Cross-Gradient Joint Inversion of DC Resistivity and Gravity Gradient Data: A Multi-Disciplinary Approach for Geoscience, Heritage, and the Built Environment
Abstract
1. Introduction
2. Materials and Methods
3. Theoretical Background
3.1. Forward Problem of Resistivity
3.2. Forward Problem of the Gravity Gradient
3.3. Cross-Gradient Joint Inversion Algorithm
4. Results
4.1. Synthetic Models
4.1.1. Synthetic Model I
4.1.2. Synthetic Model II
5. Case Studies
5.1. Case Study I
5.1.1. Background Information
5.1.2. Geophysical Data
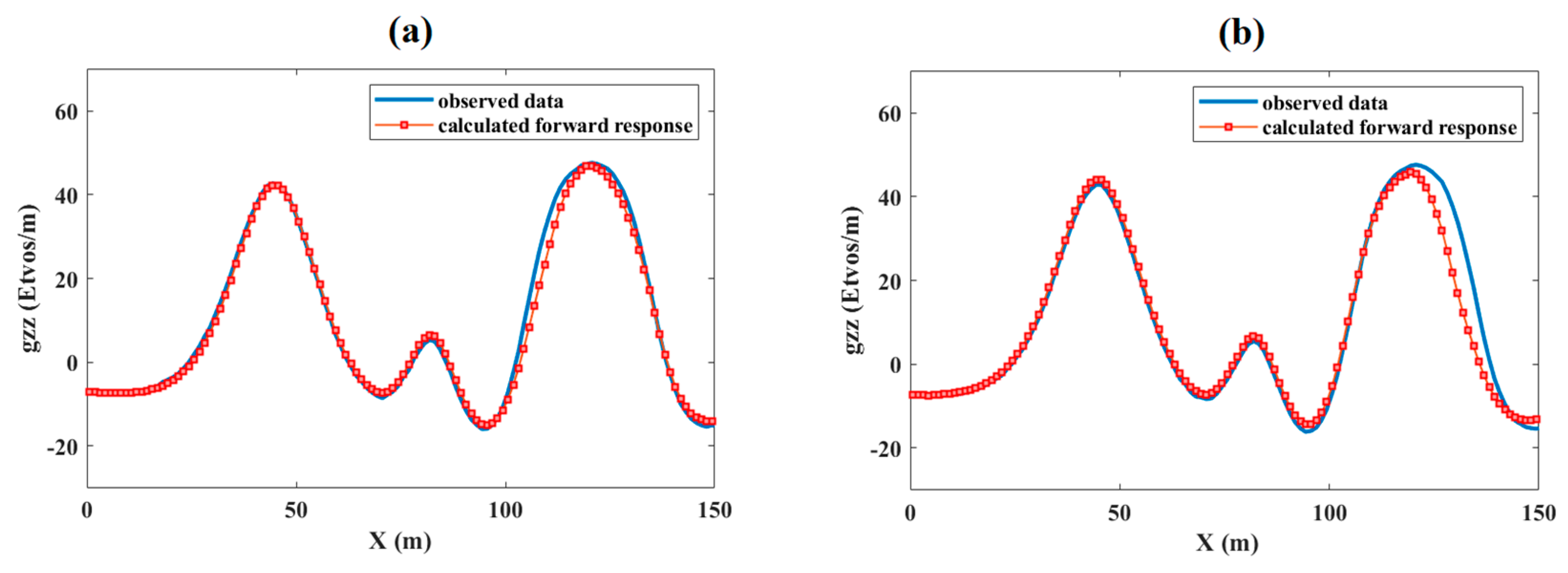
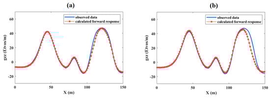
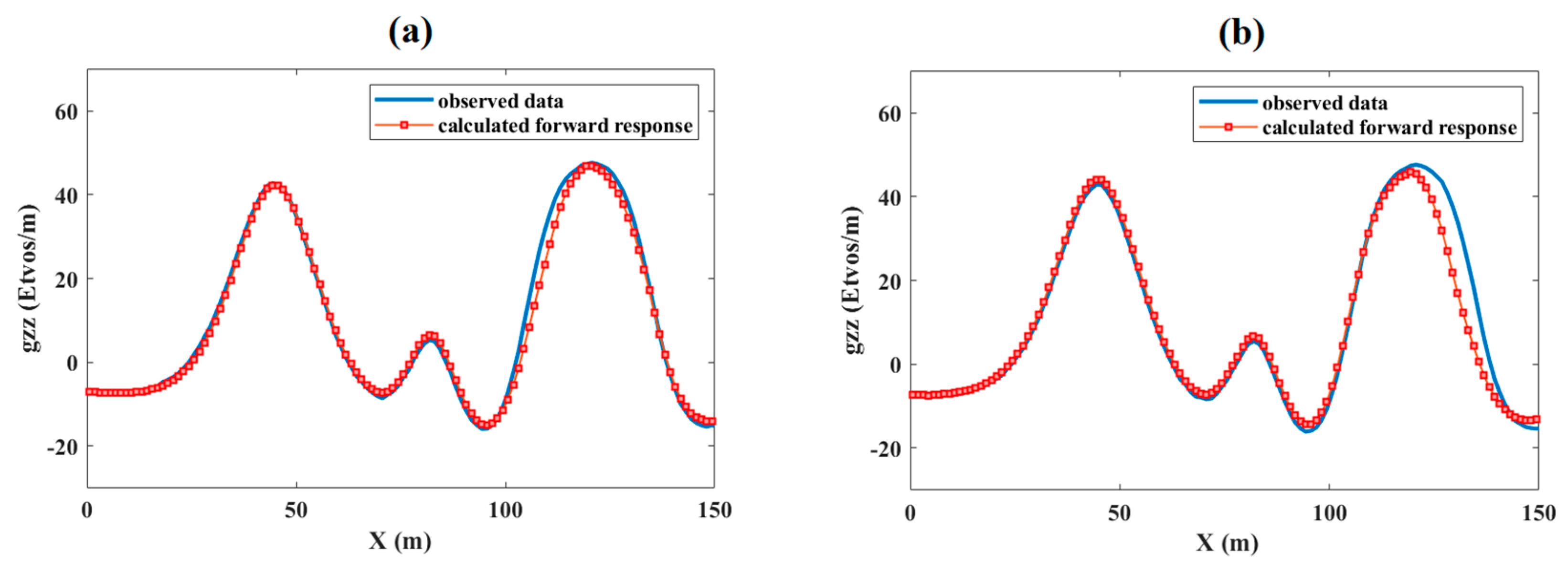
5.1.3. Results of Separate and Joint Inversions
5.2. Case Study II
5.2.1. Background Information
5.2.2. Geophysical Data
5.2.3. Results of Separate and Joint Inversions
6. Conclusions
Author Contributions
Funding
Data Availability Statement
Acknowledgments
Conflicts of Interest
References
- Soupios, P.; Akca, I.; Mpogiatzis, P.; Basokur, A.T.; Papazachos, C. Applications of hybrid genetic algorithms in seismic tomography. J. Appl. Geophys. 2011, 75, 479–489. [Google Scholar] [CrossRef]
- Edigbue, P.; Demirci, I.; Akca, I.; Hamdan, H.A.; Kirmizakis, P.; Soupios, P.; Candansayar, E.; Hanafy, S.; Al-Shuhail, A. A comprehensive study of local, global, and combined optimization methods on synthetic seismic refraction and direct current resistivity data. Appl. Sci. 2022, 12, 11589. [Google Scholar] [CrossRef]
- Shi, Z.; Wang, C. Near-surface imaging by joint inversion of ERT and seismic traveltime data with guided FCM clustering. J. Appl. Geophys. 2024, 222, 105332. [Google Scholar] [CrossRef]
- Yang, B.; Xu, K.; Liu, Z. Fuzzy constrained inversion of magnetotelluric data using guided fuzzy c-means clustering. Surv. Geophys. 2021, 42, 399–425. [Google Scholar] [CrossRef]
- Gallardo, L.A.; Meju, M.A. Characterization of heterogeneous near-surface materials by joint 2D inversion of dc resistivity and seismic data. Geophys. Res. Lett. 2003, 30. [Google Scholar] [CrossRef]
- Moher, D.; Liberati, J. Tetzlaff. D.G.; PRISMA GROUP, T. Preferred reporting items for systematic reviews and meta-analyses: The PRISMA statement. Ann. Intern. Med. 2009, 151, 264–269. [Google Scholar] [CrossRef] [PubMed]
- Gallardo, L.A.; Meju, M.A. Joint two-dimensional cross-gradient imaging of magnetotelluric and seismic traveltime data for structural and lithological classification. Geophys. J. Int. 2007, 169, 1261–1272. [Google Scholar] [CrossRef]
- Fregoso, E.; Gallardo, L.A. Cross-gradients joint 3D inversion with applications to gravity and magnetic data. Geophysics 2009, 74, L31–L42. [Google Scholar] [CrossRef]
- Gallardo, L.A.; Meju, M.A. Joint two-dimensional DC resistivity and seismic travel time inversion with cross-gradients constraints. J. Geophys. Res. Solid Earth 2004, 109. [Google Scholar] [CrossRef]
- Tarantola, A.; Valette, B. Inverse problems = quest for information. J. Geophys. 1982, 50, 159–170. [Google Scholar]
- Hu, W.; Abubakar, A.; Habashy, T.M. Joint electromagnetic and seismic inversion using structural constraints. Geophysics 2009, 74, R99–R109. [Google Scholar] [CrossRef]
- Doetsch, J.; Linde, N.; Binley, A. Structural joint inversion of time-lapse crosshole ERT and GPR traveltime data. Geophys. Res. Lett. 2010, 37. [Google Scholar] [CrossRef]
- Bennington, N.L.; Zhang, H.; Thurber, C.H.; Bedrosian, P.A. Joint inversion of seismic and magnetotelluric data in the Parkfield Region of California using the normalized cross-gradient constraint. Pure Appl. Geophys. 2015, 172, 1033–1052. [Google Scholar] [CrossRef]
- Joulidehsar, F.; Moradzadeh, A.; Ardejani, F.D. An improved 3D joint inversion method of potential field data using cross-gradient constraint and LSQR method. Pure Appl. Geophys. 2018, 175, 4389–4409. [Google Scholar] [CrossRef]
- Varfinezhad, R.; Oskooi, B. 2D DC resistivity forward modeling based on the integral equation method and a comparison with the RES2DMOD results. J. Earth Space Phys. 2020, 45, 43. [Google Scholar]
- Bianco, L.; Tavakoli, M.; Vitale, A.; Fedi, M. Multi-Order Sequential Joint Inversion of gravity data with inhomogeneous depth weighting: From near surface to basin modelling applications. IEEE Trans. Geosci. Remote Sens. 2023, 62, 1–11. [Google Scholar] [CrossRef]
- Gallardo, L.A.; Meju, M.A. Structure-coupled multiphysics imaging in geophysical sciences. Rev. Geophys. 2011, 49. [Google Scholar] [CrossRef]
- Zhou, J.; Xiu, C.; Zhang, X. Simultaneous structure-coupled joint inversion of gravity and magnetic data based on a damped least-squares technique. Int. J. Geosci. 2015, 6, 172–179. [Google Scholar] [CrossRef][Green Version]
- Meju, M.A.; Gallardo, L.A. Structural coupling approaches in integrated geophysical imaging. Integr. Imaging Earth Theory Appl. 2016, 49–67. [Google Scholar] [CrossRef]
- Wang, K.-P.; Tan, H.-D.; Wang, T. 2D joint inversion of CSAMT and magnetic data based on cross-gradient theory. Appl. Geophys. 2017, 14, 279–290. [Google Scholar] [CrossRef]
- Zhang, R.; Li, T. Joint inversion of 2D gravity gradiometry and magnetotelluric data in mineral exploration. Minerals 2019, 9, 541. [Google Scholar] [CrossRef]
- Blakely, R.J. Potential Theory in Gravity and Magnetic Applications; Cambridge University Press: Cambridge, UK, 1996. [Google Scholar]
- Varfinezhad, R.; Fedi, M.; Milano, M. The role of model weighting functions in the gravity and DC resistivity inversion. IEEE Trans. Geosci. Remote Sens. 2022, 60, 1–15. [Google Scholar] [CrossRef]
- Varfinezhad, R.; Parnow, S.; Florio, G.; Fedi, M.; Vizheh, M.M. DC resistivity inversion constrained by magnetic method through sequential inversion. Acta Geophys. 2023, 71, 247–260. [Google Scholar] [CrossRef]
- Parnow, S.; Oskooi, B.; Florio, G. Improved linear inversion of low induction number electromagnetic data. Geophys. J. Int. 2021, 224, 1505–1522. [Google Scholar] [CrossRef]
- Zhdanov, M.S. Geophysical Electromagnetic Theory and Methods; Elsevier: Amsterdam, The Netherlands, 2009. [Google Scholar]
- Pérez-Flores, M.; Méndez-Delgado, S.; Gómez-Treviño, E. Imaging low-frequency and dc electromagnetic fields using a simple linear approximation. Geophysics 2001, 66, 1067–1081. [Google Scholar] [CrossRef]
- Charré-Meza, A.S.; Pérez-Flores, M.A.; Gómez-Treviño, E. 2-D inversion of DC resistivity data from the Cerro Prieto geothermal area, Mexico. Proc. World Geotherm. Congr. 2000, 2000, 1037–1041. [Google Scholar]
- Cella, F.; Fedi, M. Inversion of potential field data using the structural index as weighting function rate decay. Geophys. Prospect. 2012, 60, 313–336. [Google Scholar] [CrossRef]
- Varfinezhad, R.; Oskooi, B.; Fedi, M. Joint inversion of DC resistivity and magnetic data, constrained by cross gradients, compactness and depth weighting. Pure Appl. Geophys. 2020, 177, 4325–4343. [Google Scholar] [CrossRef]
- Last, B.; Kubik, K. Compact gravity inversion. Geophysics 1983, 48, 713–721. [Google Scholar] [CrossRef]
- Li, Y.; Oldenburg, D.W. 3-D inversion of gravity data. Geophysics 1998, 63, 109–119. [Google Scholar] [CrossRef]
- Li, Y.; Oldenburg, D.W. 3-D inversion of magnetic data. Geophysics 1996, 61, 394–408. [Google Scholar] [CrossRef]
- Zhou, J.; Revil, A.; Karaoulis, M.; Hale, D.; Doetsch, J.; Cuttler, S. Image-guided inversion of electrical resistivity data. Geophys. J. Int. 2014, 197, 292–309. [Google Scholar] [CrossRef]
- Krahenbuhl, R.A.; Li, Y. Inversion of gravity data using a binary formulation. Geophys. J. Int. 2006, 167, 543–556. [Google Scholar] [CrossRef]
- Vitale, A.; Fedi, M. Self-constrained potential fields through a 3D depth weighting. Geophysics 2020, 85, G143–G156. [Google Scholar] [CrossRef]
- Mousazadeh, H.; Ghorbani, A.; Azadi, H.; Almani, F.A.; Zangiabadi, A.; Zhu, K.; Dávid, L.D. Developing sustainable behaviors for underground heritage tourism management: The case of Persian Qanats, a UNESCO world heritage property. Land 2023, 12, 808. [Google Scholar] [CrossRef]
- Rayhani, M.H.; El Naggar, M.H. Collapse hazard zonation of qanats in greater Tehran area. Geotech. Geol. Eng. 2007, 25, 327–338. [Google Scholar] [CrossRef]
- Aghamolaie, I.; Lashkaripour, G.; Ghafoori, M.; Hafezi Moghadas, N. Investigating the Development of Kerman’s Soil Structure and its Effect on the Collapsibility index. Int. J. Min. Geo-Eng. 2018, 52, 43–51. [Google Scholar]
- Ahmadi, H.; Nazari Samani, A.; Malekian, A. The qanat: A living history in Iran. In Water and Sustainability in Arid Regions; Springer: Dordrecht, The Netherlands, 2010; pp. 125–138. [Google Scholar]
- Dennis, I.; Dennis, R. Climate change vulnerability index for South African aquifers. Water SA 2012, 38, 417–426. [Google Scholar] [CrossRef]
- Woodford, A.; Chevallier, L. Hydrogeology of the Main Karoo Basin: Current knowledge and future research needs. Water Res. Comm. Rep. No. TT 2002, 179, 482. [Google Scholar]
- Makhokha, D. A Systematic Approach to the Interpretation of Conductivity Anomalies Across Intrusive Dolerite Dykes and Sills in the Karoo Supergroup. Master’s Thesis, University of the Free State, Bloemfontein, South Africa, 2016. [Google Scholar]
- Makhokha, D.; Fourie, F. A systematic approach to the interpretation of conductivity anomalies across intrusive dolerite dykes and sills in the Karoo Supergroup. In Proceedings of the 14th Biennial Ground Water Division Conference and Exhibition, Muldersdrift, South Africa, 21–23 September 2015. [Google Scholar]





















| Cluster | Colour | Label |
|---|---|---|
| 1 | Red | Gravity and Magnetic |
| 2 | Green | Magneto Telluric, Seismic (Reflection), Gravity, and Magnetic |
| 3 | Blue | EMFD, GPR, ERT, and Seismic (Refraction) |
| Model | αR | αGG | βR | βGG | NITs |
|---|---|---|---|---|---|
| Synthetic Model I | 0.5 | 0.01 | 0.7 | 1 | 5 |
| Synthetic Model II | 1.2 | 0.03 | 0.6 | 1 | 7 |
| Case Study I | 0.9 | 0.08 | 0.5 | 1 | 4 |
| Case Study II | 0.6 | 0.4 | 0.5 | 1 | 4 |
| Method | After Separate Inversion | After Joint Inversion |
|---|---|---|
| DC Resistivity | 1.86% | 2.55% |
| Gravity Gradient | 4.05% | 4.18% |
| Coordinates | Left Outlet | Central Outlet | Right Outlet |
|---|---|---|---|
| X (m) | 23–26 | 43–47 | 54–57 |
| Depth (m) | 3–6 | 6–9 | 4–8 |
Disclaimer/Publisher’s Note: The statements, opinions and data contained in all publications are solely those of the individual author(s) and contributor(s) and not of MDPI and/or the editor(s). MDPI and/or the editor(s) disclaim responsibility for any injury to people or property resulting from any ideas, methods, instructions or products referred to in the content. |
© 2024 by the authors. Licensee MDPI, Basel, Switzerland. This article is an open access article distributed under the terms and conditions of the Creative Commons Attribution (CC BY) license (https://creativecommons.org/licenses/by/4.0/).
Share and Cite
Ghari, H.; Parnow, S.; Varfinezhad, R.; Milano, M.; Fourie, F.D.; Tosti, F. Cross-Gradient Joint Inversion of DC Resistivity and Gravity Gradient Data: A Multi-Disciplinary Approach for Geoscience, Heritage, and the Built Environment. Remote Sens. 2024, 16, 4468. https://doi.org/10.3390/rs16234468
Ghari H, Parnow S, Varfinezhad R, Milano M, Fourie FD, Tosti F. Cross-Gradient Joint Inversion of DC Resistivity and Gravity Gradient Data: A Multi-Disciplinary Approach for Geoscience, Heritage, and the Built Environment. Remote Sensing. 2024; 16(23):4468. https://doi.org/10.3390/rs16234468
Chicago/Turabian StyleGhari, Hosseinali, Saeed Parnow, Ramin Varfinezhad, Maurizio Milano, Francois Daniel Fourie, and Fabio Tosti. 2024. "Cross-Gradient Joint Inversion of DC Resistivity and Gravity Gradient Data: A Multi-Disciplinary Approach for Geoscience, Heritage, and the Built Environment" Remote Sensing 16, no. 23: 4468. https://doi.org/10.3390/rs16234468
APA StyleGhari, H., Parnow, S., Varfinezhad, R., Milano, M., Fourie, F. D., & Tosti, F. (2024). Cross-Gradient Joint Inversion of DC Resistivity and Gravity Gradient Data: A Multi-Disciplinary Approach for Geoscience, Heritage, and the Built Environment. Remote Sensing, 16(23), 4468. https://doi.org/10.3390/rs16234468

