Fiducial Reference Measurements for Air Quality Monitoring Using Ground-Based MAX-DOAS Instruments (FRM4DOAS)
Abstract
1. Introduction
2. Materials and Methods
2.1. Instruments and Network Requirements
2.2. Retrieval Algorithms
2.2.1. Round-Robin of MAX-DOAS Retrievals of NO2, HCHO and Aerosols
2.2.2. Total Ozone Retrieval
2.2.3. Stratospheric NO2 Vertical Profiling
2.2.4. Cloud Detection and Flagging
- Sky condition flag, derived from the CI, classifies a 90° measurement as either “good”, “mediocre” or “bad” (Figure 4).
- A broken cloud flag, derived from rapid changes in the CI.
- A multiple scattering flag, derived from rapid changes in the O4 DSCD (30–90°), is needed to identify clouds in presence of high aerosol load.
2.3. Central Data Processing System
2.3.1. General Workflow of the Processing System
- (1)
- A file submitter uploads a calibrated spectrum file to the FTP server. A CDL (network Common Data form Language, http://cfconventions.org/cf-conventions/cf-conventions.html, accessed on 27 November 2024) representation of such a file can be found at https://frm4doas.aeronomie.be/, accessed on 27 November 2024. During the next year, this FTP server will be replaced by a Web-based Distributed Authoring and Versioning (WebDav) server.
- (2)
- A process is running every 15 min on the BIRA-IASB servers to check for new files on the FTP servers. If new file(s) have arrived, they are downloaded to BIRA-IASB file servers, and their names are written into a trigger list (TL.Level1.check) for further processing.
- (3)
- A process is running every 15 min to check the trigger list TL.L1.check. If a new entry is found, information about the instrument in question is extracted from the file name and the metadata of the file. With the help of this information, corresponding configuration files are loaded. The file is checked for consistency and archived as “rejected” if the check failed or otherwise as Level1.QAQC. This checking constitutes the first module, the LEVEL1.check. It consists of checking whether all compulsory variables and attributes are present and whether the units are suitable. However, the conversion from L0 to calibrated L1 files lies in the responsibility of the data submitter. Lastly, the name of the checked file is written into a new trigger list or in two trigger lists (TL.QDOAS.S and/or TL.QDOAS.T for stratospheric and tropospheric processing, respectively), depending on the configuration file loaded. For example, the configuration file for an instrument channel operating in the UV wavelength region will indicate to only write the file name of the file in the TL.QDOAS.T trigger list because only tropospheric processing will be performed.
- (4)
- (3a/b) A process is running every 15 min checking the trigger lists TL.QDOAS.S and TL.QDOAS.T. If there are new entries in either of the lists, corresponding configuration files are loaded, and the file is processed with the QDOAS software package [26], producing QDOAS.S and/or QDOAS.T output files. Details about the settings optimised for stratospheric (CONFIG.QDOAS.S) are summarised in Table 3 and Table 4 (see Section 2.2.2). Directly after file production, a quality check is performed on the files and new QDOAS.S./T.QAQC files are created. Finally, the name(s) of the output file(s) are written into one or several of the following trigger lists: TL.TROPO.profiling (following the module TL.QDOAS.T.check), TL.O3total.VCD and TL.NO2strato.profiling (both following the module TL.QDOAS.S.check).
- (5)
- A process is running every 15 min checking the trigger list TL.O3total.VCD. If a new entry is found, the file is analysed by the O3.total.profiling module using the appropriate configuration files for the current instrument. A QAQC check on the quality of the processing is included in this process. Directly after producing what we call the “master level-2 output file” in CF-netCDF4 format, standard GEOMS files in hdf4 format are produced (indicated as process 4.1 in Figure 6). While this is not a separate module in the sense that it is handled via trigger lists, it can be called independently without the need to perform process 4 from the start.
- (6)
- A process is running every 15 min checking the trigger list TL.NO2strato.profiling. If a new entry is found, the file is analysed by the stratospheric NO2 processing module using the appropriate configuration files for the current instrument. A quality check is performed at the end of the processing module. Directly after producing the corresponding master level-2 output file, standard GEOMS files in hdf4 format are produced (5.1 in Figure 6). As for the ozone module, this is not a stand-alone module but can still be processed independently if needed.
- (7)
- A process is running every 5 min checking the trigger list TL.TROPO.profiling. If a new entry is found, the file is copied to an HPC (high-performance computing) cluster, and corresponding configuration files are loaded and processed by the tropospheric processing module. A CDL representation of the master level-2 file can be found at https://frm4doas.aeronomie.be/, accessed on 27 November 2024. A quality check is included at the end of the tropospheric processing module. As for modules (4) and (5), this is directly followed by the creation of standard GEOMS files in hdf4 format. If more than 1 trace gas were analysed, as is usually the case for channels covering the UV wavelength region, a separate GEOMS file is produced for each trace gas. Currently, NO2 and HCHO are processed (6.1 and 6.2 in Figure 6), but only NO2 GEOMS files are passed to the NDACC server, see Section 2.3.8.
- ESA-FRM4DOAS-L1-INSTITUTE-STATIONNAME-INSTRUMENTNUMBER-CHANNELNUMBER-STARTDATE-STOPDATE-FILEVERSION.nc
- ESA-FRM4DOAS-L1.QAQC-INSTITUTE-…-FILEVERSION.nc, ESA-FRM4DOAS-L1.QAQC.QDOAS-INSTITUTE-…-FILEVERSION.nc and ESA-FRM4DOAS-L1.QAQC.QDOAS.QAQC-INSTITUTE-…-FILEVERSION.nc, respectively.
2.3.2. The Concept of an FRM4DOAS Module
2.3.3. The Level-1 File and the Level-1 QAQC Module
- (1)
- Check against an XML template whether the file structure is correct and mandatory variables and attributes are present and have expected dimensions and fill-values.
- (2)
- Check whether the file name is consistent with the attributes within the file
- (3)
- If optional variables are present, check for consistency of expected dimensions and fill-values.
- (4)
- If solar angles are not present, calculate solar angles from location and UTC; otherwise, check for consistency
- (5)
- Basic checks on measurement type (zenith, off-axis, almucantar, horizon, direct sun); details are described below
- (6)
- If the configuration file states that tropospheric profiling should be performed, identify elevation scans and add scan numbers and a zenith before and/or after for each scan; details are described below.
- (1)
- Check if the measurements are ordered chronologically. If not, order the measurements chronologically.
- (2)
- Look at each set of off-axis (measurement type 1, see above) measurements between two consecutive zenith (measurement type 3) measurements.
- (3)
- Distribute each such set into subsets according to their telescope azimuth angle (TAA); treat azimuth angles that differ less than 1 degree as the same azimuth angle.
- (4)
- For each such subset, check if all measurements in the set are within a maximum time difference. Currently, this time difference is set to 40 min.
- (5)
- Check if each subset (after applying the maximum time difference) contains at least 2 measurements. Discard all sequences that are shorter than 2 measurements.
2.3.4. The QDOAS Processing Module
2.3.5. The Total Ozone VCD Processing Module
2.3.6. The Stratospheric NO2 Profiling Module
2.3.7. The Tropospheric Profiling Module
2.3.8. Delivery to NDACC and EVDC Databases and Processing Status
2.3.9. System Sustainability and Long-Term Stability of the Products
3. Results
3.1. FRM4DOAS Validation and Performance Assessment
3.2. NDACC Rapid Delivery Demonstration Service
3.3. Field Campaign Support
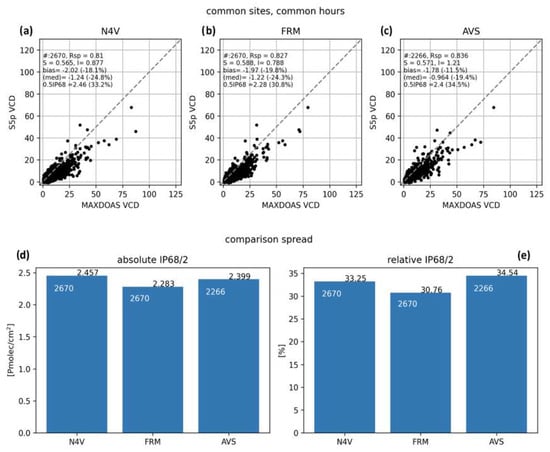
3.4. Application to Sentinel-5 Precursor and GEMS Validation
4. CEOS FRM Self-Assessment
- Improve access to necessary ancillary data and complementary measurements. For MAX-DOAS measurements, the ideal configuration is to collocate instruments with sun photometers providing ancillary data on aerosol optical properties.
- Further develop the documentation on instruments, especially for non-commercial ones and make it available on the service website. Likewise, we will work on establishing systematic calibration and maintenance reports for all instruments.
- In the current state of the service, the set of instruments served by FRM4DOAS already covers a wide range of latitudes as well as different levels of pollution. When working on the extension of the network, attention will be paid to prioritise measurement sites outside of Europe to progressively reach a better geographical coverage.
- The methodology to transform atmospheric composition FRM data into values comparable to satellite measurements has been documented in the peer-reviewed literature. We will make this information easily accessible through the service through dedicated training information.
- Along the same lines, we will also improve and better document the uncertainty estimates of the FRM data, make more explicit usage of the GUM approach and adopt the systematic usage of traceability chains.
5. Conclusions and Outlook
Author Contributions
Funding
Data Availability Statement
Acknowledgments
Conflicts of Interest
References
- Burrows, J.P.; Weber, M.; Buchwitz, M.; Rozanov, V.; Ladstatter-Weißenmayer, A.; Richter, A.; de Beek, R.; Hoogen, R.; Bramstedt, K.; Eichmann, K.-U.; et al. The Global Ozone Monitoring Experiment (GOME): Mission Concept and First Scientific Results. J. Atmos. Sci. 1999, 1, 151–175. [Google Scholar] [CrossRef]
- Bovensmann, H.; Burrows, J.P.; Buchwitz, M.; Frerick, J.; Noël, S.; Rozanov, V.V.; Chance, K.V.; Goede, A.P.H. SCIAMACHY: Mission Objectives and Measurement Modes. J. Atmos. Sci. 1999, 56, 127–150. [Google Scholar] [CrossRef]
- Levelt, P.F.; Joiner, J.; Tamminen, J.; Veefkind, J.P.; Bhartia, P.K.; Stein Zweers, D.C.; Duncan, B.N.; Streets, D.G.; Eskes, H.; van der, A.R.; et al. The Ozone Monitoring Instrument: Overview of 14 years in space. Atmos. Chem. Phys. 2018, 18, 5699–5745. [Google Scholar] [CrossRef]
- Munro, R.; Lang, R.; Klaes, D.; Poli, G.; Retscher, C.; Lindstrot, R.; Huckle, R.; Lacan, A.; Grzegorski, M.; Holdak, A.; et al. The GOME-2 instrument on the Metop series of satellites: Instrument design, calibration, and level 1 data processing—An overview. Atmos. Meas. Tech. 2016, 9, 1279–1301. [Google Scholar] [CrossRef]
- Veefkind, J.P.; Aben, I.; McMullan, K.; Förster, H.; de Vries, J.; Otter, G.; Claas, J.; Eskes, H.J.; de Haan, J.F.; Kleipool, Q.; et al. TROPOMI on the ESA Sentinel-5 Precursor: A GMES mission for global observations of the atmospheric composition for climate, air quality and ozone layer applications. Remote Sens. Environ. 2012, 120, 70–83. [Google Scholar] [CrossRef]
- Herman, J.R.; Cede, A.; Spinei, E.; Mount, G.; Tzortziou, M.; Abuhassan, N. NO2 column amounts from ground-based Pandora and MFDOAS spectrometers using the direct-sun DOAS technique: Intercomparisons and application to OMI validation. J. Geophys. Res. 2009, 114, D13307. [Google Scholar] [CrossRef]
- Hönninger, G.; Platt, U. Observations of BrO and its vertical distribution during surface ozone depletion at Alert. Atmos. Environ. 2002, 36, 2481–2489. [Google Scholar] [CrossRef]
- Hönninger, G.; von Friedeburg, C.; Platt, U. Multi axis differential optical absorption spectroscopy (MAX-DOAS). Atmos. Chem. Phys. 2004, 4, 231–254. [Google Scholar] [CrossRef]
- Piters, A.J.M.; Boersma, K.F.; Kroon, M.; Hains, J.C.; Van Roozendael, M.; Wittrock, F.; Abuhassan, N.; Adams, C.; Akrami, M.; Allaart, M.A.F.; et al. The Cabauw Intercomparison campaign for Nitrogen Dioxide measuring Instruments (CINDI): Design, execution, and early results. Atmos. Meas. Tech. 2012, 5, 457–485. [Google Scholar] [CrossRef]
- Kreher, K.; Van Roozendael, M.; Hendrick, F.; Apituley, A.; Dimitropoulou, E.; Frieß, U.; Richter, A.; Wagner, T.; Lampel, J.; Abuhassan, N.; et al. Intercomparison of NO2, O4, O3 and HCHO slant column measurements by MAX-DOAS and zenith-sky UV–visible spectrometers during CINDI-2. Atmos. Meas. Tech. 2020, 13, 2169–2208. [Google Scholar] [CrossRef]
- Pommereau, J.P.; Goutail, F. O3 and NO2 ground-based measurements by visible spectrometry during Arctic winter and spring 1988. Geophys. Res. Lett. 1988, 15, 891–894. [Google Scholar] [CrossRef]
- Hendrick, F.; Barret, B.; Van Roozendael, M.; Boesch, H.; Butz, A.; De Mazière, M.; Goutail, F.; Hermans, C.; Lambert, J.-C.; Pfeilsticker, K.; et al. Retrieval of nitrogen dioxide stratospheric profiles from ground-based zenith-sky UV-visible observations: Validation of the technique through correlative comparisons. Atmos. Chem. Phys. 2004, 4, 2091–2106. [Google Scholar] [CrossRef]
- Hendrick, F.; Pommereau, J.-P.; Goutail, F.; Evans, R.D.; Ionov, D.; Pazmino, A.; Kyrö, E.; Held, G.; Eriksen, P.; Dorokhov, V.; et al. NDACC/SAOZ UV-visible total ozone measurements: Improved retrieval and comparison with correlative ground-based and satellite observations. Atmos. Chem. Phys. 2011, 11, 5975–5995. [Google Scholar] [CrossRef]
- Donner, S.; Kuhn, J.; Van Roozendael, M.; Bais, A.; Beirle, S.; Bösch, T.; Bognar, K.; Bruchkouski, I.; Chan, K.L.; Dörner, S.; et al. Evaluating different methods for elevation calibration of MAX-DOAS (Multi AXis Differential Optical Absorption Spectroscopy) instruments during the CINDI-2 campaign. Atmos. Meas. Tech. 2020, 13, 685–712. [Google Scholar] [CrossRef]
- Schreier, S.F.; Richter, A.; Peters, E.; Ostendorf, M.; Schmalwieser, A.W.; Weihs, P.; Burrows, J.P. Dual ground-based MAX-DOAS observations in Vienna, Austria: Evaluation of horizontal and temporal NO2, HCHO, and CHOCHO distributions and comparison with independent data sets. Atmos. Environ. 2020, 5, 100059. [Google Scholar] [CrossRef]
- Dimitropoulou, E.; Hendrick, F.; Pinardi, G.; Friedrich, M.M.; Merlaud, A.; Tack, F.; De Longueville, H.; Fayt, C.; Hermans, C.; Laffineur, Q.; et al. Validation of TROPOMI tropospheric NO2 columns using dual-scan multi-axis differential optical absorption spectroscopy (MAX-DOAS) measurements in Uccle, Brussels. Atmos. Meas. Tech. 2020, 13, 5165–5191. [Google Scholar] [CrossRef]
- Rodgers, C.D. Inverse Methods for Atmospheric Sounding, Theory and Practice; World Scientific Publishing: Singapore; Hackensack, NJ, USA; London, UK; Hong Kong, China, 2000; Available online: https://www.worldscientific.com/worldscibooks/10.1142/3171?srsltid=AfmBOorfOa6_jROgPxPqWXMgSNYk-Q4F9cw7t9H7YSoqJrZv3eLZJpVh#t=aboutBook (accessed on 27 November 2024).
- Clémer, K.; Van Roozendael, M.; Fayt, C.; Hendrick, F.; Hermans, C.; Pinardi, G.; Spurr, R.; Wang, P.; De Mazière, M. Multiple wavelength retrieval of tropospheric aerosol optical properties from MAX-DOAS measurements in Beijing. Atmos. Meas. Tech. 2010, 3, 863–878. [Google Scholar] [CrossRef]
- Bösch, T.; Rozanov, V.; Richter, A.; Peters, E.; Rozanov, A.; Wittrock, F.; Merlaud, A.; Lampel, J.; Schmitt, S.; de Haij, M.; et al. BOREAS—A new MAX-DOAS profile retrieval algorithm for aerosols and trace gases. Atmos. Meas. Tech. 2018, 11, 6833–6859. [Google Scholar] [CrossRef]
- Frieß, U.; Monks, P.; Remedios, J.; Rozanov, A.; Sinreich, R.; Wagner, T.; Platt, U. MAX-DOAS O4 measurements: A new technique to derive information on atmospheric aerosols: 2. Modeling studies. J. Geophys. Res. 2006, 111, D14203. [Google Scholar] [CrossRef]
- Friedrich, M.M.; Rivera, C.; Stremme, W.; Ojeda, Z.; Arellano, J.; Bezanilla, A.; García-Reynoso, J.A.; Grutter, M. NO2 vertical profiles and column densities from MAX-DOAS measurements in Mexico City. Atmos. Meas. Tech. 2019, 12, 2545–2565. [Google Scholar] [CrossRef]
- Wang, Y.; Li, A.; Xi, P.-H.; Chen, H.; Xu, J.; Wu, F.-C.; Liu, J.-G.; Liu, W.-Q. Retrieving vertical profile of aerosol extinction by multi-axis differential optical absorption spectroscopy. Acta Phys. Sin. 2013, 62, 180705. [Google Scholar] [CrossRef]
- Beirle, S.; Dörner, S.; Donner, S.; Remmers, J.; Wang, Y.; Wagner, T. The Mainz profile algorithm (MAPA). Atmos. Meas. Tech. 2019, 12, 1785–1806. [Google Scholar] [CrossRef]
- Vlemmix, T.; Piters, A.J.M.; Berkhout, A.J.C.; Gast, L.F.L.; Wang, P.; Levelt, P.F. Ability of the MAX-DOAS method to derive profile information for NO2: Can the boundary layer and free troposphere be separated? Atmos. Meas. Tech. 2011, 4, 2659–2684. [Google Scholar] [CrossRef]
- Frieß, U.; Beirle, S.; Alvarado Bonilla, L.; Bösch, T.; Friedrich, M.M.; Hendrick, F.; Piters, A.; Richter, A.; van Roozendael, M.; Rozanov, V.V.; et al. Intercomparison of MAX-DOAS vertical profile retrieval algorithms: Studies using synthetic data. Atmos. Meas. Tech. 2019, 12, 2155–2181. [Google Scholar] [CrossRef]
- Danckaert, T.; Fayt, C.; Van Roozendael, M.; De Smedt, I.; Letocard, V.; Merlaud, A.; Pinardi, G. QDOAS Software User Manual, Version 3.2. 2017. Available online: http://uv-vis.aeronomie.be/software/QDOAS/QDOAS_manual.pdf (accessed on 24 March 2024).
- Chance, K.; Kurucz, R.L. An improved high-resolution solar reference spectrum for earth’s atmosphere measurements in the ultraviolet, visible, and near infrared. J. Quant. Spectrosc. Radiat. Transf. 2010, 111, 1289–1295. [Google Scholar] [CrossRef]
- Serdyuchenko, A.; Gorshelev, V.; Weber, M.; Chehade, W.; Burrows, J.P. High spectral resolution ozone absorption cross-sections—Part 2: Temperature dependence. Atmos. Meas. Tech. 2014, 7, 625–636. [Google Scholar] [CrossRef]
- Vandaele, A.C.; Hermans, C.; Simon, P.C.; Carleer, M.; Colin, R.; Fally, S.; Mérienne, M.-F.; Jenouvrier, A.; Coquart, B. Measurements of the NO2 absorption cross section from 42000 cm−1 to 10000 cm−1 (238-1000 nm) at 220 K and 294 K. J. Quant. Spectrosc. Radiat. Transf. 1998, 59, 171–184. [Google Scholar] [CrossRef]
- Thalman, R.; Volkamer, R. Temperature dependent absorption cross-sections of O2-O2 collision pairs between 340 and 630 nm and at atmospherically relevant pressure. Phys. Chem. Phys. 2013, 15, 15371–15381. [Google Scholar] [CrossRef]
- Rothman, L.S.; Gordon, I.E.; Babikov, Y.; Barbe, A.; Chris Benner, D.; Bernath, P.F.; Birk, M.; Bizzocchi, L.; Boudon, V.; Brown, L.R.; et al. The HITRAN2012 molecular spectroscopic database. J. Quant. Spectrosc. Radiat. Transf. 2013, 130, 4–50. [Google Scholar] [CrossRef]
- Chance, K.V.; Spurr, R.J.D. Ring effect studies: Rayleigh scattering, including molecular parameters for rotational Raman scattering, and the Fraunhofer spectrum. Appl. Opt. 1997, 36, 5224. [Google Scholar] [CrossRef]
- Wagner, T.; Beirle, S.; Deutschmann, T. Three-dimensional simulation of the Ring effect in observations of scattered sun light using Monte Carlo radiative transfer models. Atmos. Meas. Tech. 2009, 2, 113–124. [Google Scholar] [CrossRef]
- Preston, K.E.; Jones, R.L.; Roscoe, H.K. Retrieval of NO2 vertical profiles from ground-based UV-visible measurements: Method and validation. J. Geophys. Res. 1997, 102, 19089–19097. [Google Scholar] [CrossRef]
- Errera, Q.; Fonteyn, D. Four-dimensional variational chemical assimilation of CRISTA stratospheric measurements. J. Geophys. Res. 2001, 106, 12253–12265. [Google Scholar] [CrossRef]
- Chipperfield, M.P. New version of the TOMCAT/SLIMCAT off-line chemical transport model: Intercomparison of stratospheric tracer experiments. Q. J. R. Meteorol. Soc. 2006, 132, 1179–1203. [Google Scholar] [CrossRef]
- Kylling, A.; Mayer, B. LibRadTran: A Package for UV and Visible Radiative Transfer Calculations in the Earth’s Atmosphere. 2003. Available online: https://www.libradtran.org (accessed on 27 November 2024).
- Hendrick, F.; Van Roozendael, M.; Kylling, A.; Petritoli, A.; Rozanov, A.; Sanghavi, S.; Schofield, R.; von Friedeburg, C.; Wagner, T.; Wittrock, F.; et al. Intercomparison exercise between different radiative transfer models used for the interpretation of ground-based zenith-sky and multi-axis DOAS observations. Atmos. Chem. Phys. 2006, 6, 93–108. [Google Scholar] [CrossRef]
- Wagner, T.; Burrows, J.P.; Deutschmann, T.; Dix, B.; Von Friedeburg, C.; Frieß, U.; Hendrick, F.; Heue, K.P.; Irie, H.; Iwabuchi, H.; et al. Comparison of box-air-mass-factors and radiances for multiple-axis differential optical absorption spectroscopy (MAX-DOAS) geometries calculated from different UV/visible radiative transfer models. Atmos. Chem. Phys. 2007, 7, 1809–1833. [Google Scholar] [CrossRef]
- Wang, Y.; Lampel, J.; Xie, P.; Beirle, S.; Li, A.; Wu, D.; Wagner, T. Ground-based MAX-DOAS observations of tropospheric aerosols, NO2, SO2 and HCHO in Wuxi, China, from 2011 to 2014. Atmos. Chem. Phys. 2017, 17, 2189–2215. [Google Scholar] [CrossRef]
- Takashima, H.; Irie, H.; Kanaya, Y.; Shimizu, A.; Aoki, K.; Akimoto, H. Atmospheric aerosol variations at Okinawa Island in Japan observed by MAX-DOAS using a new cloud-screening method. J. Geophys. Res. Atmos. 2009, 114, D18213. [Google Scholar] [CrossRef]
- Gielen, C.; Van Roozendael, M.; Hendrick, F.; Pinardi, G.; Vlemmix, T.; De Bock, V.; De Backer, H.; Fayt, C.; Hermans, C.; Gillotay, D.; et al. A simple and versatile cloud-screening method for MAX-DOAS retrievals. Atmos. Meas. Tech. 2014, 7, 3509–3527. [Google Scholar] [CrossRef]
- Wagner, T.; Apituley, A.; Beirle, S.; Dörner, S.; Friess, U.; Remmers, J.; Shaiganfar, R. Cloud detection and classification based on MAX-DOAS observations. Atmos. Meas. Tech. 2014, 7, 1289–1320. [Google Scholar] [CrossRef]
- Wang, Y.; Penning de Vries, M.; Xie, P.H.; Beirle, S.; Dörner, S.; Remmers, J.; Li, A.; Wagner, T. Cloud and aerosol classification for 2.5 years of MAX-DOAS observations in Wuxi (China) and comparison to independent data sets. Atmos. Meas. Tech. 2015, 8, 5133–5156. [Google Scholar] [CrossRef]
- Wagner, T.; Beirle, S.; Remmers, J.; Shaiganfar, R.; Wang, Y. Absolute calibration of the colour index and O4 absorption derived from Multi AXis (MAX-)DOAS measurements and their application to a standardised cloud classification algorithm. Atmos. Meas. Tech. 2016, 9, 4803–4823. [Google Scholar] [CrossRef]
- Koelemeijer, R.B.A.; de Haan, J.F.; Stammes, P. A database of spectral surface reflectivity in the range 335-772 nm derived from 5.5 years of GOME observations. J. Geophys. Res. 2003, 108, 4070. [Google Scholar] [CrossRef]
- Barthia, P.K.; Wellemeyer, C.G.; Taylor, S.L.; Nath, N.; Gopolan, A. Solar Backscatter (SBUV) Version 8 profile algorithm. In Proceedings of the Quadrennial Ozone Symposium 2004, Athens, Greece, 1–8 June 2004; Zerefos, C., Ed.; pp. 295–296, ISBN 960-630-103-6. [Google Scholar]
- Anderson, G.P.; Clough, S.A.; Kneizys, F.X.; Chetwynd, J.H.; Shettle, E.P. AFGL (Air Force Geophysical Laboratory) Atmospheric Constituent Profiles (0. 120km), Environmental Research Papers; Air Force Geophysics Laboratory, Hanscom AFB: Lincoln, MA, USA, 1986. [Google Scholar]
- Hendrick, F.; Fayt, C.; Friedrich, M.M.; Frieß, U.; Richter, A.; Beirle, S.; Wagner, T.; Wang, Y. MAXDOAS Algorithm Theoretical Baseline Document, FRM4DOAS Deliverable D6. Available online: https://frm4doas.aeronomie.be/ProjectDir/Deliverables/FRM4DOAS_D6_MAXDOAS_Algorithm_ATBD_v02_20180130.pdf (accessed on 27 November 2024).
- Tirpitz, J.-L.; Frieß, U.; Hendrick, F.; Alberti, C.; Allaart, M.; Apituley, A.; Bais, A.; Beirle, S.; Berkhout, S.; Bognar, K.; et al. Intercomparison of MAX-DOAS vertical profile retrieval algorithms: Studies on field data from the CINDI-2 campaign. Atmos. Meas. Tech. 2021, 14, 1–35. [Google Scholar] [CrossRef]
- Wagner, T.; Beirle, S.; Benavent, N.; Bösch, T.; Chan, K.L.; Donner, S.; Dörner, S.; Fayt, C.; Frieß, U.; García-Nieto, D.; et al. Is a scaling factor required to obtain closure between measured and modelled atmospheric O4 absorptions? An assessment of uncertainties of measurements and radiative transfer simulations for 2 selected days during the MADCAT campaign. Atmos. Meas. Tech. 2019, 12, 2745–2817. [Google Scholar] [CrossRef]
- Apituley, A.; Kreher, K.; Van Roozendael, M.; Sullivan, J.; McGee, T.J.; Allaart, M.; Piters, A.; Stein, D.C.; Eskes, H.; Henzing, J.S.; et al. Overview of activities during the 2019 TROpomi vaLIdation eXperiment (TROLIX’19). In Proceedings of the AGU Fall Meeting 2019, San Francisco, CA, USA, 9–13 December 2019; Available online: https://agu.confex.com/agu/fm19/meetingapp.cgi/Paper/521767 (accessed on 27 November 2024).
- Lange, K.; Richter, A.; Schönhardt, A.; Meier, A.C.; Bösch, T.; Seyler, A.; Krause, K.; Behrens, L.K.; Wittrock, F.; Merlaud, A.; et al. Validation of Sentinel-5P TROPOMI tropospheric NO2 products by comparison with NO2 measurements from airborne imaging DOAS, ground-based stationary DOAS, and mobile car DOAS measurements during the S5P-VAL-DE-Ruhr campaign. Atmos. Meas. Tech. 2023, 16, 1357–1389. [Google Scholar] [CrossRef]
- Bae, K.; Song, C.-K.; Van Roozendael, M.; Richter, A.; Wagner, T.; Merlaud, A.; Pinardi, G.; Friedrich, M.M.; Fayt, C.; Dimitropoulou, E.; et al. Validation of GEMS operational v2.0 Total Column NO2 and HCHO during the GMAP/SIJAQ campaign. Science of the Total Environment, manuscript number: STOTEN-D-24-42580 (under review).
- Lange, K.; Richter, A.; Bösch, T.; Zilker, B.; Latsch, M.; Behrens, L.K.; Okafor, C.M.; Bösch, H.; Burrows, J.P.; Merlaud, A.; et al. Validation of GEMS tropospheric NO2 columns and their diurnal variation with ground-based DOAS measurements. Atmos. Meas. Tech. 2024, 17, 6315–6344. [Google Scholar] [CrossRef]
- Pinardi, G.; Van Roozendael, M.; Hendrick, F.; Theys, N.; Abuhassan, N.; Bais, A.; Boersma, F.; Cede, A.; Chong, J.; Donner, S.; et al. Validation of tropospheric NO2 column measurements of GOME-2A and OMI using MAX-DOAS and direct sun network observations. Atmos. Meas. Tech. 2020, 13, 6141–6174. [Google Scholar] [CrossRef]
- Verhoelst, T.; Compernolle, S.; Pinardi, G.; Lambert, J.-C.; Eskes, H.J.; Eichmann, K.-U.; Fjæraa, A.M.; Granville, J.; Niemeijer, S.; Cede, A.; et al. Ground-based validation of the Copernicus Sentinel-5P TROPOMI NO2 measurements with the NDACC ZSL-DOAS, MAX-DOAS and Pandonia global networks. Atmos. Meas. Tech. 2021, 14, 481–510. [Google Scholar] [CrossRef]
- Oomen, G.-M.; Müller, J.-F.; Stavrakou, T.; De Smedt, I.; Blumenstock, T.; Kivi, R.; Makarova, M.; Palm, M.; Röhling, A.; Té, Y.; et al. Weekly derived top-down volatile-organic-compound fluxes over Europe from TROPOMI HCHO data from 2018 to 2021. Atmos. Chem. Phys. 2024, 24, 449–474. [Google Scholar] [CrossRef]
- Yombo Phaka, R.; Merlaud, A.; Pinardi, G.; Friedrich, M.M.; Van Roozendael, M.; Müller, J.-F.; Stavrakou, T.; De Smedt, I.; Hendrick, F.; Dimitropoulou, E.; et al. Ground-based Multi-AXis Differential Optical Absorption Spectroscopy (MAX-DOAS) observations of NO2 and H2CO at Kinshasa and comparisons with TROPOMI observations. Atmos. Meas. Tech. 2023, 16, 5029–5050. [Google Scholar] [CrossRef]
- Van Geffen, J.; Eskes, H.; Compernolle, S.; Pinardi, G.; Verhoelst, T.; Lambert, J.-C.; Sneep, M.; ter Linden, M.; Ludewig, A.; Boersma, K.F.; et al. Sentinel-5P TROPOMI NO2 retrieval: Impact of version v2.2 improvements and comparisons with OMI and ground-based data. Atmos. Meas. Tech. 2022, 15, 2037–2060. [Google Scholar] [CrossRef]
- Irie, H.; Takashima, H.; Kanaya, Y.; Boersma, K.F.; Gast, L.; Wittrock, F.; Brunner, D.; Zhou, Y.; Van Roozendael, M. Eight-component retrievals from ground-based MAX-DOAS observations. Atmos. Meas. Tech. 2011, 4, 1027–1044. [Google Scholar] [CrossRef]
- Kanaya, Y.; Irie, H.; Takashima, H.; Iwabuchi, H.; Akimoto, H.; Sudo, K.; Gu, M.; Chong, J.; Kim, Y.J.; Lee, H.; et al. Long-term MAX-DOAS network observations of NO2 in Russia and Asia (MADRAS) during the period 2007–2012: Instrumentation, elucidation of climatology, and comparisons with OMI satellite observations and global model simulations. Atmos. Chem. Phys. 2014, 14, 7909–7927. [Google Scholar] [CrossRef]
- Kumar, V.; Beirle, S.; Dörner, S.; Mishra, A.K.; Donner, S.; Wang, Y.; Sinha, V.; Wagner, T. Long-term MAX-DOAS measurements of NO2, HCHO, and aerosols and evaluation of corresponding satellite data products over Mohali in the Indo-Gangetic Plain. Atmos. Chem. Phys. 2020, 20, 14183–14235. [Google Scholar] [CrossRef]
- Lee, G.T.; Park, R.J.; Kwon, H.-A.; Ha, E.S.; Lee, S.D.; Shin, S.; Ahn, M.-H.; Kang, M.; Choi, Y.-S.; Kim, G.; et al. First evaluation of the GEMS formaldehyde retrieval algorithm against TROPOMI and ground-based column measurements during the in-orbit test period. EGUsphere 2023. preprint. [Google Scholar] [CrossRef]
- Goryl, P.; Fox, N.; Donlon, C.; Castracane, P. Fiducial reference measurements (FRMs): What are they? Remote Sens. 2023, 15, 5017, ISSN 2072-4292. [Google Scholar] [CrossRef]
- Giles, D.M.; Sinyuk, A.; Sorokin, M.G.; Schafer, J.S.; Smirnov, A.; Slutsker, I.; Eck, T.F.; Holben, B.N.; Lewis, J.R.; Campbell, J.R.; et al. Advancements in the Aerosol Robotic Network (AERONET) Version 3 database—Automated near-real-time quality control algorithm with improved cloud screening for Sun photometer aerosol optical depth (AOD) measurements. Atmos. Meas. Tech. 2019, 12, 169–209. [Google Scholar] [CrossRef]



















| Station Name | Country | Institute Acronym | Latitude (°N) | Longitude (°E) | Altitude (m a.s.l.) |
|---|---|---|---|---|---|
| Ny-Alesund | Norway | IUP Bremen 1 | 78.919 | 11.930 | 20 |
| Harestua | Norway | BIRA-IASB 2 | 60.216 | 10.753 | 600 |
| Bremen | Germany | IUP Bremen 1 | 53.103 | 8.849 | 46 |
| De Bilt | Netherlands | KNMI 3 | 52.101 | 5.177 | 22 |
| Cabauw | Netherlands | KNMI 3 | 51.967 | 4.927 | 3 |
| Uccle | Belgium | BIRA-IASB 2 | 50.799 | 4.360 | 125 |
| Vielsalm | Belgium | BIRA-IASB 2 | 50.305 | 5.998 | 445 |
| Mainz | Germany | MPIC 4 | 49.990 | 8.229 | 160 |
| Heidelberg | Germany | IUP Heidelberg5 | 49.417 | 8.674 | 145 |
| Jungfraujoch | Switzerland | BIRA-IASB 2 | 46.547 | 7.985 | 3580 |
| San Pietro Capofiume | Italy | CNR-ISAC 6 | 44.650 | 11.619 | 12 |
| Toronto Downsview | Canada | ECCC 7 | 43.780 | −79.468 | 221 |
| Thessaloniki | Greece | AUTH-LAP 8 | 40.633 | 22.955 | 80 |
| Xianghe | China | BIRA-IASB 2 | 39.750 | 116.959 | 95 |
| Athens | Greece | IUP Bremen 1 | 38.049 | 23.860 | 532 |
| Izana | Spain | INTA 9 | 28.309 | −16.499 | 2393 |
| Kinshasa | RD Congo | BIRA-IASB 2 | −4.420 | 15.310 | 450 |
| La Reunion Maido | France | BIRA-IASB 2 | −21.059 | 55.380 | 2158 |
| Lauder | New Zealand | NIWA 10 | −45.037 | 169.684 | 374 |
| Neumayer | Antarctica | IUP Heidelberg 5 | −70.690 | −8.270 | 48 |
| Arrival Heights | Antarctica | IUP Heidelberg 5 | −77.830 | 166.649 | 192 |
| Algorithm | Institute | Method | Reference |
|---|---|---|---|
| bePRO | BIRA-IASB | OEM | [18] |
| BOREAS | IUP Bremen | OEM | [19] |
| HEIPRO | IUP Heidelberg | OEM | [20] |
| MMF | BIRA-IASB | OEM | [21] |
| PRIAM | MPIC | OEM | [22] |
| MAPA | MPIC | PAR | [23] |
| MARK | KNMI | PAR | [24] |
| NASA | NASA 1 | ANA | Blick Software Suite Manual, version 1.8 2 |
| Wavelength range | 450–540 nm |
| Wavelength calibration method | Based on the reference solar atlas of Chance and Kurucz [27] |
| Absorption cross-sections: | |
| O3 (223 K and 243 K) | [28]; 243 K orthogonalised to 223 K |
| NO2 (220 K and 298 K) | [29]; 298 K orthogonalised to 220 K; I0 effect-corrected |
| O4 (293 K and 203 K) | [30]; 203 K orthogonalised to 293 K |
| H2O | [31] |
| Ring effect | Pseudo-absorber [32,33] |
| Polynomial | Order 5 (6 coefficients) |
| Intensity offset correction | Order 1 |
| Wavelength range | 425–490 nm (alternative ranges: 411–445 nm or 445–490 nm) |
| Wavelength calibration method | Based on reference solar atlas of Chance and Kurucz [27] |
| Absorption cross-sections: | |
| O3 (223 K) | [28] |
| NO2 (220 K and 298 K) | [29]; 298 K orthogonalised to 220 K; I0 effect-corrected |
| O4 (293 K) | [30] |
| H2O | [31] |
| Ring effect | Pseudo-absorber [32,33] |
| Polynomial | Order 3 (4 coefficients) |
| Intensity offset correction | Order 1 |
| AOD | Aerosol Extinction near Surface | Profile of Aerosol Extinction | VCD | VMR near Surface | Profile of VMRs | |
|---|---|---|---|---|---|---|
| Low aerosol | ● | ● | ● | ● | ● | ● |
| High aerosol | ● | ● | ● | ● | ● | ● |
| Cloud holes | O | ● | O | ● | ● | ● |
| Broken clouds | O | ● | O | ● | ● | ● |
| Continuous clouds | O | ● | O | ● | ● | ● |
| Fog | O | O | O | O | O | O |
| Thick clouds | O | O | O | O | O | O |
| Institute | Name of the institute to which the instrument is affiliated. |
| Stationname | Name of the station, usually a city/town name. |
| Instrumentnumber | A specific 4-digit identifier given to each instrument submitting data to FRM4DOAS. |
| Channelnumber | A 1-digit number specifying the channel, usually for different spectrometers, but can also be used for different viewing directions for instruments that look in multiple viewing directions at the same time. |
| Startdate (stopdate) | Time of the beginning (end) of the first (last) measurement included in the file in UT. The format is YYYYMMDDTHHMMSSZ |
| Fileversion | Version of the file submitted, a 3-digit number preceded by “fv”. |
| Integer | Measurement Type |
|---|---|
| 1 | off-axis |
| 2 | direct sun |
| 3 | zenith |
| 7 | almucantar |
| 11 | horizon |
| Limit Name | Value/° |
|---|---|
| E_LIMIT | 0.7 |
| A_LIMIT | 0.7 |
| TEA_LIMIT_Z | 86 |
| TEA_LIMIT_H | 2 |
| TEA_LIMIT_D | 0.25 |
| Station | Institute | Total O3 | Tropo NO2 | Tropo HCHO | Strato NO2 |
|---|---|---|---|---|---|
| Ny-Alesund | IUP Bremen | ● | O | O | |
| Harestua | BIRA-IASB | ● | O | ||
| Bremen | IUP Bremen | ● | ● | O | O |
| De Bilt | KNMI | ● | ● | O | O |
| Cabauw | KNMI | ● | O | O | |
| Uccle | BIRA-IASB | ● | ● | O | O |
| Vielsalm | BIRA-IASB | O | O | O | |
| Mainz | MPIC | ● | O | O | |
| Heidelberg | IUP Heidelberg | ● | ● | O | O |
| Jungfraujoch | BIRA-IASB | O | O | ||
| San Pietro Capofiume | CNR-ISAC | O | O | O | O |
| Toronto Downsview | ECCC | O | O | O | |
| Thessaloniki | AUTH-LAP | ● | ● | O | O |
| Xianghe | BIRA-IASB | ● | ● | O | |
| Athens | IUP Bremen | ● | ● | O | O |
| Izana | INTA | ● | O | ||
| Kinshasa | BIRA-IASB | O | O | ||
| La Reunion Maido | BIRA-IASB | ● | O | ||
| Lauder | NIWA | ● | ● | O | O |
| Neumayer | IUP Heidelberg | ● | O | O | O |
| Utsteinen | BIRA-IASB | O | O | O | O |
| Arrival Heights | IUP Heidelberg | ● | O | O | O |
| Campaign Acronym | Campaign Objective | Location | Date | Number of Instruments | Reference |
|---|---|---|---|---|---|
| CINDI-2 | Intercalibration of UV–Visible trace gas remote sensing instruments | Cabauw, Netherlands | September 2016 | 15 | [50] |
| TROLIX | Geophysical validation of Sentinel-5p/TROPOMI data products using the Dutch Ruisdael Observatory | Cabauw, Netherlands | September–October 2019 | 6 | [52] |
| QA4EO | Validation of Sentinel-5p/TROPOMI NO2 product using airborne and ground-based measurements | Ruhr, Germany | August– September 2021 | 1 | [53] |
| GMAP-2020 | First validation campaign of the GEO-KOMPSAT-2B GEMS instrument | Seoul, South Korea | October– November 2021 | 5 | [54] |
| SIJAQ-2022 | First validation campaign of the GEO-KOMPSAT-2B GEMS instrument | Seoul, South Korea | June– August 2022 | 6 | [55] |
| Self-Assessment | |||||
|---|---|---|---|---|---|
| Nature of FRM | FRM Instrumentation | Operations/ Sampling | Data | Metrology | Verification |
| Descriptor | Operator expertise | Automation level | Data completeness | Uncertainty characterisation | Guidelines adherence |
| Range of instruments | Instrument documentation | Measurand sampling/ representativeness | Availability and usability | Traceability documentation | Utilisation/ feedback |
| Complementary observations | Evidence of traceable calibration | ATBD on processing/software | Data format | Comparison/ calibration of FRM | Metrology verification |
| Location/availability of FRM assessment | QA/maintenance | Guidance on transformation to satellite sensor | Ancillary data | Adequacy for class of instrument/measurand | Independent verification |
| Grade |
| Basic |
| Good |
| Excellent |
| Ideal |
Disclaimer/Publisher’s Note: The statements, opinions and data contained in all publications are solely those of the individual author(s) and contributor(s) and not of MDPI and/or the editor(s). MDPI and/or the editor(s) disclaim responsibility for any injury to people or property resulting from any ideas, methods, instructions or products referred to in the content. |
© 2024 by the authors. Licensee MDPI, Basel, Switzerland. This article is an open access article distributed under the terms and conditions of the Creative Commons Attribution (CC BY) license (https://creativecommons.org/licenses/by/4.0/).
Share and Cite
Van Roozendael, M.; Hendrick, F.; Friedrich, M.M.; Fayt, C.; Bais, A.; Beirle, S.; Bösch, T.; Navarro Comas, M.; Friess, U.; Karagkiozidis, D.; et al. Fiducial Reference Measurements for Air Quality Monitoring Using Ground-Based MAX-DOAS Instruments (FRM4DOAS). Remote Sens. 2024, 16, 4523. https://doi.org/10.3390/rs16234523
Van Roozendael M, Hendrick F, Friedrich MM, Fayt C, Bais A, Beirle S, Bösch T, Navarro Comas M, Friess U, Karagkiozidis D, et al. Fiducial Reference Measurements for Air Quality Monitoring Using Ground-Based MAX-DOAS Instruments (FRM4DOAS). Remote Sensing. 2024; 16(23):4523. https://doi.org/10.3390/rs16234523
Chicago/Turabian StyleVan Roozendael, Michel, Francois Hendrick, Martina M. Friedrich, Caroline Fayt, Alkis Bais, Steffen Beirle, Tim Bösch, Monica Navarro Comas, Udo Friess, Dimitris Karagkiozidis, and et al. 2024. "Fiducial Reference Measurements for Air Quality Monitoring Using Ground-Based MAX-DOAS Instruments (FRM4DOAS)" Remote Sensing 16, no. 23: 4523. https://doi.org/10.3390/rs16234523
APA StyleVan Roozendael, M., Hendrick, F., Friedrich, M. M., Fayt, C., Bais, A., Beirle, S., Bösch, T., Navarro Comas, M., Friess, U., Karagkiozidis, D., Kreher, K., Merlaud, A., Pinardi, G., Piters, A., Prados-Roman, C., Puentedura, O., Reischmann, L., Richter, A., Tirpitz, J.-L., ... Ziegler, S. (2024). Fiducial Reference Measurements for Air Quality Monitoring Using Ground-Based MAX-DOAS Instruments (FRM4DOAS). Remote Sensing, 16(23), 4523. https://doi.org/10.3390/rs16234523

