Optimal Hyperspectral Characteristic Parameters Construction and Concentration Retrieval for Inland Water Chlorophyll-a Under Different Motion States
Abstract
1. Introduction
- The impact of in situ collection. Chl-a spectral data are typically collected either in situ or in the laboratory. While in situ measurements can collect data quickly, data from phytoplankton bloom areas are difficult to collect from research vessels using the standard method [32] because ships and water collectors will disturb the distribution of phytoplankton during the collection process. Therefore, our experiments will be conducted in a laboratory environment, which can reduce the errors caused by collecting data.
- The impact of the water surface motion state. Based on the previous research, it was observed that the distribution of cyanobacteria differs depending on whether the water surface is disturbed (e.g., windy) or static [33]. These distribution differences lead to distinct spectral characteristics in both states [33]. In disturbed states, cyanobacteria are uniformly dispersed throughout the three-dimensional space, reducing their absorption and scattering effects [33,34]. Concurrently, the formation of numerous capillary waves on the water surface increases the water’s surface area, thereby enhancing absorption in the near-infrared band [35]. Conversely, in static states, the quantity of cyanobacteria below the surface rapidly decreases, and they distribute evenly across the water surface [36]. As light traverses the water surface, its intensity diminishes, reducing the water’s absorption and resulting in a significant increase in surface reflectance [37]. The Chl-a exhibit strong reflection and scattering in the near-infrared range [20]. Consequently, this study conducted experiments under both disturbed and static states.
- The impact of laboratory-cultured algal strains. Traditional studies often relied on cultured algal strains [38], which may not accurately represent the characteristics of natural algal populations, particularly cyanobacteria. This suggests laboratory-cultured algal strains might exhibit spectral properties that differ from those of wild cyanobacteria, thus potentially affecting the Chl-a concentration estimation. To address this, this study first conducted a comparative experiment to investigate the differences between cultured and wild cyanobacteria. Subsequently, Taihu Lake was selected as the site to collect wild cyanobacteria for further laboratory analyses.
2. Materials and Methods
2.1. Study Area
2.2. Datasets
3. Methodology
3.1. Examining Differences Between Cultured and Wild Cyanobacteria
3.2. Designing Experiment of Chl-a Retrieval Models
3.2.1. Laboratory-Based Experiment
- Step 1: Hyperspectral data acquisition and concentration measurement
- Step 2: Spectral characteristics analysis
- Step 3: Chl-a concentration modeling
3.2.2. In Situ Experiment
4. Results
4.1. Differences Between Cultured and Wild Cyanobacteria
4.2. Analysis of Spectral Curve Characteristics of Cyanobacteria
- (1)
- Lower Reflectance in the Disturbed State: Overall, the spectral reflectance is lower in the disturbed state compared to the static state. This is evident in the maximum peaks around 550 nm and 700 nm, where reflectance values are significantly lower in the disturbed state (0.08 < 0.13 and 0.17 << 0.48, respectively).
- (2)
- Double Peak vs. Flat Peak in the 700–850 nm Range: In the range of 700 nm to 850 nm, the disturbed state exhibits a saddle-shaped double peak, while the static state shows a relatively flat peak. Under disturbed states, the left peak of the double peak is situated around 710 nm and shifts towards longer wavelengths as the concentration of cyanobacteria increases. The right peak is located at 810 nm, with a faint serrated sub-peak at 762 nm. In contrast, the static states have a single, broader peak that is shifted significantly to the right (around 90 nm) compared to the disturbed state, reaching approximately 900 nm.
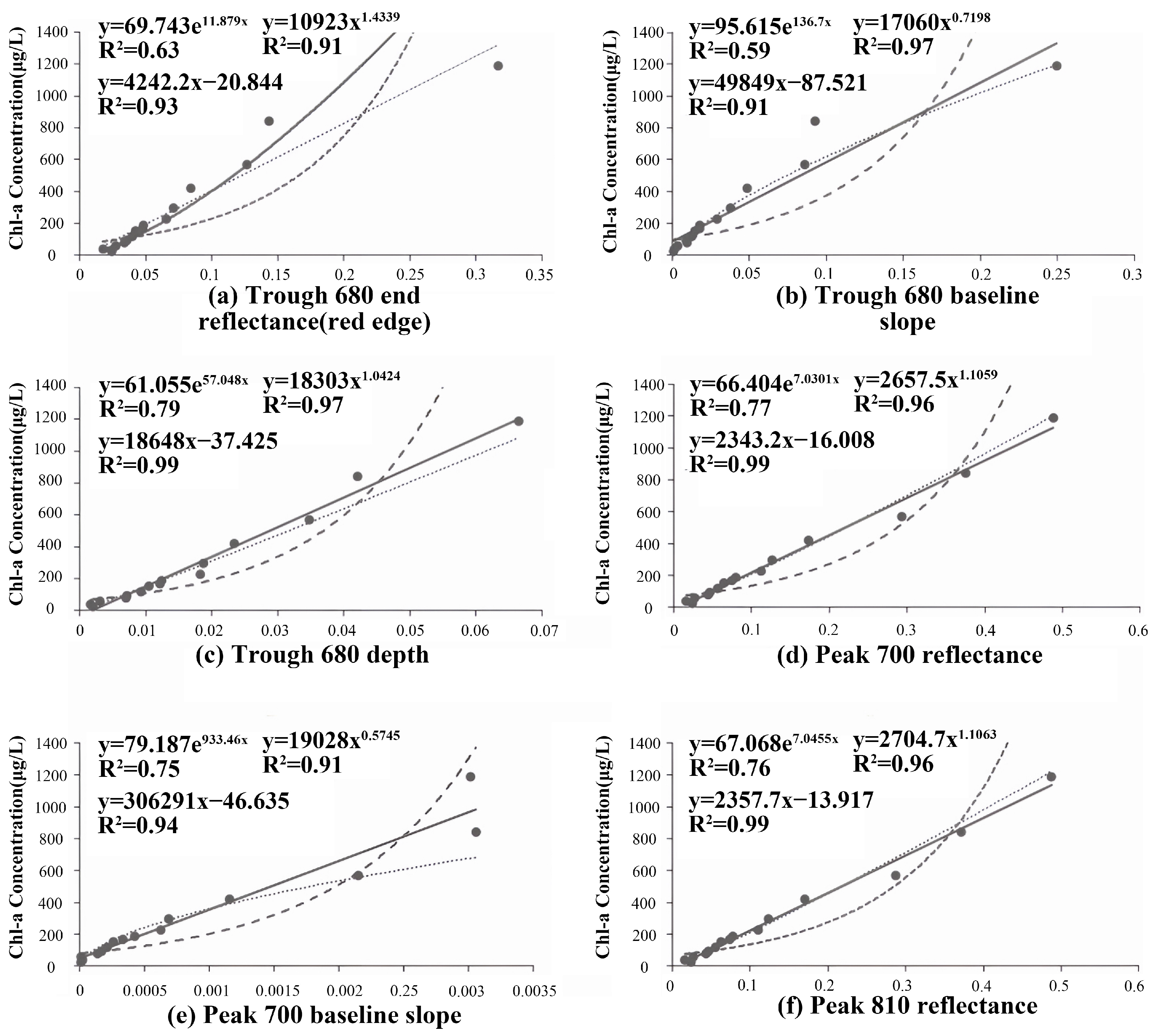
4.3. Relationship Between Main Characteristic Parameters of Cyanobacteria and Chl-a Concentration
- (1)
- Green Peak (550 nm): There is a strong correlation (r > 0.90) between the Chl-a concentration and the reflectance value at 550 nm (green peak). Weak correlation was observed between the peak wavelength and Chl-a concentration, indicating the “green peak” shifts with changes in the Chl-a concentration. However, this shift is not only influenced by Chl-a [46,47], which explains the weak correlation between the wavelength of the maximum reflectance value at 550 nm and Chl-a. The value of r is much higher in the static state compared to the disturbed state, indicating that the distribution of cyanobacteria may be the primary factor contributing to this difference. The correlation between peak wavelength and Chl-a is stronger in the static state, suggesting that cyanobacteria distribution might influence the peak shift under disturbed states.
- (2)
- Valley at 620 nm: Valley positions of around 620 and 680 nm remain relatively unchanged with Chl-a variations, which result to the blank in Table 3. Under disturbed states, the reflectance values at the valley show a weak correlation (a low r value) with Chl-a, with r values of 0.52. Under static states, the r values are higher, at 0.89, indicating a stronger correlation.
- (3)
- Valley at 680 nm: The total area, left/right half areas, baseline slope, and valley depth at 680 nm generally show high correlation with Chl-a (strongest with baseline slope and valley depth). Valley asymmetry shows a weak negative correlation with Chl-a.
- (4)
- Peak at Around 700 nm: Both the peak reflectance value and baseline slope exhibit strong correlation with Chl-a (r > 0.98) regardless of the disturbed or static state. For the remaining parameters, except for the peak wavelength, higher correlation exists in disturbed states compared to static states. Among these parameters, peak symmetry shows the weakest correlation. Peak height correlation with Chl-a is strong but flips direction (positive in disturbed states; negative in static states).
- (5)
- Peak at Around 810 nm: The correlation between the peak wavelength and Chl-a is weak with low r values. Peak reflectance, on the other hand, exhibits a very strong correlation (r > 0.99) with the Chl-a concentration.
- (6)
- Red Edge: The position of the “red edge” (valley at the 680 end of the wavelength) shows moderate correlation with Chl-a (r values around 0.6–0.9), while the reflectance values show a strong correlation with Chl-a (r values > 0.94). Generally, the correlation between red edge parameters and Chl-a is stronger in the static state compared to the disturbed state.
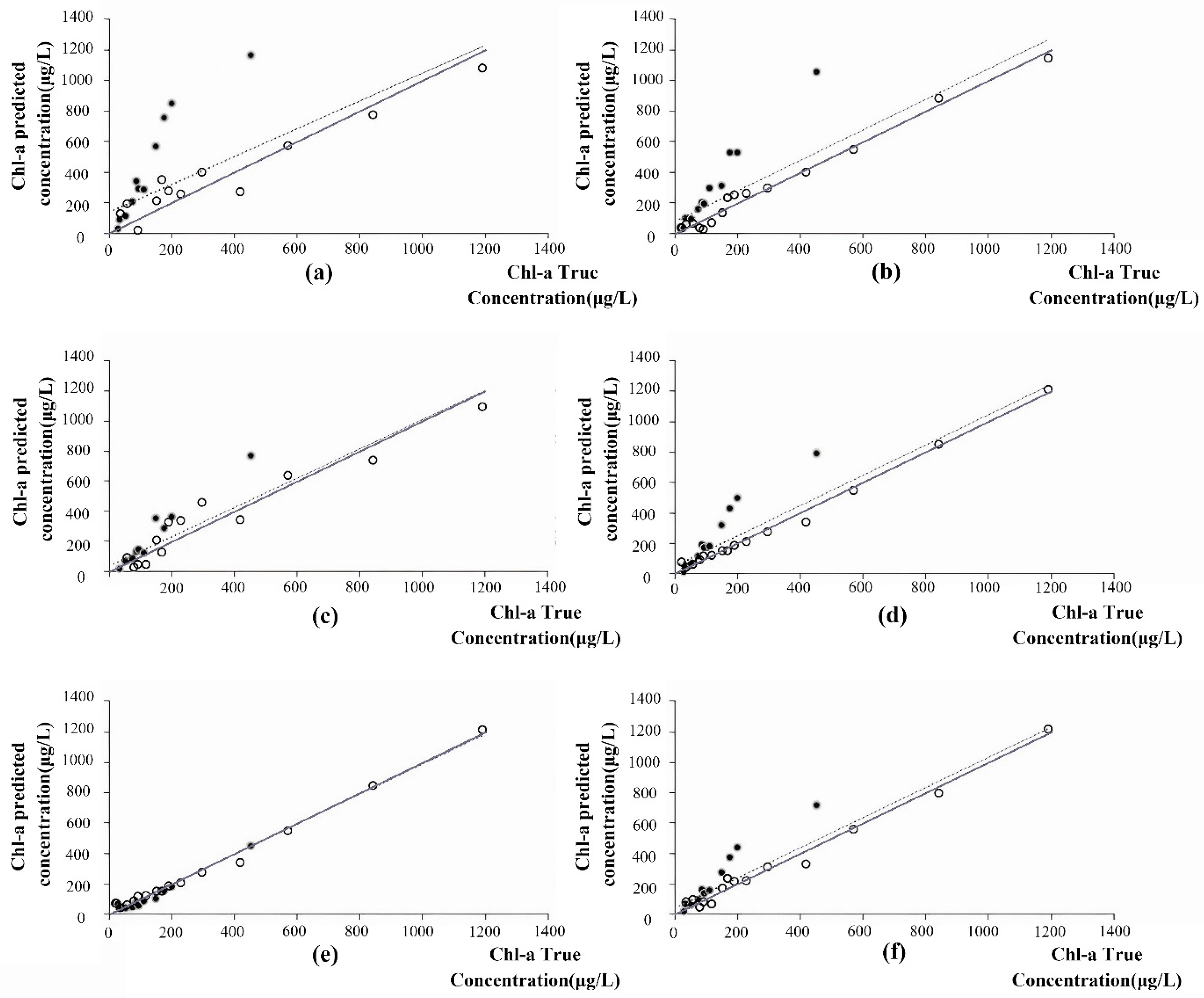
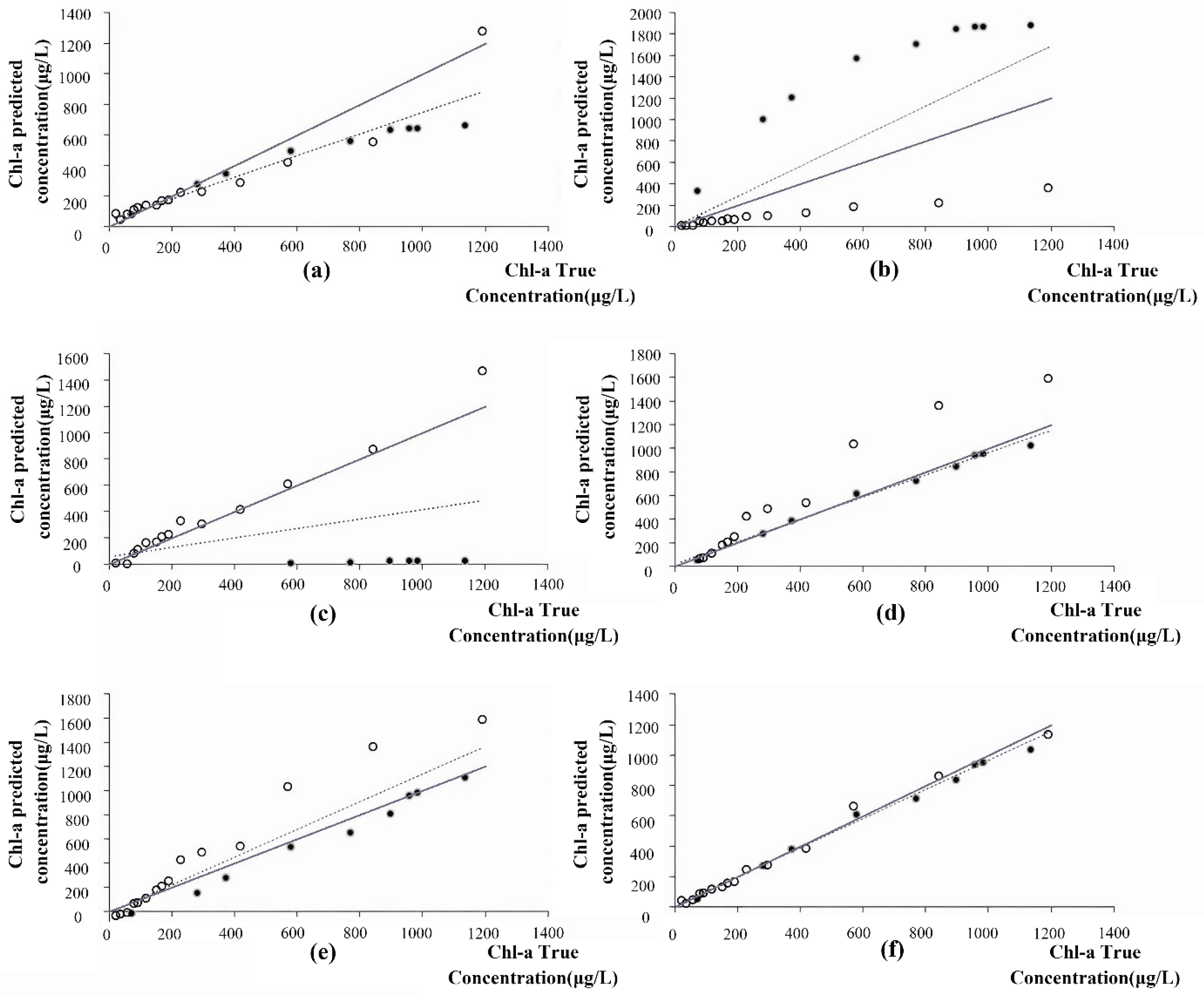
4.4. Quantitative Estimation of Chl-a Concentration Based on Cyanobacteria Characteristic Parameters
5. Discussion
6. Conclusions
Author Contributions
Funding
Data Availability Statement
Acknowledgments
Conflicts of Interest
References
- Tao, S.L.; Fang, J.Y.; Ma, S.H.; Cai, Q.; Xiong, X.Y.; Tian, D.; Zhao, X.; Fang, L.Q.; Zhang, H.; Zhu, J.L.; et al. Changes in China’s lakes: Climate and human impacts. Natl. Sci. Rev. 2020, 7, 132–140. [Google Scholar] [CrossRef] [PubMed]
- Song, K.; Fang, C.; Jacinthe, P.-A.; Wen, Z.; Liu, G.; Xu, X.; Shang, Y.; Lyu, L. Climatic versus anthropogenic controls of decadal trends (1983–2017) in algal blooms in lakes and reservoirs across China. Environ. Sci. Technol. 2021, 55, 2929–2938. [Google Scholar] [CrossRef] [PubMed]
- Huang, J.; Zhang, Y.; Arhonditsis, G.B.; Gao, J.; Chen, Q.; Peng, J. The magnitude and drivers of harmful algal blooms in China’s lakes and reservoirs: A national-scale characterization. Water Res. 2020, 181, 115902. [Google Scholar] [CrossRef] [PubMed]
- Wurtsbaugh, W.A.; Paerl, H.W.; Dodds, W.K. Nutrients, eutrophication and harmful algal blooms along the freshwater to marine continuum. WIREs Water 2019, 6, e1373. [Google Scholar] [CrossRef]
- Wei, J.L.; Li, Q.; Liu, W.; Zhang, S.S.; Xu, H.Z.; Pei, H.Y. Changes of phytoplankton and water environment in a highly urbanized subtropical lake during the past ten years. Sci. Total Environ. 2023, 879, 162985. [Google Scholar] [CrossRef]
- Hou, X.; Feng, L.; Dai, Y.; Hu, C.; Gibson, L.; Tang, J.; Lee, Z.; Wang, Y.; Cai, X.; Liu, J.; et al. Global mapping reveals increase in lacustrine algal blooms over the past decade. Nat. Geosci. 2022, 15, 130–134. [Google Scholar] [CrossRef]
- Brooks, B.W.; Lazorchak, J.M.; Howard, M.D.A.; Johnson, M.-V.V.; Morton, S.L.; Perkins, D.A.K.; Reavie, E.D.; Scott, G.I.; Smith, S.A.; Steevens, J.A. Are harmful algal blooms becoming the greatest inland water quality threat to public health and aquatic ecosystems? Environ. Toxicol. Chem. 2016, 35, 6–13. [Google Scholar] [CrossRef]
- Gangi, D.; Frau, D.; Drozd, A.A.; Bordet, F.; Andrade, S.; Bazzalo, M.; Pinto, P.D. Integrating field and satellite monitoring for assessing environmental risk associated with bacteria in recreational waters of a large reservoir. Sci. Total Environ. 2022, 818, 151714. [Google Scholar] [CrossRef]
- Huo, D.; Gan, N.; Geng, R.; Cao, Q.; Song, L.; Yu, G.; Li, R. Cyanobacterial blooms in China: Diversity, distribution, and cyanotoxins. Harmful Algae 2021, 109, 102106. [Google Scholar] [CrossRef]
- Rastogi, R.P.; Madamwar, D.; Incharoensakdi, A. Bloom Dynamics of Cyanobacteria and Their Toxins: Environmental Health Impacts and Mitigation Strategies. Front. Microbiol. 2015, 6, 1254. [Google Scholar] [CrossRef]
- Le, C.; Zha, Y.; Li, Y.; Sun, D.; Lu, H.; Yin, B. Eutrophication of Lake Waters in China: Cost, Causes, and Control. Environ. Manag. 2010, 45, 662–668. [Google Scholar] [CrossRef] [PubMed]
- Hunter, P.D.; Tyler, A.N.; Carvalho, L.; Codd, G.A.; Maberly, S.C. Hyperspectral remote sensing of cyanobacterial pigments as indicators for cell populations and toxins in eutrophic lakes. Remote Sens. Environ. 2010, 114, 2705–2718. [Google Scholar] [CrossRef]
- World Health Organization. Guidelines on Recreational Water Quality: Volume 1 Coastal and Fresh Waters; World Health Organization: Geneva, Switzerland, 2021. [Google Scholar]
- Kasprzak, P.; Padisak, J.; Koschel, R.; Krienitz, L.; Gervais, F. Chlorophyll a concentration across a trophic gradient of lakes: An estimator of phytoplankton biomass? Limnologica 2008, 38, 327–338. [Google Scholar] [CrossRef]
- Gholizadeh, M.H.; Melesse, A.M.; Reddi, L. A comprehensive review on water quality parameters estimation using remote sensing techniques. Sensors 2016, 16, 1298. [Google Scholar] [CrossRef] [PubMed]
- Werdell, P.J.; Bailey, S.W. An improved in-situ bio-optical data set for ocean color algorithm development and satellite data product validation. Remote Sens. Environ. 2005, 98, 122–140. [Google Scholar] [CrossRef]
- Mishra, S.; Mishra, D.R. Normalized difference chlorophyll index: A novel model for remote estimation of chlorophyll-a concentration in turbid productive waters. Remote Sens. Environ. 2012, 117, 394–406. [Google Scholar] [CrossRef]
- Decker, A.G.; Malthus, T.J.; Wijnen, M.M.; Seyhan, E. The effect of spectral bandwidth and positioning on the spectral signature analysis of inland waters. Remote Sens. Environ. 1992, 41, 211–225. [Google Scholar] [CrossRef]
- Cao, Z.G.; Ma, R.H.; Duan, H.T.; Xue, K. Effects of broad bandwidth on the remote sensing of inland waters: Implications for high spatial resolution satellite data applications. Isprs J. Photogramm. Remote Sens. 2019, 153, 110–122. [Google Scholar] [CrossRef]
- Pan, Y.Y.; Guo, Q.Z.; Sun, J.H. Advances in remote sensing inversion method of chlorophyll a concentration. Sci. Surv. Mapp. 2017, 42, 43–48. (In Chinese) [Google Scholar] [CrossRef]
- Hu, C.M.; Lee, Z.; Franz, B. Chlorophyll a algorithms for oligotrophic oceans: A novel approach based on three-band reflectance difference. J. Geophys. Res.-Ocean. 2012, 117, C01011. [Google Scholar] [CrossRef]
- Cloern, J.E.; Grenz, C.; VidergarLucas, L. An empirical model of the phytoplankton chlorophyll:carbon ratio—The conversion factor between productivity and growth rate. Limnol. Oceanogr. 1995, 40, 1313–1321. [Google Scholar] [CrossRef]
- Gitelson, A.A.; Schalles, J.F.; Hladik, C.M. Remote chlorophyll-a retrieval in turbid, productive estuaries: Chesapeake Bay case study. Remote Sens. Environ. 2007, 109, 464–472. [Google Scholar] [CrossRef]
- Le, C.; Li, Y.; Zha, Y.; Sun, D.; Huang, C.; Lu, H. A four-band semi-analytical model for estimating chlorophyll a in highly turbid lakes: The case of Taihu Lake, China. Remote Sens. Environ. 2009, 113, 1175–1182. [Google Scholar] [CrossRef]
- Liu, G.; Li, L.; Song, K.S.; Li, Y.M.; Lyu, H.; Wen, Z.D.; Fang, C.; Bi, S.; Sun, X.P.; Wang, Z.M.; et al. An OLCI-based algorithm for semi-empirically partitioning absorption coefficient and estimating chlorophyll a concentration in various turbid case-2 waters. Remote Sens. Environ. 2020, 239, 111648. [Google Scholar] [CrossRef]
- Jiang, D.; Matsushita, B.; Pahlevan, N.; Gurlin, D.; Lehmann, M.K.; Fichot, C.G.; Schalles, J.; Loisel, H.; Binding, C.; Zhang, Y.L.; et al. Remotely estimating total suspended solids concentration in clear to extremely turbid waters using a novel semi-analytical method. Remote Sens. Environ. 2021, 258, 112386. [Google Scholar] [CrossRef]
- Dev, P.J.; Sukenik, A.; Mishra, D.R.; Ostrovsky, I. Cyanobacterial pigment concentrations in inland waters: Novel semi-analytical algorithms for multi- and hyperspectral remote sensing data. Sci. Total Environ. 2022, 805, 150423. [Google Scholar] [CrossRef]
- Carder, K.L.; Chen, F.R.; Cannizzaro, J.P.; Campbell, J.W.; Mitchell, B.G. Performance of the MODIS semi-analytical ocean color algorithm for chlorophyll-a. Adv. Space Res. 2004, 33, 1152–1159. [Google Scholar] [CrossRef]
- Giardino, C.; Brando, V.E.; Dekker, A.G.; Strömbeck, N.; Candiani, G. Assessment of water quality in Lake Garda (Italy) using Hyperion. Remote Sens. Environ. 2007, 109, 183–195. [Google Scholar] [CrossRef]
- Lee, Z.P.; Carder, K.L.; Arnone, R.A. Deriving inherent optical properties from water color: A multiband quasi-analytical algorithm for optically deep waters. Appl. Opt. 2002, 41, 5755–5772. [Google Scholar] [CrossRef]
- Huang, C.-C.; Li, Y.-M.; Xu, L.-J.; Yang, H.; Lü, H.; Chen, X.; Wang, Y.-H. Study on Influencing Factors and Universality of Chlorophyll-a Retrieval Model in Inland Water Body. Chin. J. Environ. Sci. 2013, 34, 525–531. [Google Scholar] [CrossRef]
- Kutser, T. Quantitative detection of chlorophyll in cyanobacterial blooms by satellite remote sensing. Limnol. Oceanogr. 2004, 49, 2179–2189. [Google Scholar] [CrossRef]
- Cao, H.S.; Kong, F.X.; Luo, L.C.; Shi, X.L.; Yang, Z.; Zhang, X.F.; Tao, Y. Effects of wind and wind-induced waves on vertical phytoplankton distribution and surface blooms of Microcystis aeruginosa in Lake Taihu. J. Freshw. Ecol. 2006, 21, 231–238. [Google Scholar] [CrossRef]
- Zhang, Y.; Loiselle, S.; Shi, K.; Han, T.; Zhang, M.; Hu, M.; Jing, Y.; Lai, L.; Zhan, P. Wind Effects for Floating Algae Dynamics in Eutrophic Lakes. Remote Sens. 2021, 13, 800. [Google Scholar] [CrossRef]
- Fingas, M. Chapter 5 - Remote Sensing for Marine Management. In World Seas: An Environmental Evaluation (Second Edition), Sheppard, C., Ed.; Elsevier Ltd.: Amsterdam, The Netherlands, 2019; pp. 103–119. [Google Scholar] [CrossRef]
- Zhang, Y.; Hu, M.; Shi, K.; Zhang, M.; Han, T.; Lai, L.; Zhan, P. Sensitivity of phytoplankton to climatic factors in a large shallow lake revealed by column-integrated algal biomass from long-term satellite observations. Water Res. 2021, 207, 117786. [Google Scholar] [CrossRef]
- Hu, M.; Chen, C.; Li, G.; Liu, Y.; Yao, S.; He, M.; Chen, Q. High-frequency spatial and temporal dynamics monitoring of algal blooms in Lake Taihu under typical wind conditions and hydraulic scheduling. J. Lake Sci. 2024, 36, 685–694. [Google Scholar] [CrossRef]
- Song, L.-R.; Zhang, Q.; Zheng, L.-L.; Li, T.-L.; Du, F. Microalgal Culture Collection: Fundamental Platform for Algal Research and Industrial Development. Acta Hydrobiol. Sin. 2020, 44, 1020–1027. (In Chinese) [Google Scholar] [CrossRef]
- Zhang, Y.; Zhang, B.; Wang, X.; Li, J.; Feng, S.; Zhao, Q.; Liu, M.; Qin, B. A study of absorption characteristics of chromophoric dissolved organic matter and particles in Lake Taihu, China. Hydrobiologia 2007, 592, 105–120. [Google Scholar] [CrossRef]
- Jiang, G.J.; Ma, R.H.; Loiselle, S.A.; Duan, H.T.; Su, W.; Cai, W.X.; Huang, C.G.; Yang, J.; Yu, W. Remote sensing of particulate organic carbon dynamics in a eutrophic lake (Taihu Lake, China). Sci. Total Environ. 2015, 532, 245–254. [Google Scholar] [CrossRef]
- Qin, B.; Zhu, G.; Gao, G.; Zhang, Y.; Li, W.; Paerl, H.W.; Carmichael, W.W. A drinking water crisis in Lake Taihu, China: Linkage to climatic variability and lake management. Environ. Manag. 2010, 45, 105–112. [Google Scholar] [CrossRef]
- SL 88-2012; Determination of Water Chlorophyll Spectrophotometric Method. Ministry of Water Resources of China: Beijing, China, 2012. (In Chinese)
- Agberien, A.V.; Örmeci, B. Monitoring of Cyanobacteria in Water Using Spectrophotometry and First Derivative of Absorbance. Water 2020, 12, 124. [Google Scholar] [CrossRef]
- Gitelson, A.A.; Laorawat, S.; Keydan, G.P.; Vonshak, A. Optical properties of dense algal cultures outdoors and their application to remote estimation of biomass and pigment concentration in spirulina platensis (Cyanobacteria). J. Phycol. 1995, 31, 828–834. [Google Scholar] [CrossRef]
- Zhang, L.S.; Zhang, L.F.; Cen, Y.; Wang, S.; Zhang, Y.; Huang, Y.; Sultan, M.; Tong, Q.X. Prediction of Total Phosphorus Concentration in Macrophytic Lakes Using Chlorophyll-Sensitive Bands: A Case Study of Lake Baiyangdian. Remote Sens. 2022, 14, 3077. [Google Scholar] [CrossRef]
- Gitelson, A.A. The peak near 700 nm on radiance spectra of algae and water: Relationships of its magnitude and position with chlorophyll concentration. Int. J. Remote Sens. 1992, 13, 3367–3373. [Google Scholar] [CrossRef]
- Liu, S.; Glamore, W.; Tamburic, B.; Morrow, A.; Johnson, F. Remote sensing to detect harmful algal blooms in inland waterbodies. Sci. Total Environ. 2022, 851, 158096. [Google Scholar] [CrossRef]
- Shin, J.; Lee, G.; Kim, T.; Cho, K.H.; Hong, S.M.; Kwon, D.; Pyo, J.; Cha, Y. Deep learning-based efficient drone-borne sensing of cyanobacterial blooms using a clique-based feature extraction approach. Sci. Total Environ. 2024, 912, 169540. [Google Scholar] [CrossRef]
- Rundquist, D.C.; Schalles, J.F.; Peake, J.S. The response of volume reflectance to manipulated algal concentrations above bright and dark bottoms at various depths in an experimental pool. Geocarto Int. 1995, 10, 5–14. [Google Scholar] [CrossRef]
- Khan, R.M.; Salehi, B.; Mahdianpari, M.; Mohammadimanesh, F.; Mountrakis, G.; Quackenbush, L.J. A Meta-Analysis on Harmful Algal Bloom (HAB) Detection and Monitoring: A Remote Sensing Perspective. Remote Sens. 2021, 13, 4347. [Google Scholar] [CrossRef]
- Gilbert, P.M. Eutrophication, harmful algae and biodiversity—Challenging paradigms in a world of complex nutrient changes. Mar. Pollut. Bull. 2017, 124, 591–606. [Google Scholar] [CrossRef]
- Zhang, Y.; Shi, K.; Cao, Z.; Lai, L.; Geng, J.; Yu, K.; Zhan, P.; Liu, Z. Effects of satellite temporal resolutions on the remote derivation of trends in phytoplankton blooms in inland waters. ISPRS J. Photogramm. Remote Sens. 2022, 191, 188–202. [Google Scholar] [CrossRef]
- Fanxiang, K.; Ma, R.; Junfeng, G.A.O.; Wu, X. The theory and practice of prevention, forecast and warning on cyanobacteria bloom in Lake Taihu. J. Lake Sci. 2009, 21, 314–328. (In Chinese) [Google Scholar] [CrossRef]
- O’Shea, R.E.; Pahlevan, N.; Smith, B.; Bresciani, M.; Egerton, T.; Giardino, C.; Li, L.; Moore, T.; Ruiz-Verdu, A.; Ruberg, S.; et al. Advancing cyanobacteria biomass estimation from hyperspectral observations: Demonstrations with HICO and PRISMA imagery. Remote Sens. Environ. 2021, 266, 112693. [Google Scholar] [CrossRef]
- Randolph, K.; Wilson, J.; Tedesco, L.; Li, L.; Pascual, D.L.; Soyeux, E. Hyperspectral remote sensing of cyanobacteria in turbid productive water using optically active pigments, chlorophyll a and phycocyanin. Remote Sens. Environ. 2008, 112, 4009–4019. [Google Scholar] [CrossRef]
- Yan, Y.N.; Bao, Z.J.; Shao, J.G. Phycocyanin concentration retrieval in inland waters: A comparative review of the remote sensing techniques and algorithms. J. Great Lakes Res. 2018, 44, 748–755. [Google Scholar] [CrossRef]
- Shi, K.; Zhang, Y.L.; Qin, B.Q.; Zhou, B.T. Remote sensing of cyanobacterial blooms in inland waters: Present knowledge and future challenges. Sci. Bull. 2019, 64, 1540–1556. [Google Scholar] [CrossRef]
- Cao, Z.; Ma, R.; Melack, J.M.; Duan, H.; Liu, M.; Kutser, T.; Xue, K.; Shen, M.; Qi, T.; Yuan, H. Landsat observations of chlorophyll-a variations in Lake Taihu from 1984 to 2019. Int. J. Appl. Earth Obs. Geoinf. 2022, 106, 102642. [Google Scholar] [CrossRef]
- Ting, S.; Junyi, Z.; Xuwen, L.; Jiamin, Z.; Jun, H. Cyanobacterial blooms in yellow. J. Lake Sci. 2022, 34, 1384–1391. (In Chinese) [Google Scholar] [CrossRef]
- Tebbs, E.J.; Remedios, J.J.; Harper, D.M. Remote sensing of chlorophyll-a as a measure of cyanobacterial biomass in Lake Bogoria, a hypertrophic, saline-alkaline, flamingo lake, using Landsat ETM. Remote Sens. Environ. 2013, 135, 92–106. [Google Scholar] [CrossRef]
- Matthews, M.W.; Bernard, S.; Robertson, L. An algorithm for detecting trophic status (chlorophyll-a), cyanobacterial-dominance, surface scums and floating vegetation in inland and coastal waters. Remote Sens. Environ. 2012, 124, 637–652. [Google Scholar] [CrossRef]
- Liang, Q.C.; Zhang, Y.C.; Ma, R.H.; Loiselle, S.; Li, J.; Hu, M.Q. A MODIS-Based Novel Method to Distinguish Surface Cyanobacterial Scums and Aquatic Macrophytes in Lake Taihu. Remote Sens. 2017, 9, 33. [Google Scholar] [CrossRef]












| Data Type | |||
|---|---|---|---|
| Hyperspectral Data | Water Samples | ||
| Scenario | Laboratory-based | In situ | Laboratory-based |
| Position | Roof of Liren Building, Fudan University | Gonghu bay of Taihu | Roof of Liren Building, Fudan University |
| Purpose | Spectral analysis | Spectral characteristic verification | Chl-a concentration measurement |
| Time | 2 and 3 October 2014 | 8–10 August 2014 | 2 and 3 October 2014 |
| Methods | ASD FieldSpecFR 350~1000 nm; 651 bands | SL 88-2012 [42] | |
| Date | State | Chl-a Concentration (μg/L) | |||||||
|---|---|---|---|---|---|---|---|---|---|
| 2 October 2014 | Static | 0 | 20.72 | 35.57 | 58.49 | 79.21 | 91.79 | 116.64 | 151.05 |
| 167.08 | 188.99 | 228.85 | 294.49 | 418.23 | 570.83 | 841.23 | 1190.46 | ||
| Disturbed | 0 | 20.72 | 35.57 | 58.49 | 79.21 | 91.79 | 116.64 | 151.05 | |
| 167.08 | 188.99 | 228.85 | 294.49 | 418.23 | 570.83 | 841.23 | 1190.46 | ||
| 3 October 2014 | Static | 85.89 | 184.76 | 324.49 | 444.04 | 577.67 | 727.61 | 983.64 | 995.18 |
| 1134.60 | |||||||||
| Disturbed | 15.31 | 27.79 | 33.51 | 52.29 | 75.33 | 87.34 | 94.18 | 110.66 | |
| 149.40 | 175.05 | 199.62 | 450.90 | ||||||
| Spectral Characteristic Parameters | Formula |
|---|---|
| Peak/valley wavelength | the wavelength corresponding to the first derivative equal to zero (or the extreme point of the reflectivity curve) |
| Peak height/valley depth | |
| Peak/valley area AP and AV | |
| Peak/valley left half area APL and AVL | |
| Peak/valley right half area APR and AVR | |
| Peak/valley symmetry SP and SV | |
| Peak/valley baseline slope KP and KV | |
| Peak–valley distance ΔD near 700 nm | |
| Peak-to-valley depth ratio RDP/V near 700 nm | |
| Peak-to-valley area ratio RAP/V near 700 nm |
| Wavelength (nm) | Spectral Characteristic Parameters | Pearson Correlation Coefficient (r) | |
|---|---|---|---|
| Disturbed | Static | ||
| Peak 550 | Maximum reflectance wavelength | −0.09 | 0.57 |
| Maximum reflectance | 0.93 | 0.91 | |
| Valley 620 | Minimum reflectance wavelength | — | — |
| Minimum reflectance | 0.52 | 0.89 | |
| Valley 680 | Minimum reflectance wavelength | — | — |
| Minimum reflectance | 0.16 | 0.86 | |
| Valley area | 0.97 | 0.94 | |
| Valley left area A1 | 0.78 | 0.92 | |
| Valley right area A1 | 0.98 | 0.94 | |
| Symmetry | −0.67 | −0.61 | |
| Baseline slope | 0.99 | 0.99 | |
| Depth | 0.97 | 0.99 | |
| End wavelength (red edge) | 0.68 | 0.90 | |
| End reflectance | 0.95 | 0.96 | |
| Peak 700 | Maximum reflectance wavelength | 0.77 | 0.86 |
| Maximum reflectance | 0.99 | 0.99 | |
| Peak area | 0.98 | 0.85 | |
| Peak left area A3 | 0.99 | 0.52 | |
| Peak right area A4 | 0.93 | 0.88 | |
| Symmetry | 0.75 | −0.13 | |
| Baseline slope | 1.00 | 0.98 | |
| Height | 0.94 | −0.91 | |
| Peak 810 | Maximum reflectance wavelength | −0.33 | 0.43 |
| Maximum reflectance | 0.99 | 1.00 | |
| Peak 700 vs. Valley 680 | Distance | 0.76 | 0.84 |
| Height/depth ratio | −0.48 | −0.98 | |
| Area ratio | −0.44 | −0.35 | |
| Left/right area ratio (A3/A2) | 0.82 | −0.13 | |
| Model R2 | Disturbed States | Static States | |||||
|---|---|---|---|---|---|---|---|
| Parameters | Exponential Model | Power Model | Linear Model | Exponential Model | Power Model | Linear Model | |
| Valley 680 end reflectance | 0.84 | 0.98 | 0.98 | 0.63 | 0.91 | 0.93 | |
| Valley 680 baseline slope | 0.76 | 0.77 | 0.98 | 0.59 | 0.97 | 0.91 | |
| Valley 680 depth | 0.82 | 0.91 | 0.93 | 0.79 | 0.97 | 0.99 | |
| Peak 700 reflectance | 0.76 | 0.91 | 0.98 | 0.77 | 0.96 | 0.99 | |
| Peak 700 baseline slope | 0.70 | 0.85 | 0.99 | 0.75 | 0.91 | 0.94 | |
| Peak 810 reflectance | 0.73 | 0.91 | 0.98 | 0.76 | 0.96 | 0.99 | |
| Models | Metrics | States | |
|---|---|---|---|
| Disturbed | Static | ||
| (a) Power model of the reflectance at the end of valley 680 | R2 | 0.53 | 0.88 |
| RMSE | 256.33 | 170.80 | |
| (b) Linear model of the baseline slope of valley 680 | R2 | 0.77 | 0.52 |
| RMSE | 164.02 | 563.70 | |
| (c) Linear model the depth of valley 680 | R2 | 0.87 | 0.16 |
| RMSE | 105.71 | 457.78 | |
| (d) Linear model the reflectance at peak 700 | R2 | 0.87 | 0.99 |
| RMSE | 115.01 | 40.55 | |
| (e) Linear model the baseline slope of peak 700 | R2 | 0.99 | 0.87 |
| RMSE | 28.87 | 184.85 | |
| (f) Linear model the reflectance at peak 810 | R2 | 0.91 | 0.99 |
| RMSE | 91.53 | 37.33 | |
| Disturbed State | Static State | |||
|---|---|---|---|---|
| Models | Mean | Standard Deviation | Mean | Standard Deviation |
| (a) Power model of the reflectance at the end of valley 680 | −156.57 | 225.07 | 88.74 | 146.22 |
| (b) Linear model of the baseline slope of valley 680 | −33.27 | 145.84 | −176.72 | 531.97 |
| (c) Linear model the depth of valley 680 | −42.83 | 103.18 | 260.48 | 407.32 |
| (d) Linear model the reflectance at peak 700 | −20.50 | 100.88 | −82.74 | 170.23 |
| (e) Linear model the baseline slope of peak 700 | 6.03 | 26.11 | −73.86 | 185.36 |
| (f) Linear model the reflectance at peak 810 | −24.18 | 83.46 | 13.41 | 36.98 |
Disclaimer/Publisher’s Note: The statements, opinions and data contained in all publications are solely those of the individual author(s) and contributor(s) and not of MDPI and/or the editor(s). MDPI and/or the editor(s) disclaim responsibility for any injury to people or property resulting from any ideas, methods, instructions or products referred to in the content. |
© 2024 by the authors. Licensee MDPI, Basel, Switzerland. This article is an open access article distributed under the terms and conditions of the Creative Commons Attribution (CC BY) license (https://creativecommons.org/licenses/by/4.0/).
Share and Cite
Yu, J.; Zhang, Z.; Lin, Y.; Zhang, Y.; Ye, Q.; Zhou, X.; Wang, H.; Qu, M.; Ren, W. Optimal Hyperspectral Characteristic Parameters Construction and Concentration Retrieval for Inland Water Chlorophyll-a Under Different Motion States. Remote Sens. 2024, 16, 4323. https://doi.org/10.3390/rs16224323
Yu J, Zhang Z, Lin Y, Zhang Y, Ye Q, Zhou X, Wang H, Qu M, Ren W. Optimal Hyperspectral Characteristic Parameters Construction and Concentration Retrieval for Inland Water Chlorophyll-a Under Different Motion States. Remote Sensing. 2024; 16(22):4323. https://doi.org/10.3390/rs16224323
Chicago/Turabian StyleYu, Jie, Zhonghan Zhang, Yi Lin, Yuguan Zhang, Qin Ye, Xuefei Zhou, Hongtao Wang, Mingzhi Qu, and Wenwei Ren. 2024. "Optimal Hyperspectral Characteristic Parameters Construction and Concentration Retrieval for Inland Water Chlorophyll-a Under Different Motion States" Remote Sensing 16, no. 22: 4323. https://doi.org/10.3390/rs16224323
APA StyleYu, J., Zhang, Z., Lin, Y., Zhang, Y., Ye, Q., Zhou, X., Wang, H., Qu, M., & Ren, W. (2024). Optimal Hyperspectral Characteristic Parameters Construction and Concentration Retrieval for Inland Water Chlorophyll-a Under Different Motion States. Remote Sensing, 16(22), 4323. https://doi.org/10.3390/rs16224323

