A Resolution-Improving Method for Multiband Imaging Based on an Extrapolated RELAX Algorithm
Abstract
1. Introduction
2. Principle of the Proposed Multiband Imaging Method
3. Proposed Multiband Imaging Method Based on ERA
3.1. Coarse Phase Compensation and Non-Gaussian Clutter Decrease Based on LBP
3.2. PSs’ Parameters Estimation and Fine Phase Compensation Based on ERA
3.3. FFB Reconstruction
| Algorithm 1: | Extrapolated RELAX Algorithm |
| 1: | Input: |
| 2: | for |
| 3: | |
| 4: | Estimate from and |
| 5: | Estimate from (19) |
| 6: | Estimate from (20) |
| 7: | end for |
| 8: | |
| 9: | |
| 10: | for |
| 11: | |
| 12: | repeat |
| 13: | |
| 14: | Update from (34) |
| 15: | Update from (31) |
| 16: | Update from (27) |
| 17: | Update from (25) |
| 18: | |
| 19: | until the convergence condition is satisfied |
| 20: | end for |
| 21: | Output: |
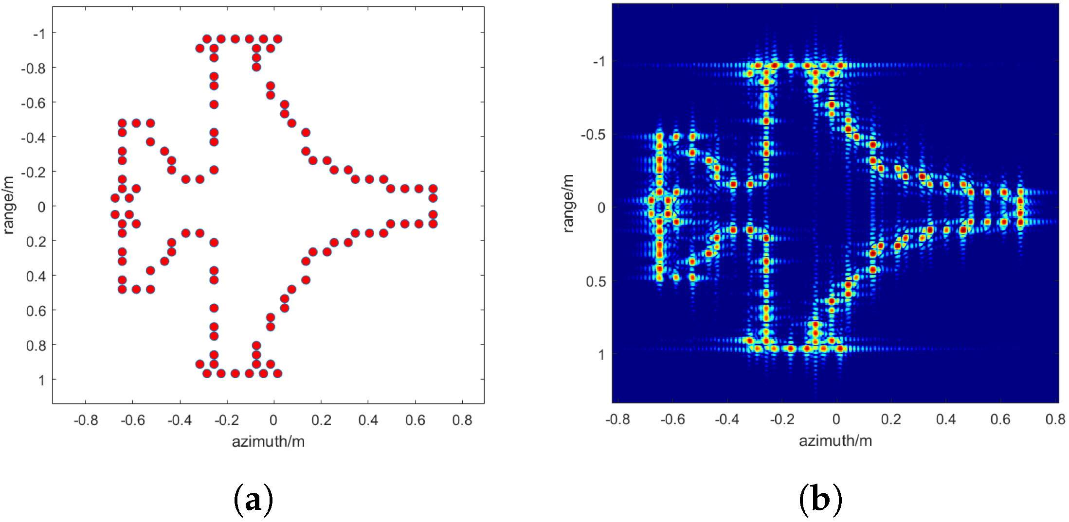
4. Experiment Results
4.1. One-Dimensional Simulations
4.2. Two-Dimensional Simulations
- (1)
- The range resolutions of both FFBs were higher than the SB, which means that MBF technology could indeed improve imaging resolution;
- (2)
- When there was no non-Gaussian clutter, the FFB image produced by the proposed method was closer to the reference image of the FB than that generated by the MRA, which means that the proposed method was more accurate than the MRA;
- (3)
- When SCR was low, the MRA obviously lost more PSs than the proposed method, which demonstrated the superior anti-non-Gaussian-clutter capability of the proposed method.
4.3. Experiments Using Real Measured Data
5. Discussion
6. Conclusions
Author Contributions
Funding
Data Availability Statement
Conflicts of Interest
References
- Cuomo, K.; Pion, J.; Mayhan, J. Ultrawide-Band Coherent Processing. IEEE Trans. Antennas Propag. 1999, 47, 1094–1107. [Google Scholar] [CrossRef]
- Ma, Y.; Ma, R.; Lin, Z.; Zhang, R.; Cai, Y.; Wu, W.; Wang, J. Improving Age of Information for Covert Communication With Time-Modulated Arrays. IEEE Internet Things J. 2024. [Google Scholar] [CrossRef]
- Zhang, R.; Wu, X.; Lou, Y.; Yan, F.G.; Zhou, Z.; Wu, W.; Yuen, C. Channel Training-Aided Target Sensing for Terahertz Integrated Sensing and Massive MIMO Communications. IEEE Internet Things J. 2024. [Google Scholar] [CrossRef]
- Zhang, H.H.; Chen, R.S. Coherent Processing and Superresolution Technique of Multi-Band Radar Data Based on Fast Sparse Bayesian Learning Algorithm. IEEE Trans. Antennas Propag. 2014, 62, 6217–6227. [Google Scholar] [CrossRef]
- van Dorp, P.; Ebeling, R.; Huizing, A.G. High Resolution Radar Imaging Using Coherent MultiBand Processing Techniques. In Proceedings of the 2010 IEEE Rdar Conference, Arlington, VA, USA, 10–14 May 2010; pp. 981–986. [Google Scholar] [CrossRef]
- Hu, P.; Xu, S.; Wu, W.; Chen, Z. Sparse Subband ISAR Imaging Based on Autoregressive Model and Smoothed l0 Algorithm. IEEE Sens. J. 2018, 18, 9315–9323. [Google Scholar] [CrossRef]
- Berry, P.; Ngoc, H.N.; Hai-Tan, T. Compressive Sensing-Based Bandwidth Stitching for Multichannel Microwave Radars. Sensors 2020, 20, 665. [Google Scholar] [CrossRef]
- Li, X.; Bai, X.; Zhou, F. High-Resolution ISAR Imaging and Autofocusing via 2D-ADMM-Net. Remote Sens. 2021, 13, 2326. [Google Scholar] [CrossRef]
- Guha, S.; Bathelt, A.; Conde, M.H.; Ender, J. Radar Band Fusion Using Frame-Based Compressed Sensing. IEEE J. Sel. Top. Signal Process. 2023, 17, 403–415. [Google Scholar] [CrossRef]
- Wang, H.; Zhang, B.; Wang, H.; Wu, B.; Guo, D. Parameter Estimation of Multiple Frequency-hopping Signals Based on Bayesian Compressive Sensing and Atomic Norm Soft Thresholding with Missing Observations. IET Commun. 2022, 16, 888–901. [Google Scholar] [CrossRef]
- Jia, L.; Xu, X. A New Procedure for Ultra Wideband Radar Imaging from Sparse Subband Data. In Proceedings of the 2006 8th International Conference on Signal Processing, Guilin, China, 16–20 November 2006; p. 4129696. [Google Scholar] [CrossRef]
- Tian, B.; Chen, Z.; Xu, S. Sparse Subband Fusion Imaging Based on Parameter Estimation of Geometrical Theory of Diffraction Model. IET Radar Sonar Navig. 2014, 8, 318–326. [Google Scholar] [CrossRef]
- Hussain, B.; Malacarne, A.; Maresca, S.; Scotti, F.; Ghelfi, P.; Bogoni, A. Auto-Regressive Spectral Gap Filling Algorithms for Photonics-Based Highly Sparse Coherent Multi-Band Radars in Complex Scenarios. In Proceedings of the 2018 IEEE Radar Conference (RadarConf18), Oklahoma City, OK, USA, 23–27 April 2018; pp. 0993–0998. [Google Scholar] [CrossRef]
- Yuan, S.; Chen, C.; Xu, X. Block-Division Based Ultra-Wideband Fusion of Multiple Radar Bands for Resolution Enhanced Imagery. In Proceedings of the 2018 12th International Conference on Signal Processing and Communication Systems (ICSPCS), Cairns, Australia, 17–19 December 2018; pp. 1–5. [Google Scholar] [CrossRef]
- Piou, J. A State Identification Method for 1-D Measurements with Gaps. San Francisco, CA, USA, 15–18 August 2005. [Google Scholar] [CrossRef]
- Xu, X.; He, F. An Iterative Procedure for Ultra-Wideband Imagery of Space Objects from Distributed Multi-Band Radar Data. In Proceedings of the SPIE Optical Engineering + Applications, San Diego, CA, USA, 17–21 August 2014; Dolne, J.J., Karr, T.J., Gamiz, V.L., Eds.; SPIE: Bellingham, WA, USA, 2014; p. 922709. [Google Scholar] [CrossRef]
- Moore, T.G.; Zuerndorfer, B.W.; Burt, E.C. Enhanced Imagery Using Spectral-Estimation-Based Techniques. Linc. Lab. J. 1997, 10, 171–186. [Google Scholar]
- Zou, Y.Q.; Gao, X.Z.; Li, X.; Liu, Y.X. A Matrix Pencil Algorithm Based Multiband Iterative Fusion Imaging Method. Sci. Rep. 2016, 6, 19440. [Google Scholar] [CrossRef]
- Lulu, A.; Mobasseri, B.G. High-Resolution Range-Doppler Maps by Coherent Extension of Narrowband Pulses. IEEE Trans. Aerosp. Electron. Syst. 2020, 56, 3099–3112. [Google Scholar] [CrossRef]
- Jiang, W.; Liu, J.; Yang, J.; Zhang, X.; Li, W. A Novel Multiband Fusion Method Based on a Modified RELAX Algorithm for High-Resolution and Anti-Non-Gaussian Colored Clutter Microwave Imaging. IEEE Trans. Geosci. Remote Sens. 2022, 60, 1–12. [Google Scholar] [CrossRef]
- Wu, P.-R. A Criterion for Radar Resolution Enhancement with Burg Algorithm. IEEE Trans. Aerosp. Electron. Syst. 1995, 31, 897–915. [Google Scholar] [CrossRef]
- Li, J.; Stoica, P. Efficient mixed-spectrum estimation with applications to target feature extraction. IEEE Trans. Signal Process. 1996, 44, 281–295. [Google Scholar] [CrossRef]
- Li, J.; Stoica, P.; Zheng, D. Angle and Waveform Estimation in the Presence of Colored Noise via RELAX. In Proceedings of the Conference Record of the Twenty-Ninth Asilomar Conference on Signals, Systems and Computers, Pacific Grove, CA, USA, 30 October–1 November 1995; Volume 1, pp. 433–437. [Google Scholar] [CrossRef]
- Liu, Z.S.; Li, J.; Stoica, P. RELAX-Based Estimation of Damped Sinusoidal Signal Parameters. Signal Process. 1997, 62, 311–321. [Google Scholar] [CrossRef]
- Liu, Z.-S.; Li, J. Implementation of the RELAX Algorithm. IEEE Trans. Aerosp. Electron. Syst. 1998, 34, 657–664. [Google Scholar] [CrossRef]
- Yardibi, T.; Li, J.; Stoica, P.; Xue, M.; Baggeroer, A.B. Source Localization and Sensing: A Nonparametric Iterative Adaptive Approach Based on Weighted Least Squares. IEEE Trans. Aerosp. Electron. Syst. 2010, 46, 425–443. [Google Scholar] [CrossRef]
- Xu, L.; Zhao, K.; Li, J.; Stoica, P. Wideband Source Localization Using Sparse Learning via Iterative Minimization. Signal Process. 2013, 93, 3504–3514. [Google Scholar] [CrossRef]
- Jiang, Y.; Sun, S.; Yuan, Y.; Yeo, T.S. Three-Dimensional Aircraft Isar Imaging Based on Shipborne Radar. IEEE Trans. Aerosp. Electron. Syst. 2016, 52, 2504–2518. [Google Scholar] [CrossRef]
- Xu, S.; Yarovoy, A. Joint Features Extraction for Multiple Moving Targets Using (Ultra-)Wideband FMCW Signals in the Presence of Doppler Ambiguity. IEEE Trans. Signal Process. 2020, 68, 6562–6577. [Google Scholar] [CrossRef]
- Fang, J.; Xu, Z.; Zhang, B.; Hong, W.; Wu, Y. Fast Compressed Sensing SAR Imaging Based on Approximated Observation. IEEE J. Sel. Top. Appl. Earth Obs. Remote Sens. 2014, 7, 352–363. [Google Scholar] [CrossRef]
- Bi, H.; Bi, G.; Zhang, B.; Hong, W.; Wu, Y. From Theory to Application: Real-Time Sparse SAR Imaging. IEEE Trans. Geosci. Remote Sens. 2020, 58, 2928–2936. [Google Scholar] [CrossRef]
- Wax, M.; Kailath, T. Detection of Signals by Information Theoretic Criteria. IEEE Trans. Acoust. Speech Signal Process. 1985, 33, 387–392. [Google Scholar] [CrossRef]
- Stoica, P.; Eykhoff, P.; Janssen, P.; Soderstrom, T. Model-Structure Selection by Cross-Validation. Int. J. Control. 1986, 43, 1841–1878. [Google Scholar] [CrossRef]
- Tian, J.; Sun, J.; Wang, G.; Wang, Y.; Tan, W. Multiband Radar Signal Coherent Fusion Processing With IAA and apFFT. IEEE Signal Process. Lett. 2013, 20, 463–466. [Google Scholar] [CrossRef]
- Bos, R.; De Waele, S.; Broersen, P. Autoregressive Spectral Estimation by Application of the Burg Algorithm to Irregularly Sampled Data. IEEE Trans. Instrum. Meas. 2002, 51, 1289–1294. [Google Scholar] [CrossRef]
- Jiao, Y.; Yu, J.; Che, R. Application of RELAX Algorithm to ISAR Superresolution Imaging. In Proceedings of the 2006 CIE International Conference on Radar, Shanghai, China, 16–19 October 2006; pp. 1–4. [Google Scholar] [CrossRef]
- Wang, J.; Aubry, P.; Yarovoy, A. Wavenumber-Domain Multiband Signal Fusion With Matrix-Pencil Approach for High-Resolution Imaging. IEEE Trans. Geosci. Remote Sens. 2018, 56, 4037–4049. [Google Scholar] [CrossRef]
- Luo, X.; Wang, A.; Wo, J.; Wang, Y.; Fu, J.; Zhu, Y.; Zhang, J.; Cong, W.; Liu, R.; Yang, H.; et al. Microwave Photonic Video Imaging Radar with Widely Tunable Bandwidth for Monitoring Diverse Airspace Targets. Opt. Commun. 2019, 451, 296–300. [Google Scholar] [CrossRef]








| Point Scatter | m | ||
|---|---|---|---|
| Point 1 | 6 | 0 | 7.00 |
| Point 2 | 8 | 0 | 7.11 |
| Point 3 | 12 | 0 | 7.40 |
| Band | GHz | ||
| Subband 1 | 7.50–8.75 | 0 | 0 |
| Subband 2 | 11.25–12.50 | 0.8 | |
| Full band | 7.50–12.50 | / | / |
| SCR (dB) | 5 | 0 | −5 | −10 | ||||||||
|---|---|---|---|---|---|---|---|---|---|---|---|---|
| SBR (%) | 35 | 50 | 65 | 35 | 50 | 65 | 35 | 50 | 65 | 35 | 50 | 65 |
| ERA | 0.0008 | 0.0046 | 0.0005 | 0.002 | 0.006 | 0.0009 | 0.0167 | 0.0049 | 0.0043 | 0.157 | 0.0086 | 0.0068 |
| MRA | 0.0207 | 0.018 | 0.0107 | 0.2183 | 0.052 | 0.0115 | 0.3914 | 0.2308 | 0.2169 | 0.9525 | 0.5175 | 0.4685 |
| RA | 0.0229 | 0.0184 | 0.0234 | 0.115 | 0.0318 | 0.0237 | 0.2212 | 0.1609 | 0.1671 | 0.8787 | 0.3996 | 0.3722 |
| RMUSIC | 1.6889 | 1.7029 | 1.7084 | 1.6296 | 1.6674 | 1.6837 | 1.5432 | 1.6313 | 1.6586 | 1.3435 | 1.4133 | 1.5925 |
| SB1 | FFB by MRA | FFB by PM | FB | |
|---|---|---|---|---|
| image entropy | 16.4238 | 15.3412 | 15.1016 | 15.1944 |
| contrast | 0.5933 | 0.3280 | 0.3226 | 0.3238 |
| RMSE | 19.4590 | 18.6865 | 9.9534 | 0 |
Disclaimer/Publisher’s Note: The statements, opinions and data contained in all publications are solely those of the individual author(s) and contributor(s) and not of MDPI and/or the editor(s). MDPI and/or the editor(s) disclaim responsibility for any injury to people or property resulting from any ideas, methods, instructions or products referred to in the content. |
© 2024 by the authors. Licensee MDPI, Basel, Switzerland. This article is an open access article distributed under the terms and conditions of the Creative Commons Attribution (CC BY) license (https://creativecommons.org/licenses/by/4.0/).
Share and Cite
Huang, J.; Jiang, W.; Liu, J.; Xie, Q.; Li, W. A Resolution-Improving Method for Multiband Imaging Based on an Extrapolated RELAX Algorithm. Remote Sens. 2024, 16, 4446. https://doi.org/10.3390/rs16234446
Huang J, Jiang W, Liu J, Xie Q, Li W. A Resolution-Improving Method for Multiband Imaging Based on an Extrapolated RELAX Algorithm. Remote Sensing. 2024; 16(23):4446. https://doi.org/10.3390/rs16234446
Chicago/Turabian StyleHuang, Jiajie, Wen Jiang, Jianwei Liu, Qinyu Xie, and Wangzhe Li. 2024. "A Resolution-Improving Method for Multiband Imaging Based on an Extrapolated RELAX Algorithm" Remote Sensing 16, no. 23: 4446. https://doi.org/10.3390/rs16234446
APA StyleHuang, J., Jiang, W., Liu, J., Xie, Q., & Li, W. (2024). A Resolution-Improving Method for Multiband Imaging Based on an Extrapolated RELAX Algorithm. Remote Sensing, 16(23), 4446. https://doi.org/10.3390/rs16234446

