Sequential Mixed Cost-Based Multi-Sensor and Relative Dynamics Robust Fusion for Spacecraft Relative Navigation
Abstract
1. Introduction
- This work gives a detailed investigation of convex and non-convex functions from robustness and stability perspectives, respectively.
- A sequential mixed convex and non-convex cost strategy is presented to combine their properties, and further the switching strategy from the convex function to the non-convex one is proposed.
- The analytical determination method of the DCS and Gaussian tuning parameters is given.
- The iterated sigma point Kalman filter is incorporated into robust estimation, and further the information filtering form is given to address the matrix singularity problem.
2. Problem Statement
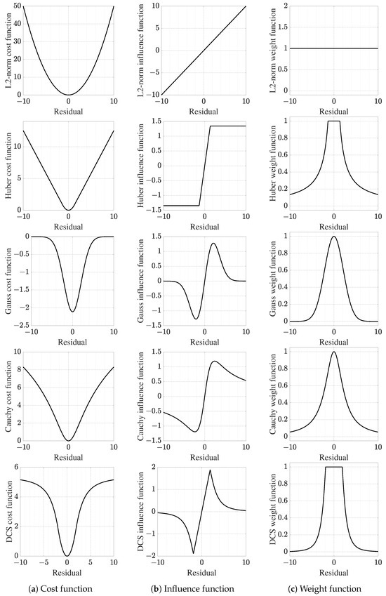
3. Cost Functions for M-Estimation
3.1. Robustness of Different Cost Functions
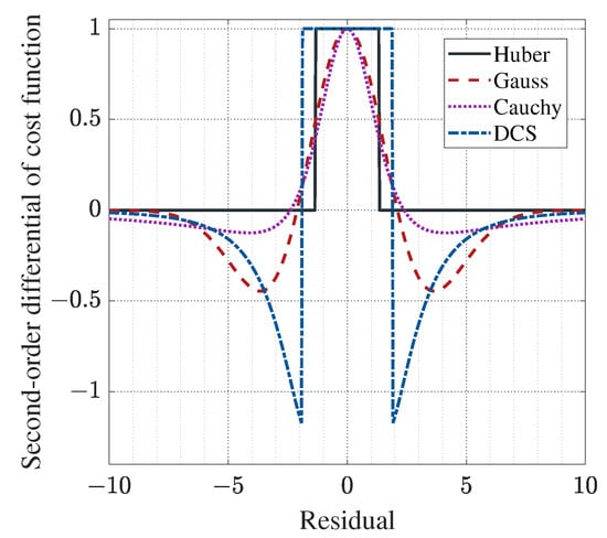
3.2. Stability of Different Cost Functions
3.3. Determination of Tuning Parameters
3.4. Sequential Mixed Cost Function
4. Robust Iterated Sigma Point Information Filter
4.1. ISPKF-Based Robust Iterative Update
4.2. Information Filtering Form
4.3. Property of Robust and Iterative Strategy
| Algorithm 1: Robust iterated sigma point information filter using sequential mixed cost | ||||
| Data: | ||||
| Result: | ||||
| 1 | Compute prior state and covariance using Equation (22) | |||
| 2 | Initialize iteration | |||
| 3 | for do | |||
| 4 | Compute , and using Equation (20) | |||
| 5 | Compute using Equation (24) | |||
| 6 | if iterate using convex function then | |||
| 7 | , | |||
| 8 | else | |||
| 9 | , | |||
| 10 | end | |||
| 11 | Compute using Equation (38) and | |||
| ; | ||||
| 12 | Compute using Equations (37) and (42) | |||
| 13 | Compute | |||
| 14 | end | |||
5. Simulation and Results
5.1. Process and Observation Models
5.2. Simulation Condition Settings
5.3. Comparison Under Gaussian Noise
5.4. Comparison Under Different Levels of Non-Gaussian Noise
5.5. Analysis on the Number of Iterations in Sequential Mixed Cost
6. Discussion
7. Conclusions
Author Contributions
Funding
Data Availability Statement
Conflicts of Interest
References
- Liao, T.; Hirota, K.; Wu, X.; Shao, S.; Dai, Y. A dynamic self-tuning maximum correntropy Kalman filter for wireless sensors networks positioning systems. Remote Sens. 2022, 14, 4345. [Google Scholar] [CrossRef]
- Cui, B.; Chen, W.; Weng, D.; Wei, X.; Sun, Z.; Zhao, Y.; Liu, Y. Observability-constrained resampling-rree cubature Kalman filter for GNSS/INS with measurement outliers. Remote Sens. 2023, 15, 4591. [Google Scholar] [CrossRef]
- Liu, D.; Chen, X.; Xu, Y.; Liu, X.; Shi, C. Maximum correntropy generalized high-degree cubature Kalman filter with application to the attitude determination system of missile. Aerosp. Sci. Technol. 2019, 95, 105441. [Google Scholar] [CrossRef]
- Huber, P.J. Robust estimation of a location parameter. In Breakthroughs in Statistics: Methodology and Distribution; Springer: Berlin/Heidelberg, Germany, 1992; pp. 492–518. [Google Scholar]
- Karlgaard, C.D.; Schaub, H. Huber-based divided difference filtering. J. Guid. Control. Dyn. 2007, 30, 885–891. [Google Scholar] [CrossRef]
- Chang, L.; Hu, B.; Chang, G.; Li, A. Huber-based novel robust unscented Kalman filter. IET Sci. Meas. Technol. 2012, 6, 502–509. [Google Scholar] [CrossRef]
- Huang, Y.; Zhang, Y.; Li, N.; Wu, Z.; Chambers, J.A. A novel robust Student’s t-based Kalman filter. IEEE Trans. Aerosp. Electron. Syst. 2017, 53, 1545–1554. [Google Scholar] [CrossRef]
- Chen, B.; Liu, X.; Zhao, H.; Principe, J.C. Maximum correntropy Kalman filter. Automatica 2017, 76, 70–77. [Google Scholar] [CrossRef]
- Wang, G.; Zhang, Y.; Wang, X. Iterated maximum correntropy unscented Kalman filters for non-Gaussian systems. Signal Process. 2019, 163, 87–94. [Google Scholar] [CrossRef]
- Huai, L.; Li, B.; Yun, P.; Song, C.; Wang, J. Weighted Maximum Correntropy Criterion-Based Interacting Multiple-Model Filter for Maneuvering Target Tracking. Remote Sens. 2023, 15, 4513. [Google Scholar] [CrossRef]
- Wang, D.; Zhang, H.; Huang, H.; Ge, B. A redundant measurement-based maximum correntropy extended Kalman filter for the noise covariance estimation in INS/GNSS integration. Remote Sens. 2023, 15, 2430. [Google Scholar] [CrossRef]
- MacTavish, K.; Barfoot, T.D. At all costs: A comparison of robust cost functions for camera correspondence outliers. In Proceedings of the 2015 12th Conference on Computer and Robot Vision, Halifax, NS, Canada, 3–5 June 2015; pp. 62–69. [Google Scholar]
- Chen, B.; Wang, X.; Lu, N.; Wang, S.; Cao, J.; Qin, J. Mixture correntropy for robust learning. Pattern Recognit. 2018, 79, 318–327. [Google Scholar] [CrossRef]
- Dang, L.; Huang, Y.; Zhang, Y.; Chen, B. Multi-kernel correntropy based extended Kalman filtering for state-of-charge estimation. ISA Trans. 2022, 129, 271–283. [Google Scholar] [CrossRef] [PubMed]
- Chen, B.; Xie, Y.; Li, Z.; Li, Y.; Ren, P. Asymmetric correntropy for robust adaptive filtering. IEEE Trans. Circuits Syst. II Express Briefs 2021, 69, 1922–1926. [Google Scholar] [CrossRef]
- Qu, H.; Wang, M.; Zhao, J.; Zhao, S.; Li, T.; Yue, P. Generalized asymmetric correntropy for robust adaptive filtering: A theoretical and simulation study. Remote Sens. 2022, 14, 3677. [Google Scholar] [CrossRef]
- Qi, L.; Shen, M.; Wang, D.; Wang, S. Robust Cauchy kernel conjugate gradient algorithm for non-Gaussian noises. IEEE Signal Process. Lett. 2021, 28, 1011–1015. [Google Scholar] [CrossRef]
- Huang, H.; Zhang, H. Student’s t-Kernel-Based Maximum Correntropy Kalman Filter. Sensors 2022, 22, 1683. [Google Scholar] [CrossRef]
- Li, S.; Cui, N.; Mu, R. Dynamic-covariance-scaling-based robust sigma-point information filtering. J. Guid. Control. Dyn. 2021, 44, 1677–1684. [Google Scholar] [CrossRef]
- Agarwal, P. Robust graph-based localization and mapping. Ph.D. Thesis, Albert-Ludwigs-Universität Freiburg, Freiburg, Germany, 2015. [Google Scholar]
- Agarwal, P.; Tipaldi, G.D.; Spinello, L.; Stachniss, C.; Burgard, W. Robust map optimization using dynamic covariance scaling. In Proceedings of the 2013 IEEE International Conference on Robotics and Automation, Karlsruhe, Germany, 6–10 May 2013; pp. 62–69. [Google Scholar]
- Zhang, Z. Parameter estimation techniques: A tutorial with application to conic fitting. Image Vis. Comput. 1997, 15, 59–76. [Google Scholar] [CrossRef]
- Wang, X.; Cui, N.; Guo, J. Huber-based unscented filtering and its application to vision-based relative navigation. IET Radar Sonar Navig. 2010, 4, 134–141. [Google Scholar] [CrossRef]
- Zhan, R.; Wan, J. Iterated unscented Kalman filter for passive target tracking. IEEE Trans. Aerosp. Electron. Syst. 2007, 43, 1155–1163. [Google Scholar] [CrossRef]
- Karlgaard, C.D. Nonlinear regression Huber-Kalman filtering and fixed-interval smoothing. J. Guid. Control. Dyn. 2015, 38, 322–330. [Google Scholar] [CrossRef]
- Wang, G.; Li, N.; Zhang, Y. Distributed maximum correntropy linear and nonlinear filters for systems with non-Gaussian noises. Signal Process. 2021, 182, 107937. [Google Scholar] [CrossRef]
- Li, S.; Zhang, X.; Liu, W.; Cui, N. Optimization-based iterative and robust strategy for spacecraft relative navigation in elliptical orbit. Aerosp. Sci. Technol. 2023, 133, 108138. [Google Scholar] [CrossRef]
- Wang, Y.; Zheng, W.; Sun, S.; Li, L. Robust information filter based on maximum correntropy criterion. J. Guid. Control. Dyn. 2016, 39, 1126–1131. [Google Scholar] [CrossRef]
- Liu, X.; Chen, B.; Xu, B.; Wu, Z.; Honeine, P. Maximum correntropy unscented filter. Int. J. Syst. Sci. 2017, 48, 1607–1615. [Google Scholar] [CrossRef]
- De Menezes, D.; Prata, D.M.; Secchi, A.R.; Pinto, J.C. A review on robust M-estimators for regression analysis. Comput. Chem. Eng. 2021, 147, 107254. [Google Scholar] [CrossRef]
- Sibley, G.; Sukhatme, G.S.; Matthies, L.H. The iterated sigma point Kalman filter with applications to long range stereo. Robot. Sci. Syst. 2006, 8, 235–244. [Google Scholar]
- Crassidis, J.L.; Junkins, J.L. Optimal estimation of dynamic systems; CRC Press, Taylor and Francis Group: Boca Raton, FL, USA, 2004; pp. 228–231. [Google Scholar]









| Function Name | Cost Function | Influence Function | Weight Function |
|---|---|---|---|
| L2-norm | 1 | ||
| Huber | |||
| Gaussian | |||
| Cauchy | |||
| DCS |
| Function | L2-Norm | Huber | Gaussian | Cauchy | DCS |
|---|---|---|---|---|---|
| Tuning parameter | none |
| Relative Efficiency | 50% | 90% | 95% | 99% |
|---|---|---|---|---|
| Tuning parameter of Gaussian function | ||||
| Tuning parameter of DCS function |
| Orbital Element | Corresponding Value |
|---|---|
| Semimajor axis | 8200 km |
| Orbital eccentricity | |
| Orbital inclination | |
| Right ascension of ascending node | |
| Argument of perigee | |
| True anomaly |
| Simulation Parameter | Corresponding Value |
|---|---|
| Initial nominal vector | |
| Control specific force | |
| Process noise covariance | |
| Observation noise covariance | |
| Dynamics discrete interval, observation update interval | |
| Filters’ initial covariance | |
| Filters’ initial state | |
| Filters’ initial covariance |
Disclaimer/Publisher’s Note: The statements, opinions and data contained in all publications are solely those of the individual author(s) and contributor(s) and not of MDPI and/or the editor(s). MDPI and/or the editor(s) disclaim responsibility for any injury to people or property resulting from any ideas, methods, instructions or products referred to in the content. |
© 2024 by the authors. Licensee MDPI, Basel, Switzerland. This article is an open access article distributed under the terms and conditions of the Creative Commons Attribution (CC BY) license (https://creativecommons.org/licenses/by/4.0/).
Share and Cite
Li, S.; Liu, W. Sequential Mixed Cost-Based Multi-Sensor and Relative Dynamics Robust Fusion for Spacecraft Relative Navigation. Remote Sens. 2024, 16, 4384. https://doi.org/10.3390/rs16234384
Li S, Liu W. Sequential Mixed Cost-Based Multi-Sensor and Relative Dynamics Robust Fusion for Spacecraft Relative Navigation. Remote Sensing. 2024; 16(23):4384. https://doi.org/10.3390/rs16234384
Chicago/Turabian StyleLi, Shoupeng, and Weiwei Liu. 2024. "Sequential Mixed Cost-Based Multi-Sensor and Relative Dynamics Robust Fusion for Spacecraft Relative Navigation" Remote Sensing 16, no. 23: 4384. https://doi.org/10.3390/rs16234384
APA StyleLi, S., & Liu, W. (2024). Sequential Mixed Cost-Based Multi-Sensor and Relative Dynamics Robust Fusion for Spacecraft Relative Navigation. Remote Sensing, 16(23), 4384. https://doi.org/10.3390/rs16234384

