High-Resolution Nearshore Sea Surface Temperature from Calibrated Landsat Brightness Data
Abstract
1. Introduction
2. Methods
2.1. Study Site
2.2. Satellite Data
2.3. Brightness Temperature to Sea Surface Temperature Calibration
2.4. Data Validation
3. Results
3.1. Sea Surface Temperature Calibration
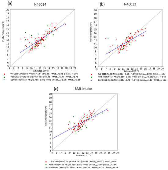
3.2. Data Validation Results
4. Discussion
4.1. Image Calibration
4.2. Sources of Error
4.3. Observation and Use Cases
5. Conclusions
Author Contributions
Funding
Data Availability Statement
Acknowledgments
Conflicts of Interest
References
- Pauly, D.; Christensen, V. Primary Production required to sustain global fisheries. Nature 1995, 374, 255–257. [Google Scholar] [CrossRef]
- Muller-Karger, F.E.; Hestir, E.; Ade, C.; Turpie, K.; Roberts, D.A.; Siegel, D.; Miller, R.J.; Humm, D.; Izenberg, N.; Keller, M.; et al. Satellite sensor requirements for monitoring essential biodiversity variables of coastal ecosystems. Ecol. Appl. 2018, 28, 749–760. [Google Scholar] [CrossRef] [PubMed]
- Feng, L.; Hu, C. Land adjacency effects on MODIS A qua top-of-atmosphere radiance in the shortwave infrared: Statistical assessment and correction. J. Geophys. Res. Ocean. 2017, 122, 4802–4818. [Google Scholar] [CrossRef]
- Ding, H.; Elmore, A.J. Spatio-temporal patterns in water surface temperature from Landsat time series data in the Chesapeake Bay, USA. Remote Sens. Environ. 2015, 168, 335–348. [Google Scholar] [CrossRef]
- Brewin, R.J.W.; Smale, D.A.; Moore, P.J.; Dall’olmo, G.; Miller, P.I.; Taylor, B.H.; Smyth, T.J.; Fishwick, J.R.; Yang, M. Evaluating operational AVHRR sea surface temperature data at the coastline using benthic temperature loggers. Remote Sens. 2018, 10, 925. [Google Scholar] [CrossRef]
- MacMahan, J.H.; Thornton, E.B.; Reniers, A.J. Rip current review. Coast. Eng. 2006, 53, 191–208. [Google Scholar] [CrossRef]
- Largier, J.L. Rip currents and the influence of morphology on wave-driven cross-shore circulation. In Reference Module in Earth Systems and Environmental Sciences; Elsevier: Amsterdam, The Netherlands, 2022; pp. 100–121. [Google Scholar]
- Horner-Devine, A.R.; Hetland, R.D.; MacDonald, D.G. Mixing and transport in coastal river plumes. Annu. Rev. Fluid Mech. 2015, 47, 569–594. [Google Scholar] [CrossRef]
- Basdurak, N.B.; Largier, J.L.; Nidzieko, N.J. Modeling the dynamics of small-scale river and creek plumes in tidal waters. J. Geophys. Res. Oceans 2020, 125, e2019JC015737. [Google Scholar] [CrossRef]
- Speiser, W.H.; Largier, J.L. Long-term observations of the turbid outflow plume from the Russian River, California. Estuar. Coast. Shelf Sci. 2024, 309, 108942. [Google Scholar] [CrossRef]
- Chadwick, D.B.; Largier, J.L.; Cheng, R.T. The role of thermal stratification in tidal exchange at the mouth of San Diego Bay. Buoyancy Eff. Coast. Estuar. Dyn. 1996, 53, 155–174. [Google Scholar]
- Wolanski, E.; Elliott, M. Estuarine Ecohydrology: An Introduction; Elsevier: Amsterdam, The Netherlands, 2015. [Google Scholar]
- Lamb, K.G. Internal wave breaking and dissipation mechanisms on the continental slope/shelf. Annu. Rev. Fluid Mech. 2014, 46, 231–254. [Google Scholar] [CrossRef]
- Nickols, K.J.; Gaylord, B.; Largier, J.L. The coastal boundary layer: Predictable current structure decreases alongshore transport and alters scales of dispersal. Mar. Ecol. Prog. Ser. 2012, 464, 17–35. [Google Scholar] [CrossRef]
- Lentz, S.J.; Fewings, M.R. The wind-and wave-driven inner-shelf circulation. Annu. Rev. Mar. Sci. 2012, 4, 317–343. [Google Scholar] [CrossRef] [PubMed]
- Gough, M.K.; Freismuth, T.M.; MacMahan, J.H.; Colosi, J.A.; Suanda, S.H.; Kumar, N. Heating of the midshelf and inner shelf by warm internal tidal bores. J. Phys. Oceanogr. 2020, 50, 2609–2620. [Google Scholar] [CrossRef]
- Largier, J.L. Upwelling bays: How coastal upwelling controls circulation, habitat, and productivity in bays. Annu. Rev. Mar. Sci. 2020, 12, 415–447. [Google Scholar] [CrossRef]
- Albanai, J.A.; Abdelfatah, S.A. Accuracy assessment for Landsat 8 thermal bands in measuring sea surface temperature over Kuwait and North West Arabian Gulf. Kuwait J. Sci. 2022, 49, 1–13. [Google Scholar] [CrossRef]
- Choung, Y.J.; Kim, J.M. Relationship between the In-situ-measured Sea Surface Temperatures and the Landsat-derived Brightness Temperatures: A Case Study in the West Coast of South Korea. J. Coast. Res. 2019, 91, 336–340. [Google Scholar] [CrossRef]
- Klein, K.P.; Lantuit, H.; Heim, B.; Fell, F.; Doxaran, D.; Irrgang, A.M. Long-term high-resolution sediment and sea surface temperature spatial patterns in Arctic nearshore waters retrieved using 30-year landsat archive imagery. Remote Sens. 2019, 11, 2791. [Google Scholar] [CrossRef]
- Tavora, J.; Jiang, B.; Kiffney, T.; Bourdin, G.; Gray, P.C.; Carvalho, L.S.; Hesketh, G.; Schild, K.M.; Souza, L.F.; Brady, D.C.; et al. Recipes for the derivation of water quality parameters using the high-spatial-resolution data from sensors on board sentinel-2A, sentinel-2B, Landsat-5, Landsat-7, Landsat-8, and Landsat-9 satellites. J. Remote Sens. 2023, 3, 0049. [Google Scholar] [CrossRef]
- Vanhellemont, Q. Automated water surface temperature retrieval from Landsat 8/TIRS. Remote Sens. Environ. 2020, 237, 111518. [Google Scholar] [CrossRef]
- Wloczyk, C.; Richter, R.; Borg, E.; Neubert, W. Sea and lake surface temperature retrieval from Landsat thermal data in Northern Germany. Int. J. Remote Sens. 2006, 27, 2489–2502. [Google Scholar] [CrossRef]
- Jang, J.; Park, K.A. High-resolution sea surface temperature retrieval from Landsat 8 OLI/TIRS data at coastal regions. Remote Sens. 2019, 11, 2687. [Google Scholar] [CrossRef]
- Syariz, M.A.; Jaelani, L.M.; Subehi, L.; Pamungkas, A.; Koenhardono, E.S.; Sulisetyono, A. Retrieval of sea surface temperature over Poteran Island water of Indonesia with Landsat 8 TIRS image: A preliminary algorithm. Int. Arch. Photogramm. Remote Sens. Spat. Inf. Sci. 2015, 40, 87–90. [Google Scholar] [CrossRef]
- Bocharov, A.V.; Kostianoy, A.G.; Lebedev, S.A. Assessment of the accuracy of determining the Caspian Sea surface temperature by Landsat-5,-7 satellites based on the measurements of drifters. Ecol. Montenegrina 2024, 76, 87. [Google Scholar] [CrossRef]
- Wachmann, A.; Starko, S.; Neufeld, C.J.; Costa, M. Validating Landsat Analysis Ready Data for Nearshore Sea Surface Temperature Monitoring in the Northeast Pacific. Remote Sens. 2024, 16, 920. [Google Scholar] [CrossRef]
- Kuroda, H.; Toya, Y. High-resolution sea surface temperatures derived from Landsat 8: A study of submesoscale frontal structures on the Pacific shelf off the Hokkaido coast, Japan. Remote Sens. 2020, 12, 3326. [Google Scholar] [CrossRef]
- Thomas, A.; Byrne, D.; Weatherbee, R. Coastal sea surface temperature variability from Landsat infrared data. Remote Sens. Environ. 2002, 81, 262–272. [Google Scholar] [CrossRef]
- Fisher, J.I.; Mustard, J.F. High spatial resolution sea surface climatology from Landsat thermal infrared data. Remote Sens. Environ. 2004, 90, 293–307. [Google Scholar] [CrossRef]
- Snyder, J.; Boss, E.; Weatherbee, R.; Thomas, A.C.; Brady, D.; Newell, C. Oyster aquaculture site selection using Landsat 8-derived sea surface temperature, turbidity, and chlorophyll a. Front. Mar. Sci. 2017, 4, 190. [Google Scholar] [CrossRef]
- Snyder, J.N.; Bell, T.W.; Siegel, D.A.; Nidzieko, N.J.; Cavanaugh, K.C. Sea surface temperature imagery elucidates spatiotemporal nutrient patterns for offshore kelp aquaculture siting in the southern california bight. Front. Mar. Sci. 2020, 7, 22. [Google Scholar] [CrossRef]
- Fu, J.; Chen, C.; Guo, B.; Chu, Y.; Zheng, H. A split-window method to retrieving sea surface temperature from Landsat 8 thermal infrared remote sensing data in offshore waters. Estuar. Coast. Shelf Sci. 2020, 236, 106626. [Google Scholar] [CrossRef]
- Twedt, K.; Xiong, X.; Geng, X.; Wilson, T.; Mu, Q. Impact of satellite orbit drift on MODIS Earth scene observations used in calibration of the reflective solar bands. In Earth Observing Systems XXVIII; SPIE: Bellingham, DC, USA, 2023; Volume 12685, pp. 158–167. [Google Scholar]
- Behrens, D.K.; Bombardelli, F.A.; Largier, J.L.; Twohy, E. Episodic closure of the tidal inlet at the mouth of the Russian River—A small bar-built estuary in California. Geomorphology 2013, 189, 66–80. [Google Scholar] [CrossRef]
- Garcia-Reyes, M.; Largier, J.L. Seasonality of coastal upwelling off central and northern California: New insights, including temporal and spatial variability. J. Geophys. Res. Oceans 2012, 117, C03028. [Google Scholar] [CrossRef]
- Largier, J.L.; Magnell, B.A.; Winant, C.D. Subtidal circulation over the northern California shelf. J. Geophys. Res. Oceans 1993, 98, 18147–18179. [Google Scholar] [CrossRef]
- Halle, C.M.; Largier, J.L. Surface circulation downstream of the Point Arena upwelling center. Cont. Shelf Res. 2011, 31, 1260–1272. [Google Scholar] [CrossRef]
- Gorelick, N.; Hancher, M.; Dixon, M.; Ilyushchenko, S.; Thau, D.; Moore, R. Google Earth Engine: Planetary-scale geospatial analysis for everyone. Remote Sens. Environ. 2017, 202, 18–27. [Google Scholar] [CrossRef]
- Chander, G.; Markham, B.L.; Helder, D.L. Summary of current radiometric calibration coefficients for Landsat MSS, TM, ETM+, and EO-1 ALI sensors. Remote Sens. Environ. 2009, 113, 893–903. [Google Scholar] [CrossRef]
- USGS, Landsat. Landsat 8–9 Calibration and Validation (Cal/Val) Algorithm Description Document (ADD); United States Geological Society: Sioux Falls, SD, USA, 2021.
- Foga, S.; Scaramuzza, P.L.; Guo, S.; Zhu, Z.; Dilley, R.D.; Beckmann, T.; Schmidt, G.L.; Dwyer, J.L.; Hughes, M.J.; Laue, B. Cloud detection algorithm comparison and validation for operational Landsat data products. Remote Sens. Environ. 2017, 194, 379–390. [Google Scholar] [CrossRef]
- Markham, B.L.; Storey, J.C.; Williams, D.L.; Irons, J.R. Landsat sensor performance: History and current status. IEEE Trans. Geosci. Remote Sens. 2004, 42, 2691–2694. [Google Scholar] [CrossRef]
- Montanaro, M.; Gerace, A.; Lunsford, A.; Reuter, D. Stray light artifacts in imagery from the Landsat 8 Thermal Infrared Sensor. Remote Sens. 2014, 6, 10435–10456. [Google Scholar] [CrossRef]
- Johnstone, J.A.; Dawson, T.E. Climatic context and ecological implications of summer fog decline in the coast redwood region. Proc. Natl. Acad. Sci. USA 2010, 107, 4533–4538. [Google Scholar] [CrossRef] [PubMed]
- Torregrosa, A.; O’Brien, T.A.; Faloona, I.C. Coastal fog, climate change, and the environment. Eos Trans. Am. Geophys. Union 2014, 95, 473–474. [Google Scholar] [CrossRef]
- Zhang, H.K.; Roy, D.P. Landsat 5 Thematic Mapper reflectance and NDVI 27-year time series inconsistencies due to satellite orbit change. Remote Sens. Environ. 2016, 186, 217–233. [Google Scholar] [CrossRef]
- Minnett, P.J. The validation of sea surface temperature retrievals from spaceborne infrared radiometers. Oceanogr. Space Revisit. 2010, 1, 229–247. [Google Scholar]
- Donlon, C.J.; Minnett, P.J.; Gentemann, C.; Nightingale, T.J.; Barton, I.J.; Ward, B.; Murray, M.J. Toward improved validation of satellite sea surface skin temperature measurements for climate research. J. Clim. 2002, 15, 353–369. [Google Scholar] [CrossRef]
- Ghanea, M.; Moradi, M.; Kabiri, K.; Mehdinia, A. Investigation and validation of MODIS SST in the northern Persian Gulf. Adv. Space Res. 2016, 57, 127–136. [Google Scholar] [CrossRef]
- Gutierrez, A.A.; Hantson, S.; Langenbrunner, B.; Chen, B.; Jin, Y.; Goulden, M.L.; Randerson, J.T. Wildfire response to changing daily temperature extremes in California’s Sierra Nevada. Sci. Adv. 2021, 7, eabe6417. [Google Scholar] [CrossRef]
- Murray, M.J.; Allen, M.R.; Merchant, C.J.; Harris, A.R.; Donlon, C.J. Direct observations of skin-bulk SST variability. Geophys. Res. Lett. 2000, 27, 1171–1174. [Google Scholar] [CrossRef]
- Ward, B. Near-surface ocean temperature. J. Geophys. Res. Oceans 2006, 111, C02005. [Google Scholar] [CrossRef]
- Lentz, S.J. A heat budget for the northern California shelf during CODE 2. J. Geophys. Res. Ocean. 1987, 92, 14491–14509. [Google Scholar] [CrossRef]
- Donlon, C.J.; Nightingale, T.J.; Sheasby, T.; Turner, J.; Robinson, I.S.; Emergy, W.J. Implications of the oceanic thermal skin temperature deviation at high wind speed. Geophys. Res. Lett. 1999, 26, 2505–2508. [Google Scholar] [CrossRef]
- Delgado, A.L.; Jamet, C.; Loisel, H.; Vantrepotte, V.; Perillo, G.M.; Piccolo, M.C. Evaluation of the MODIS-Aqua Sea-Surface Temperature product in the inner and mid-shelves of southwest Buenos Aires Province, Argentina. Int. J. Remote Sens. 2014, 35, 306–320. [Google Scholar] [CrossRef]
- Dorman, C.E.; Winant, C.D. Buoy observations of the atmosphere along the west coast of the United States, 1981–1990. J. Geophys. Res. Oceans 1995, 100, 16029–16044. [Google Scholar] [CrossRef]
- Schluessel, P.; Emery, W.J.; Grassl, H.; Mammen, T. On the bulk-skin temperature difference and its impact on satellite remote sensing of sea surface temperature. J. Geophys. Res. Oceans 1990, 95, 13341–13356. [Google Scholar] [CrossRef]
- Largier, J.L.; Hollibaugh, J.T.; Smith, S.V. Seasonally hypersaline estuaries in Mediterranean-climate regions. Estua. Coast. Shelf Sci. 1997, 45, 789–797. [Google Scholar] [CrossRef]
- Minnett, P.J.; Kilpatrick, K.A.; Podestá, G.P.; Evans, R.H.; Szczodrak, M.D.; Izaguirre, M.A.; Williams, E.J.; Walsh, S.; Reynolds, R.M.; Bailey, S.W.; et al. Skin sea-surface temperature from VIIRS on Suomi-NPP—NASA continuity retrievals. Remote Sens. 2020, 12, 3369. [Google Scholar] [CrossRef]
- Smith, J.A.; Largier, J.L. Observations of nearshore circulation: Rip currents. J. Geophys. Res. Oceans 1995, 100, 10967–10975. [Google Scholar] [CrossRef]












| Name Coordinate Depth (D) Distance Offshore (Dist) | Type | Extent | Pixel | Count | r | RMSEOLS | RMSE1:1 |
|---|---|---|---|---|---|---|---|
| N46014: | Buoy | 04/1981–05/2023 | 39.23078°N, 123.97424°W | All: 300 | All: 0.83 | All: 0.89 | All: 1.15 |
| 39.225°N, 123.980°W | R0: 147 | R0: 0.91 | R0: 0.62 | R0: 1.06 | |||
| D: 2.0 m | Bt: 323 | Bt: 0.75 | Bt: 1.04 | Bt: 1.86 | |||
| Dist: 15.6 km | MSST: 294 | MSST: 0.70 | MSST:1.13 | MSST: 1.55 | |||
| N46013: | Buoy | 04/1981–05/2023 | 38.23544°N, 123.31667°W | All: 385 | All: 0.79 | All: 1.04 | All: 1.25 |
| 38.235°N, 123.317°W | R0: 175 | R0: 0.87 | R0: 0.73 | R0: 1.17 | |||
| D: 2.0 m | Bt: 376 | Bt: 0.65 | Bt: 1.30 | Bt: 2.00 | |||
| Dist: 23.0 km | MSST: 376 | MSST: 0.69 | MSST: 1.22 | MSST: 1.53 | |||
| BML Mooring: | Buoy | 09/2012–05/2023 | 38.31180°N, 123.08312°W | All: 67 | All: 0.92 | All: 0.76 | All: 0.95 |
| 38.312°N, 123.083°W | R0: 40 | R0: 0.92 | R0: 0.65 | R0: 1.00 | |||
| D: 1.0 m | Bt: 134 | Bt: 0.87 | Bt: 0.93 | Bt: 1.63 | |||
| Dist: 1.0 km | MSST: 40 | MSST: 0.87 | MSST: 0.92 | MSST: 1.31 | |||
| TB Mooring: | Buoy | 05/2013–10/2021 | 38.18783°N, 122.92771°W | All: 204 | All: 0.85 | All: 1.25 | All: 1.56 |
| 38.188°N, 122.928°W | R0: 95 | R0: 0.92 | R0: 0.98 | R0: 1.42 | |||
| D: 1.0 m | Bt: 220 | Bt: 0.81 | Bt: 1.41 | Bt: 2.53 | |||
| Dist: 0.34 km | MSST: NA | MSST = NA | MSST = NA | MSST = NA | |||
| BML intake: | Intake | 04/1988–05/2023 | 38.31539°N, 123.07324°W | All: 425 | All: 0.73 | All: 1.20 | All: 1.56 |
| 38.316°N, 123.070°W | R0: 188 | R0: 0.83 | R0: 0.89 | R0: 1.58 | |||
| D: 2.5–4.5 m tidal | Bt: 451 | Bt: 0.62 | Bt: 1.40 | Bt: 2.08 | |||
| Dist: 0 km | MSST: 50 | MSST: 0.80 | MSST: 1.17 | MSST: 1.95 |
Disclaimer/Publisher’s Note: The statements, opinions and data contained in all publications are solely those of the individual author(s) and contributor(s) and not of MDPI and/or the editor(s). MDPI and/or the editor(s) disclaim responsibility for any injury to people or property resulting from any ideas, methods, instructions or products referred to in the content. |
© 2024 by the authors. Licensee MDPI, Basel, Switzerland. This article is an open access article distributed under the terms and conditions of the Creative Commons Attribution (CC BY) license (https://creativecommons.org/licenses/by/4.0/).
Share and Cite
Speiser, W.H.; Largier, J.L. High-Resolution Nearshore Sea Surface Temperature from Calibrated Landsat Brightness Data. Remote Sens. 2024, 16, 4477. https://doi.org/10.3390/rs16234477
Speiser WH, Largier JL. High-Resolution Nearshore Sea Surface Temperature from Calibrated Landsat Brightness Data. Remote Sensing. 2024; 16(23):4477. https://doi.org/10.3390/rs16234477
Chicago/Turabian StyleSpeiser, William H., and John L. Largier. 2024. "High-Resolution Nearshore Sea Surface Temperature from Calibrated Landsat Brightness Data" Remote Sensing 16, no. 23: 4477. https://doi.org/10.3390/rs16234477
APA StyleSpeiser, W. H., & Largier, J. L. (2024). High-Resolution Nearshore Sea Surface Temperature from Calibrated Landsat Brightness Data. Remote Sensing, 16(23), 4477. https://doi.org/10.3390/rs16234477

