite. Areas whose elevation angle is larger than 10° and 30° are highlighted.
4. Results
4.1. SSH Measurements Obtained Using GNSS Buoy,
Before validating and , the reference SSH observed using the GNSS buoy should be examined first. The temporal variations in (Figure 7) show fluctuations in the order of a few tens of centimeters around almost constant sea levels during nearly two-minute flights. The standard deviation (SD) in Table 3 includes not only the uncertainty of the PPK positioning method but also SSH elevations caused by ocean surface waves. In particular, the SSH variations with periods of a few seconds shown in Figure 7 were caused by surface waves. Notably, the wind speed was around 2 to 3 ms−1 during the experiments, which is consistent with small wave heights indicated by the small SD of .
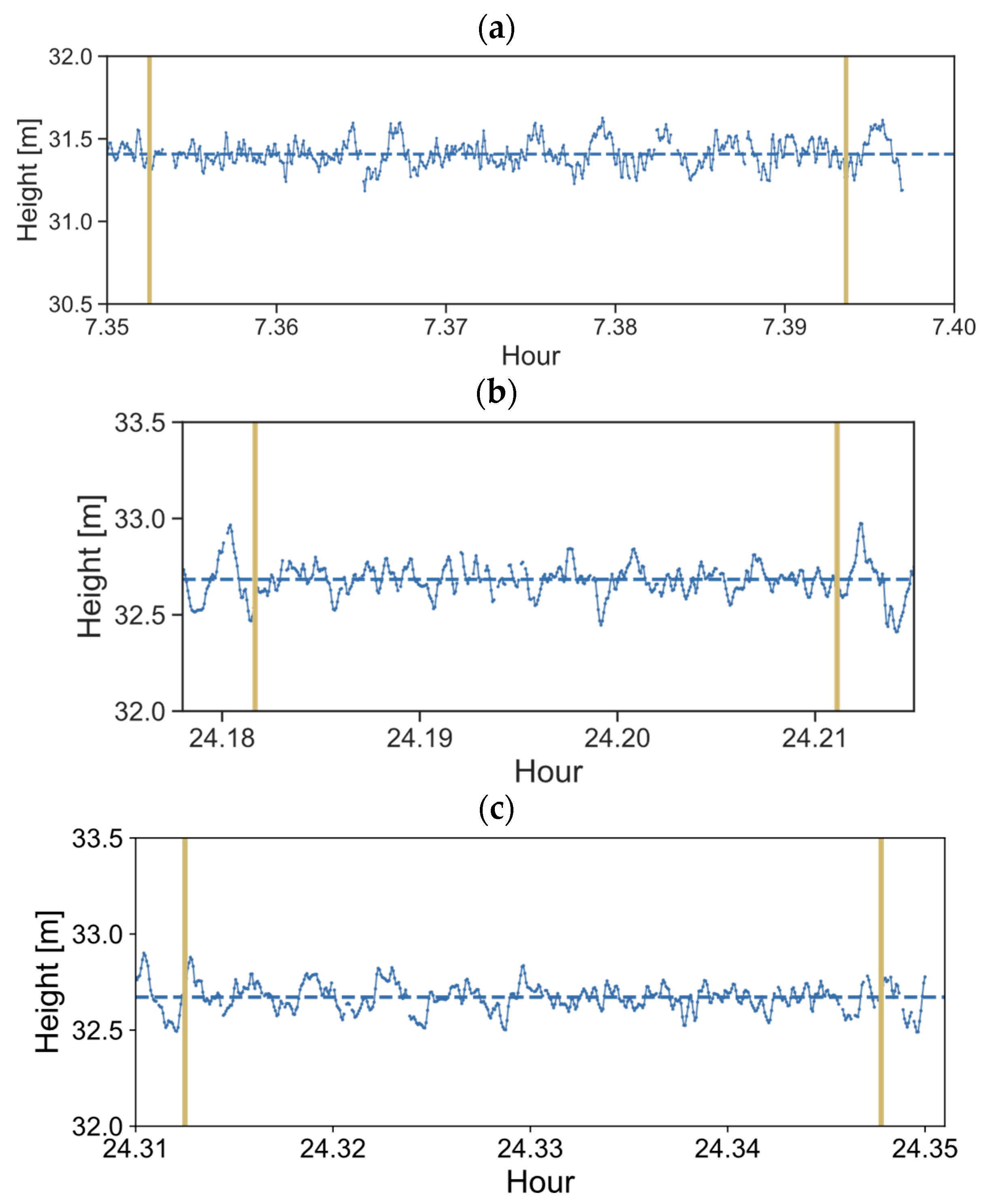
Figure 7.
Variations in the SSH measured by the GNSS buoy, , during Flight 1 (a), 2 (b), and 3 (c). Vertical lines denote the start and end of the flight statistics, which are five seconds after the taking off time and five seconds before the landing time shown in Table 2, respectively. Horizontal broken lines indicate the flight-mean values.
Table 3.
Statistics of the flight-mean SSH measured by the GNSS buoy.
As shown in Table 3, the flight-mean SSH is the lowest in Flight 1 and the highest in Flight 2. A longer time series of the bottom pressure gauge record shown in Figure 8 quantitatively confirms the same tendency of the SSH variations. The height differences between Flights 1 and 2, 1 and 3, and 3 and 2 are 1.277 m, 1.264 m, and 0.013 m, respectively, and are recorded as 1.376 m, 1.346 m, and 0.03 m by the bottom pressure gauge, suggesting that the amplitude of the variations is similar but slightly larger in the bottom pressure gauge record. The reason for this could be the slight amplification of the tidal signal in the shallow semi-enclosed fishing port.
Figure 8.
Depth variations measured by the bottom pressure gauge. The times of Flights 1, 2, and 3 are indicated by vertical bars. Blue circles show flight-mean with an arbitrary bias (25.587 m) removed to match the depth of the bottom pressure gauge.
4.2. UAV Height Measurements,
Figure 9 and Figure 10 plot the variations in the UAV height and in the UAV horizontal speed and directions, respectively. The UAV was launched from R/V Isana and horizontally moved away from the ship at a speed of 1.5 ms−1 (Flight 2) or 4 ms−1 (Flights 1, 3) during the ascending period. Then, the UAV hovered at an altitude of approximately 15 m or 20 m above the sea surface, keeping its horizontal position. During the descending period, the UAV moved toward the ship, which was drifting during the hovering period, at a horizontal speed of approximately 3 ms−1 (Flight 2) or 1.5 ms−1 (Flight 3). For Flight 1, four hovering altitudes (23 m, 20 m, 15 m, and 12 m) were examined, and the 2 ms−1 horizontal movement was only performed at the descent from the 20 m to 15 m altitude, or from 7:22:36 (7.377 h) to 7:22:59 (7.383 h). To avoid unwilling GNSS or LiDAR reflection from the ship, we set our analysis period five seconds away from the takeoff and landing time.
Figure 10.
Variations in the UAV speed (blue) and heading direction (red) during Flight 1 (a), 2 (b), and 3 (c); the speed and direction are smoothed over two seconds. The heading direction is measured clockwise from the north as the azimuth angle in Figure 6 and is not determined when the speed is less than 1.0 ms−1. Vertical lines are the same as in Figure 7.
At the landing times, the UAV height shown in Figure 9 comes close to the blue broken lines that show the flight-mean SSH measured by the GNSS buoy in Figure 7. On the contrary, is higher by a few meters at takeoff. This is reasonable since the deck of the ship is higher than the sea surface by a few meters. Landing onto the sea surface, which is a significant advantage of the use of a waterproof UAV, enables the consistency between the independent and measurements to be shown.
4.3. Vertical Height Measurements Obtained by UAV Altimeters
4.3.1. Results of Nadir LiDAR UAV Altimeter
The variations in the vertical distance between the UAV and the sea surface measured using the nadir LiDAR UAV altimeter are plotted in Figure 11. Fundamentally, these plotted points form clear lines with similar patterns to the UAV height in Figure 9, suggesting that the measured SSH, , is nearly constant over the flight durations. This tendency does not change by the height of the UAV, e.g., in Flight 1.
Figure 11.
The vertical distance between the UAV and the sea surface was measured by the nadir LiDAR UAV altimeter (; red circles) during Flight 1 (a), 2 (b), and 3 (c). Missing values are plotted at 0 m by red crosses. Vertical lines are the same as in Figure 7.
It should be emphasized that numerous LiDAR observations are missing, as indicated by red cross marks at 0 m in Figure 11. Particularly, in Flight 2 (Figure 11b), only a few LiDAR measurements are available during the descending period between 24.20 h and 24.21 h. During this time, the UAV traveled horizontally at stable speeds higher than 2 ms−1 (Figure 10b). In Flight 3 (Figure 11c), the acquisition rate of the LiDAR data, or the density of the plotted red circles, was also lower during the descending period (from 24.34 h to 24.35 h) than the position-keeping hovering period (from 24.32 h to 24.34 h), with the exception of 24.345 h, when the horizontal UAV movement ceased (Figure 9c). This inhomogeneous acquisition rate was also seen in Flight 1 at around 7.38 h (Figure 10a and Figure 11a).
4.3.2. Results for the Low-Cost GNSS-R UAV Altimeter
Figure 12 depicts the temporal variations in the vertical distance obtained from the low-cost GNSS-R UAV altimeter. Similarly to Figure 11, these variations follow the same pattern as the UAV height in Figure 9, but the points for the low-cost GNSS-R distance in Figure 12 are clearly more scattered than the LiDAR distance in Figure 11, implying that each GNSS-R measurement is noisier than the nadir LiDAR measurement. Meanwhile, the acquisition rate of the GNSS-R data is nearly constant across all flights.
Figure 12.
The vertical distance between the UAV and the sea surface is measured by the low-cost GNSS-R UAV altimeter (; gray dots) during Flights 1 (a), 2 (b), and 3 (c). Vertical lines are the same as in Figure 7.
4.4. Validation of the SSH Observed by the Nadir LiDAR and Low-Cost GNSS-R UAV Altimeters
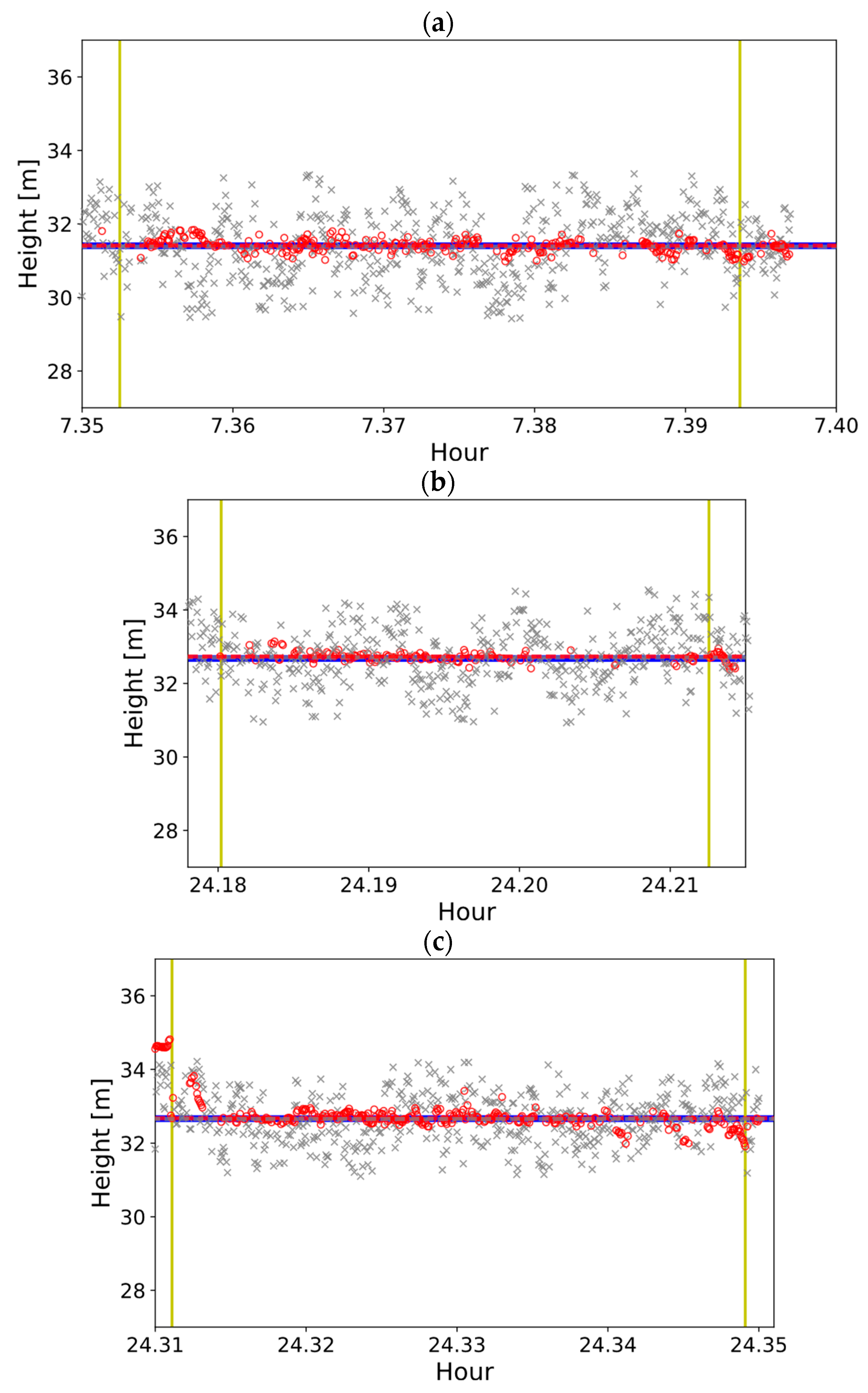
The variations in the SSH determined with both the nadir LiDAR and low-cost GNSS-R UAV altimeters are plotted in Figure 13, where and , respectively. Compared to the flight-mean SSH determined using the GNSS buoy (Table 3), the flight-mean error and the SD around this flight-mean error were calculated for each flight and are summarized in Table 4; the flight-mean SSHs are also shown as horizontal broken lines in Figure 13. Notably, the upward GNSS antenna is installed 0.098 m higher than the downward GNSS antenna and 0.157 m higher than the LiDAR sensor, as shown in Figure 4a,b. These differences were adjusted in both comparisons with and and and . The obvious outliers, and , were removed from these calculations if their divergence from the mean value was greater than twice the SD. For example, a single value in Flight 3 at 24.3355 h, which was roughly 5 m lower than the rest of the surrounding data (Figure 11c), was deleted as an outlier in Table 4 and is out of range in Figure 13c. The number of 4 Hz observations (epochs) used in the statistical calculations is shown in Table 4 as “Numb. Epochs”.
Figure 13.
SSH variations estimated by the nadir LiDAR UAV altimeter (; red circles) and the low-cost GNSS-R UAV altimeter (; gray crosses) during Flight 1 (a), 2 (b), and 3 (c). Red and gray horizontal broken lines are the flight-mean and , respectively, and blue horizontal lines are the flight-mean shown in Figure 6. Vertical lines are the same as in Figure 7.
Table 4.
Statistics of SSH estimation errors in and with respect to ; ; and .
As discussed in the previous subsections, the SSH measured by the nadir LiDAR altimeter is significantly less dispersed than that of the low-cost GNSS-R altimeter ; the SD for always exceeds 1.6 m, which is approximately 7 to 13 times greater than that for (Table 4). Meanwhile, the flight-mean error from for the low-cost GNSS-R, namely , remains less than 0.06 m, which is not substantially different from that of the nadir LiDAR, . The root mean square (RMS) of these inaccuracies over three flights is 0.03 m for the nadir LiDAR altimeter and 0.05 m for the low-cost GNSS-R altimeter.
Similar error levels for and indicate the effective reduction in surface wave effects after temporal averaging, although a single GNSS-R measurement at an epoch is substantially noisier than the corresponding nadir LiDAR observations . In other words, while the low-cost GNSS-R method determines the distance of an epoch using the LS method from multiple reflection points of all GNSS satellites () within the 70 m diameter GNSS footprint, the impacts of surface waves are not entirely eliminated. It should be noted, however, that these surface wave noises are minimized when temporal averaging is applied during the two-minute flight. In contrast, each nadir LiDAR observation at an epoch is less impacted by surface waves.
It is important to note that the nadir LiDAR altimeter described in Table 4 consistently records fewer epochs than the low-cost GNSS-R altimeter, despite both having a 4 Hz sampling rate. The numbers of LiDAR observations are 43% and 53% of the low-cost GNSS-R observations in Flights 1 and 3, respectively, and only 27% in Flight 2. The data loss between 24.20 h and 24.21 h (Figure 11b) significantly impacts the low data acquisition rate of the LiDAR altimeter during Flight 2.
5. Discussion
5.1. Errors in the Nadir LiDAR UAV Altimeter
Although surface waves exert less influence on the SSH recorded by the nadir LiDAR UAV altimeter, approximately 50% of the LiDAR measurements are unsuccessful. This can be explained by the assumption that the nadir LiDAR sensor receives returns solely from the flat surface at the nadir point with a 0.2 m diameter—specifically, from wave troughs and crests of longer wavelengths (Figure 14a). In this case, the measure solely includes the impact of SSH elevation attributed to surface waves, namely, wave heights. Surface slopes induced by surface waves lead to absent observations for the nadir LiDAR altimeter (Figure 14b); therefore, they do not impact the quality of the observed (t). Unlike GNSS-R observations, the nadir LiDAR inherently eliminates off-nadir observations resulting from the sea surface tilts, thereby reducing the noise in observations.
Figure 14.
Schematic figures for the reflection of the LiDAR signal with (a) nadir LiDAR and flat sea surface, (b) nadir LiDAR and tilted sea surface, and (c) slant LiDAR and flat sea surface. Reflected signals (broken lines) in (b) and (c) are not received by the sensor on the UAV.
The SD for the flight-mean SSH measured with the GNSS buoy in Table 3 is 0.07 m, which includes wave heights. This value is smaller than the SD for the nadir LiDAR in Table 4, which is 0.20 m. This discrepancy indicates that the nadir LiDAR altimeter measurements likely incorporate additional measurement errors from the LiDAR sensor. In low-cost LiDAR sensors, measurement errors may reach approximately 1% of the distance measured, particularly when the target surface reflectivity is not high, resulting in an error margin of about 0.15 m in the current experiments.
When the UAV body tilts, causing the LiDAR sensor’s angle to deviate significantly from the nadir, the majority of the reflected beams fail to return to the LiDAR sensor (Figure 14c). The multi-copter must tilt its body to achieve horizontal movement or to maintain position in strong winds, resulting in the LiDAR sensor’s orientation becoming slanted rather than aligned at the nadir angle. The low data acquisition rate in Flight 2 may be attributed to the UAV’s higher speed during that phase. The implementation of gimbals may alleviate this issue by keeping the LiDAR sensor oriented at the nadir, especially when a multi-copter operates in motion or under adverse wind conditions.
5.2. Errors in the Low-Cost GNSS-R UAV Altimeter
The flight-averaged SSH can be determined using a low-cost GNSS-R UAV altimeter with a small error of around 0.05 m; however, its SD is considerably large. A single measurement at each epoch includes noises from surface waves, despite utilizing many reflection points of more than 16 GNSS satellites within the 70 m diameter GNSS footprint in the LS method. Specifically, the errors induced by the surface waves in Equation (3) are not entirely eliminated by the LS method.
In general, the LS method produces better results when the number of available GNSS satellites is bigger. Furthermore, the denser and uniform distribution of the reflection points would be effective in removing noise from surface waves. To investigate this, various sets of GNSS satellite systems were studied using the low-cost GNSS-R LS method for Flights 1 (Table 5), 2 (Table 6), and 3 (Table 7).
Table 5.
Estimation errors of with respect to for Flight 1, estimated from different GNSS system sets. Abbreviations for GNSS systems are the same as in Figure 6. Values for “R” (with only GLONASS) and “J” (with only QZSS) are not assigned because the number of satellites to estimate is less than three.
Table 6.
Same as Table 5 but for Flight 2.
Table 7.
Same as Table 5 but for Flight 3.
As expected, both the flight-mean error and SD values decrease as increases. It should be noted that the flight-mean error is reduced to less than 0.1 m only when all four systems are used, resulting in a flight-mean greater than 16. It is also worth noting that the SD can be less than 2 m even when using GPS alone (Flights 2 and 3), where is less than 5. This suggests that the LS method in the low-cost GNSS-R altimeter is influenced by the distribution of reflection points as well as data quality.
Because the number of available GNSS satellites has a significant impact on how well the LS method reduce errors induced by surface waves, namely, in Equation (3), we examined a new method that uses more GNSS satellites. The number of reflection points increases when the diameter of the GNSS footprint increases, so we change the smallest elevation angle from 30° to 10° (Figure 6), which will extend the diameter of the footprint from approximately 70 m to 230 m.
When the incident angle of the GNSS path at the sea surface increases (i.e., the elevation angle of the GNSS satellite decreases), the actual reflection point diverges more significantly from the ideal flat-surface reflection point . Furthermore, the data obtained from low-elevation satellites may exhibit greater measurement inaccuracies. Consequently, it is essential to implement enhanced quality controls (QCs) when increasing the footprint size. In the present study, therefore, we applied the LS method recursively on two occasions, using the initial estimation as a reference. The initial estimates of the vertical distance and clock error were derived for the j-th epoch through the LS, utilizing all reflection points within the 230 m diameter footprint. Figure 12 illustrates that the initial estimates may not be precise; however, they are likely to closely approximate the actual values. Consequently, based on Equation (2), the true vertical distance for the reflection point of the i-th GNSS satellite at the j-th epoch can be approximately determined as from the observed pseudo range difference for a specific GNSS satellite and the estimated clock error
If errors caused by surface waves are small, the errors in the initial estimates and will also be small, so that both and are close to each other. In contrast, observations exhibiting significant discrepancies encompass greater wave-generated errors. Initially, we computed the mean over all GNSS reflection points within the extended footprint. Subsequently, observations were excluded as a result of QC if they exceeded twice the SD from the mean. Following this QC, we reapplied the LS method outlined in Equation (4).
Figure 15 depicts the results of the enlarged footprint with QC using recursive LS methods, while Table 8 summarizes them. Even after these QCs, the number of GNSS satellites increased to 26 from 16 in Flight 1 (Table 5) and 17 in Flights 2 and 3 (Table 6 and Table 7). The higher led to a reduced error of the flight-averaged SSH , as the RMS error of three flights is just 0.02 m. This is smaller than the results from the first LS method (0.05 m) and even smaller than the results from the nadir LiDAR altimeter (0.03 m).
Figure 15.
Same as Figure 13 but for the low-cost GNSS-R altimeter with the extended footprint and QC using recursive LS methods during Flight 1 (a), 2 (b), and 3 (c).
Table 8.
Estimation error of flight-mean with respect to for the low-cost GNSS-R altimeter with the extended footprint and QC using recursive LS methods.
The SD also demonstrates notable reductions compared to the estimations presented in Figure 13, as evidenced by the less scattered gray crosses in Figure 15. The RMS value of the SD across three flights reduces to 0.79 m, down from 1.72 m. However, as illustrated by the red circles in Figure 15, the RMS of the SD of the nadir LiDAR altimeter is significantly smaller (0.20 m). This indicates that a single low-cost GNSS-R measurement at each epoch still incorporates errors from sea surface waves , despite the extended footprint and QC. Because the SSH elevations induced by surface waves at a specific point are also included in both the nadir LiDAR SSH and obtained from the GNSS buoy, the greater SD of the low-cost GNSS-R SSH can be attributed to the high sensitivity of the low-cost GNSS-R method to the surface slopes compared to alternative methods (Figure 3).
6. Summary and Conclusions
To evaluate the measurement of the SSH using UAV altimeters, we conducted experimental flights with a waterproof multi-copter near Sadamisaki Peninsula, Japan, in August 2022. Variations in the SSH were observed using different methods: a GNSS buoy, a UAV altimeter with a nadir LiDAR sensor, a UAV altimeter with a low-cost GNSS-R, and a bottom pressure gauge.
The time series of the GNSS buoy data indicate reasonable SSH variations, including ocean waves with periods of several seconds. Despite the lack of mobility, a GNSS buoy on the sea surface can accurately measure the SSH at a fixed point, since the distance between the GNSS antenna and the sea surface remains nearly constant compared to a UAV. The bottom pressure gauge quantitatively confirms that the temporal changes in the flight-mean SSH measured using the GNSS buoy agree with the long-term SSH variations, including tides. Simultaneously, the finding suggests that a shallow semi-closed port, where bottom pressure gauges are easy to install, may amplify tides, making precise comparisons of the SSH data at different locations difficult.
The nadir LiDAR UAV altimeter provides highly accurate measurements of the flight-mean SSH . The error from the SSH observed by the GNSS buoy is only a few centimeters; the RMS across the three flights is 0.03 m. However, it is also remarked that nearly half of the 4 Hz LiDAR measurements failed to measure the vertical distance between the UAV and the sea surface. In particular, during a period in Flight 2 when the UAV moved horizontally at a speed stably larger than 2 ms−1, no measurements were obtained. If the sea surface of the 0.2 m diameter nadir point is tilted by surface waves, the reflected light from the LiDAR sensor emitter on the UAV will not reach the sensor receiver. Therefore, the nadir LiDAR will only measure the sea surface at wave troughs and crests of longer wavelengths, resulting in many missing observations. Furthermore, because a multi-copter tilts its body’s attitude when it moves horizontally or maintains its position against strong winds, the angle of the LiDAR sensor could deviate from the nadir. This explains why Flight 2’s descending period yielded no LiDAR observations.
The low-cost GNSS-R UAV altimeter can measure the flight-averaged SSH with errors comparable to those of the nadir LiDAR altimeter; the RMS for the three flights was 0.05 m. However, the SD of the low-cost GNSS-R altimeter (RMS 1.72 m) was substantially bigger than that of the nadir LiDAR altimeter (RMS 0.20 m), implying that the single low-cost GNSS-R measurement at each 4 Hz epoch was contaminated by noise. Despite the usage of more than 16 GNSS reflection points in the LS method, wave-generated noise remained in the single measurements. However, when over 26 reflection points were used by extending the diameter of the footprint to 230 m and when the data quality was strongly controlled by removing outliers by applying the LS methods recursively, the RMS of the SD over three flights was reduced to 0.79 m, and the RMS estimation error was only 0.02 m.
The slope of the sea surface induced by surface waves influenced both the nadir LiDAR and the low-cost GNSS-R observations, albeit in different ways. Slant range observations in bistatic GNSS-R altimeters are particularly sensitive to sea surface slopes. Even if the impacts of the sea surface slopes are random, it takes a significant number of samples to eliminate them. On the contrary, for the nadir ranging of LiDAR sensors, variations in sea surface slopes do not significantly affect the accuracy because the slant ranges from the tilted sea surface are inherently filtered out; however, they do considerably decrease the data acquisition rate. It is anticipated that similar tendencies to those of the nadir LiDAR altimeter will be observed with the radar UAV altimeter, as monostatic nadir measurements are common. However, the radar sensor’s nadir point has a wider diameter than the LiDAR sensor, allowing the radar altimeter to record slant ranges from the tilted sea surface within the vast nadir area. As a result, the broad-beam nadir radar altimeter may be more sensitive to sea surface slopes than the narrow-beam nadir LiDAR altimeter, as demonstrated by the slant ranging in the GNSS-R measurements.
The experiments conducted in the present study confirm that both nadir LiDAR and low-cost GNSS-R UAV altimeters can accurately measure the wave-averaged SSH in a few minutes. However, when the winds were stronger, the nadir LiDAR would experience more missing observations from frequently encountering the tilted sea surface caused by intense surface waves. Furthermore, the UAV body’s attitude would tilt against strong winds, which would also cause observations to be missed. Nevertheless, the observed SSH could keep highly filtered nadir measurements so that the temporal mean SSH could remain accurate, although a longer averaging period may be necessary. Similarly, the single SSH measurements in the low-cost GNSS-R altimeter would be significantly contaminated by surface waves, but the effects of these waves may not remain in a longer-term temporal mean SSH. Further investigations are necessary to determine the applicability of these UAV altimeters in stronger wind conditions.
In conclusion, both nadir LiDAR and low-cost GNSS-R UAV altimeters can provide wave-averaged SSH measurements that are as accurate as those of GNSS buoys. Using the high mobility of multiple UAVs, we can expect high-resolution SSH observations in both space and time, which is equivalent to deploying and recovering many GNSS buoys across a large area at once.
Author Contributions
Conceptualization, K.I; methodology, K.I.; software, K.I. and J.N.; validation, K.I., A.M., H.O. and T.P.; formal analysis, K.I.; resources, J.N., R.S. and K.Y.; writing—original draft preparation, K.I.; writing—review and editing, K.I.; visualization, K.I. project administration, K.I.; funding acquisition, K.I. All authors have read and agreed to the published version of the manuscript.
Funding
This research was partly funded by MEXT/JSPS KAKENHI (Grant Numbers JP21H05178, JP22H01301, JP23K22572); Kyushu University Institute for Asian and Oceanian Studies; the Research Institute for Applied Mechanics, Kyushu University; and Leading Academia in Marine and Environment Pollution Research, Ehime University.
Data Availability Statement
The analyzed data for Flights 1, 2, and 3 and the SSH variations recorded using a bottom pressure gauge are open to the public and are available at https://doi.org/10.6084/m9.figshare.27266412.v3 (accessed on 2 December 2024).
Acknowledgments
The experiments were conducted as one of the projects of the Joint Usage Research Center, Ehime University.
Conflicts of Interest
The authors declare no conflicts of interest.
References
- Fu, L.L.A.; Alsdorf, D.; Morrow, R.; Rodriguez, E.; Mognard, N. SWOT: The Surface Water and Ocean Topography Mission Wide-Swath Altimeric Measurement of Water Elevation on Earth. JPL Publ. 2012, 12, 228. [Google Scholar]
- Geng, J.; Chen, X.; Pan, Y.; Mao, S.; Li, C.; Zhou, J.; Zhang, K. PRIDE PPP-AR: An open-source software for GPS PPP ambiguity resolution. GPS Solut. 2019, 23, 91. [Google Scholar] [CrossRef]
- Takasu, T. RTKLIB: Open Source Program Package for RTK-GPS. In Proceedings of the FOSS4G 2009, Tokyo, Japan, 2 November 2009; p. 24. [Google Scholar]
- Bonnefond, P.; Laurain, O.; Exertier, P.; Calzas, M.; Guinle, T.; Picot, N. Validating a New GNSS-Based Sea Level Instrument (CalNaGeo) at Senetosa Cape. Mar. Geod. 2021, 45, 121–150. [Google Scholar] [CrossRef]
- Chupin, C.; Ballu, V.; Testut, L.; Tranchant, Y.-T.; Calzas, M.; Poirier, E.; Coulombier, T.; Laurain, O.; Bonnefond, P.; FOAM Project, T. Mapping Sea Surface Height Using New Concepts of Kinematic GNSS Instruments. Remote Sens. 2020, 12, 2656. [Google Scholar] [CrossRef]
- Frappart, F.; Roussel, N.; Darrozes, J.; Bonneton, P.; Bonneton, N.; Detandt, G.; Perosanz, F.; Loyer, S. High rate GNSS measurements for detecting non-hydrostatic surface wave. Application to tidal borein the Garonne River. Eur. J. Remote Sens. 2017, 49, 917–932. [Google Scholar] [CrossRef]
- Ichikawa, K.; Yoshikawa, Y.; Morimoto, A.; Fukudom, K.-i.; Yoon, J.-H. Complementary Remote Sensing Observations of the Tsushima Warm Current Patterns. In Remote Sensing of the Asian Seas; Barale, V., Gade, M., Eds.; Springer: Cham, Switzerland, 2019; pp. 191–204. [Google Scholar]
- Ichikawa, K.; Ebinuma, T.; Konda, M.; Yufu, K. Low-Cost GNSS-R Altimetry on a UAV for Water-Level Measurements at Arbitrary Times and Locations. Sensors 2019, 19, 998. [Google Scholar] [CrossRef] [PubMed]
- Kovanič, Ľ.; Topitzer, B.; Peťovský, P.; Blišťan, P.; Gergeľová, M.B.; Blišťanová, M. Review of Photogrammetric and Lidar Applications of UAV. Appl. Sci. 2023, 13, 6732. [Google Scholar] [CrossRef]
- Huang, Z.-C.; Yeh, C.-Y.; Tseng, K.-H.; Hsu, W.-Y. A UAV–RTK Lidar System for Wave and Tide Measurements in Coastal Zones. J. Atmos. Ocean. Technol. 2018, 35, 1557–1570. [Google Scholar] [CrossRef]
- Lowe, S.T.; Zuffada, C.; Chao, Y.; Kroger, P.; Young, L.E.; LaBrecque, J.L. 5-cm-Precision aircraft ocean altimetry using GPS reflections. Geophys. Res. Lett. 2002, 29, 13-1–13-4. [Google Scholar] [CrossRef]
- Yu, K.; Rizos, C.; Dempster, A.G. Performance of GNSS-based altimetry using airborne experimental data. In Proceedings of the 2012 Workshop on Reflectometry Using GNSS and Other Signals of Opportunity (GNSS+R), West Lafayette, IN, USA, 10–11 October 2012; pp. 1–6. [Google Scholar]
- Ruffini, G.; Soulat, F.; Caparrini, M.; Germain, O.; Martín-Neira, M. The Eddy Experiment: Accurate GNSS-R ocean altimetry from low altitude aircraft. Geophys. Res. Lett. 2004, 31, 12. [Google Scholar] [CrossRef]
- Haala, N.; Kölle, M.; Cramer, M.; Laupheimer, D.; Zimmermann, F. Hybrid georeferencing of images and LiDAR data for UAV-based point cloud collection at millimetre accuracy. ISPRS Open J. Photogramm. Remote Sens. 2022, 4, 100014. [Google Scholar] [CrossRef]
- Cox, C.; Munk, W. Statistics of the sea surface derived from sun glitter. J. Mar. Res. 1954, 13, 198–227. [Google Scholar]
- Cox, C.; Munk, W. Measurement of the Roughness of the Sea Surface from Photographs of the Sun’s Glitter. J. Opt. Soc. Am. 1954, 44, 838–850. [Google Scholar] [CrossRef]
- Tatarskii, V.I. Multi-Gaussian Representation of the Cox-Munk Distribution for Slopes of Wind-Driven Waves. J. Atmos. Ocanic Technol. 2003, 20, 1697–1705. [Google Scholar] [CrossRef]
- Rius, A.; Aparicio, J.M.; Cardellach, E.; Martín-Neira, M.; Chapron, B. Sea surface state measured using GPS reflected signals. Geophys. Res. Lett. 2002, 29, 37-1–37-4. [Google Scholar] [CrossRef]
- Fabra, F.; Cardellach, E.; Rius, A.; Ribo, S.; Oliveras, S.; Nogues-Correig, O.; Belmonte Rivas, M.; Semmling, M.; D’Addio, S. Phase Altimetry With Dual Polarization GNSS-R Over Sea Ice. IEEE Trans. Geosci. Remote Sens. 2012, 50, 2112–2121. [Google Scholar] [CrossRef]
- Cardellach, E.; Fabra, F.; Nogués-Correig, O.; Oliveras, S.; Ribó, S.; Rius, A. GNSS-R ground-based and airborne campaigns for ocean, land, ice, and snow techniques: Application to the GOLD-RTR data sets. Radio Sci 2011, 46, 1–16. [Google Scholar] [CrossRef]
- Mendes, T.; Castro, R.; Peres, T.; Capote, R.M.; Bandeiras, J.; Carola, J.; Silva, J.; Catarino, N.; Antunes, C.; da Silva, P.F. Water Surface Altimetry from GNSS Reflected Signals: System Description and Results. In Proceedings of the VIII Conferencia Nacional de Cartografia e Geodesia, Amadora, Portugal, 29–30 October 2015. [Google Scholar]
- Ichikawa, K.; Zhu, J.Q.; Noda, J.; Sakemi, R.; Yufu, K.; Matsuura, K. Ship-borne wave gauge using GNSS interferometric reflectometry. Coast. Eng. J. 2024, 66, 395–404. [Google Scholar] [CrossRef]
- Larson, K.M.; Löfgren, J.S.; Haas, R. Coastal sea level measurements using a single geodetic GPS receiver. Adv. Space Res. 2013, 51, 1301–1310. [Google Scholar] [CrossRef]
- Chio, S.H.; Lin, C.H. Preliminary Study of UAS Equipped with Thermal Camera for Volcanic Geothermal Monitoring in Taiwan. Sensors 2017, 17, 1649. [Google Scholar] [CrossRef] [PubMed]
Disclaimer/Publisher’s Note: The statements, opinions and data contained in all publications are solely those of the individual author(s) and contributor(s) and not of MDPI and/or the editor(s). MDPI and/or the editor(s) disclaim responsibility for any injury to people or property resulting from any ideas, methods, instructions or products referred to in the content. |
© 2024 by the authors. Licensee MDPI, Basel, Switzerland. This article is an open access article distributed under the terms and conditions of the Creative Commons Attribution (CC BY) license (https://creativecommons.org/licenses/by/4.0/).














