HSD2Former: Hybrid-Scale Dual-Domain Transformer with Crisscrossed Interaction for Hyperspectral Image Classification
Abstract
1. Introduction
- (1)
- An HSD2Former model is proposed for the HSI classification. HSD2Former not only gives full play to the complementary advantages of CNN and Transformer but also interprets abundant multichannel and multiscale spectral-spatial information from a local-global perspective. Extensive experiments on four popular datasets have proved the robustness and superiority of HSD2Former.
- (2)
- A D2MSCE is designed to take the place of conventional patch embedding with fixed scales, which can generate spectral and spatial tokens at different scales, enhancing the multiscale nature of land-cover targets.
- (3)
- An MDFormer is constructed to obtain self-enhancement and information interaction between the spectral domain and spatial domain, which advantageously alleviates the heterogeneity of the spatial domain and spectral domain.
- (4)
- A PSFB is introduced with a straightforward fusion manner to integrate multichannel, multiscale, local, and global spectral-spatial interaction features, thereby facilitating progressive information with semantic details for the HSI classification.
2. Methods
2.1. Overall Pipeline
2.2. Dual-Dimension Multiscale Convolutional Embedding
2.3. Mixed DomainFormer
2.4. Pyramid Scale Fusion Block
3. Experimental Results and Analysis
3.1. Dataset Description
3.2. Experimental Setup
3.2.1. Evaluation Indicators
3.2.2. Comparison Methods
3.2.3. Implementation Details
3.3. Result Analysis
3.3.1. Quantitative Assessment
3.3.2. Visual Analysis
3.4. Model Analysis
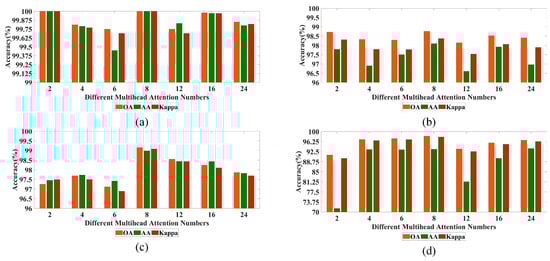
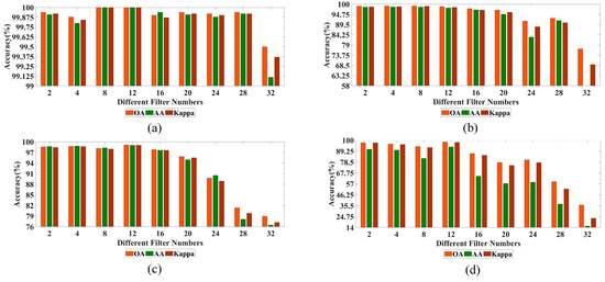
3.4.1. Parameter Sensitivity Analysis
3.4.2. Ablation Study of the Proposed HSD2Former
4. Conclusions
Author Contributions
Funding
Data Availability Statement
Conflicts of Interest
References
- Strvastave, P.K.; Malhi, R.K.M.; Pandey, P.C.; Anand, A.; Singh, P.; Pandey, M.K.; Gupta, A. 1—Revisiting hyperspectral remote sensing: Origin, processing, applications and way forward. In Hyperspectral Remote Sensing; Elsevier: Amsterdam, The Netherlands, 2020; pp. 3–21. [Google Scholar]
- Amigo, J.M.; Babamoradi, H.; Elcoroaristizabal, S. Hyperspectral image analysis. A tutorial. Anal. Chim. Acta 2015, 896, 34–51. [Google Scholar] [CrossRef] [PubMed]
- Noor, S.S.M.; Michael, K.; Marshall, S.; Ren, J.; Tschannerl, J.; Kao, F.J. The properties of the cornea based on hyperspectral imaging: Optical biomedical engineering perspective. In Proceedings of the 2016 International Conference on Systems, Signals and Image Processing (IWSSIP), Bratislava, Slovakia, 23–25 May 2016; pp. 1–4. [Google Scholar]
- Ardouin, J.-P.; Levesque, J.; Rea, T.A. A demonstration of hyperspectral image exploitation for military applications. In Proceedings of the 2007 10th International Conference on Information Fusion, Quebec, QC, Canada, 9–12 July 2007; pp. 1–8. [Google Scholar]
- Wang, J.; Zhang, L.; Tong, Q.; Sun, X. The spectral crust project-Research on new mineral exploration technology. In Proceedings of the 2012 4th Workshop on Hyperspectral Image and Signal Processing: Evolution in Remote Sensing (WHISPERS), Shanghai, China, 4–7 June 2012; pp. 1–4. [Google Scholar]
- Gevaert, C.M.; Suomalainen, J.; Tang, J.; Kooistra, L. Generation of spectral–temporal response surfaces by combining multispectral satellite and hyperspectral UAV imagery for precision agriculture applications. IEEE J. Sel. Top. Appl. Earth Observ. Remote Sens. 2015, 8, 3140–3146. [Google Scholar] [CrossRef]
- Yang, S.; Shi, Z. Hyperspectral image target detection improvement based on total variation. IEEE Trans. Image Process. 2016, 25, 2249–2258. [Google Scholar] [CrossRef] [PubMed]
- Ding, Y.; Zhang, Z.-L.; Zhao, X.-F.; Cai, W.; He, F.; Cai, Y.-M.; Cai, W.-W. Deep hybrid: Multi-graph neural network collaboration for hyperspectral image classification. Def. Technol. 2023, 23, 164–176. [Google Scholar]
- Yan, L.; Wang, X.; Zhao, M.; Kallorazi, M.; Chen, J.; Rahardia, S. Reconstruction of hyperspectral data from RGB images with prior category information. IEEE Trans. Comput. Imaging 2020, 6, 1070–1081. [Google Scholar] [CrossRef]
- Tian, Y.; Zhang, J.; Zhang, Z.; Wu, J. Research on Super-Resolution Enhancement Technology Using Improved Transformer Network and 3D Reconstruction of Wheat Grains. IEEE Access 2024, 12, 32882–62898. [Google Scholar] [CrossRef]
- Ye, Q.; Yang, J.; Liu, F.; Zhao, C.; Ye, N.; Yin, T. L1-norm distance linear discriminant analysis based on an effective iterative algorithm. IEEE Trans. Circ. Syst. Video Technol. 2016, 28, 114–129. [Google Scholar] [CrossRef]
- Licciardi, G.; Marpu, P.R.; Chanussot, J.; Benediktsson, J.A. Linear versus nonlinear PCA for the classification of hyperspectral data based on the extended morphological profiles. IEEE Geosci. Remote Sens. Lett. 2011, 9, 447–451. [Google Scholar] [CrossRef]
- Xu, B.; Li, X.; Hou, W.; Wang, Y.; Wei, Y. A similarity-based ranking method for hyperspectral band selection. IEEE Trans. Geosci. Remote Sens. 2021, 59, 9585–9599. [Google Scholar] [CrossRef]
- Wu, Z.; Yan, Z. Selection of optimal bands for hyperspectral local feature descriptor. IEEE Geosci. Remote Sens. Lett. 2021, 19, 5511205. [Google Scholar] [CrossRef]
- Xue, Z.; Nie, X.; Zhang, M. Incremental Dictionary Learning-Driven Tensor Low-Rank and Sparse Representation for Hyperspectral Image Classification. IEEE Trans. Geosci. Remote Sens. 2022, 60, 5544019. [Google Scholar] [CrossRef]
- Melgani, F.; Bruzzone, L. Classification of hyperspectral remote sensing images with support vector machines. IEEE Trans. Geosci. Remote Sens. 2004, 42, 1778–1790. [Google Scholar] [CrossRef]
- Samaniego, L.; Bárdossy, A.; Schulz, K. Supervised classification of remotely sensed imagery using a modified k-NN technique. IEEE Trans. Geosci. Remote Sens. 2008, 46, 2112–2125. [Google Scholar] [CrossRef]
- Ham, J.; Chen, Y.; Crawford, M.M.; Ghosh, J. Investigation of the random forest framework for classification of hyperspectral data. IEEE Trans. Geosci. Remote Sens. 2005, 43, 492–501. [Google Scholar] [CrossRef]
- Cai, Y.; Zhang, Z.; Cai, Z.; Liu, X.; Jiang, X. Hypergraph-structured autoencoder for unsupervised and semisupervised classification of hyperspectral image. IEEE Geosci. Remote Sens. Lett. 2021, 19, 5503505. [Google Scholar] [CrossRef]
- Ma, A.; Filippi, A.M.; Wang, Z.; Yin, Z.; Huo, D.; Li, X.; Güneralp, B. Fast sequential feature extraction for recurrent neural network-based hyperspectral image classification. IEEE Trans. Geosci. Remote Sens. 2020, 59, 5920–5937. [Google Scholar] [CrossRef]
- Qi, W.; Zhang, X.; Wang, N.; Zhang, M.; Cen, Y. A spectral-spatial cascaded 3D convolutional neural network with a convolutional long short-term memory network for hyperspectral image classification. Remote Sens. 2019, 11, 2363. [Google Scholar] [CrossRef]
- Yu, Q.; Wei, W.; Li, D.; Pan, Z.; Li, C.; Hong, D. HyperSINet: A Synergetic Interaction Network Combined with Convolution and Transformer for Hyperspectral Image Classification. IEEE Trans. Geosci. Remote Sens. 2024, 62, 5508118. [Google Scholar] [CrossRef]
- Qin, A.; Tan, Z.; Wang, R.; Sun, Y.; Yang, F.; Zhao, Y.; Gao, C. Distance Constraints-based Generative Adversarial Networks for Hyperspectral Image Classification. IEEE Trans. Geosci. Remote Sens. 2023, 61, 5511416. [Google Scholar] [CrossRef]
- Yu, Q.; Wei, W.; Pan, Z.; He, J.; Wang, S.; Hong, D. GPF-Net: Graph-Polarized Fusion Network for Hyperspectral Image Classification. IEEE Trans. Geosci. Remote Sens. 2023, 61, 5519622. [Google Scholar] [CrossRef]
- Paoletti, M.E.; Haut, J.M.; Fernández-Beltran, R.; Plaza, J.; Plaza, A.J.; Li, J.Y.; Pla, F. Capsule Networks for Hyperspectral Image Classification. IEEE Trans. Geosci. Remote Sens. 2019, 57, 2145–2160. [Google Scholar] [CrossRef]
- Hu, W.; Huang, Y.; Wei, L.; Zhang, F.; Li, H. Deep Convolutional Neural Networks for Hyperspectral Image Classification. J. Sens. 2015, 2015, 258619. [Google Scholar] [CrossRef]
- Li, W.; Wu, G.; Zhang, F.; Du, Q. Hyperspectral Image Classification Using Deep Pixel-Pair Features. IEEE Trans. Geosci. Remote Sens. 2017, 55, 844–853. [Google Scholar] [CrossRef]
- Zhao, W.; Du, S. Spectral–spatial feature extraction for hyperspectral image classification: A dimension reduction and deep learning approach. IEEE Trans. Geosci. Remote Sens. 2016, 54, 4544–4554. [Google Scholar] [CrossRef]
- Chen, Y.; Nasrabadi, N.M.; Tran, T.D. Hyperspectral image classification via kernel sparse representation. In Proceedings of the 18th IEEE International Conference on Image Processing, Brussels, Belgium, 11–14 September 2011; pp. 1233–1236. [Google Scholar]
- Zhang, X.; Wang, Y.; Zhang, N.; Xu, D.; Luo, H.; Chen, B. Spectral–Spatial Fractal Residual Convolutional Neural Network with Data Balance Augmentation for Hyperspectral Classification. IEEE Trans. Geosci. Remote Sens. 2021, 59, 10473–10487. [Google Scholar] [CrossRef]
- Paoletti, M.E.; Haut, J.M.; Fernandez-Beltran, R.; Plaza, J.; Plaza, A.J.; Pla, F. Deep pyramidal residual networks for spectral–spatial hyperspectral image classification. IEEE Trans. Geosci. Remote Sens. 2019, 57, 740–754. [Google Scholar] [CrossRef]
- Alkhatib, M.Q.; Al-Saad, M.; Aburaed, N.; Almansoori, S.; Zabalza, J.; Marshall, S.; Al-Ahmad, H. Tri-CNN: A Three Branch Model for Hyperspectral Image Classification. Remote Sens. 2023, 15, 316. [Google Scholar] [CrossRef]
- Fang, S.; Li, X.; Tian, S.; Chen, W.; Zhang, E. Multi-Level Feature Extraction Networks for Hyperspectral Image Classification. Remote Sens. 2024, 160, 590. [Google Scholar] [CrossRef]
- Kang, J.; Zhang, Y.; Liu, X.; Cheng, Z. Hyperspectral Image Classification Using Spectral-Spatial Double-Branch Attention Mechanism. Remote Sens. 2024, 16, 193. [Google Scholar] [CrossRef]
- Yang, J.; Li, A.; Qian, J.; Qin, J.; Wang, L. A Hyperspectral Image Classification Method Based on Pyramid Feature Extraction with Deformable-Dilated Convolution. IEEE Trans. Geosci. Remote Sens. 2024, 21, 5500105. [Google Scholar] [CrossRef]
- Lyutikova, M.N.; Korobeynikov, S.M.; Rao, U.M.; Fofana, I. Mixed Insulating Liquids with Mineral Oil for High-Voltage Transformer Applications: A Review. IEEE Trans. Dielectr. Electr. Insul. 2022, 29, 454–461. [Google Scholar] [CrossRef]
- Dosovitskiy, A.; Beyer, L.; Kolesnikov, A.; Weissenborn, D.; Zhai, X.; Unterthiner, T.; Dehghani, M.; Minderer, M.; Heigold, G.; Gelly, S.; et al. An image is worth 16 × 16 words: Transformers for image recognition at scale. arXiv 2021, arXiv:2010.11929v2. [Google Scholar]
- Hong, D.; Han, Z.; Yao, J.; Gao, L.; Zhang, B.; Plaza, A.; Chanussot, J. SpectralFormer: Rethinking hyperspectral image classification with transformers. IEEE Trans. Geosci. Remote Sens. 2021, 60, 5518615. [Google Scholar] [CrossRef]
- Fang, Y.; Ye, Q.; Sun, L.; Zheng, Y.; Wu, Z. Multi-Attention Joint Convolution Feature Representation with Lightweight Transformer for Hyperspectral Image Classification. IEEE Trans. Geosci. Remote Sens. 2023, 61, 5513814. [Google Scholar] [CrossRef]
- Zhang, S.; Zhang, J.; Wang, X.; Wang, J.; Wu, Z. ELS2T: Efficient Lightweight Spectral–Spatial Transformer for Hyperspectral Image Classification. IEEE Trans. Geosci. Remote Sens. 2023, 61, 5518416. [Google Scholar] [CrossRef]
- Roy, S.K.; Krishna, G.; Dubey, S.R.; Chaudhuri, B.B. HybridSN: Exploring 3-D–2-D CNN feature hierarchy for hyperspectral image classification. IEEE Geosci. Remote Sens. Lett. 2020, 17, 277–281. [Google Scholar] [CrossRef]
- Zhang, J.; Meng, Z.; Zhang, F.; Liu, H.; Chang, Z. Convolution transformer mixer for hyperspectral image classification. IEEE Geosci. Remote Sens. Lett. 2022, 19, 6014205. [Google Scholar] [CrossRef]
- Ouyang, E.; Li, B.; Hu, W.; Zhang, G.; Zhao, L.; Wu, J. When Multigranularity Meets Spatial–Spectral Attention: A Hybrid Transformer for Hyperspectral Image Classification. IEEE Trans. Geosci. Remote Sens. 2023, 61, 4401118. [Google Scholar] [CrossRef]
- Huang, X.; Dong, M.; Li, J.; Guo, X. A 3-d-swin transformer-based hierarchical contrastive learning method for hyperspectral image classification. IEEE Trans. Geosci. Remote Sens. 2022, 60, 5411415. [Google Scholar] [CrossRef]
- Chen, Y.; Jiang, H.; Li, C.; Jia, X.; Ghamisi, P. Deep Feature Extraction and Classification of Hyperspectral Images Based on Convolutional Neural Networks. IEEE Trans. Geosci. Remote Sens. 2016, 54, 6232–6251. [Google Scholar] [CrossRef]
- Ben Hamida, A.; Benoit, A.; Lambert, P.; Ben Amar, C. 3-D Deep Learning Approach for Remote Sensing Image Classification. IEEE Trans. Geosci. Remote Sens. 2018, 56, 4420–4435. [Google Scholar] [CrossRef]
- Zhu, M.; Jiao, L.; Liu, F.; Yang, S.; Wang, J. Residual Spectral–Spatial Attention Network for Hyperspectral Image Classification. IEEE Trans. Geosci. Remote Sens. 2021, 59, 449–462. [Google Scholar] [CrossRef]
- Xiang, J.; Wei, C.; Wang, M.; Teng, L. End-to-End Multilevel Hybrid Attention Framework for Hyperspectral Image Classification. IEEE Geosci. Remote Sens. Lett. 2022, 19, 5511305. [Google Scholar] [CrossRef]
- Me, S.; Song, C.; Ma, M.; Xu, F. Hyperspectral Image Classification Using Group-Aware Hierarchical Transformer. IEEE Trans. Geosci. Remote Sens. 2022, 60, 5539014. [Google Scholar] [CrossRef]


















| Datasets | Location | Sensor | Category | Space Size | Resolution | Band | Imaging Range |
|---|---|---|---|---|---|---|---|
| S-A | Salinas Valley, USA | AVIRIS | 6 | 83 × 86 | 3.7 m | 204 | 360–2500 nm |
| UP | Pavia, Italy | ROSIS | 9 | 610 × 340 | 1.3 m | 103 | 430–860 nm |
| HU | Texas, USA | ITRES CASI-1500 | 15 | 349 × 1905 | 2.5 m | 144 | 400–2500 nm |
| IP | Western Indiana, USA | AVIRIS | 16 | 145 × 145 | 20 m | 200 | 364–1046 nm |
| No. | S-A | UP | HU | IP | ||||
|---|---|---|---|---|---|---|---|---|
| Category | Number | Category | Number | Category | Number | Category | Number | |
| C1 | Brocoli-green-weeds_1 | 391 | Asphalt | 6631 | Healthy grass | 1251 | Alfalfa | 46 |
| C2 | Corn_senesced_green_weeds | 134 | Meadows | 18,649 | Stressed grass | 1254 | Corn-notill | 1428 |
| C3 | Lettcue_romaine_4wk | 616 | Gravel | 2099 | Synthetic grass | 697 | Corn-mintill | 830 |
| C4 | Lettcue_romaine_5wk | 152 | Trees | 3064 | Tree | 1244 | Corn | 237 |
| C5 | Lettcue_romaine_6wk | 674 | Painted metal sheets | 1345 | Soil | 1242 | Grass-pasture | 483 |
| C6 | Lettcue_romaine_7wk | 799 | Bare Soil | 5029 | Water | 325 | Grass-trees | 730 |
| C7 | Bitumen | 1330 | Residential | 1268 | Grass-pasture-mowed | 28 | ||
| C8 | Self-Blocking Bricks | 3682 | Residential | 1244 | Hay-windrowed | 478 | ||
| C9 | Shadows | 947 | Road | 1251 | Oats | 20 | ||
| C10 | Highway | 1227 | Soybean-notill | 972 | ||||
| C11 | Railway | 1235 | Soybean-mintill | 2455 | ||||
| C12 | Parking lot1 | 1233 | Soybean-clean | 593 | ||||
| C13 | Parking lot2 | 469 | Wheat | 205 | ||||
| C14 | Tennis court | 428 | Woods | 1265 | ||||
| C15 | Running track | 660 | Buildings-Grass-Tree | 386 | ||||
| C16 | Stone-Steel-Towers | 93 | ||||||
| Total | 3782 | Total | 42,776 | Total | 15,029 | Total | 10,249 | |
| NO. | Traditional ML Methods | CNN Architectures | Transformer Architectures | |||||||||
|---|---|---|---|---|---|---|---|---|---|---|---|---|
| Class | SVM | GaussianNB | RF | KNN | 2DCNN | 3DCNN | RSSAN | DMCN | ViT | SpectralFormer | CDCFormer | HSD2Former |
| C1 | 32.14 | 73.12 | 52.86 | 100.00 | 100.00 | 100.00 | 100.00 | 100.00 | 100.00 | 100.00 | 100.00 | 100.00 |
| C2 | 100.00 | 100.00 | 99.92 | 100.00 | 100.00 | 99.92 | 100.00 | 100.00 | 98.53 | 100.00 | 95.83 | 100.00 |
| C3 | 86.16 | 56.49 | 100.00 | 72.99 | 89.57 | 97.49 | 93.17 | 100.00 | 100.00 | 100.00 | 86.18 | 100.00 |
| C4 | 91.77 | 84.02 | 97.58 | 88.90 | 92.08 | 99.20 | 99.42 | 100.00 | 95.48 | 99.64 | 99.35 | 100.00 |
| C5 | 100.00 | 100.00 | 100.00 | 100.00 | 82.88 | 100.00 | 100.00 | 100.00 | 100.00 | 99.83 | 100.00 | 100.00 |
| C6 | 0.00 | 99.50 | 100.00 | 100.00 | 100.00 | 98.90 | 100.00 | 100.00 | 79.33 | 98.76 | 82.83 | 100.00 |
| OA | 80.19 | 83.26 | 92.77 | 92.22 | 94.05 | 99.29 | 99.00 | 100.00 | 94.43 | 99.69 | 94.03 | 100.00 |
| AA | 78.12 | 84.09 | 91.76 | 92.56 | 92.03 | 99.07 | 99.21 | 100.00 | 92.38 | 99.50 | 90.12 | 100.00 |
| Kappa | 75.51 | 79.18 | 90.99 | 90.27 | 92.53 | 99.11 | 98.75 | 100.00 | 92.99 | 99.61 | 92.51 | 100.00 |
| NO. | Traditional ML Methods | CNN Architectures | Transformer Architectures | |||||||||
|---|---|---|---|---|---|---|---|---|---|---|---|---|
| Class | SVM | GaussianNB | RF | KNN | 2DCNN | 3DCNN | RSSAN | DMCN | ViT | SpectralFormer | CDCFormer | HSD2Former |
| C1 | 87.50 | 27.18 | 100.00 | 24.00 | 95.36 | 92.48 | 99.22 | 96.24 | 96.78 | 99.25 | 94.67 | 98.40 |
| C2 | 72.17 | 44.65 | 76.33 | 46.54 | 99.95 | 96.92 | 98.44 | 96.83 | 99.27 | 99.28 | 98.78 | 99.62 |
| C3 | 76.40 | 24.31 | 81.87 | 55.85 | 97.99 | 92.07 | 95.76 | 99.82 | 95.56 | 98.15 | 79.14 | 97.93 |
| C4 | 77.08 | 19.88 | 50.97 | 51.79 | 99.11 | 99.32 | 99.92 | 99.72 | 99.77 | 100.00 | 89.79 | 99.70 |
| C5 | 91.37 | 51.82 | 85.00 | 78.34 | 99.59 | 99.59 | 99.92 | 99.26 | 100.00 | 99.67 | 99.65 | 99.34 |
| C6 | 94.58 | 73.56 | 89.38 | 76.93 | 74.80 | 98.49 | 99.38 | 99.91 | 99.05 | 99.47 | 98.66 | 99.07 |
| C7 | 100.00 | 30.56 | 91.67 | 89.47 | 96.55 | 96.93 | 99.83 | 90.96 | 98.89 | 100.00 | 68.15 | 96.06 |
| C8 | 92.27 | 80.18 | 87.89 | 93.26 | 97.96 | 90.20 | 94.70 | 94.09 | 89.80 | 85.72 | 70.27 | 95.38 |
| C9 | 100.00 | 0.1481 | 0.00 | 60.00 | 100.00 | 99.88 | 99.30 | 97.40 | 99.75 | 98.01 | 99.40 | 98.14 |
| OA | 77.36 | 24.02 | 75.60 | 56.47 | 94.82 | 95.88 | 98.41 | 97.05 | 97.89 | 97.96 | 92.55 | 98.77 |
| AA | 82.36 | 62.43 | 70.76 | 75.41 | 96.42 | 93.02 | 97.71 | 95.54 | 95.78 | 96.09 | 87.83 | 98.10 |
| Kappa | 82.59 | 21.84 | 65.47 | 70.37 | 93.24 | 94.50 | 97.89 | 96.07 | 97.20 | 97.29 | 90.14 | 98.37 |
| NO. | Traditional ML Methods | CNN Architectures | Transformer Architectures | |||||||||
|---|---|---|---|---|---|---|---|---|---|---|---|---|
| Class | SVM | GaussianNB | RF | KNN | 2DCNN | 3DCNN | RSSAN | DMCN | ViT | SpectralFormer | CDCFormer | HSD2Former |
| C1 | 82.38 | 90.78 | 95.64 | 98.29 | 90.36 | 83.78 | 92.08 | 97.52 | 97.32 | 98.69 | 95.27 | 99.40 |
| C2 | 98.46 | 98.80 | 95.44 | 95.70 | 99.87 | 98.85 | 98.17 | 96.54 | 100.00 | 99.60 | 89.69 | 99.60 |
| C3 | 97.72 | 93.09 | 100.00 | 97.29 | 100.00 | 100.00 | 99.82 | 100.00 | 100.00 | 100.00 | 100.00 | 100.00 |
| C4 | 98.76 | 99.01 | 99.55 | 98.11 | 87.16 | 99.36 | 100.00 | 99.18 | 96.97 | 98.61 | 97.72 | 99.80 |
| C5 | 86.86 | 73.96 | 93.36 | 93.00 | 100.00 | 99.29 | 100.00 | 100.00 | 99.30 | 96.03 | 99.09 | 99.90 |
| C6 | 100.00 | 31.00 | 100.00 | 100.00 | 82.11 | 94.49 | 99.58 | 10,000 | 100.00 | 100.00 | 99.11 | 100.00 |
| C7 | 64.91 | 63.06 | 79.15 | 87.83 | 93.60 | 91.21 | 93.66 | 100.00 | 98.19 | 99.21 | 77.64 | 98.44 |
| C8 | 86.03 | 70.03 | 87.95 | 82.05 | 96.52 | 88.21 | 98.18 | 99.58 | 94.42 | 97.24 | 90.12 | 97.55 |
| C9 | 61.38 | 42.67 | 75.59 | 76.07 | 95.77 | 95.46 | 98.90 | 90.28 | 96.90 | 97.74 | 80.97 | 98.50 |
| C10 | 51.36 | 0.33 | 84.43 | 79.24 | 85.09 | 83.15 | 97.09 | 93.97 | 93.12 | 99.29 | 75.72 | 98.87 |
| C11 | 45.16 | 34.42 | 76.50 | 79.76 | 96.63 | 97.45 | 97.30 | 99.59 | 93.55 | 98.49 | 86.85 | 98.70 |
| C12 | 60.82 | 21.08 | 72.16 | 70.67 | 90.60 | 86.43 | 89.07 | 99.69 | 90.29 | 93.46 | 83.37 | 99.18 |
| C13 | 100.00 | 15.61 | 79.72 | 88.89 | 99.71 | 94.39 | 97.13 | 99.71 | 100.00 | 100.00 | 84.24 | 99.71 |
| C14 | 79.39 | 67.40 | 96.68 | 95.17 | 99.70 | 98.53 | 99.42 | 100.00 | 100.00 | 100.00 | 98.26 | 100.00 |
| C15 | 99.66 | 99.08 | 99.64 | 99.13 | 97.95 | 100.00 | 99.81 | 100.00 | 100.00 | 100.00 | 99.62 | 100.00 |
| OA | 75.17 | 60.82 | 87.47 | 87.51 | 93.71 | 92.76 | 96.73 | 97.91 | 96.61 | 98.17 | 88.71 | 99.15 |
| AA | 74.91 | 63.10 | 86.09 | 85.77 | 94.32 | 92.51 | 96.53 | 97.92 | 95.30 | 97.07 | 87.86 | 98.98 |
| Kappa | 73.11 | 57.73 | 86.43 | 86.47 | 93.20 | 92.17 | 96.50 | 97.74 | 96.34 | 98.02 | 87.78 | 99.08 |
| NO. | Traditional ML Methods | CNN Architectures | Transformer Architectures | |||||||||
|---|---|---|---|---|---|---|---|---|---|---|---|---|
| Class | SVM | GaussianNB | RF | KNN | 2DCNN | 3DCNN | RSSAN | DMCN | ViT | SpectralFormer | CDCFormer | HSD2Former |
| C1 | 87.50 | 27.18 | 100.00 | 24.00 | 100.00 | 100.00 | 97.06 | 96.97 | 0.00 | 100.00 | 0.00 | 97.22 |
| C2 | 72.17 | 44.65 | 76.33 | 46.54 | 82.81 | 89.51 | 94.97 | 98.51 | 95.89 | 98.17 | 79.39 | 98.61 |
| C3 | 76.40 | 24.31 | 81.87 | 55.85 | 99.57 | 91.69 | 87.23 | 98.04 | 98.05 | 99.24 | 91.70 | 98.02 |
| C4 | 77.08 | 19.88 | 50.97 | 51.79 | 98.73 | 92.22 | 95.88 | 98.26 | 99.32 | 93.58 | 91.67 | 97.86 |
| C5 | 91.37 | 51.82 | 85.00 | 78.34 | 100.00 | 97.92 | 98.47 | 98.45 | 94.36 | 95.99 | 90.38 | 95.44 |
| C6 | 94.58 | 73.56 | 89.38 | 76.93 | 94.84 | 98.47 | 97.98 | 97.63 | 98.48 | 99.83 | 95.46 | 100.00 |
| C7 | 100.00 | 30.56 | 91.67 | 89.47 | 100.00 | 100.00 | 95.65 | 100.00 | 0.00 | 100.00 | 100.00 | 100.00 |
| C8 | 92.27 | 80.18 | 87.89 | 93.26 | 98.96 | 96.22 | 99.48 | 99.22 | 92.05 | 91.83 | 89.25 | 99.48 |
| C9 | 100.00 | 0.1481 | 0.00 | 60.00 | 0.00 | 100.00 | 100.00 | 100.00 | 0.00 | 0.00 | 0.00 | 82.35 |
| C10 | 77.36 | 24.02 | 75.60 | 56.47 | 99.43 | 92.40 | 96.99 | 94.42 | 98.93 | 99.21 | 84.32 | 98.56 |
| C11 | 82.36 | 62.43 | 70.76 | 75.41 | 73.34 | 91.79 | 94.87 | 98.29 | 97.20 | 98.59 | 88.16 | 99.39 |
| C12 | 82.59 | 21.84 | 65.47 | 70.37 | 91.61 | 86.11 | 98.03 | 95.14 | 91.63 | 97.51 | 72.09 | 90.37 |
| C13 | 96.79 | 85.45 | 90.96 | 82.47 | 84.02 | 99.39 | 99.39 | 98.80 | 100.00 | 100.00 | 98.18 | 98.20 |
| C14 | 92.21 | 73.67 | 90.17 | 89.74 | 85.38 | 96.30 | 98.80 | 99.90 | 99.60 | 99.12 | 94.04 | 99.80 |
| C15 | 48.15 | 55.06 | 76.06 | 74.14 | 87.75 | 91.50 | 90.71 | 98.70 | 96.55 | 98.40 | 87.54 | 99.67 |
| C16 | 100.00 | 98.51 | 98.59 | 98.39 | 94.59 | 98.59 | 90.24 | 96.05 | 100.00 | 98.63 | 88.89 | 92.19 |
| OA | 81.17 | 50.30 | 77.62 | 67.96 | 84.68 | 92.96 | 95.51 | 97.95 | 96.97 | 98.17 | 87.28 | 98.28 |
| AA | 72.93 | 52.13 | 65.67 | 64.74 | 79.19 | 89.96 | 93.17 | 92.70 | 77.47 | 82.38 | 72.11 | 93.45 |
| Kappa | 78.54 | 43.75 | 74.25 | 63.57 | 82.23 | 91.96 | 94.87 | 97.66 | 96.54 | 97.90 | 85.47 | 98.04 |
| Case | Component | Dataset | ||||||||
|---|---|---|---|---|---|---|---|---|---|---|
| Small Size | Middle Size | Large Size | Add | Concatenate | PSFB | S-A | UP | HU | IP | |
| 1 | √ | 96.76 | 93.50 | 97.95 | 94.39 | |||||
| 2 | √ | √ | √ | 94.53 | 96.11 | 98.35 | 96.09 | |||
| 3 | √ | √ | √ | 97.88 | 97.22 | 98.94 | 97.83 | |||
| 4 | √ | √ | √ | 98.79 | 97.95 | 98.90 | 95.97 | |||
| 5 | √ | √ | √ | √ | 98.88 | 98.22 | 98.48 | 97.93 | ||
| 6 | √ | √ | √ | √ | 99.85 | 98.30 | 98.50 | 97.91 | ||
| 7 | √ | √ | √ | √ | √ | √ | 100.00 | 98.77 | 99.15 | 98.28 |
Disclaimer/Publisher’s Note: The statements, opinions and data contained in all publications are solely those of the individual author(s) and contributor(s) and not of MDPI and/or the editor(s). MDPI and/or the editor(s) disclaim responsibility for any injury to people or property resulting from any ideas, methods, instructions or products referred to in the content. |
© 2024 by the authors. Licensee MDPI, Basel, Switzerland. This article is an open access article distributed under the terms and conditions of the Creative Commons Attribution (CC BY) license (https://creativecommons.org/licenses/by/4.0/).
Share and Cite
Luo, B.; Li, M.; Wei, Y.; Zuo, H.; Zhang, J.; Liu, D. HSD2Former: Hybrid-Scale Dual-Domain Transformer with Crisscrossed Interaction for Hyperspectral Image Classification. Remote Sens. 2024, 16, 4411. https://doi.org/10.3390/rs16234411
Luo B, Li M, Wei Y, Zuo H, Zhang J, Liu D. HSD2Former: Hybrid-Scale Dual-Domain Transformer with Crisscrossed Interaction for Hyperspectral Image Classification. Remote Sensing. 2024; 16(23):4411. https://doi.org/10.3390/rs16234411
Chicago/Turabian StyleLuo, Binxin, Meihui Li, Yuxing Wei, Haorui Zuo, Jianlin Zhang, and Dongxu Liu. 2024. "HSD2Former: Hybrid-Scale Dual-Domain Transformer with Crisscrossed Interaction for Hyperspectral Image Classification" Remote Sensing 16, no. 23: 4411. https://doi.org/10.3390/rs16234411
APA StyleLuo, B., Li, M., Wei, Y., Zuo, H., Zhang, J., & Liu, D. (2024). HSD2Former: Hybrid-Scale Dual-Domain Transformer with Crisscrossed Interaction for Hyperspectral Image Classification. Remote Sensing, 16(23), 4411. https://doi.org/10.3390/rs16234411

