Machine Learning Enhances Soil Aggregate Stability Mapping for Effective Land Management in a Semi-Arid Region
Abstract
1. Introduction
2. Materials and Methods
2.1. Study Area Description
2.2. Field Study and Laboratory Analysis
2.3. Environmental Covariates
2.4. Environmental Covariate Selection for Modeling Purposes
2.5. Modeling and Mapping Aspects
3. Results and Discussion
3.1. Summary Statistics of Soil Variables and SAS Indices
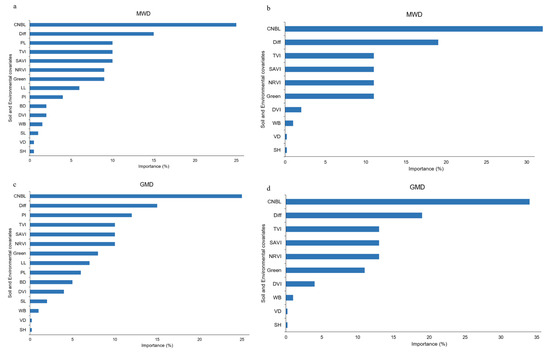
3.2. The Importance of Environmental Covariates and Modeling Performance
3.3. Spatial Prediction and Uncertainty Maps
| Environmental Variables | Source | Abbreviation | Definition | Scorpan Factors | Reference |
|---|---|---|---|---|---|
| Topographic | DEM | CNBL | Channel Network Base Level | Topographic (r) | [54,82,83,84,85] |
| WB | Watershed Basins | Topographic (r) | |||
| VD | Valley Depth | Topographic (r) | |||
| Diff | Diffuse Insolation | Topographic (r) | |||
| SH | Standardized Height | Topographic (r) | |||
| Soil | LAB | BD | Bulk density | Soil (s) | [86] |
| PI | Plasticity Index | Soil (s) | |||
| SL | Shrinkage Limit | Soil (s) | |||
| LL | Liquid Limit | Soil (s) | |||
| PL | Plastic Limit | Soil (s) | |||
| RS indices | Landsat 8 images | NRVI | Normalized Ratio Vegetation Index | Organism (o, s) | [51,87,88,89] |
| Green | Greenness | Organism (o, s) | |||
| DVI | Difference Vegetation Index | Organism (o) | |||
| SAVI | Soil Adjusted Vegetation Index | Organism (o, s) | |||
| TVI | Transformed Vegetation Index | Organism (o) |
| MWD (mm) | GMD (mm) | ||||||
|---|---|---|---|---|---|---|---|
| Scenarios (S) | ML Algorithm | R2 | RMSE | NRMSE | R2 | RMSE | NRMSE |
| S1 (RS + Topographic and Soil covariates) | RF | 0.72 | 0.16 | 0.09 | 0.7 | 0.09 | 0.18 |
| k-NN | 0.63 | 0.19 | 0.11 | 0.62 | 0.07 | 0.14 | |
| S2 (RS + Topographic covariates) | RF | 0.69 | 0.13 | 0.07 | 0.69 | 0.12 | 0.25 |
| k-NN | 0.58 | 0.22 | 0.13 | 0.59 | 0.1 | 0.20 | |
3.4. Strengths and Limitations of the Research
4. Conclusions
Supplementary Materials
Author Contributions
Funding
Data Availability Statement
Acknowledgments
Conflicts of Interest
References
- Barthès, B.; Roose, E. Aggregate Stability as an Indicator of Soil Susceptibility to Runoff and Erosion; Validation at Several Levels. CATENA 2002, 47, 133–149. [Google Scholar] [CrossRef]
- Cantón, Y.; Solé-Benet, A.; De Vente, J.; Boix-Fayos, C.; Calvo-Cases, A.; Asensio, C.; Puigdefábregas, J. A Review of Runoff Generation and Soil Erosion across Scales in Semiarid South-Eastern Spain. J. Arid Environ. 2011, 75, 1254–1261. [Google Scholar] [CrossRef]
- Khosravani, P.; Baghernejad, M.; Moosavi, A.A.; Rezaei, M. Digital Mapping and Spatial Modeling of Some Soil Physical and Mechanical Properties in a Semi-Arid Region of Iran. Environ. Monit. Assess. 2023, 195, 1367. [Google Scholar] [CrossRef]
- Mustafa, A.; Minggang, X.; Ali Shah, S.A.; Abrar, M.M.; Nan, S.; Baoren, W.; Zejiang, C.; Saeed, Q.; Naveed, M.; Mehmood, K.; et al. Soil Aggregation and Soil Aggregate Stability Regulate Organic Carbon and Nitrogen Storage in a Red Soil of Southern China. J. Environ. Manag. 2020, 270, 110894. [Google Scholar] [CrossRef]
- Khanifar, J.; Khademalrasoul, A. Effects of Neighborhood Analysis Window Forms and Derivative Algorithms on the Soil Aggregate Stability—Landscape Modeling. CATENA 2021, 198, 105071. [Google Scholar] [CrossRef]
- Kamamia, A.W.; Vogel, C.; Mwangi, H.M.; Feger, K.-H.; Sang, J.; Julich, S. Mapping Soil Aggregate Stability Using Digital Soil Mapping: A Case Study of Ruiru Reservoir Catchment, Kenya. Geoderma Reg. 2021, 24, e00355. [Google Scholar] [CrossRef]
- Kemper, W.D.; Rosenau, R.C. Aggregate Stability and Size Distribution. In Methods of Soil Analysis; John Wiley & Sons, Ltd.: Hobokoen, NJ, USA, 1986; pp. 425–442. ISBN 978-0-89118-864-3. [Google Scholar]
- Le Bissonnais, Y. Aggregate Stability and Assessment of Soil Crustability and Erodibility: I. Theory and Methodology. Eur. J. Soil Sci. 2016, 67, 11–21. [Google Scholar] [CrossRef]
- Hillel, D. Environmental Soil Physics: Fundamentals, Applications, and Environmental Considerations; Elsevier Science: Amsterdam, The Netherlands, 2014. [Google Scholar]
- Six, J.; Elliott, E.T.; Paustian, K. Soil Macroaggregate Turnover and Microaggregate Formation: A Mechanism for C Sequestration under No-Tillage Agriculture. Soil Biol. Biochem. 2000, 32, 2099–2103. [Google Scholar] [CrossRef]
- Bird, S.B.; Herrick, J.E.; Wander, M.M.; Wright, S.F. Spatial Heterogeneity of Aggregate Stability and Soil Carbon in Semi-Arid Rangeland. Environ. Pollut. 2002, 116, 445–455. [Google Scholar] [CrossRef]
- Gavili, E.; Moosavi, A.A.; Moradi Choghamarani, F. Cattle Manure Biochar Potential for Ameliorating Soil Physical Characteristics and Spinach Response under Drought. Arch. Agron. Soil Sci. 2018, 64, 1714–1727. [Google Scholar] [CrossRef]
- Okolo, C.C.; Gebresamuel, G.; Zenebe, A.; Haile, M.; Eze, P.N. Accumulation of Organic Carbon in Various Soil Aggregate Sizes under Different Land Use Systems in a Semi-Arid Environment. Agric. Ecosyst. Environ. 2020, 297, 106924. [Google Scholar] [CrossRef]
- Mozaffari, H.; Akbar Moosavi, A.; Ostovari, Y.; Cornelis, W. Comparing Visible-Near-Infrared Spectroscopy with Classical Regression Pedotransfer Functions for Predicting Near-Saturated and Saturated Hydraulic Conductivity of Calcareous Soils. J. Hydrol. 2022, 613, 128412. [Google Scholar] [CrossRef]
- Zahedifar, M. Assessing Alteration of Soil Quality, Degradation, and Resistance Indices under Different Land Uses through Network and Factor Analysis. CATENA 2023, 222, 106807. [Google Scholar] [CrossRef]
- Khosravani, P.; Baghernejad, M.; Moosavi, A.A.; FallahShamsi, S.R. Digital Mapping to Extrapolate the Selected Soil Fertility Attributes in Calcareous Soils of a Semiarid Region in Iran. J. Soils Sediments 2023, 23, 4032–4054. [Google Scholar] [CrossRef]
- Wagner, S.; Cattle, S.R.; Scholten, T. Soil-aggregate Formation as Influenced by Clay Content and Organic-matter Amendment. Z. Pflanzenernähr. Bodenk. 2007, 170, 173–180. [Google Scholar] [CrossRef]
- Riveras-Muñoz, N.; Seitz, S.; Witzgall, K.; Rodríguez, V.; Kühn, P.; Mueller, C.W.; Oses, R.; Seguel, O.; Wagner, D.; Scholten, T. Biocrust-Linked Changes in Soil Aggregate Stability along a Climatic Gradient in the Chilean Coastal Range. Soil 2022, 8, 717–731. [Google Scholar] [CrossRef]
- Minasny, B.; McBratney, A.B.; Lark, R.M. Digital Soil Mapping Technologies for Countries with Sparse Data Infrastructures. In Digital Soil Mapping with Limited Data; Hartemink, A.E., McBratney, A., Mendonça-Santos, M.D.L., Eds.; Springer: Dordrecht, The Netherlands, 2008; pp. 15–30. ISBN 978-1-4020-8591-8. [Google Scholar]
- Minasny, B.; McBratney, A.B. Digital Soil Mapping: A Brief History and Some Lessons. Geoderma 2016, 264, 301–311. [Google Scholar] [CrossRef]
- Bouslihim, Y.; Rochdi, A.; Aboutayeb, R.; El Amrani-Paaza, N.; Miftah, A.; Hssaini, L. Soil Aggregate Stability Mapping Using Remote Sensing and GIS-Based Machine Learning Technique. Front. Earth Sci. 2021, 9, 748859. [Google Scholar] [CrossRef]
- Lagacherie, P.; McBratney, A.B. Chapter 1 Spatial Soil Information Systems and Spatial Soil Inference Systems: Perspectives for Digital Soil Mapping. In Developments in Soil Science; Elsevier: Amsterdam, The Netherlands, 2006; Volume 31, pp. 3–22. ISBN 978-0-444-52958-9. [Google Scholar]
- Khanifar, J.; Khademalrasoul, A.; Amerikhah, H. Modelling of soil aggregate stability as an index of soil erodibility using geomorphometric parameters. Agric. Eng. 2020, 43, 49–64. [Google Scholar] [CrossRef]
- Zeraatpisheh, M.; Ayoubi, S.; Mirbagheri, Z.; Mosaddeghi, M.R.; Xu, M. Spatial Prediction of Soil Aggregate Stability and Soil Organic Carbon in Aggregate Fractions Using Machine Learning Algorithms and Environmental Variables. Geoderma Reg. 2021, 27, e00440. [Google Scholar] [CrossRef]
- Khaledian, Y.; Miller, B.A. Selecting Appropriate Machine Learning Methods for Digital Soil Mapping. Appl. Math. Model. 2020, 81, 401–418. [Google Scholar] [CrossRef]
- Browning, D.M.; Duniway, M.C. Digital Soil Mapping in the Absence of Field Training Data: A Case Study Using Terrain Attributes and Semiautomated Soil Signature Derivation to Distinguish Ecological Potential. Appl. Environ. Soil Sci. 2011, 2011, 421904. [Google Scholar] [CrossRef]
- Rezaei, M.; Mousavi, S.R.; Rahmani, A.; Zeraatpisheh, M.; Rahmati, M.; Pakparvar, M.; Jahandideh Mahjenabadi, V.A.; Seuntjens, P.; Cornelis, W. Incorporating Machine Learning Models and Remote Sensing to Assess the Spatial Distribution of Saturated Hydraulic Conductivity in a Light-Textured Soil. Comput. Electron. Agric. 2023, 209, 107821. [Google Scholar] [CrossRef]
- Ayoubi, S.; Mokhtari Karchegani, P.; Mosaddeghi, M.R.; Honarjoo, N. Soil Aggregation and Organic Carbon as Affected by Topography and Land Use Change in Western Iran. Soil Tillage Res. 2012, 121, 18–26. [Google Scholar] [CrossRef]
- Ye, L.; Tan, W.; Fang, L.; Ji, L.; Deng, H. Spatial Analysis of Soil Aggregate Stability in a Small Catchment of the Loess Plateau, China: I. Spatial Variability. Soil Tillage Res. 2018, 179, 71–81. [Google Scholar] [CrossRef]
- Koppen, W. Das Geographische System de Klimate. In Handbuch der Klimatologie; Gebruder Borntraeger: Berlin, Germany, 1936. [Google Scholar]
- Khosravani, P.; Baghernejad, M.; Taghizadeh-Mehrjardi, R.; Mousavi, S.R.; Moosavi, A.A.; Fallah Shamsi, S.R.; Shokati, H.; Kebonye, N.M.; Scholten, T. Assessing the Role of Environmental Covariates and Pixel Size in Soil Property Prediction: A Comparative Study of Various Areas in Southwest Iran. Land 2024, 13, 1309. [Google Scholar] [CrossRef]
- Van Wambeke, A.R. The Newhall Simulation Model for Estimating Soil Moisture and Temperature Regimes. Department of Crop and Soil Sciences, Cornell University: Ithaca, NY, USA, 2000. [Google Scholar]
- Taghizadeh-Mehrjardi, R.; Schmidt, K.; Toomanian, N.; Heung, B.; Behrens, T.; Mosavi, A.; Band, S.S.; Amirian-Chakan, A.; Fathabadi, A.; Scholten, T. Improving the Spatial Prediction of Soil Salinity in Arid Regions Using Wavelet Transformation and Support Vector Regression Models. Geoderma 2021, 383, 114793. [Google Scholar] [CrossRef]
- Taghizadeh-Mehrjardi, R.; Emadi, M.; Cherati, A.; Heung, B.; Mosavi, A.; Scholten, T. Bio-Inspired Hybridization of Artificial Neural Networks: An Application for Mapping the Spatial Distribution of Soil Texture Fractions. Remote Sens. 2021, 13, 1025. [Google Scholar] [CrossRef]
- Mousavi, S.R.; Sarmadian, F.; Angelini, M.E.; Bogaert, P.; Omid, M. Cause-Effect Relationships Using Structural Equation Modeling for Soil Properties in Arid and Semi-Arid Regions. CATENA 2023, 232, 107392. [Google Scholar] [CrossRef]
- Olaya, V.; Conrad, O. Chapter 12 Geomorphometry in SAGA. In Developments in Soil Science; Elsevier: Amsterdam, The Netherlands, 2009; Volume 33, pp. 293–308. ISBN 978-0-12-374345-9. [Google Scholar]
- Kuhn, M.; Johnson, K. A Short Tour of the Predictive Modeling Process. In Applied Predictive Modeling; Springer: Berlin, Germany, 2013; pp. 19–26. [Google Scholar]
- Bouslihim, Y.; John, K.; Miftah, A.; Azmi, R.; Aboutayeb, R.; Bouasria, A.; Razouk, R.; Hssaini, L. The Effect of Covariates on Soil Organic Matter and pH Variability: A Digital Soil Mapping Approach Using Random Forest Model. Ann. GIS 2024, 30, 215–232. [Google Scholar] [CrossRef]
- Suleymanov, A.; Gabbasova, I.; Komissarov, M.; Suleymanov, R.; Garipov, T.; Tuktarova, I.; Belan, L. Random Forest Modeling of Soil Properties in Saline Semi-Arid Areas. Agriculture 2023, 13, 976. [Google Scholar] [CrossRef]
- Van der Westhuizen, S.; Heuvelink, G.B.M.; Hofmeyr, D.P. Multivariate Random Forest for Digital Soil Mapping. Geoderma 2023, 431, 116365. [Google Scholar] [CrossRef]
- Amin, M.E.S.; Abdelfattah, M.A.; Mohamed, E.S.; Nabil, M.; Belal, A.A.; Ahmed, S.; Samir, E.; Mahmoud, A.G. Sentinel-2 Satellite Imagery for Retrieving and Mapping Soil Properties Using Machine Learning. In Applications of Remote Sensing and GIS Based on an Innovative Vision, Proceedings of the First International Conference of Remote Sensing and Space Sciences Applications, Hurghada, Egypt, 8–10 December 2022; Gad, A.A., Elfiky, D., Negm, A., Elbeih, S., Eds.; Springer Nature: Cham, Switzerland, 2023; pp. 281–288. [Google Scholar]
- Emadi, M.; Taghizadeh-Mehrjardi, R.; Cherati, A.; Danesh, M.; Mosavi, A.; Scholten, T. Predicting and Mapping of Soil Organic Carbon Using Machine Learning Algorithms in Northern Iran. Remote Sens. 2020, 12, 2234. [Google Scholar] [CrossRef]
- Mousavi, S.R.; Jahandideh Mahjenabadi, V.A.; Khoshru, B.; Rezaei, M. Spatial Prediction of Winter Wheat Yield Gap: Agro-Climatic Model and Machine Learning Approaches. Front. Plant Sci. 2024, 14, 1309171. [Google Scholar] [CrossRef]
- Breiman, L. Random Forests. Mach. Learn. 2001, 45, 5–32. [Google Scholar] [CrossRef]
- Ließ, M.; Glaser, B.; Huwe, B. Uncertainty in the Spatial Prediction of Soil Texture. Geoderma 2012, 170, 70–79. [Google Scholar] [CrossRef]
- Hengl, T.; Heuvelink, G.B.M.; Kempen, B.; Leenaars, J.G.B.; Walsh, M.G.; Shepherd, K.D.; Sila, A.; MacMillan, R.A.; Mendes De Jesus, J.; Tamene, L.; et al. Mapping Soil Properties of Africa at 250 m Resolution: Random Forests Significantly Improve Current Predictions. PLoS ONE 2015, 10, e0125814. [Google Scholar] [CrossRef]
- Wang, C.; Shi, Y.; Fan, X.; Shao, M. Attribute Reduction Based on K-Nearest Neighborhood Rough Sets. Int. J. Approx. Reason. 2019, 106, 18–31. [Google Scholar] [CrossRef]
- Mousavi, S.R.; Sarmadian, F.; Omid, M.; Bogaert, P. Three-Dimensional Mapping of Soil Organic Carbon Using Soil and Environmental Covariates in an Arid and Semi-Arid Region of Iran. Measurement 2022, 201, 111706. [Google Scholar] [CrossRef]
- Hazelton, P.; Murphy, B. Interpreting Soil Test Results: What Do All the Numbers Mean? 2nd ed.; CSIRO Publishing: Melbourne, VIC, Australia, 2007. [Google Scholar]
- Behrens, T.; Zhu, A.-X.; Schmidt, K.; Scholten, T. Multi-Scale Digital Terrain Analysis and Feature Selection for Digital Soil Mapping. Geoderma 2010, 155, 175–185. [Google Scholar] [CrossRef]
- Tucker, G.E.; Slingerland, R. Drainage Basin Responses to Climate Change. Water Resour. Res. 1997, 33, 2031–2047. [Google Scholar] [CrossRef]
- Schumm, S.A. The Fluvial System. In Applied Fluvial Geomorphology; Hails, J.R., Ed.; Wiley Interscience: New York, NY, USA, 1977. [Google Scholar]
- Parker, R.S. Experimental Study of Drainage Basin Evolution and Its Hydrologic Implications; Colorado State University: Fort Collins, CO, USA, 1977; Volume 90. [Google Scholar]
- Fu, P.; Rich, P.M. A Geometric Solar Radiation Model with Applications in Agriculture and Forestry. Comput. Electron. Agric. 2002, 37, 25–35. [Google Scholar] [CrossRef]
- Schillaci, C.; Acutis, M.; Lombardo, L.; Lipani, A.; Fantappiè, M.; Märker, M.; Saia, S. Spatio-Temporal Topsoil Organic Carbon Mapping of a Semi-Arid Mediterranean Region: The Role of Land Use, Soil Texture, Topographic Indices and the Influence of Remote Sensing Data to Modelling. Sci. Total Environ. 2017, 601–602, 821–832. [Google Scholar] [CrossRef] [PubMed]
- Sabetizade, M.; Gorji, M.; Roudier, P.; Zolfaghari, A.A.; Keshavarzi, A. Combination of MIR Spectroscopy and Environmental Covariates to Predict Soil Organic Carbon in a Semi-Arid Region. CATENA 2021, 196, 104844. [Google Scholar] [CrossRef]
- Forkuor, G.; Hounkpatin, O.K.L.; Welp, G.; Thiel, M. High Resolution Mapping of Soil Properties Using Remote Sensing Variables in South-Western Burkina Faso: A Comparison of Machine Learning and Multiple Linear Regression Models. PLoS ONE 2017, 12, e0170478. [Google Scholar] [CrossRef]
- Mondal, A.; Khare, D.; Kundu, S.; Mondal, S.; Mukherjee, S.; Mukhopadhyay, A. Spatial Soil Organic Carbon (SOC) Prediction by Regression Kriging Using Remote Sensing Data. Egypt. J. Remote Sens. Space Sci. 2017, 20, 61–70. [Google Scholar] [CrossRef]
- Guevara, M.; Arroyo, C.; Brunsell, N.; Cruz, C.O.; Domke, G.; Equihua, J.; Etchevers, J.; Hayes, D.; Hengl, T.; Ibelles, A.; et al. Soil Organic Carbon Across Mexico and the Conterminous United States (1991–2010). Glob. Biogeochem. Cycles 2020, 34, e2019GB006219. [Google Scholar] [CrossRef]
- Taghizadeh-Mehrjardi, R.; Khademi, H.; Khayamim, F.; Zeraatpisheh, M.; Heung, B.; Scholten, T. A Comparison of Model Averaging Techniques to Predict the Spatial Distribution of Soil Properties. Remote Sens. 2022, 14, 472. [Google Scholar] [CrossRef]
- Stavi, I.; Lal, R. Variability of Soil Physical Quality in Uneroded, Eroded, and Depositional Cropland Sites. Geomorphology 2011, 125, 85–91. [Google Scholar] [CrossRef]
- Zhang, P.; Wang, Y.; Xu, L.; Li, R.; Sun, H.; Zhou, J. Factors Controlling Spatial Variation in Soil Aggregate Stability in a Semi-Humid Watershed. Soil Tillage Res. 2021, 214, 105187. [Google Scholar] [CrossRef]
- Zhang, W.-C.; Wu, W.; Li, J.-W.; Liu, H.-B. Climate and Topography Controls on Soil Water-Stable Aggregates at Regional Scale: Independent and Interactive Effects. CATENA 2023, 228, 107170. [Google Scholar] [CrossRef]
- Celik, I. Land-Use Effects on Organic Matter and Physical Properties of Soil in a Southern Mediterranean Highland of Turkey. Soil Tillage Res. 2005, 83, 270–277. [Google Scholar] [CrossRef]
- Eichenberg, D.; Pietsch, K.; Meister, C.; Ding, W.; Yu, M.; Wirth, C. The Effect of Microclimate on Wood Decay Is Indirectly Altered by Tree Species Diversity in a Litterbag Study. J. Plant Ecol. 2017, 10, 170–178. [Google Scholar] [CrossRef]
- Behrens, T.; Schmidt, K.; MacMillan, R.A.; Viscarra Rossel, R.A. Multiscale Contextual Spatial Modelling with the Gaussian Scale Space. Geoderma 2018, 310, 128–137. [Google Scholar] [CrossRef]
- Nsabimana, G.; Bao, Y.; He, X.; Nambajimana, J.D.D.; Wang, M.; Yang, L.; Li, J.; Zhang, S.; Khurram, D. Impacts of Water Level Fluctuations on Soil Aggregate Stability in the Three Gorges Reservoir, China. Sustainability 2020, 12, 9107. [Google Scholar] [CrossRef]
- Millard, K.; Richardson, M. On the Importance of Training Data Sample Selection in Random Forest Image Classification: A Case Study in Peatland Ecosystem Mapping. Remote Sens. 2015, 7, 8489–8515. [Google Scholar] [CrossRef]
- Arabameri, A.; Pradhan, B.; Pourghasemi, H.R.; Rezaei, K.; Kerle, N. Spatial Modelling of Gully Erosion Using GIS and R Programing: A Comparison among Three Data Mining Algorithms. Appl. Sci. 2018, 8, 1369. [Google Scholar] [CrossRef]
- Ostovari, Y.; Moosavi, A.A.; Mozaffari, H.; Poppiel, R.R.; Tayebi, M.; Demattê, J.A.M. Soil Erodibility and Its Influential Factors in the Middle East. In Computers in Earth and Environmental Sciences; Elsevier: Amsterdam, The Netherlands, 2022; pp. 441–454. ISBN 978-0-323-89861-4. [Google Scholar]
- Zhang, W.-C.; Wu, W.; Liu, H.-B. Planting Year- and Climate-Controlled Soil Aggregate Stability and Soil Fertility in the Karst Region of Southwest China. Agronomy 2023, 13, 2962. [Google Scholar] [CrossRef]
- Mikha, M.M.; Green, T.R.; Untiedt, T.J.; Hergret, G.W. Land Management Affects Soil Structural Stability: Multi-Index Principal Component Analyses of Treatment Interactions. Soil Tillage Res. 2024, 235, 105890. [Google Scholar] [CrossRef]
- Spohn, M.; Giani, L. Impacts of Land Use Change on Soil Aggregation and Aggregate Stabilizing Compounds as Dependent on Time. Soil Biol. Biochem. 2011, 43, 1081–1088. [Google Scholar] [CrossRef]
- Six, J.; Bossuyt, H.; Degryze, S.; Denef, K. A History of Research on the Link between (Micro)Aggregates, Soil Biota, and Soil Organic Matter Dynamics. Soil Tillage Res. 2004, 79, 7–31. [Google Scholar] [CrossRef]
- Ayuke, F.O.; Brussaard, L.; Vanlauwe, B.; Six, J.; Lelei, D.K.; Kibunja, C.N.; Pulleman, M.M. Soil Fertility Management: Impacts on Soil Macrofauna, Soil Aggregation and Soil Organic Matter Allocation. Appl. Soil Ecol. 2011, 48, 53–62. [Google Scholar] [CrossRef]
- Milne, R.M.; Haynes, R.J. Soil Organic Matter, Microbial Properties, and Aggregate Stability under Annual and Perennial Pastures. Biol. Fertil. Soils 2004, 39, 172–178. [Google Scholar] [CrossRef]
- Baltensweiler, A.; Walthert, L.; Hanewinkel, M.; Zimmermann, S.; Nussbaum, M. Machine Learning Based Soil Maps for a Wide Range of Soil Properties for the Forested Area of Switzerland. Geoderma Reg. 2021, 27, e00437. [Google Scholar] [CrossRef]
- Shahini Shamsabadi, M.; Esfandiarpour-Broujeni, I.S.A.; Mosleh, Z.; Shirani, H.; Salehi, M.H. Error and Uncertainty Analysis in the Preparation of Thematic Maps using Artificial Neural Network and Environmental Data (A Case Study: Digital Soil Map of Shahrekord Plain). Geog. Environ. Plan. 2019, 30, 23–36. [Google Scholar] [CrossRef]
- Fathololoumi, S.; Vaezi, A.R.; Alavipanah, S.K.; Ghorbani, A.; Saurette, D.; Biswas, A. Improved Digital Soil Mapping with Multitemporal Remotely Sensed Satellite Data Fusion: A Case Study in Iran. Sci. Total Environ. 2020, 721, 137703. [Google Scholar] [CrossRef]
- Rau, K.; Eggensperger, K.; Schneider, F.; Hennig, P.; Scholten, T. How Can We Quantify, Explain, and Apply the Uncertainty of Complex Soil Maps Predicted with Neural Networks? Sci. Total Environ. 2024, 944, 173720. [Google Scholar] [CrossRef]
- Fathizad, H.; Taghizadeh-Mehrjardi, R.; Hakimzadeh Ardakani, M.A.; Zeraatpisheh, M.; Heung, B.; Scholten, T. Spatiotemporal Assessment of Soil Organic Carbon Change Using Machine-Learning in Arid Regions. Agronomy 2022, 12, 628. [Google Scholar] [CrossRef]
- Montgomery, D.R.; Dietrich, W.E. Channel initiation and the problem of landscape scale. Science 1992, 255, 826–830. [Google Scholar] [CrossRef]
- Strahler, A.N. Quantitative analysis of watershed geomorphology. Eos Trans. Am. Geophys. Union 1957, 38, 913–920. [Google Scholar] [CrossRef]
- Schmidt, J.; Hewitt, A. Fuzzy land element classification from DTMs based on geometry and terrain position. Geoderma 2004, 121, 243–256. [Google Scholar] [CrossRef]
- Wilson, J.P.; Gallant, J.C. Secondary Topographic Attributes. Terrain Analysis: Principles and Applications. John Wiley & Sons: New York, NY, USA, 2000; pp. 87–131. [Google Scholar]
- PA 19428-2959; Committee D18 on Soil and Rock Subcommittee D18.04 on Hydrologic Properties and Hydraulic Barriers. Research Report: D18-1018. ASTM: West Conshohocken, PA, USA, 2010.
- Rouse, J.W.; Haas, R.H.; Schell, J.A.; Deering, D.W. Monitoring vegetation systems in the Great Plains with ERTS. NASA Spec. Publ. 1974, 351, 309. [Google Scholar]
- Huete, A.R. A soil-adjusted vegetation index (SAVI). Remote Sens. Environ. 1988, 25, 295–309. [Google Scholar] [CrossRef]
- Gao, B.C. NDWI—A normalized difference water index for remote sensing of vegetation liquid water from space. Remote Sens. Environ. 1996, 58, 257–266. [Google Scholar] [CrossRef]









| Class | MWD (mm) | Stability | Crustability |
|---|---|---|---|
| 1 | <0.4 | Very unstable | Systematic crust formation |
| 2 | 0.4–0.8 | Unstable | Crusting frequent |
| 3 | 0.8–1.3 | Medium | Crusting moderate |
| 4 | 1.3–2.0 | Stable | Crusting rare |
| 5 | >2.0 | Very stable | No crusting |
| Aggregate Stability Indices | Unit | Min | Max | Average | SD | CV (%) |
|---|---|---|---|---|---|---|
| MWD | Mm | 0.24 | 2.25 | 1.64 | 1.01 | 61.5 |
| GMD | Mm | 0.009 | 0.81 | 0.48 | 0.15 | 31.2 |
| BD | g·cm−3 | 0.36 | 1.95 | 1.14 | 0.46 | 40.3 |
| SL | % | 10.1 | 45 | 23.2 | 7.59 | 32.6 |
| PL | 18.6 | 49.2 | 39.4 | 6.04 | 15.3 | |
| LL | 30 | 73 | 53.1 | 9.28 | 17.4 | |
| PI | 2.4 | 31.9 | 14.2 | 5.44 | 38.1 |
Disclaimer/Publisher’s Note: The statements, opinions and data contained in all publications are solely those of the individual author(s) and contributor(s) and not of MDPI and/or the editor(s). MDPI and/or the editor(s) disclaim responsibility for any injury to people or property resulting from any ideas, methods, instructions or products referred to in the content. |
© 2024 by the authors. Licensee MDPI, Basel, Switzerland. This article is an open access article distributed under the terms and conditions of the Creative Commons Attribution (CC BY) license (https://creativecommons.org/licenses/by/4.0/).
Share and Cite
Khosravani, P.; Moosavi, A.A.; Baghernejad, M.; Kebonye, N.M.; Mousavi, S.R.; Scholten, T. Machine Learning Enhances Soil Aggregate Stability Mapping for Effective Land Management in a Semi-Arid Region. Remote Sens. 2024, 16, 4304. https://doi.org/10.3390/rs16224304
Khosravani P, Moosavi AA, Baghernejad M, Kebonye NM, Mousavi SR, Scholten T. Machine Learning Enhances Soil Aggregate Stability Mapping for Effective Land Management in a Semi-Arid Region. Remote Sensing. 2024; 16(22):4304. https://doi.org/10.3390/rs16224304
Chicago/Turabian StyleKhosravani, Pegah, Ali Akbar Moosavi, Majid Baghernejad, Ndiye M. Kebonye, Seyed Roohollah Mousavi, and Thomas Scholten. 2024. "Machine Learning Enhances Soil Aggregate Stability Mapping for Effective Land Management in a Semi-Arid Region" Remote Sensing 16, no. 22: 4304. https://doi.org/10.3390/rs16224304
APA StyleKhosravani, P., Moosavi, A. A., Baghernejad, M., Kebonye, N. M., Mousavi, S. R., & Scholten, T. (2024). Machine Learning Enhances Soil Aggregate Stability Mapping for Effective Land Management in a Semi-Arid Region. Remote Sensing, 16(22), 4304. https://doi.org/10.3390/rs16224304

