Analysis of Land Surface Performance Differences and Uncertainty in Multiple Versions of MODIS LST Products
Abstract
1. Introduction
2. Data and Methods
2.1. Study Data
2.1.1. MODIS LST Products
2.1.2. Ground Measurement Data
2.2. Research Methodology
2.2.1. Cross-Validation Method
2.2.2. T-Based Validation Method
3. Results
3.1. Cross-Validation Results
3.1.1. Overall Performance for the Entire Year
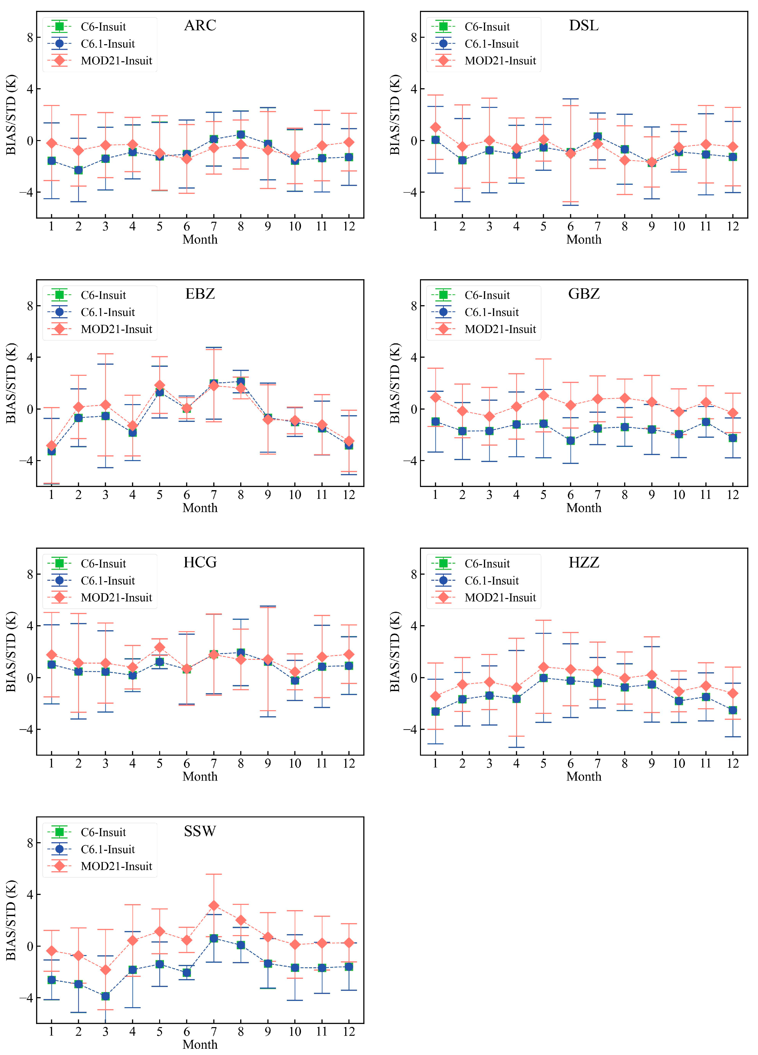
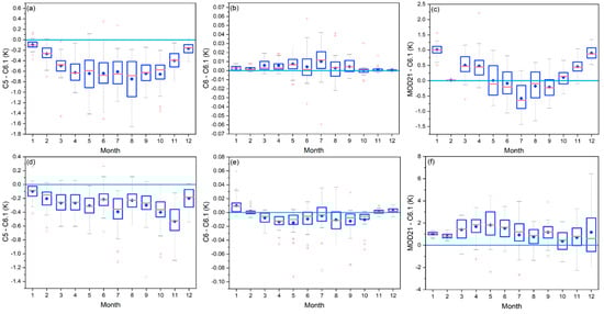
3.1.2. Seasonal Analysis
3.1.3. Spatial Analysis
3.1.4. Long-Term Temporal Stability Comparison
3.2. T-Based Validation Results
3.2.1. Spatial Heterogeneity Analysis
3.2.2. MOD11A1 C5, C6, C6.1 Annual Site Validation
3.2.3. MxD11A1 C6, C6.1, and MxD21A1 C6.1 Annual Site Validation
3.2.4. Seasonal Analysis of MxD11A1 C6, C6.1, and MxD21A1 C6.1
4. Conclusions
Author Contributions
Funding
Data Availability Statement
Conflicts of Interest
References
- Meng, X.; Cheng, J.; Guo, H.; Guo, Y.; Yao, B. Accuracy Evaluation of the Landsat 9 Land Surface Temperature Product. IEEE J. Sel. Top. Appl. Earth Obs. Remote Sens. 2022, 15, 8694–8703. [Google Scholar] [CrossRef]
- Zhao, S.; Cong, D.; He, K.; Yang, H.; Qin, Z. Spatial-Temporal Variation of Drought in China from 1982 to 2010 Based on a modified Temperature Vegetation Drought Index (mTVDI). Sci. Rep. 2017, 7, 17473. [Google Scholar] [CrossRef] [PubMed]
- Rozenstein, O.; Qin, Z.; Derimian, Y.; Karnieli, A. Derivation of Land Surface Temperature for Landsat-8 TIRS Using a Split Window Algorithm. Sensors 2014, 14, 5768–5780. [Google Scholar] [CrossRef] [PubMed]
- Wan, Z.; Wang, P.; Li, X. Using MODIS Land Surface Temperature and Normalized Difference Vegetation Index products for monitoring drought in the southern Great Plains, USA. Int. J. Remote Sens. 2004, 25, 61–72. [Google Scholar] [CrossRef]
- Hu, T.; Renzullo, L.J.; van Dijk, A.I.J.M.; He, J.; Tian, S.; Xu, Z.; Zhou, J.; Liu, T.; Liu, Q. Monitoring agricultural drought in Australia using MTSAT-2 land surface temperature retrievals. Remote Sens. Environ. 2020, 239, 111419. [Google Scholar] [CrossRef]
- Jimenez-Munoz, J.C.; Mattar, C.; Barichivich, J.; Santamaria-Artigas, A.; Takahashi, K.; Malhi, Y.; Sobrino, J.A.; van der Schrier, G. Record-breaking warming and extreme drought in the Amazon rainforest during the course of El Nino 2015–2016. Sci. Rep. 2016, 6, 33130. [Google Scholar] [CrossRef]
- Gao, Y.Y.; Zhu, S.Y.; Zhang, G.X.; Xu, Y.M. Accuracy Evaluation of the FY-4A AGRI Land Surface Temperature Product. IEEE J. Sel. Top. Appl. Earth Obs. Remote Sens. 2023, 16, 9967–9976. [Google Scholar] [CrossRef]
- Lambin, E.F.; Ehrlich, D. Land-cover changes in sub-Saharan Africa (1982–1991): Application of a change index based on remotely sensed surface temperature and vegetation indices at a continental scale. Remote Sens. Environ. 1997, 61, 181–200. [Google Scholar] [CrossRef]
- Xiang, Z.; Qin, H.; He, B.-J.; Han, G.; Chen, M. Heat vulnerability caused by physical and social conditions in a mountainous megacity of Chongqing, China. Sustain. Cities Soc. 2022, 80, 103792. [Google Scholar] [CrossRef]
- Zhao, Z.-Q.; He, B.-J.; Li, L.-G.; Wang, H.-B.; Darko, A. Profile and concentric zonal analysis of relationships between land use/land cover and land surface temperature: Case study of Shenyang, China. Energy Build. 2017, 155, 282–295. [Google Scholar] [CrossRef]
- Zhao, B.; Mao, K.; Cai, Y.; Shi, J.; Li, Z.; Qin, Z.; Meng, X.; Shen, X.; Guo, Z. A combined Terra and Aqua MODIS land surface temperature and meteorological station data product for China from 2003 to 2017. Earth Syst. Sci. Data 2020, 12, 2555–2577. [Google Scholar] [CrossRef]
- Yu, W.; Ma, M.; Wang, X.; Tan, J. Estimating the land-surface temperature of pixels covered by clouds in MODIS products. J. Appl. Remote Sens. 2014, 8, 083525. [Google Scholar] [CrossRef]
- Zhou, J.; Zhang, X.D.; Zhan, W.F.; Göttsche, F.M.; Liu, S.M.; Olesen, F.S.; Hu, W.X.; Dai, F.N. A Thermal Sampling Depth Correction Method for Land Surface Temperature Estimation From Satellite Passive Microwave Observation Over Barren Land. IEEE Trans. Geosci. Remote Sens. 2017, 55, 4743–4756. [Google Scholar] [CrossRef]
- Yu, W.; Tan, J.; Ma, M.; Li, X.; She, X.; Song, Z. An Effective Similar-Pixel Reconstruction of the High-Frequency Cloud-Covered Areas of Southwest China. Remote Sens. 2019, 11, 336. [Google Scholar] [CrossRef]
- Li, Z.L.; Tang, B.H.; Wu, H.; Ren, H.Z.; Yan, G.J.; Wan, Z.M.; Trigo, I.F.; Sobrino, J.A. Satellite-derived land surface temperature: Current status and perspectives. Remote Sens. Environ. 2013, 131, 14–37. [Google Scholar] [CrossRef]
- Qin, Z.; Karnieli, A.; Berliner, P. A mono-window algorithm for retrieving land surface temperature from Landsat TM data and its application to the Israel-Egypt border region. Int. J. Remote Sens. 2001, 22, 3719–3746. [Google Scholar] [CrossRef]
- Meng, X.C.; Li, H.; Du, Y.M.; Cao, B.; Liu, Q.H.; Li, B. Retrieval and validation of the land surface temperature derived from Landsat 8 data: A case study of the Heihe River Basin. J. Remote Sens. 2018, 22, 857–871. [Google Scholar] [CrossRef]
- Han, D.; An, H.; Cai, H.; Wang, F.; Xu, X.; Qiao, Z.; Jia, K.; Sun, Z.; An, Y. How do 2D/3D urban landscapes impact diurnal land surface temperature: Insights from block scale and machine learning algorithms. Sustain. Cities Soc. 2023, 99, 104933. [Google Scholar] [CrossRef]
- Soszynska, A.; Groen, T.; Bonyo, E.; van der Werff, H.; Hewson, R.; Reeves, R.; Hecker, C. Detection of Land Surface Temperature anomalies using ECOSTRESS in Olkaria geothermal field. Remote Sens. Environ. 2024, 305, 114103. [Google Scholar] [CrossRef]
- Ma, J.; Zhou, J.; Goettsche, F.-M.; Liang, S.; Wang, S.; Li, M. A global long-term (1981–2000) land surface temperature product for NOAA AVHRR. Earth Syst. Sci. Data 2020, 12, 3247–3268. [Google Scholar] [CrossRef]
- Guillevic, P.C.; Biard, J.C.; Hulley, G.C.; Privette, J.L.; Hook, S.J.; Olioso, A.; Göttsche, F.M.; Radocinski, R.; Román, M.O.; Yu, Y.Y.; et al. Validation of Land Surface Temperature products derived from the Visible Infrared Imaging Radiometer Suite (VIIRS) using ground-based and heritage satellite measurements. Remote Sens. Environ. 2014, 154, 19–37. [Google Scholar] [CrossRef]
- Huang, Y.; Yu, W.; Xiao, Y.; Song, Z.; Li, D.; Wen, J.; Gong, B.; Ma, M. Spatiotemporal Heterogeneity of Multiple In Situ Observational Sites and Its Site Deployment Optimization Strategy. IEEE Trans. Geosci. Remote Sens. 2023, 61, 5004218. [Google Scholar] [CrossRef]
- Li, H.; Li, R.B.; Yang, Y.K.; Cao, B.; Bian, Z.J.; Hu, T.; Du, Y.M.; Sun, L.; Liu, Q.H. Temperature-Based and Radiance-Based Validation of the Collection 6 MYD11 and MYD21 Land Surface Temperature Products Over Barren Surfaces in Northwestern China. IEEE Trans. Geosci. Remote Sens. 2021, 59, 1794–1807. [Google Scholar] [CrossRef]
- Kustas, W.P.; Norman, J.M. Use of remote sensing for evapotranspiration monitoring over land surfaces. Hydrol. Sci. J.-J. Des Sci. Hydrol. 1996, 41, 495–516. [Google Scholar] [CrossRef]
- Ghent, D.J.; Corlett, G.K.; Göttsche, F.M.; Remedios, J.J. Global Land Surface Temperature From the Along-Track Scanning Radiometers. J. Geophys. Res.-Atmos. 2017, 122, 12167–12193. [Google Scholar] [CrossRef]
- Liang, S.; Cheng, J.; Jia, K.; Jiang, B.; Liu, Q.; Xiao, Z.; Yao, Y.; Yuan, W.; Zhang, X.; Zhao, X.; et al. The Global Land Surface Satellite (GLASS) Product Suite. Bull. Am. Meteorol. Soc. 2021, 102, E323–E337. [Google Scholar] [CrossRef]
- Sekertekin, A.; Bonafoni, S. Land Surface Temperature Retrieval from Landsat 5, 7, and 8 over Rural Areas: Assessment of Different Retrieval Algorithms and Emissivity Models and Toolbox Implementation. Remote Sens. 2020, 12, 294. [Google Scholar] [CrossRef]
- Coll, C.; Wan, Z.; Galve, J.M. Temperature-based and radiance-based validations of the V5 MODIS land surface temperature product. J. Geophys. Res.-Atmos. 2009, 114, D201202. [Google Scholar] [CrossRef]
- Yu, W.; Ma, M.; Yang, H.; Tan, J.; Li, X. Supplement of the radiance-based method to validate satellite-derived land surface temperature products over heterogeneous land surfaces. Remote Sens. Env. 2019, 230, 111188. [Google Scholar] [CrossRef]
- Duan, S.-B.; Li, Z.-L. Intercomparison of Operational Land Surface Temperature Products Derived from MSG-SEVIRI and Terra/Aqua-MODIS Data. IEEE J. Sel. Top. Appl. Earth Obs. Remote Sens. 2015, 8, 4163–4170. [Google Scholar] [CrossRef]
- Qian, Y.G.; Li, Z.L.; Nerry, F. Evaluation of land surface temperature and emissivities retrieved from MSG/SEVIRI data with MODIS land surface temperature and emissivity products. Int. J. Remote Sens. 2013, 34, 3140–3152. [Google Scholar] [CrossRef]
- Yu, W.; Ma, M.; Li, Z.; Tan, J.; Wu, A. New Scheme for Validating Remote-Sensing Land Surface Temperature Products with Station Observations. Remote Sens. 2017, 9, 1210. [Google Scholar] [CrossRef]
- Tang, B.-H.; Shao, K.; Li, Z.-L.; Wu, H.; Nerry, F.; Zhou, G. Estimation and Validation of Land Surface Temperatures from Chinese Second-Generation Polar-Orbit FY-3A VIRR Data. Remote Sens. 2015, 7, 3250–3273. [Google Scholar] [CrossRef]
- Chen, S.; Ren, H.; Liu, R.; Tao, Y.; Zheng, Y.; Liu, H. Mapping Sandy Land Using the New Sand Differential Emissivity Index From Thermal Infrared Emissivity Data. IEEE Trans. Geosci. Remote Sens. 2021, 59, 5464–5478. [Google Scholar] [CrossRef]
- Salomonson, V.V.; Barnes, W.L.; Maymon, P.W.; Montgomery, H.E.; Ostrow, H. Modis—Advanced facility instrument for studies of the earth as a system. IEEE Trans. Geosci. Remote Sens. 1989, 27, 145–153. [Google Scholar] [CrossRef]
- Wan, Z.M. New refinements and validation of the MODIS Land-Surface Temperature/Emissivity products. Remote Sens. Environ. 2008, 112, 59–74. [Google Scholar] [CrossRef]
- Coll, C.; Caselles, V.; Galve, J.M.; Valor, E.; Niclòs, R.; Sánchez, J.M.; Rivas, R. Ground measurements for the validation of land surface temperatures derived from AATSR and MODIS data. Remote Sens. Environ. 2005, 97, 288–300. [Google Scholar] [CrossRef]
- Li, H.; Sun, D.L.; Yu, Y.Y.; Wang, H.Y.; Liu, Y.L.; Liu, Q.H.; Du, Y.M.; Wang, H.S.; Cao, B.A. Evaluation of the VIIRS and MODIS LST products in an arid area of Northwest China. Remote Sens. Environ. 2014, 142, 111–121. [Google Scholar] [CrossRef]
- Wan, Z.M. New refinements and validation of the collection-6 MODIS land-surface temperature/emissivity product. Remote Sens. Environ. 2014, 140, 36–45. [Google Scholar] [CrossRef]
- Yu, W.; Ma, M.; Wang, X.; Geng, L.; Tan, J.; Shi, J. Evaluation of MODIS LST Products Using Longwave Radiation Ground Measurements in the Northern Arid Region of China. Remote Sens. 2014, 6, 11494–11517. [Google Scholar] [CrossRef]
- Duan, S.B.; Li, Z.L.; Li, H.; Göttsche, F.M.; Wu, H.; Zhao, W.; Leng, P.; Zhang, X.; Coll, C. Validation of Collection 6 MODIS land surface temperature product using in situ measurements. Remote Sens. Environ. 2019, 225, 16–29. [Google Scholar] [CrossRef]
- Lu, L.; Zhang, T.J.; Wang, T.J.; Zhou, X.M. Evaluation of Collection-6 MODIS Land Surface Temperature Product Using Multi-Year Ground Measurements in an Arid Area of Northwest China. Remote Sens. 2018, 10, 1852. [Google Scholar] [CrossRef]
- Duan, S.B.; Li, Z.L.; Wu, H.; Leng, P.; Gao, M.F.; Wang, C.G. Radiance-based validation of land surface temperature products derived from Collection 6 MODIS thermal infrared data. Int. J. Appl. Earth Obs. Geoinf. 2018, 70, 84–92. [Google Scholar] [CrossRef]
- Wan, Z.M.; Li, Z.L. A physics-based algorithm for retrieving land-surface emissivity and temperature from EOS/MODIS data. IEEE Trans. Geosci. Remote Sens. 1997, 35, 980–996. [Google Scholar] [CrossRef]
- Wan, Z.M.; Dozier, J. A generalized split-window algorithm for retrieving land-surface temperature from space. IEEE Trans. Geosci. Remote Sens. 1996, 34, 892–905. [Google Scholar] [CrossRef]
- Becker, F.; Li, Z.L. TOWARDS A LOCAL SPLIT WINDOW METHOD OVER LAND SURFACES. Int. J. Remote Sens. 1990, 11, 369–393. [Google Scholar] [CrossRef]
- Galve, J.A.; Coll, C.; Caselles, V.; Valor, E. An atmospheric radiosounding database for generating land surface temperature algorithms. IEEE Trans. Geosci. Remote Sens. 2008, 46, 1547–1557. [Google Scholar] [CrossRef]
- Hulley, G.C.; Hughes, C.G.; Hook, S.J. Quantifying uncertainties in land surface temperature and emissivity retrievals from ASTER and MODIS thermal infrared data. J. Geophys. Res.-Atmos. 2012, 117, D23113. [Google Scholar] [CrossRef]
- Malakar, N.K.; Hulley, G.C. A water vapor scaling model for improved land surface temperature and emissivity separation of MODIS thermal infrared data. Remote Sens. Environ. 2016, 182, 252–264. [Google Scholar] [CrossRef]
- Tonooka, H. Accurate atmospheric correction of ASTER thermal infrared imagery using the WVS method. IEEE Trans. Geosci. Remote Sens. 2005, 43, 2778–2792. [Google Scholar] [CrossRef]
- Hulley, G.C.; Hook, S.J. Generating Consistent Land Surface Temperature and Emissivity Products Between ASTER and MODIS Data for Earth Science Research. IEEE Trans. Geosci. Remote Sens. 2011, 49, 1304–1315. [Google Scholar] [CrossRef]
- Li, X.; Cheng, G.D.; Liu, S.M.; Xiao, Q.; Ma, M.G.; Jin, R.; Che, T.; Liu, Q.H.; Wang, W.Z.; Qi, Y.; et al. Heihe Watershed Allied Telemetry Experimental Research (HiWATER): Scientific Objectives and Experimental Design. Bull. Am. Meteorol. Soc. 2013, 94, 1145–1160. [Google Scholar] [CrossRef]
- Wang, H.; Li, X.; Xiao, J.; Ma, M.; Tan, J.; Wang, X.; Geng, L. Carbon fluxes across alpine, oasis, and desert ecosystems in northwestern China: The importance of water availability. Sci. Total Environ. 2019, 697, 133978. [Google Scholar] [CrossRef] [PubMed]
- Liu, S.; Li, X.; Xu, Z.; Che, T.; Xiao, Q.; Ma, M.; Liu, Q.; Jin, R.; Guo, J.; Wang, L.; et al. The Heihe Integrated Observatory Network: A Basin-Scale Land Surface Processes Observatory in China. Vadose Zone J. 2018, 17, 1–21. [Google Scholar] [CrossRef]
- Meng, X.; Cheng, J.; Zhao, S.; Liu, S.; Yao, Y. Estimating Land Surface Temperature from Landsat-8 Data Using the NOAA JPSS Enterprise Algorithm. Remote Sens. 2019, 11, 155. [Google Scholar] [CrossRef]
- Wang, K.; Liang, S. Evaluation of ASTER and MODIS land surface temperature and emissivity products using long-term surface longwave radiation observations at SURFRAD sites. Remote Sens. Environ. 2009, 113, 1556–1565. [Google Scholar] [CrossRef]
- Göttsche, F.M.; Olesen, F.S.; Bork-Unkelbach, A. Validation of land surface temperature derived from MSG/SEVIRI with in situ measurements at Gobabeb, Namibia. Int. J. Remote Sens. 2013, 34, 3069–3083. [Google Scholar] [CrossRef]
- Pearson, R.K. Outliers in process modeling and identification. IEEE Trans. Control Syst. Technol. 2002, 10, 55–63. [Google Scholar] [CrossRef]
- Davies, L.; Gather, U. THE IDENTIFICATION OF MULTIPLE OUTLIERS—REJOINDER. J. Am. Stat. Assoc. 1993, 88, 797–801. [Google Scholar] [CrossRef]
- Snyder, W.C.; Wan, Z.; Zhang, Y.; Feng, Y.Z. Classification-based emissivity for land surface temperature measurement from space. Int. J. Remote Sens. 1998, 19, 2753–2774. [Google Scholar] [CrossRef]
- Jiménez, C.; Prigent, C.; Catherinot, J.; Rossow, W.; Liang, P.; Moncet, J.L. A comparison of ISCCP land surface temperature with other satellite and in situ observations. J. Geophys. Res.-Atmos. 2012, 117, D08111. [Google Scholar] [CrossRef]
- Malakar, N.K.; Hulley, G.C.; Hook, S.J.; Laraby, K.; Cook, M.; Schott, J.R. An Operational Land Surface Temperature Product for Landsat Thermal Data: Methodology and Validation. IEEE Trans. Geosci. Remote Sens. 2018, 56, 5717–5735. [Google Scholar] [CrossRef]
- Trigo, I.F.; Ermida, S.L.; Martins, J.P.A.; Gouveia, C.M.; Göttsche, F.M.; Freitas, S.C. Validation and consistency assessment of land surface temperature from geostationary and polar orbit platforms: SEVIRI/MSG and AVHRR/Metop. ISPRS J. Photogramm. Remote Sens. 2021, 175, 282–297. [Google Scholar] [CrossRef]
- Pinheiro, A.C.T.; Privette, J.L.; Guillevic, P. Modeling the observed angular anisotropy of land surface temperature in a savanna. IEEE Trans. Geosci. Remote Sens. 2006, 44, 1036–1047. [Google Scholar] [CrossRef]
- Liu, Y.L.; Yu, Y.Y.; Yu, P.; Göttsche, F.M.; Trigo, I.F. Quality Assessment of S-NPP VIIRS Land Surface Temperature Product. Remote Sens. 2015, 7, 12215–12241. [Google Scholar] [CrossRef]
- Simó, G.; García-Santos, V.; Jiménez, M.A.; Martínez-Villagrasa, D.; Picos, R.; Caselles, V.; Cuxart, J. Landsat and Local Land Surface Temperatures in a Heterogeneous Terrain Compared to MODIS Values. Remote Sens. 2016, 8, 849. [Google Scholar] [CrossRef]
- Gillespie, A.; Rokugawa, S.; Matsunaga, T.; Cothern, J.S.; Hook, S.; Kahle, A.B. A temperature and emissivity separation algorithm for Advanced Spaceborne Thermal Emission and Reflection Radiometer (ASTER) images. IEEE Trans. Geosci. Remote Sens. 1998, 36, 1113–1126. [Google Scholar] [CrossRef]
- Michel, J.; Hagolle, O.; Hook, S.J.; Roujean, J.-L.; Gamet, P. Quantifying Thermal Infra-Red directional anisotropy using Master and Landsat-8 simultaneous acquisitions. Remote Sens. Environ. 2023, 297, 113765. [Google Scholar] [CrossRef]
- Xu, Z.; Liu, S.; Li, X.; Shi, S.; Wang, J.; Zhu, Z.; Xu, T.; Wang, W.; Ma, M. Intercomparison of surface energy flux measurement systems used during the HiWATER-MUSOEXE. J. Geophys. Res.-Atmos. 2013, 118, 13140–13157. [Google Scholar] [CrossRef]
- Coll, C.; Galve, J.M.; Niclos, R.; Valor, E.; Jesus Barbera, M. Angular variations of brightness surface temperatures derived from dual-view measurements of the Advanced Along-Track Scanning Radiometer using a new single band atmospheric correction method. Remote Sens. Environ. 2019, 223, 274–290. [Google Scholar] [CrossRef]















| Collections | Method | Site | BIAS | RMSE | References |
|---|---|---|---|---|---|
| MxD11_L2 C5 | R-based | Bare Soil | −1.83 K | / | [36] |
| MxD11_L2 C5 | T-based | HiWATER | −1.41 K | 2.28 K | [38] |
| MxD11_L2 C6 | R-based | Bare Soli | −0.76 K | / | [39] |
| MxD11_L2 C6 | T-based | SURFRAD | −1.96 K | 2.23 K | [42] |
| MxD11_L2 C6 | R-based | Bare Soil | 1.03 K | 1.13 K | [43] |
| MxD11_L2 C6 | T-based | SURFRAD | −1.43 K | 2.5 K | [41] |
| MYD21_L2 C6 | T-based | HiWATER | 0.37 K | 1.7 K | [23] |
| Station | Longitude | Latitude | Altitude | Land Cover | Sensor | Install Height |
|---|---|---|---|---|---|---|
| A’rou superstation (ARC) | 100.464°E | 38.047°N | 3033 m | Alpine meadow | CNR1 | 5 m |
| A’rou sunny slope station (ARS) | 100.5204°E | 38.0898°N | 3529 m | Alpine meadow | CNR1 | 6 m |
| A’rou shade station (ARY) | 100.4108°E | 37.9841°N | 3536 m | Alpine meadow | CNR1 | 6 m |
| Daman superstation (DMZ) | 100.372°E | 38.866°N | 1556 m | Cropland | PSP&PIR | 12 m |
| Dashalong station (DSL) | 98.94°E | 38.840°N | 3739 m | Marsh alpine meadow | CNR1 | 6 m |
| E’bo station (EBZ) | 100.915°E | 37.949°N | 3294 m | Alpine meadow | CNR1 | 6 m |
| Gobi station (GBZ) | 100.3042°E | 38.9150°N | 1567 m | Gobi | CNR1 | 6 m |
| Huangcaogou station (HCG) | 100.731°E | 38.003°N | 3137 m | Alpine meadow | CNR1 | 6 m |
| Huazhaizi desert station (HZZ) | 100.319°E | 38.765°N | 1735 m | Kalidium foliatum desert | CNR1 | 6 m |
| Huangzangsi station (HZS) | 100.1918°E | 38.2254°N | 3529 m | Cropland | CNR1 | 6 m |
| Jingyanglin station (JYL) | 101.116°E | 37.838°N | 3750 m | Alpine meadow | CNR4 | 6 m |
| Wetland station (SDZ) | 100.446°E | 38.975°N | 1460 m | Wetland | CNR1 | 6 m |
| Shenshawo desert station (SSW) | 100.493°E | 38.789°N | 1555 m | Sand desert | CNR1 | 6 m |
| Collections | Spring | Summer | Autumn | Winter |
|---|---|---|---|---|
| C5-C6.1 | 0.65 K | 0.77 K | 0.62 K | 0.22 K |
| C6-C6.1 | 0.01 K | 0.02 K | 0.006 K | 0.003 K |
| MOD21-C6.1 | 0.60 K | 0.62 K | 0.42 K | 0.90 K |
| Collections | Spring | Summer | Autumn | Winter |
|---|---|---|---|---|
| C5-C6.1 | 0.34 K | 0.35 K | 0.49 K | 0.23 K |
| C6-C6.1 | 0.02 K | 0.02 K | 0.003 K | 0.01 K |
| MOD21-C6.1 | 2.03 K | 1.59 K | 1.34 K | 1.69 K |
| Site | C5 | C6 | C6.1 | ||||||
|---|---|---|---|---|---|---|---|---|---|
| R2 | BIAS (K) | RMSE (K) | R2 | BIAS (K) | RMSE (K) | R2 | BIAS (K) | RMSE (K) | |
| ARC | 0.96 | 0.52 | 2.31 | 0.97 | 0.46 | 2.23 | 0.97 | 0.48 | 2.22 |
| EBZ | 0.96 | 1.48 | 1.62 | 0.96 | 1.48 | 1.58 | 0.96 | 1.47 | 1.58 |
| HCG | 0.97 | 1.98 | 1.64 | 0.97 | 1.92 | 1.66 | 0.97 | 1.91 | 1.66 |
| HZZ | 0.93 | 2.06 | 2.69 | 0.93 | 1.16 | 3.19 | 0.93 | 1.16 | 3.17 |
| SSW | 0.85 | −0.10 | 3.13 | 0.85 | −0.62 | 3.19 | 0.84 | −0.63 | 3.20 |
| Mean | 0.93 | 1.19 | 2.28 | 0.94 | 0.88 | 2.37 | 0.93 | 0.88 | 2.37 |
| Site | C5 | C6 | C6.1 | ||||||
|---|---|---|---|---|---|---|---|---|---|
| R2 | BIAS (K) | RMSE (K) | R2 | BIAS (K) | RMSE (K) | R2 | BIAS (K) | RMSE (K) | |
| ARC | 0.99 | −1.29 | 1.09 | 0.99 | −1.31 | 1.10 | 0.99 | −1.29 | 1.09 |
| EBZ | 0.99 | −0.56 | 1.15 | 0.99 | −0.57 | 1.15 | 0.99 | −0.56 | 1.15 |
| HCG | 0.99 | 0.13 | 1.04 | 0.99 | 0.14 | 0.99 | 0.99 | 0.16 | 0.99 |
| HZZ | 0.99 | −1.61 | 0.97 | 0.99 | −1.55 | 0.84 | 0.99 | −1.54 | 0.83 |
| SSW | 0.99 | −2.30 | 1.16 | 0.99 | −2.11 | 0.92 | 0.99 | −2.10 | 0.91 |
| Mean | 0.99 | −1.13 | 1.08 | 0.99 | −1.08 | 1.00 | 0.99 | −1.07 | 0.99 |
| Site | MOD11 C6 | MOD11 C6.1 | MOD21 C6.1 | ||||||
|---|---|---|---|---|---|---|---|---|---|
| R2 | BIAS (K) | RMSE (K) | R2 | BIAS (K) | RMSE (K) | R2 | BIAS (K) | RMSE (K) | |
| ARC | 0.980 | 1.52 | 2.72 | 0.981 | 1.52 | 2.70 | 0.981 | 2.24 | 3.13 |
| DSL | 0.976 | 0.35 | 2.38 | 0.977 | 0.38 | 2.35 | 0.975 | 0.68 | 2.48 |
| EBZ | 0.977 | 1.31 | 2.47 | 0.977 | 1.31 | 2.46 | 0.973 | 1.85 | 2.87 |
| GBZ | 0.995 | −0.31 | 1.37 | 0.995 | −0.33 | 1.39 | 0.995 | 2.12 | 2.70 |
| HCG | 0.983 | 2.12 | 2.81 | 0.983 | 2.10 | 2.80 | 0.971 | 2.82 | 3.76 |
| HZZ | 0.989 | 1.29 | 2.57 | 0.988 | 1.25 | 2.55 | 0.987 | 2.73 | 3.63 |
| SSW | 0.987 | 0.27 | 2.42 | 0.987 | 0.25 | 2.40 | 0.990 | 4.19 | 5.05 |
| Mean | 0.984 | 0.94 | 2.39 | 0.984 | 0.93 | 2.38 | 0.982 | 2.38 | 3.37 |
| Site | MOD11 C6 | MOD11 C6.1 | MOD21 C6.1 | ||||||
|---|---|---|---|---|---|---|---|---|---|
| R2 | BIAS (K) | RMSE (K) | R2 | BIAS (K) | RMSE (K) | R2 | BIAS (K) | RMSE (K) | |
| ARC | 0.991 | −1.20 | 1.91 | 0.991 | −1.19 | 1.90 | 0.990 | −0.73 | 1.59 |
| DSL | 0.993 | −0.32 | 1.37 | 0.993 | −0.31 | 1.36 | 0.992 | 0.15 | 1.37 |
| EBZ | 0.995 | −1.00 | 1.62 | 0.995 | −0.97 | 1.59 | 0.993 | −0.36 | 1.33 |
| GBZ | 0.999 | −1.13 | 1.26 | 0.998 | −1.13 | 1.27 | 0.996 | 0.37 | 0.96 |
| HCG | 0.983 | 0.67 | 2.22 | 0.983 | 0.69 | 2.21 | 0.984 | 1.14 | 2.33 |
| HZZ | 0.994 | −1.34 | 1.59 | 0.994 | −1.32 | 1.57 | 0.993 | −0.08 | 0.96 |
| SSW | 0.997 | −1.96 | 2.13 | 0.997 | −1.92 | 2.08 | 0.995 | 0.22 | 1.06 |
| Mean | 0.993 | −0.90 | 1.73 | 0.993 | −0.88 | 1.71 | 0.992 | 0.10 | 1.37 |
| Site | MYD11 C6 | MYD11 C6.1 | MYD21 C6.1 | ||||||
|---|---|---|---|---|---|---|---|---|---|
| R2 | BIAS (K) | RMSE (K) | R2 | BIAS (K) | RMSE (K) | R2 | BIAS (K) | RMSE (K) | |
| ARC | 0.984 | 1.22 | 2.38 | 0.984 | 1.24 | 2.37 | 0.982 | 1.63 | 2.62 |
| DSL | 0.979 | 0.16 | 2.14 | 0.979 | 0.16 | 2.14 | 0.979 | 0.88 | 2.30 |
| EBZ | 0.981 | 1.49 | 2.45 | 0.981 | 1.50 | 2.45 | 0.977 | 1.97 | 2.92 |
| GBZ | 0.994 | −1.19 | 1.94 | 0.994 | −1.19 | 1.94 | 0.992 | 1.71 | 2.61 |
| HCG | 0.977 | 3.59 | 4.07 | 0.977 | 3.58 | 4.06 | 0.965 | 4.50 | 5.10 |
| HZZ | 0.986 | −0.10 | 2.35 | 0.986 | −0.12 | 2.37 | 0.983 | 1.70 | 3.32 |
| SSW | 0.994 | −0.71 | 1.95 | 0.994 | −0.71 | 1.94 | 0.992 | 2.28 | 3.43 |
| Mean | 0.985 | 0.64 | 2.47 | 0.985 | 0.64 | 2.47 | 0.981 | 2.10 | 3.19 |
| Site | MYD11 C6 | MYD11 C6.1 | MYD21 C6.1 | ||||||
|---|---|---|---|---|---|---|---|---|---|
| R2 | BIAS (K) | RMSE (K) | R2 | BIAS (K) | RMSE (K) | R2 | BIAS (K) | RMSE (K) | |
| ARC | 0.965 | −1.35 | 3.12 | 0.965 | −1.35 | 3.12 | 0.965 | −0.47 | 2.77 |
| DSL | 0.968 | −0.76 | 2.91 | 0.968 | −0.76 | 2.91 | 0.967 | −0.21 | 2.84 |
| EBZ | 0.966 | −0.97 | 3.25 | 0.966 | −0.97 | 3.25 | 0.962 | −0.49 | 3.12 |
| GBZ | 0.977 | −1.69 | 2.74 | 0.977 | −1.69 | 2.74 | 0.980 | 0.12 | 2.10 |
| HCG | 0.965 | 0.51 | 2.94 | 0.965 | 0.51 | 2.94 | 0.964 | 1.16 | 3.10 |
| HZZ | 0.949 | −1.30 | 3.24 | 0.949 | −1.29 | 3.24 | 0.951 | −0.45 | 2.94 |
| SSW | 0.970 | −1.92 | 3.16 | 0.970 | −1.91 | 3.16 | 0.970 | 0.21 | 2.55 |
| Mean | 0.966 | −1.07 | 3.05 | 0.966 | −1.07 | 3.05 | 0.966 | −0.02 | 2.77 |
Disclaimer/Publisher’s Note: The statements, opinions and data contained in all publications are solely those of the individual author(s) and contributor(s) and not of MDPI and/or the editor(s). MDPI and/or the editor(s) disclaim responsibility for any injury to people or property resulting from any ideas, methods, instructions or products referred to in the content. |
© 2024 by the authors. Licensee MDPI, Basel, Switzerland. This article is an open access article distributed under the terms and conditions of the Creative Commons Attribution (CC BY) license (https://creativecommons.org/licenses/by/4.0/).
Share and Cite
Zhao, R.; Yu, W.; Deng, X.; Huang, Y.; Yang, W.; Zhou, W. Analysis of Land Surface Performance Differences and Uncertainty in Multiple Versions of MODIS LST Products. Remote Sens. 2024, 16, 4255. https://doi.org/10.3390/rs16224255
Zhao R, Yu W, Deng X, Huang Y, Yang W, Zhou W. Analysis of Land Surface Performance Differences and Uncertainty in Multiple Versions of MODIS LST Products. Remote Sensing. 2024; 16(22):4255. https://doi.org/10.3390/rs16224255
Chicago/Turabian StyleZhao, Ruoyi, Wenping Yu, Xiangyi Deng, Yajun Huang, Wen Yang, and Wei Zhou. 2024. "Analysis of Land Surface Performance Differences and Uncertainty in Multiple Versions of MODIS LST Products" Remote Sensing 16, no. 22: 4255. https://doi.org/10.3390/rs16224255
APA StyleZhao, R., Yu, W., Deng, X., Huang, Y., Yang, W., & Zhou, W. (2024). Analysis of Land Surface Performance Differences and Uncertainty in Multiple Versions of MODIS LST Products. Remote Sensing, 16(22), 4255. https://doi.org/10.3390/rs16224255
