Full-Waveform Inversion of Two-Parameter Ground-Penetrating Radar Based on Quadratic Wasserstein Distance
Abstract
1. Introduction
2. Methods
2.1. Optimal Transport Problem and Sinkhorn Method
| Algorithm 1. Sinkhorn method |
| While Sinkhorn not converged do |
| End while |
2.2. Multi-Scale Two-Parameter FWI Based on W2
2.3. Convexity Comparison of Objective Functions
3. Numerical Examples
3.1. Example 1: Comparison of Initial Model Dependence
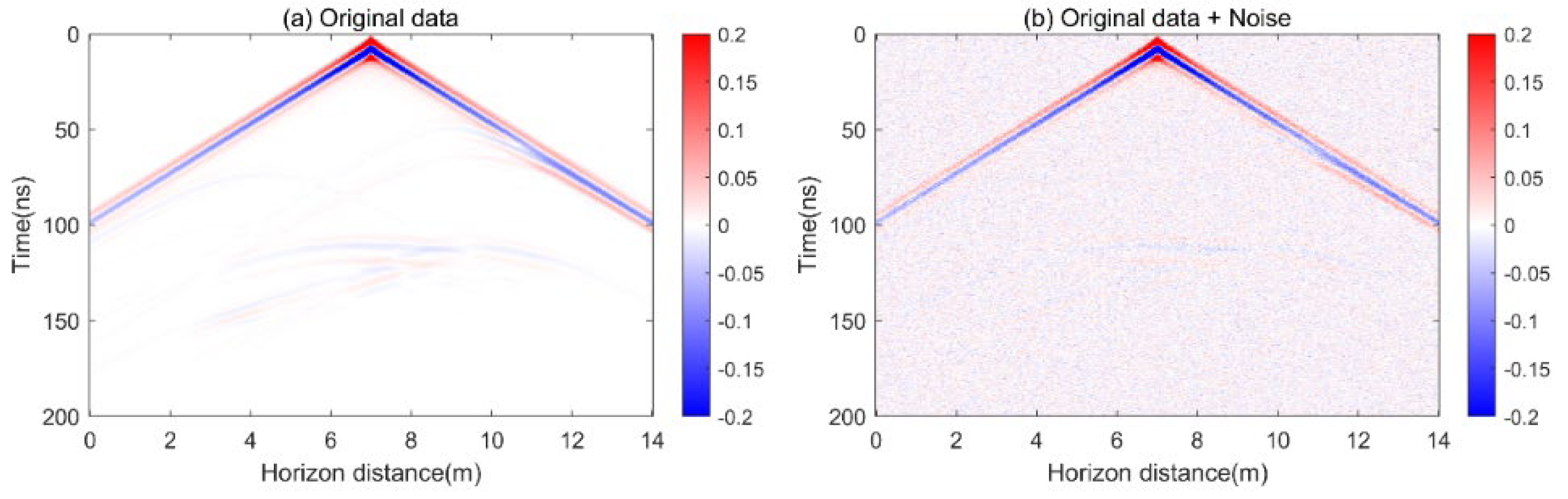
3.2. Example 2: Dependence Analysis of Noise Sensitivity
3.3. Example 3: Comparison of Inversion Accuracy of Complex Models
4. Discussion
5. Conclusions
Author Contributions
Funding
Data Availability Statement
Conflicts of Interest
References
- Irving, J.D.; Knoll, M.D.; Knight, R.J. Improving crosshole radar velocity tomograms: A new approach to incorporating high-angle traveltime data. Geophysics 2007, 72, J31–J41. [Google Scholar] [CrossRef]
- Binley, A.; Winship, P.; Middleton, R.; Pokar, M.; West, J. High-resolution characterization of vadose zone dynamics using cross-borehole radar. Water Resour. Res. 2001, 37, 2639–2652. [Google Scholar] [CrossRef]
- Fisher, E.; McMechan, G.A.; Annan, A.P. Acquisition and processing of wide-aperture ground-penetrating radar data. Geophys. 1992, 57, 495–504. [Google Scholar] [CrossRef]
- Zhong, S.; Wang, Y.; Zheng, Y. Frequency-domain wavefield reconstruction inversion of ground-penetrating radar based on sensitivity analysis. Geophys. Prospect. 2023, 71, 1655–1672. [Google Scholar] [CrossRef]
- Leong, Z.X.; Zhu, T. Direct velocity inversion of ground penetrating radar data using GPRNet. J. Geophys. Res. Solid Earth 2021, 126, e2020JB021047. [Google Scholar] [CrossRef]
- Liu, B.; Ren, Y.; Liu, H.; Xu, H.; Wang, Z.; Cohn, A.G.; Jiang, P. GPRInvNet: Deep learning-based ground-penetrating radar data inversion for tunnel linings. IEEE Trans. Geosci. Remote Sens. 2021, 59, 8305–8325. [Google Scholar] [CrossRef]
- Leeuwen, T.V.; Herrmann, F.J. A penalty method for PDE-constrained optimization in inverse problems. Inverse Probl. 2015, 32, 015007. [Google Scholar] [CrossRef]
- Lavoué, F.; Brossier, R.; Métivier, L.; Garambois, S.; Virieux, J. Two-dimensional permittivity and conductivity imaging by full waveform inversion of multioffset GPR data: A frequency-domain quasi-Newton approach. Geophys. J. Int. 2014, 197, 248–268. [Google Scholar] [CrossRef]
- Plessix, R.E. A review of the adjoint-state method for computing the gradient of a functional with geophysical applications. Geophys. J. Int. 2006, 167, 495–503. [Google Scholar] [CrossRef]
- Liu, D.C.; Nocedal, J. On the limited memory BFGS method for large scale optimization. Math. Program. 1989, 45, 503–528. [Google Scholar] [CrossRef]
- Virieux, J.; Operto, S. An overview of full-waveform inversion in exploration geophysics. Geophysics 2009, 74, WCC1–WCC26. [Google Scholar] [CrossRef]
- Tarantola, A. Inversion of seismic reflection data in the acoustic approximation. Geophysics 1984, 49, 1259–1266. [Google Scholar] [CrossRef]
- Klotzsche, A.; Vereecken, H.; van der Kruk, J. Review of crosshole ground-penetrating radar full-waveform inversion of experimental data: Recent developments, challenges, and pitfalls. Geophysics 2019, 84, H13–H28. [Google Scholar] [CrossRef]
- Meles, G.; Greenhalgh, S.; Van der Kruk, J.; Green, A.; Maurer, H. Taming the non-linearity problem in GPR full-waveform inversion for high contrast media. J. Appl. Geophys. 2012, 78, 31–43. [Google Scholar] [CrossRef]
- Ernst, J.R.; Maurer, H.; Green, A.G.; Holliger, K. Full-waveform inversion of crosshole radar data based on 2-D finite-difference time-domain solutions of Maxwell’s equations. IEEE Trans. Geosci. Remote Sens. 2007, 45, 2807–2828. [Google Scholar] [CrossRef]
- Pratt, R.G.; Shin, C.; Hick, G.J. Gauss–Newton and full Newton methods in frequency–space seismic waveform inversion. Geophys. J. Int. 1998, 133, 341–362. [Google Scholar] [CrossRef]
- Feng, X.; Ren, Q.; Liu, C.; Zhang, X. Joint acoustic full-waveform inversion of crosshole seismic and ground-penetrating radar data in the frequency domain. Geophysics 2017, 82, H41–H56. [Google Scholar] [CrossRef]
- Feng, D.; Ding, S.; Wang, X.; Wang, X. Wavefield reconstruction inversion of GPR data for permittivity and conductivity models in the frequency domain based on modified total variation regularization. IEEE Trans. Geosci. Remote Sens. 2021, 60, 1–14. [Google Scholar] [CrossRef]
- Monge, G. Mémoire Sur la théOrie Des déBlais ET Des Remblais; De l’Imprimerie Royale: Paris, France, 1781; pp. 666–704. [Google Scholar]
- Kantorovich, L.V. On the Translocation of Masses. J. Math. Sci. 2006, 133, 5903314. [Google Scholar] [CrossRef]
- Engquist, B.; Froese, B.D. Application of the Wasserstein metric to seismic signals. Commun. Math. Sci. 2013, 12, 979–988. [Google Scholar] [CrossRef]
- Qiu, L.; Ramos-Martínez, J.; Valenciano, A.; Yang, Y.; Engquist, B. Full-waveform inversion with an exponentially encoded optimal-transport norm. In SEG Technical Program Expanded Abstracts 2017; Society of Exploration Geophysicists: Tulsa, OK, USA, 2017; pp. 1286–1290. [Google Scholar]
- Métivier, L.; Brossier, R.; Mérigot, Q.; Oudet, E.; Virieux, J. Increasing the robustness and applicability of full-waveform inversion: An optimal transport distance strategy. Lead. Edge 2016, 35, 1060–1067. [Google Scholar] [CrossRef]
- Engquist, B.; Froese, B.D.; Yang, Y. Optimal transport for seismic full waveform inversion. Commun. Math. Sci. 2016, 14, 2309–2330. [Google Scholar] [CrossRef]
- Engquist, B.; Yang, Y. Seismic imaging and optimal transport. Not. Int. Consort. Chin. Math. 2020, 8, 27–49. [Google Scholar] [CrossRef]
- Li, D.; Lamoureux, M.P.; Liao, W. Application of an unbalanced optimal transport distance and a mixed L1/Wasserstein distance to full waveform inversion. Geophys. J. Int. 2022, 230, 1338–1357. [Google Scholar] [CrossRef]
- Deng, J.; Zhu, P.; Kofman, W.; Jiang, J.; Yuan, Y.; Hérique, A. Electromagnetic full waveform inversion based on quadratic Wasserstein metric. IEEE Trans. Antennas Propag. 2022, 70, 11934–11945. [Google Scholar] [CrossRef]
- Cuturi, M.; Doucet, A. Fast computation of Wasserstein barycenters. In Proceedings of the International Conference on Machine Learning 2014, Beijing, China, 21–26 June 2014; pp. 685–693. [Google Scholar]
- Cuturi, M. Sinkhorn distances: Lightspeed computation of optimal transport. Adv. Neural Inf. Process. Syst. 2013, 26, 2292-–2300. [Google Scholar]
- Engquist, B.; Yang, Y. Optimal transport based seismic inversion: Beyond cycle skipping. Commun. Pure Appl. Math. 2022, 75, 2201–2244. [Google Scholar] [CrossRef]
- Irving, J.; Knight, R. Numerical modeling of ground-penetrating radar in 2-D using MATLAB. Comput. Geosci. 2006, 32, 1247–1258. [Google Scholar] [CrossRef]
- Yang, Y.; Engquist, B.; Sun, J.; Hamfeldt, B.F. Application of optimal transport and the quadratic Wasserstein metric to full-waveform inversion. Geophysics 2018, 83, R43–R62. [Google Scholar] [CrossRef]

















| Frequency (MHz) | ||||||||||
|---|---|---|---|---|---|---|---|---|---|---|
| 1 | 5 | 10 | 15 | |||||||
| 5 | 10 | 15 | 20 | |||||||
| 10 | 15 | 20 | 25 | |||||||
| 90 | 100 | 110 | 120 | |||||||
Disclaimer/Publisher’s Note: The statements, opinions and data contained in all publications are solely those of the individual author(s) and contributor(s) and not of MDPI and/or the editor(s). MDPI and/or the editor(s) disclaim responsibility for any injury to people or property resulting from any ideas, methods, instructions or products referred to in the content. |
© 2024 by the authors. Licensee MDPI, Basel, Switzerland. This article is an open access article distributed under the terms and conditions of the Creative Commons Attribution (CC BY) license (https://creativecommons.org/licenses/by/4.0/).
Share and Cite
Lu, K.; Wang, Y.; Han, H.; Zhong, S.; Zheng, Y. Full-Waveform Inversion of Two-Parameter Ground-Penetrating Radar Based on Quadratic Wasserstein Distance. Remote Sens. 2024, 16, 4146. https://doi.org/10.3390/rs16224146
Lu K, Wang Y, Han H, Zhong S, Zheng Y. Full-Waveform Inversion of Two-Parameter Ground-Penetrating Radar Based on Quadratic Wasserstein Distance. Remote Sensing. 2024; 16(22):4146. https://doi.org/10.3390/rs16224146
Chicago/Turabian StyleLu, Kai, Yibo Wang, Heting Han, Shichao Zhong, and Yikang Zheng. 2024. "Full-Waveform Inversion of Two-Parameter Ground-Penetrating Radar Based on Quadratic Wasserstein Distance" Remote Sensing 16, no. 22: 4146. https://doi.org/10.3390/rs16224146
APA StyleLu, K., Wang, Y., Han, H., Zhong, S., & Zheng, Y. (2024). Full-Waveform Inversion of Two-Parameter Ground-Penetrating Radar Based on Quadratic Wasserstein Distance. Remote Sensing, 16(22), 4146. https://doi.org/10.3390/rs16224146

