Urban Multi-Scenario Land Use Optimization Simulation Considering Local Climate Zones
Abstract
1. Introduction
2. Materials and Methods
2.1. Study Area and Data Sources
2.2. Methodology
2.2.1. LCZ Classification
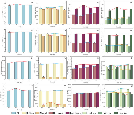
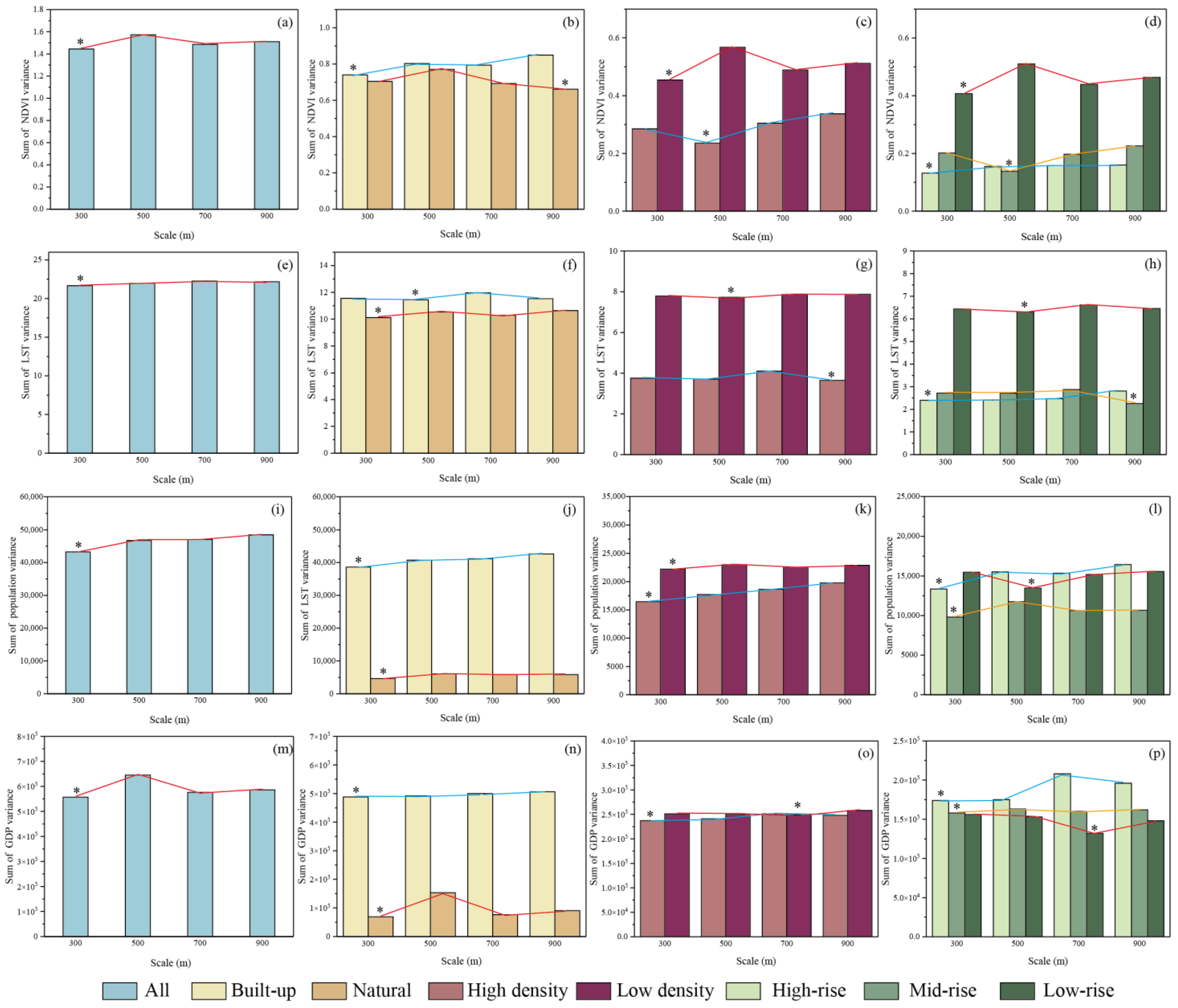
2.2.2. Factor Statistics and Analysis Scale Selection
2.2.3. Suitability Evaluation of Urban Space for Different Scenarios
- (1)
- Evaluation of suitability for Habitat
- (2)
- Suitability evaluation for ecological protection
- (3)
- Suitability evaluation for comprehensive construction
2.2.4. LCZ Layout Optimization
2.2.5. Evaluation of Spatial Optimization Results
3. Results
3.1. LCZ Classification Results
3.2. Scale Selection Result
3.3. Multi-Scenario Suitability Evaluation
3.4. Optimization Results of LCZ Distribution
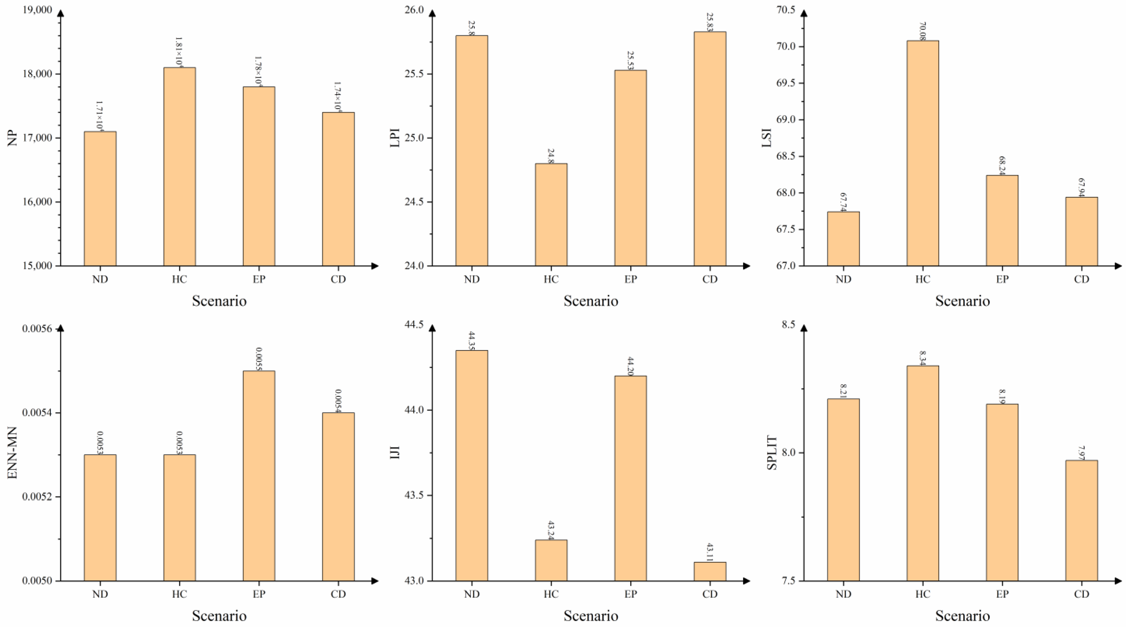
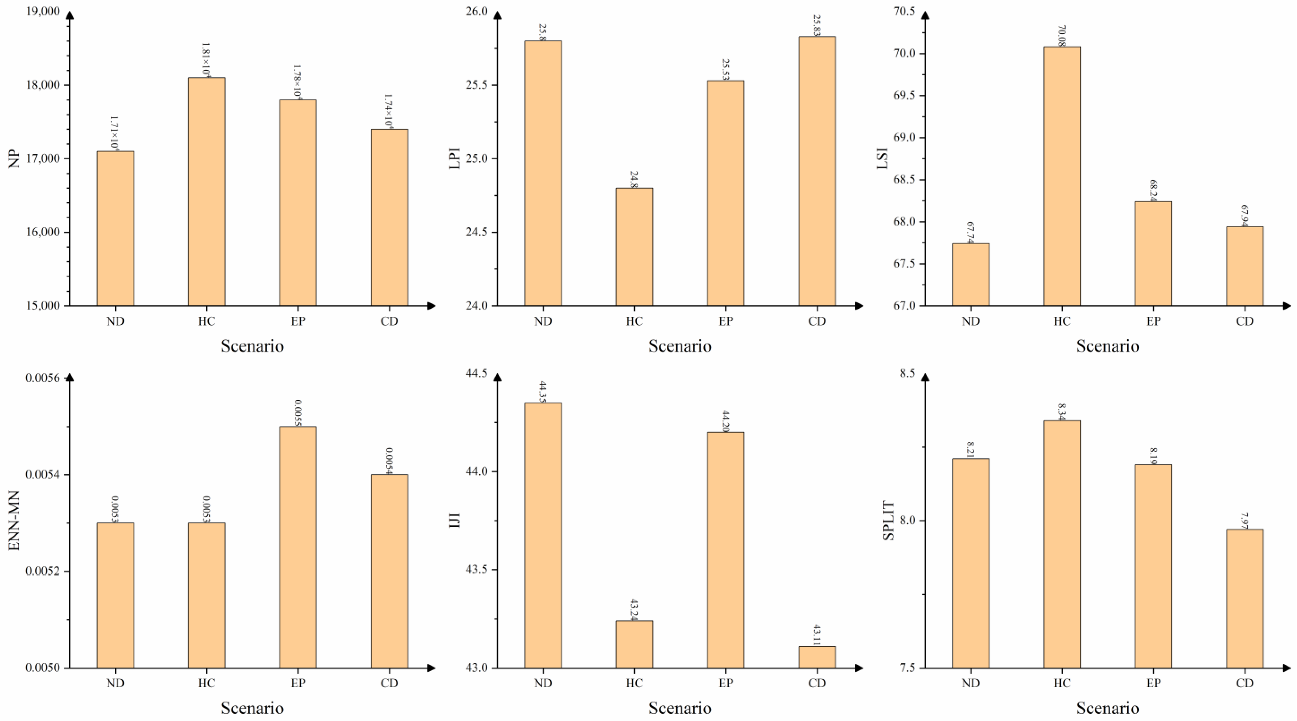
3.5. Evaluation of LCZ Optimization Results
4. Discussion
4.1. Impact of Multi-Scenario Optimization on Urban Temperature
4.2. Advantages of Temperature-Based Multi-Scenario LCZ Optimization
4.3. Multi-Scenario LCZ Optimization for Sustainable Urban Planning
5. Conclusions and Limitations
5.1. Conclusions
5.2. Limitations
Author Contributions
Funding
Data Availability Statement
Conflicts of Interest
Appendix A
| Road Type | Speed (km/h) | Road Type | Speed (km/h) | Road Type | Speed (km/h) | 
|---|---|---|---|---|---|
| Highway | 100 | Tertiary Road | 40 | Pedestrian Road | 5 | 
| Primary Road | 60 | Secondary Road Connection | 30 | Sidewalk | 5 | 
| Main Route | 60 | Tertiary Road Connection | 30 | Rail | 5 | 
| Highway Connection | 50 | Bicycle Path | 15 | Block | 5 | 
| Main Route Connection | 50 | Access Road to Facilities | 10 | Pathway | 5 | 
| Primary Road Connection | 50 | Bridle Path | 10 | Steps | 5 | 
| Secondary Road | 40 | Residential Area Road | 5 | Undefined | 20 | 
| LCZ | N | W | M | G | 
|---|---|---|---|---|
| LCZ 1 Compact high-rise | −0.009 | 0.7977 | 2620 | 62,888.38 | 
| LCZ 2 Compact mid-rise | −0.0226 | 0.6829 | 1905.2 | 62,888.38 | 
| LCZ 3 Compact low-rise | −0.0274 | 0.4337 | 1496.7 | 62,888.38 | 
| LCZ 4 Open high-rise | 0.005 | −0.214 | 1328.8 | 62,888.38 | 
| LCZ 5 Open mid-rise | 0.008 | −0.3337 | 848.14 | 62,888.38 | 
| LCZ 6 Open low-rise | 0.0173 | −0.5294 | 112.23 | 62,888.38 | 
| LCZ 8 Large low-rise | 0.0082 | −0.4849 | −63.314 | 62,888.38 | 
| LCZ 9 Sparsely built | 0.0107 | 0.0703 | 31.97 | 62,888.38 | 
| LCZ 10 Heavy industries | −0.0122 | 0.6457 | 24.4 | 62,888.38 | 
| LCZ 11 Dense trees | 0.0113 | −0.6191 | −8.2 | 609.5 | 
| LCZ 12 Scattered trees | 0.0062 | −0.402 | −9.9143 | 609.5 | 
| LCZ 13 Shrubs and dwarf trees | 0.0134 | −0.5249 | −15.4 | 609.5 | 
| LCZ 14 Low plants | 0.0142 | −0.4286 | −162.49 | 609.5 | 
| LCZ 15 Bare rock or paved | −0.0217 | 0.4054 | −1483.6 | 13,725.71 | 
| LCZ 16 Bare soil or sand | −0.0185 | 0.3606 | −320.31 | 13,725.71 | 
| LCZ 17 Water | 0.0114 | −0.7983 | −411.77 | 5262.6 | 
| Constraint | Formula | Meaning | Symbol Explanation | 
|---|---|---|---|
| Water Area Protection Constraint | According to the urban water development plan, the area of urban water bodies should not be less than the baseline year. | In this equation, X17 represents the optimized area of water bodies, and Awater represents the total area of water bodies in the baseline year. | |
| Forest and Grass Coverage Rate Constraint | To prevent soil erosion in urban areas, the forest and grass coverage rate must not be lower than the current value. | In this equation, X11, X12, X13, and X14 represent the optimized areas of urban forest and grassland coverage, and FRG represents the forest and grass coverage rate in the baseline year. | |
| Population Carrying Capacity Constraint | To ensure the well-being of residents, the city’s population capacity should not be less than the current population. | In this equation, M is the average population carrying capacity per unit area of each LCZ, X1−X7 are the optimized areas of residential types, and P represents the total population in the baseline year. | |
| Socioeconomic Constraint | To guarantee economic development, the city’s GDP should not be less than the GDP of that year. | In this equation, G is the average GDP per unit area of each LCZ, Xi represents the optimized area of each LCZ, and E represents the GDP in the baseline year. | |
| Total Land Area Constraint | The sum of the areas of all types of LCZs must equal the total land area of the city. | In this equation, Xi represents the optimized area of each LCZ, and Atotal indicates the total land area of Changsha. | 
| LCZ | Area Before Optimization (km2) | Ratio Before Optimization | Area After Optimization (km2) | Ratio After Optimization | Change Area (km2) | 
|---|---|---|---|---|---|
| LCZ 1 Compact high-rise | 5.29 | 0.04% | 3.52 | 0.03% | −1.77 | 
| LCZ 2 Compact mid-rise | 16.06 | 0.14% | 30.43 | 0.26% | +14.36 | 
| LCZ 3 Compact low-rise | 22.77 | 0.19% | 45.93 | 0.39% | +23.16 | 
| LCZ 4 Open high-rise | 75.43 | 0.64% | 76.51 | 0.65% | +1.08 | 
| LCZ 5 Open mid-rise | 85.73 | 0.72% | 147.97 | 1.25% | +62.25 | 
| LCZ 6 Open low-rise | 922.36 | 7.78% | 1631.43 | 13.76% | +709.07 | 
| LCZ 8 Large low-rise | 428.92 | 3.62% | 508.84 | 4.29% | +79.92 | 
| LCZ 9 Sparsely built | 3428.73 | 28.93% | 3602.66 | 30.40% | +173.93 | 
| LCZ 10 Heavy industries | 3.29 | 0.03% | 1.48 | 0.01% | −1.80 | 
| LCZ 11 Dense trees | 5197.61 | 43.85% | 4291.21 | 36.21% | −906.40 | 
| LCZ 12 Scattered trees | 709.92 | 5.99% | 643.03 | 5.43% | −66.89 | 
| LCZ 13 Shrubs and dwarf trees | 0.18 | 0.002% | 0.63 | 0.01% | +0.45 | 
| LCZ 14 Low plants | 789.86 | 6.66% | 556.35 | 4.69% | −233.51 | 
| LCZ 15 Bare rock or paved | 4.64 | 0.04% | 1.20 | 0.01% | −3.44 | 
| LCZ 16 Bare soil or sand | 11.47 | 0.10% | 3.29 | 0.03% | −8.18 | 
| LCZ 17 Water | 149.98 | 1.27% | 307.75 | 2.60% | +157.77 | 
| LCZ | 1 | 2 | 3 | 4 | 5 | 6 | 8 | 9 | 10 | 11 | 12 | 13 | 14 | 15 | 16 | 17 | 
|---|---|---|---|---|---|---|---|---|---|---|---|---|---|---|---|---|
| 1 | 0 | 0.7 | 0.6 | 0.7 | 0.6 | 0.5 | 0.6 | 0.7 | 0.8 | 0.9 | 0.8 | 0.7 | 0.9 | 0.8 | 0.9 | 1 | 
| 2 | 0.5 | 0 | 0.6 | 0.7 | 0.6 | 0.5 | 0.6 | 0.7 | 0.8 | 0.9 | 0.8 | 0.7 | 0.9 | 0.8 | 0.9 | 1 | 
| 3 | 0.5 | 0.7 | 0 | 0.7 | 0.6 | 0.5 | 0.5 | 0.7 | 0.8 | 0.9 | 0.8 | 0.7 | 0.9 | 0.8 | 0.9 | 1 | 
| 4 | 0.5 | 0.6 | 0.5 | 0 | 0.7 | 0.4 | 0.5 | 0.5 | 0.7 | 0.8 | 0.7 | 0.6 | 0.8 | 0.7 | 0.9 | 1 | 
| 5 | 0.8 | 0.6 | 0.5 | 0.6 | 0 | 0.4 | 0.5 | 0.5 | 0.7 | 0.8 | 0.7 | 0.6 | 0.8 | 0.7 | 0.9 | 1 | 
| 6 | 0.8 | 0.6 | 0.5 | 0.6 | 0.7 | 0 | 0.5 | 0.5 | 0.7 | 0.8 | 0.7 | 0.6 | 0.8 | 0.7 | 0.9 | 1 | 
| 8 | 0.8 | 0.6 | 0.5 | 0.6 | 0.5 | 0.4 | 0 | 0.5 | 0.6 | 0.8 | 0.7 | 0.6 | 0.8 | 0.7 | 0.9 | 1 | 
| 9 | 0.8 | 0.7 | 0.5 | 0.6 | 0.5 | 0.4 | 0.6 | 0 | 0.6 | 0.8 | 0.7 | 0.6 | 0.8 | 0.7 | 0.9 | 1 | 
| 10 | 0.8 | 0.7 | 0.5 | 0.6 | 0.7 | 0.4 | 0.6 | 0.7 | 0 | 0.8 | 0.7 | 0.8 | 0.8 | 0.7 | 0.9 | 1 | 
| 11 | 0.9 | 0.8 | 0.8 | 0.7 | 0.7 | 0.6 | 0.7 | 0.4 | 0.8 | 0 | 0.5 | 0.6 | 0.6 | 0.5 | 0.8 | 0.9 | 
| 12 | 0.9 | 0.8 | 0.8 | 0.7 | 0.7 | 0.6 | 0.7 | 0.4 | 0.8 | 0.4 | 0 | 0.6 | 0.6 | 0.5 | 0.8 | 0.9 | 
| 13 | 0.9 | 0.8 | 0.8 | 0.7 | 0.7 | 0.6 | 0.7 | 0.4 | 0.8 | 0.4 | 0.5 | 0 | 0.6 | 0.5 | 0.8 | 0.9 | 
| 14 | 0.9 | 0.8 | 0.8 | 0.7 | 0.7 | 0.6 | 0.7 | 0.3 | 0.7 | 0.4 | 0.5 | 0.5 | 0 | 0.5 | 0.8 | 0.9 | 
| 15 | 0.8 | 0.7 | 0.7 | 0.6 | 0.6 | 0.4 | 0.5 | 0.5 | 0.5 | 0.5 | 0.7 | 0.6 | 0.8 | 0 | 0.8 | 0.9 | 
| 16 | 0.8 | 0.7 | 0.7 | 0.6 | 0.6 | 0.4 | 0.5 | 0.5 | 0.5 | 0.5 | 0.7 | 0.5 | 0.6 | 0.4 | 0 | 0.9 | 
| 17 | 1 | 1 | 1 | 1 | 1 | 1 | 1 | 1 | 1 | 1 | 1 | 1 | 1 | 1 | 1 | 0 | 
References
- UN-Habitat. World Cities Report 2020: The Value of Sustainable Urbanization; UN-Habitat: Nairobi, Kenya, 2020; ISBN 92-1-005438-5. [Google Scholar]
- Oke, T.R.; Mills, G.; Christen, A.; Voogt, J.A. Urban Climates, 1st ed.; Cambridge University Press: Cambridge, UK, 2017; ISBN 978-1-139-01647-6. [Google Scholar]
- Gasparrini, A.; Armstrong, B.; Kovats, S.; Wilkinson, P. The Effect of High Temperatures on Cause-Specific Mortality in England and Wales. Occup. Environ. Med. 2012, 69, 56–61. [Google Scholar] [CrossRef]
- Kabano, P.; Lindley, S.; Harris, A. Evidence of Urban Heat Island Impacts on the Vegetation Growing Season Length in a Tropical City. Landsc. Urban Plan. 2021, 206, 103989. [Google Scholar] [CrossRef]
- Krummenauer, L.; Prahl, B.F.; Costa, L.; Holsten, A.; Walther, C.; Kropp, J.P. Global Drivers of Minimum Mortality Temperatures in Cities. Sci. Total Environ. 2019, 695, 133560. [Google Scholar] [CrossRef]
- United Nations. The Sustainable Development Goals Report 2019; United Nations Publications: New York, NY, USA, 2019. [Google Scholar]
- Assaf, G.; Assaad, R.H. Modeling the Impact of Land Use/Land Cover (LULC) Factors on Diurnal and Nocturnal Urban Heat Island (UHI) Intensities Using Spatial Regression Models. Urban Clim. 2024, 55, 101971. [Google Scholar] [CrossRef]
- Derdouri, A.; Wang, R.; Murayama, Y.; Osaragi, T. Understanding the Links between LULC Changes and SUHI in Cities: Insights from Two-Decadal Studies (2001–2020). Remote Sens. 2021, 13, 3654. [Google Scholar] [CrossRef]
- Chen, J.; Zhan, W.; Du, P.; Li, L.; Li, J.; Liu, Z.; Huang, F.; Lai, J.; Xia, J. Seasonally Disparate Responses of Surface Thermal Environment to 2D/3D Urban Morphology. Build. Environ. 2022, 214, 108928. [Google Scholar] [CrossRef]
- Stewart, I.D.; Oke, T.R. Local Climate Zones for Urban Temperature Studies. Bull. Am. Meteorol. Soc. 2012, 93, 1879–1900. [Google Scholar] [CrossRef]
- Wu, Y.; Sharifi, A.; Yang, P.; Borjigin, H.; Murakami, D.; Yamagata, Y. Mapping Building Carbon Emissions within Local Climate Zones in Shanghai. Energy Procedia 2018, 152, 815–822. [Google Scholar] [CrossRef]
- Yin, Y.; Pierce, J.T.; Love, E. Designing a Multisector Model for Land Conversion Study. J. Environ. Manag. 1995, 44, 249–266. [Google Scholar] [CrossRef]
- Li, X.; Yeh, A.G.-O. Modelling Sustainable Urban Development by the Integration of Constrained Cellular Automata and GIS. Int. J. Geogr. Inf. Sci. 2000, 14, 131–152. [Google Scholar] [CrossRef]
- Alcamo, J.; Kreileman, G.J.J.; Bollen, J.C.; van den Born, G.-J.; Gerlagh, R.; Krol, M.S.; Toet, A.M.C.; De Vries, H.J.M. Baseline Scenarios of Global Environmental Change. Glob. Environ. Chang. 1996, 6, 261–303. [Google Scholar] [CrossRef]
- Liu, X.; Liang, X.; Li, X.; Xu, X.; Ou, J.; Chen, Y.; Li, S.; Wang, S.; Pei, F. A Future Land Use Simulation Model (FLUS) for Simulating Multiple Land Use Scenarios by Coupling Human and Natural Effects. Landsc. Urban Plan. 2017, 168, 94–116. [Google Scholar] [CrossRef]
- Chen, G.; Li, X.; Liu, X.; Chen, Y.; Liang, X.; Leng, J.; Xu, X.; Liao, W.; Qiu, Y.; Wu, Q.; et al. Global Projections of Future Urban Land Expansion under Shared Socioeconomic Pathways. Nat. Commun. 2020, 11, 537. [Google Scholar] [CrossRef] [PubMed]
- Lin, J.; He, P.; Yang, L.; He, X.; Lu, S.; Liu, D. Predicting Future Urban Waterlogging-Prone Areas by Coupling the Maximum Entropy and FLUS Model. Sustain. Cities Soc. 2022, 80, 103812. [Google Scholar] [CrossRef]
- Li, L.; Huang, X.; Wu, D.; Yang, H. Construction of Ecological Security Pattern Adapting to Future Land Use Change in Pearl River Delta, China. Appl. Geogr. 2023, 154, 102946. [Google Scholar] [CrossRef]
- Li, L.; Huang, X.; Yang, H. Scenario-Based Urban Growth Simulation by Incorporating Ecological-Agricultural-Urban Suitability into a Future Land Use Simulation Model. Cities 2023, 137, 104334. [Google Scholar] [CrossRef]
- Liang, X.; Liu, X.; Li, X.; Chen, Y.; Tian, H.; Yao, Y. Delineating Multi-Scenario Urban Growth Boundaries with a CA-Based FLUS Model and Morphological Method. Landsc. Urban Plan. 2018, 177, 47–63. [Google Scholar] [CrossRef]
- Tan, R.; Liu, P.; Zhou, K.; He, Q. Evaluating the Effectiveness of Development-Limiting Boundary Control Policy: Spatial Difference-in-Difference Analysis. Land Use Policy 2022, 120, 106229. [Google Scholar] [CrossRef]
- Yang, X.; Bai, Y.; Che, L.; Qiao, F.; Xie, L. Incorporating Ecological Constraints into Urban Growth Boundaries: A Case Study of Ecologically Fragile Areas in the Upper Yellow River. Ecol. Indic. 2021, 124, 107436. [Google Scholar] [CrossRef]
- Huang, X.; Wang, H.; Xiao, F. Simulating Urban Growth Affected by National and Regional Land Use Policies: Case Study from Wuhan, China. Land Use Policy 2022, 112, 105850. [Google Scholar] [CrossRef]
- Chen, G.; Xie, J.; Li, W.; Li, X.; Chung, L.C.H.; Ren, C.; Liu, X. Future “Local Climate Zone” Spatial Change Simulation in Greater Bay Area under the Shared Socioeconomic Pathways and Ecological Control Line. Build. Environ. 2021, 203, 108077. [Google Scholar] [CrossRef]
- Shu, Y.; Lin, K.; Yu, Y. Study on Urban Land Simulation under the Perspective of Local Climate Zoning—A Case Study of Guiyang City. Sustainability 2024, 16, 8159. [Google Scholar] [CrossRef]
- Ren, J.; Yang, J.; Yu, W.; Cong, N.; Xiao, X.; Xia, J.; Li, X. Mapping of Local Climate Zones and Heat Hazard Assessment from a Historical-Future Perspective. IEEE J. Sel. Top. Appl. Earth Obs. Remote Sens. 2024, 17, 12622–12636. [Google Scholar] [CrossRef]
- Chen, J.; Shi, R.; Sun, G.; Guo, Y.; Deng, M.; Zhang, X. Simulation-Based Optimization of the Urban Thermal Environment through Local Climate Zones Reorganization in Changsha City, China with the FLUS Model. Sustainability 2023, 15, 12312. [Google Scholar] [CrossRef]
- Bechtel, B.; Alexander, P.J.; Beck, C.; Böhner, J.; Brousse, O.; Ching, J.; Demuzere, M.; Fonte, C.; Gál, T.; Hidalgo, J.; et al. Generating WUDAPT Level 0 Data—Current Status of Production and Evaluation. Urban Clim. 2019, 27, 24–45. [Google Scholar] [CrossRef]
- Li, Y.; Luo, P.; Song, Y.; Zhang, L.; Qu, Y.; Hou, Z. A Locally Explained Heterogeneity Model for Examining Wetland Disparity. Int. J. Digit. Earth 2023, 16, 4533–4552. [Google Scholar] [CrossRef]
- Masoudi, M.; Richards, D.R.; Tan, P.Y. Assessment of the Influence of Spatial Scale and Type of Land Cover on Urban Landscape Pattern Analysis Using Landscape Metrics. J. Geovis. Spat. Anal. 2024, 8, 8. [Google Scholar] [CrossRef]
- Jiang, H.; Zhang, W.; Qi, Y.; Jiang, J. The Land Accessibility Influenced by China’s High-Speed Rail Network and Travel Cost. Geogr. Res 2015, 34, 1015–1028. [Google Scholar]
- Wang, Z.; Xu, J.; Zhu, C.; Qi, Y.; Xu, L. The County Accessibility Divisions in China and Its Correlation with Population Distribution. Acta Geogr. Sin. 2010, 65, 416–426. [Google Scholar]
- Liu, K.; Yang, S.; Zhou, Q.; Qiao, Y. Spatiotemporal Evolution and Spatial Network Analysis of the Urban Ecological Carrying Capacity in the Yellow River Basin. Int. J. Environ. Res. Public Health 2021, 19, 229. [Google Scholar] [CrossRef]
- Taghizadeh-Mehrjardi, R.; Nabiollahi, K.; Rasoli, L.; Kerry, R.; Scholten, T. Land Suitability Assessment and Agricultural Production Sustainability Using Machine Learning Models. Agronomy 2020, 10, 573. [Google Scholar] [CrossRef]
- Jenks, G.F.; Caspall, F.C. Error On Choroplethic Maps: Definition, Measurement, Reduction. Ann. Assoc. Am. Geogr. 1971, 61, 217–244. [Google Scholar] [CrossRef]
- Javadian, M.; Shamskooshki, H.; Momeni, M. Application of Sustainable Urban Development in Environmental Suitability Analysis of Educational Land Use by Using AHP and GIS in Tehran. Procedia Eng. 2011, 21, 72–80. [Google Scholar] [CrossRef]
- Xie, G.D.; Zhang, C.X.; Zhang, C.S.; Xiao, Y.; Lu, C.X. The Value of Ecosystem Services in China. Resour. Sci. 2015, 37, 1740–1746. [Google Scholar]
- Curtis, C.J.; Battarbee, R.W.; Monteith, D.T.; Shilland, E.M. The Future of Upland Water Ecosystems of the UK in the 21st Century: A Synthesis. Ecol. Indic. 2014, 37, 412–430. [Google Scholar] [CrossRef]
- Liu, X.W.; Zhou, H.C.; Li, P.A. Conceptual Analysis of Ecosystem Stability. Acta Ecol. Sin. 2004, 24, 2635–2640. [Google Scholar]
- Wu, J. Landscape Sustainability Science: Ecosystem Services and Human Well-Being in Changing Landscapes. Landsc. Ecol. 2013, 28, 999–1023. [Google Scholar] [CrossRef]
- Tran, D.X.; Pla, F.; Latorre-Carmona, P.; Myint, S.W.; Caetano, M.; Kieu, H.V. Characterizing the Relationship between Land Use Land Cover Change and Land Surface Temperature. ISPRS J. Photogramm. Remote Sens. 2017, 124, 119–132. [Google Scholar] [CrossRef]
- McGarigal, K.; Cushman, S.A.; Ene, E. FRAGSTATS v4: Spatial Pattern Analysis Program for Categorical Maps, Computer Software Program Produced by the Authors. 2023. Available online: https://www.fragstats.org (accessed on 9 December 2023).
- Cao, B.; Chen, Q.; Du, M.; Cheng, Q.; Li, Y.; Liu, R. Simulation Analysis of the Cooling Effect of Urban Water Bodies on the Local Thermal Environment. Water 2022, 14, 3091. [Google Scholar] [CrossRef]
- Yang, L.; Chen, Y.; Li, Y.; Zhu, H.; Yang, X.; Li, S.; Tang, G. Is 3D Building Morphology Really Related to Land Surface Temperature? Insights from a New Homogeneous unit. Build. Environ. 2024, 266, 112101. [Google Scholar] [CrossRef]
- Li, Y.; Ma, Q.; Song, Y.; Han, H. Bringing Conservation Priorities into Urban Growth Simulation: An Integrated Model and Applied Case Study of Hangzhou, China. Resour. Conserv. Recycl. 2019, 140, 324–337. [Google Scholar] [CrossRef]
- Li, F.; Wang, L.; Chen, Z.; Clarke, K.C.; Li, M.; Jiang, P. Extending the SLEUTH Model to Integrate Habitat Quality into Urban Growth Simulation. J. Environ. Manag. 2018, 217, 486–498. [Google Scholar] [CrossRef]
- Chen, G.; Wang, R. Application of LCZ to Land Use and Land Cover Studies. In Local Climate Zone Application in Sustainable Urban Development: Experience from East and Southeast Asian High-Density Cities; Wang, R., Cai, M., Ren, C., Shi, Y., Eds.; Springer International Publishing: Cham, Switzerland, 2024; pp. 105–129. ISBN 978-3-031-56168-9. [Google Scholar]
- Liu, Y.; Chen, H.; Wu, J.; Wang, Y.; Ni, Z.; Chen, S. Impact of Urban Spatial Dynamics and Blue-Green Infrastructure on Urban Heat Islands: A Case Study of Guangzhou Using Local Climate Zones and Predictive Modeling. Sustain. Cities Soc. 2024, 115, 105819. [Google Scholar] [CrossRef]
- Geletič, J.; Lehnert, M.; Dobrovolný, P.; Žuvela-Aloise, M. Spatial Modelling of Summer Climate Indices Based on Local Climate Zones: Expected Changes in the Future Climate of Brno, Czech Republic. Clim. Chang. 2019, 152, 487–502. [Google Scholar] [CrossRef]
- Yang, J.; Wang, Y.; Xiu, C.; Xiao, X.; Xia, J.; Jin, C. Optimizing Local Climate Zones to Mitigate Urban Heat Island Effect in Human Settlements. J. Clean. Prod. 2020, 275, 123767. [Google Scholar] [CrossRef]









| Type | Data | Description | Source | 
|---|---|---|---|
| Remote sensing data | Landsat 8 | Resolution of 30 m for LCZ classification | U.S. Geological Survey (http://www.usgs.gov) (accessed on 20 February 2023) | 
| MOD11A2 | Calibrated MODIS product with a spatial resolution of 1 km | U.S. Geological Survey (http://www.usgs.gov) (accessed on 20 February 2023) | |
| Nightlight image | Spatial resolution of 500 m | National Oceanic and Atmospheric Administration (https://ncc.nesdis.noaa.gov/) (accessed on 9 July 2023) | |
| Geographical data | DEM | Digital elevation model with 30 m spatial resolution | Geospatial Data Cloud (https://www.gscloud.cn) (accessed on 2 December 2022) | 
| NDVI | Spatial resolution of 1 km | Resource and Environmental Science Data Platform (https://www.resdc.cn/) (accessed on 9 July 2023) | |
| Building height | Information on the height of urban buildings | Geographic Remote Sensing Ecological Network Platform (http://www.gisrs.cn/minindex.html) (accessed on 20 February 2023) | |
| Road data | Urban road distribution information | Open Street Map (https://www.openstreetmap.org) (accessed on 9 March 2023) | |
| Disaster point | Disaster risk location information | Resource and Environmental Science Data Platform (https://www.resdc.cn/) (accessed on 12 July 2023) | |
| Nature reserve point | Data on the location of nature reserves | Resource and Environmental Science Data Platform (https://www.resdc.cn/) (accessed on 12 July 2023) | |
| The value of ecological services | Ecological service value data at spatial resolution of 1 km | Resource and Environmental Science Data Platform (https://www.resdc.cn/) (accessed on 12 July 2023) | |
| Socio-economic data | Population | Population distribution in the region, spatial resolution of 1 km | Landscan (https://landscan.ornl.gov/) (accessed on 20 February 2023) | 
| GDP | Regional gross economic product, spatial resolution of 1 km | Resource and Environmental Science Data Platform (https://www.resdc.cn/) (accessed on 20 February 2023) | |
| Meteorological data | Air temperature, relative humidity, and precipitation | Spatial resolution of 1 km | Resource and Environmental Science Data Platform (https://www.resdc.cn/) (accessed on 7 July 2023) | 
| Average air quality | Air quality averages processed using Kriging interpolation | China National Environmental Monitoring Centre (https://www.cnemc.cn/) (accessed on 9 July 2023) | 
| Factor | Different Classifications | Optimal Analysis Scale | |
|---|---|---|---|
| NDVI | All types of LCZ | 300 m × 300 m | |
| LCZs with different surface covers | Built-up types LCZ | 300 m × 300 m | |
| Natural cover types LCZ | 900 m × 900 m | ||
| LCZs with different densities | High-density LCZ | 500 m × 500 m | |
| Low-density LCZ | 300 m × 300 m | ||
| LCZs with different heights | High-rise LCZ | 300 m × 300 m | |
| Mid-rise LCZ | 500 m × 500 m | ||
| Low-rise LCZ | 300 m × 300 m | ||
| LST | All types of LCZ | 300 m × 300 m | |
| LCZs with different surface covers | Built-up types LCZ | 500 m × 500 m | |
| Natural cover types LCZ | 300 m × 300 m | ||
| LCZs with different densities | High-density LCZ | 900 m × 900 m | |
| Low-density LCZ | 500 m × 500 m | ||
| LCZs with different heights | High-rise LCZ | 300 m × 300 m | |
| Mid-rise LCZ | 900 m × 900 m | ||
| Low-rise LCZ | 500 m × 500 m | ||
| Population | All types of LCZ | 300 m × 300 m | |
| LCZs with different surface covers | Built-up types LCZ | 300 m × 300 m | |
| Natural cover types LCZ | 300 m × 300 m | ||
| LCZs with different densities | High-density LCZ | 300 m × 300 m | |
| Low-density LCZ | 300 m × 300 m | ||
| LCZs with different heights | High-rise LCZ | 300 m × 300 m | |
| Mid-rise LCZ | 300 m × 300 m | ||
| Low-rise LCZ | 500 m × 500 m | ||
| GDP | All types of LCZ | 300 m × 300 m | |
| LCZs with different surface covers | Built-up types LCZ | 300 m × 300 m | |
| Natural cover types LCZ | 300 m × 300 m | ||
| LCZs with different densities | High-density LCZ | 300 m × 300 m | |
| Low-density LCZ | 700 m × 700 m | ||
| LCZs with different heights | High-rise LCZ | 300 m × 300 m | |
| Mid-rise LCZ | 300 m × 300 m | ||
| Low-rise LCZ | 700 m × 700 m | ||
| Scenario | Spatial Characteristics | Area of Very Suitable Regions (km2) | Percentage of Total Study Area (%) | 
|---|---|---|---|
| Habitat Suitability | High in the center, low in the north, with some high suitability areas on the western urban edge | 505.7838 | 4.27 | 
| Ecological Protection Suitability | Low in the center, high in the east and west | 2718.293 | 22.93 | 
| Comprehensive Construction Suitability | High in the center, low around the periphery | 443.0097 | 3.74 | 
| Scenario | Optimization Constraints | Spatial Distribution Characteristics | 
|---|---|---|
| ND | No area restrictions | Central area: dense trees (LCZ 11) transition to low-rise open buildings (LCZ 6), with an increase in large low-rise buildings (LCZ 8); western and eastern regions: some forests transition to scattered buildings (LCZ 9). | 
| HC | Development concentrated in suitable living environment areas | Central area: low-rise open buildings (LCZ 6) transition to large low-rise buildings (LCZ 8), with a trend towards proximity to water bodies; western region: vegetation converts to scattered buildings (LCZ 9), with an increase in sparse trees. | 
| EP | Restrictions on development in nature reserve areas | Central area: limited conversion of building types; western and eastern regions: a small number of dense trees (LCZ 11) transition to scattered buildings (LCZ 9), while low vegetation remains stable. | 
| CD | Simultaneously considers human comfort and natural protection | Central area: similar to the human comfort scenario, with outward expansion; western and eastern regions: resemble the natural protection scenario. | 
| Disclaimer/Publisher’s Note: The statements, opinions and data contained in all publications are solely those of the individual author(s) and contributor(s) and not of MDPI and/or the editor(s). MDPI and/or the editor(s) disclaim responsibility for any injury to people or property resulting from any ideas, methods, instructions or products referred to in the content. | 
© 2024 by the authors. Licensee MDPI, Basel, Switzerland. This article is an open access article distributed under the terms and conditions of the Creative Commons Attribution (CC BY) license (https://creativecommons.org/licenses/by/4.0/).
Share and Cite
Chen, J.; Dong, Z.; Shi, R.; Sun, G.; Guo, Y.; Peng, Z.; Deng, M.; Chen, K. Urban Multi-Scenario Land Use Optimization Simulation Considering Local Climate Zones. Remote Sens. 2024, 16, 4342. https://doi.org/10.3390/rs16224342
Chen J, Dong Z, Shi R, Sun G, Guo Y, Peng Z, Deng M, Chen K. Urban Multi-Scenario Land Use Optimization Simulation Considering Local Climate Zones. Remote Sensing. 2024; 16(22):4342. https://doi.org/10.3390/rs16224342
Chicago/Turabian StyleChen, Jie, Zikun Dong, Ruijie Shi, Geng Sun, Ya Guo, Zhuopeng Peng, Min Deng, and Kaiqi Chen. 2024. "Urban Multi-Scenario Land Use Optimization Simulation Considering Local Climate Zones" Remote Sensing 16, no. 22: 4342. https://doi.org/10.3390/rs16224342
APA StyleChen, J., Dong, Z., Shi, R., Sun, G., Guo, Y., Peng, Z., Deng, M., & Chen, K. (2024). Urban Multi-Scenario Land Use Optimization Simulation Considering Local Climate Zones. Remote Sensing, 16(22), 4342. https://doi.org/10.3390/rs16224342
 
        



 
       