Abstract
The optical remote sensors carried by the Jilin-1 KF02 series satellites have an imaging resolution better than 0.5 m and a width of 150 km. There are radiometric problems, such as stripe noise, vignetting, and inter-slice chromatic aberration, in their raw images. In this paper, a relative radiometric correction method based on temperature normalization is proposed for the response characteristics of sensors and the structural characteristics of optical splicing of Jilin-1 KF02 series satellites cameras. Firstly, a model of temperature effect on sensor output is established to correct the variation of sensor response output digital number (DN) caused by temperature variation during imaging process, and the image is normalized to a uniform temperature reference. Then, the horizontal stripe noise of the image is eliminated by using the sensor scan line and dark pixel information, and the vertical stripe noise of the image is eliminated by using the method of on-orbit histogram statistics. Finally, the method of superposition compensation is used to correct the vignetting area at the edge of the image due to the lack of energy information received by the sensor so as to ensure the consistency of the image in color and image quality. The proposed method is verified by Jilin-1 KF02A on-orbit images. Experimental results show that the image response is uniform, the color is consistent, the average Streak Metrics (SM) is better than 0.1%, Root-Mean-Square Deviation of the Mean Line (RA) and Generalized Noise (GN) are better than 2%, Relative Average Spectral Error (RASE) and Relative Average Spectral Error (ERGAS) are greatly improved, which are better than 5% and 13, respectively, and the relative radiation quality is obviously improved after relative radiation correction.
1. Introduction
The KF02 series satellites are the new generation of coverage satellites of the Jilin-1 constellation. The payload is a sub-meter wide-field camera with an off-axis four-mirror-anastigmat optical system. The whole satellite weighs 230 kg. It can provide users with remote sensing push-broom image products with 150 km width and 0.5 m resolution [1]. It has the characteristics of high resolution, large width, high-speed data transmission, and low cost.
In order to obtain a wide range of high-resolution geographic information more efficiently, the optical remote sensor carried by KF02 series satellites adopt a new high-resolution, high-speed CMOS, and use optical splicing to combine multiple sensors to obtain a larger imaging width [2]. Optical splicing is the main development direction of sensor stitching technology at present. By utilizing the spectroscopic principle of optical elements to form a pair of equal optical path planes, the field of view of the optical system is divided, allowing sensors located at the transmission and reflection planes to connect end-to-end. Input information is received at corresponding positions in each sub-field of view, and a complete image is obtained through subsequent stitching processing. Optical splicing has the advantage of compact structure, which can improve satellite coverage without paying too much cost in volume and weight. Compared with mechanical splicing, there is no splicing gap problem, which has obvious technical advantages [3,4,5,6,7].
In order to ensure the visualization effect of images and the accuracy of relative radiometric correction and improve the signal-to-noise ratio and interpretation ability of images, a relative radiometric correction method based on temperature normalization correction for KF02 is proposed according to the response characteristics of sensors used in KF02 and the structural characteristics of camera optical splicing.
Relative radiometric correction is the process of eliminating or correcting various noises added to the radiation energy output by the sensor during the imaging process, reducing or eliminating the response difference of each detection element of the sensor, and ensuring that the response of the detection element to the input energy is uniform. According to the algorithm principle, the existing relative radiometric correction methods can be divided into the calibration method and mathematical model-based method [8]. Calibration methods include laboratory calibration, on-board calibration, site calibration, cross calibration, yaw calibration, etc. [9,10]. Laboratory calibration uses integrating a sphere as a standard light source to collect camera imaging data under different input radiances, which has high accuracy [11,12]. However, with satellite orbiting, sensor state changes and coefficient validity will gradually decrease [13,14]. On-board calibration can obtain calibration data by responding to the input energy of a built-in standard lamp or sun, which also has high accuracy, but it needs corresponding calibration equipment carried by the satellite, so the cost is high and the calibration device will also have the problem of aging [15,16]. As an alternative calibration method, site calibration can use a wide range of flat terrain and uniform reflectivity scenes as shooting benchmarks, but it is not suitable for large-width cameras because of its strict requirements for shooting locations and weather [17,18]. Cross-calibration uses other satellite images with higher accuracy as reference data, so the cost is low, but there are constraints on the observation geometry conditions and weather conditions of the reference satellite and the satellite to be measured, and similar spectral response intervals are required for matching [19,20]. Yaw calibration can achieve relative radiometric calibration of sensors by rotating the camera 90° so that each sensor can image the same object, but it has higher requirements for satellite maneuverability and imaging attitude stability [21,22,23]. Among the methods based on mathematical models, the common spatial domain statistical methods include histogram matching, moment matching, etc. [24,25]. Based on the statistics of a large amount of sample data, the correlation of gray statistical information between pixels is a more reliable method [26,27]. The frequency domain method is to transform remote sensing images into frequency domains and use different filters to eliminate noise so as to correct image response consistency, mainly including the Mask uniform light method, Retinex variation method, homomorphic filtering method, wavelet transform method, etc. The mask method uses a Gaussian low-pass filter to simulate the brightness distribution of the image as the background image and then subtracts the original uneven illumination image from the background image to achieve the goal of light uniformity [28]. This method is simple and practical and has derived a lot of improved methods [29,30,31,32]. However, essentially, they all rely on low-pass filter to generate a background image. The result depends on the filter design and size parameter selection, which have poor versatility. Moreover, the ideal image obtained is based on background image calculation, depending on the accuracy of background image estimation, not necessarily the optimal result. The Retinex variational method is based on the Retinex theory, using variational optimization technology and projection normalized steepest descent method to solve the illumination distribution at the moment of imaging, and based on this, to correct the gray non-uniformity of remote sensing images [33,34]. The correction effect depends on the setting of penalty coefficients and constraints and may cause color distortion in high dynamic range images. The homomorphic filtering method separates the incident component from the reflected component by establishing a reflection model of illumination, weakens the low-frequency component, enhances the high-frequency component, and eliminates the non-uniform light [35]. However, the assumption of illumination variation may not always hold true, and the selection of filter parameters requires some experience and skills. It is sensitive to noise and has high computational complexity. The wavelet transform method utilizes the directional and multi-scale characteristics of wavelet decomposition to detect and remove strips [30]. However, since it is difficult to completely separate high-frequency ground object information from high-frequency noise, some boundary information of the ground objects may be lost.
Generally speaking, the existing radiation correction methods have their limitations. As a new generation satellite of Jilin-1, KF02 series satellites have unique imaging characteristics, and the existing methods cannot be well applied. Therefore, the relative radiation correction problem needs to be solved urgently for Jilin-1 KF02.
In this paper, considering the response characteristics influenced by temperature and the structural characteristics of optical stitching of the Jilin-1 KF02 series satellite cameras, a relative radiometric correction method based on temperature normalization is proposed. The temperature factor is introduced into the radiometric calibration model of the optical remote sensing camera; the response relationship among pixels is established, and the radiation reference is transferred among sensors by using overlapping area, so that the relative radiometric correction effect of uniform brightness and consistent color can be realized effectively. The main contributions are as follows:
- A complete set of relative radiometric correction methods, including temperature drift correction, noise removal, intra-slice color difference correction, and inter-slice color difference correction, is proposed for the Jilin-1 KF02 series satellites.
- The model of temperature effect on sensor output is established, which can effectively eliminate the change in sensor response caused by a temperature change.
- Using the on-orbit statistical method and using the scan line and dark pixel information at the same time, the horizontal and vertical stripe noise of the image can be effectively removed, and the intra-slice relative radiometric correction can be realized.
- The vignetting area of the image can be corrected by the superposition compensation method, which can effectively recover the vignetting area information and realize global color consistency correction.
- In all kinds of complex ground object scenes, good relative radiometric correction effects can be obtained, and high-quality image products can be obtained.
2. Sensor Imaging Characteristics
Jilin-1 KF02A is the first satellite of the Jilin-1 KF02 series of satellites. On August 25, 2023, it was successfully launched from the Jiuquan Satellite Launch Center with the Ceres-1 Launch Vehicle. Its main parameters are shown in Table 1.
Table 1.
Main parameters of the Jilin-1 KF02A camera.
The imaging characteristics of the sensor can be fully understood by comprehensive measurements of the camera through pre-launch calibrations, so that the relative radiometric correction method can be designed, and the processing accuracy can be improved. Most measurements are more accurate in the laboratory than on-orbit, and accurate determination of these parameters associated with imaging can improve product radiometric processing algorithms and improve radiation measurement accuracy [36].
2.1. Temperature Drift
The heat generated by the sensor during operation leads to an increase in its own temperature [37]. If temperature instability affects the response output of the sensor, there will be differences in the response of the sensor to the same object radiation energy at different temperatures, and Jilin-1 KF02 series satellite camera sensors have this characteristic. This phenomenon will undoubtedly lead to instability in the relative response relationship between detectors, which will bring difficulties to relative radiometric correction of images and affect the absolute accuracy of quantitative inversion of remote sensing image information. As shown in Table 2, it is the sensor temperature and image average digital number (DN) corresponding to different imaging times. The output digital value (column average) of some pixels of the sensor at different temperatures under a certain input radiance is shown in Figure 1a, and the relationship between the digital output value and temperature of different pixels of the sensor under the same input radiance is shown in Figure 1b.
Table 2.
Sensor temperature and image DN under different imaging times.
Figure 1.
Temperature drift characteristics of the sensor. (a) DN of the sensor at different temperatures; (b) DN of some pixels at different temperatures.
2.2. Stripe Noise
In the imaging process of the satellite, affected by the sensor performance, different detectors have different responses to the same object radiation energy, which is represented as vertical stripe noise on the image. The responses of the same detector to the same object radiation energy at different times are also different, which is represented as horizontal stripe noise on the image. In addition, there are obvious differences in response characteristics between adjacent scan lines in the raw panchromatic image of the Jilin-1 KF02 series satellites, which are manifested as horizontal stripes of noise with a period of 2 lines. The existence of these noises covers the real radiation information of the image, directly reduces the quality of the image, and brings difficulties to the subsequent application of remote sensing data. As shown in Figure 2, there are obvious horizontal and vertical stripe noises in the raw panchromatic and multispectral images of Jilin-1 KF02A.
Figure 2.
Stripe noises in level 0 images of Jilin-1 KF02A. (a) Raw panchromatic image; (b) Raw multispectral image.
2.3. Vignetting
In order to meet the imaging requirements of a large field of view, Jilin-1 KF02 series satellites are equipped with multiple sensors for combined imaging, and optical splicing is adopted. Conjugate planes with equal optical paths are formed in the overlapping area through beam splitter prisms. The multiple sensors located on the transmission surface and the reflection surface are overlapped end to end to form continuous image planes. Meanwhile, it can ensure that adjacent sensors image objects located in the overlapping area at the same time to realize seamless splicing.
Because of the existence of the reflector, the overlapping region of the reflection region and the transmission region will be blocked, and the energy at the edge of the sensor will gradually decay, which will form vignetting on the image and lead to the decline of the optical transfer function. In addition, due to the response difference between sensors, the gray distribution between images changes greatly, and there are obvious chromatic aberrations. As shown in Figure 3, the effective imaging area of the sensor can be divided into the normal region and vignetting region. By merging the images of the two sensors based on their imaging relationship, the vignetting region is also the overlapping area of the images formed by the two sensors. In the normal region, there is a noticeable color inconsistency between different columns of the image. In the vignetting region, from the boundary position between the normal region and the vignetting region to the edge of the sensor, the image brightness gradually decreases. At the edge position, the image has no valid information, and the ground objects are completely invisible. Figure 4 shows the original images of Jilin-1 KF02A under different ground object scenes. It can be seen that vignetting and chromatic aberration generally exist in the original images of Jilin-1 KF02A.
Figure 3.
Vignetting and chromatic aberration in a level 0 image of Jilin-1 KF02A.

Figure 4.
Jilin-1 KF02A level 0 images of different ground object scenes. (a) Desert; (b) Vegetation; (c) Coast; (d) City; (e) Mountain; (f) Snow.
3. Methods
In this paper, a relative radiometric correction method based on temperature normalization is adopted. From the perspective of the whole, various factors that make the camera response different are fully considered. Through temperature drift correction, noise removal, and vignetting compensation, the image color consistency correction is carried out. The processing flow is shown in Figure 5. In the laboratory calibration stage, the temperature drift influence model for the sensor response is established by acquiring image data under different input radiances and different temperature conditions, and temperature correction coefficients are calculated. After the satellite is launched, when the image is corrected, firstly, for each sensor, pixels in odd lines and pixels in even lines are split, and the geometric distribution of the image is reconstructed. Then, dark pixels are used to remove horizontal stripe noise of the image. The temperature correction coefficients obtained from the laboratory calibration are used to normalize the temperature of the image, giving it the same temperature reference. On this basis, the histogram matching method [38] is used to calculate the relative radiation correction coefficients and remove the vertical stripe noise of the image. After the intra-slice relative radiometric correction is completed, the split pixels in odd lines and even lines are recombined to restore the original position relationship of the image pixels. For the response relationship between adjacent sensors, the vignetting area is corrected by superposition compensation method, and the color consistency correction between sensors is further realized by the transfer of radiation energy in the overlapping area.
Figure 5.
Workflow of relative radiometric correction method.
3.1. Temperature Normalization
If there is no temperature effect, according to the radiometric calibration theory, the relationship between the sensor output digital value and the radiance at the entrance pupil of the camera can be described as a linear relationship as shown in Equation (1) [36].
where is the Digital Number of the image gray value output by the sensor; is the radiation value at the entrance pupil of the camera in ; is the radiation response coefficient; is the gray value corresponding to dark current.
Under a given input radiance, the effect of temperature on the sensor response output is approximately linear, and the relationship between the sensor output digital value and the sensor temperature at the imaging time can be expressed as Equation (2)
where is the temperature of the sensor at the imaging time in °C, is the gain term of the relationship between image gray value and temperature, and is the bias term.
Therefore, considering the radiance and temperature factors comprehensively, the sensor response model can be established as Equation (3).
where , , , are the influence coefficients of radiance and temperature on sensor response output in the model.
When satellite imaging on-orbit, the camera response to input is unstable at different temperatures due to the temperature rising with the working time. In order to ensure that the remote sensors have a uniform radiation quantification standard, a fixed temperature can be set to correct the change of image gray value caused by temperature change so as to remove the influence of temperature drift.
Assuming that the reference temperature is and the camera temperature at the imaging time is , then the image gray value at temperature and are:
The change in the gray value of the image due to temperature change can be expressed as Equation (6).
In the above formula, model parameters , , , can be calculated by laboratory temperature experiments and are known terms; the temperature is collected by the temperature sensor at a fixed frequency and transmitted as auxiliary data together with the image. The imaging mode of the Jilin-1 KF02 camera is push-broom, and the image line scanning frequency is much higher than the temperature data acquisition frequency. In actual use, since the image takes scene as the correction processing unit, and the imaging time of single scene image is about 2 s, the temperature change is small, and the average value can be taken as the imaging temperature of single scene image. The reference temperature can be arbitrarily selected within the experimental temperature range to ensure the accuracy and applicability of the model parameters calculation. The radiance can be calculated based on the model parameters and the image gray value using Equation (7), as follows:
Based on the above formula, the correction of gray value change caused by unstable imaging temperature can be realized, and the gray value of all images can be unified under a fixed temperature standard, as shown in Equation (8).
In the laboratory radiometric calibration of the Jilin-1 KF02A camera, the integrating sphere is used as light source, the camera imaging parameters are set, the intensity of incident light from the integrating sphere is changed, the camera images continuously at different saturation according to the set imaging time, and the camera output is statistically analyzed. In order to make the amount of experimental data meet the calculation requirements of model parameters, basically covering the response gray range of images to most ground objects, the image data under different radiances have a certain gray interval. Considering the control of production progress in the satellite batch manufacturing process, do not make the experimental period too long, and do not generate excessive redundant data. The selected imaging conditions and the saturation of corresponding spectral bands are shown in Table 3, and the imaging time is set to 600 s. During the experiment, after adjusting the integrating sphere to the selected energy level and maintaining stable output, the image acquisition begins. The acquisition ends after reaching the time, and the sensor temperature is recorded at the same time. After the data acquisition is completed, wait for the sensor temperature to drop back to the initial temperature before proceeding with the next saturation condition experiment.
Table 3.
Temperature calibration experiment conditions and image saturation of corresponding spectral bands.
According to the image data at different temperatures obtained at each energy level, the temperature coefficients , at a corresponding radiance can be obtained by least square fitting according to Equation (2).
Equation (3) can be written as:
So,
That is, the coefficients between image gray value and temperature have linear relationship with input radiance, respectively. According to the and of different radiances calculated in the previous step, the model parameter , , , can be further calculated by linear fitting with the corresponding radiance energy.
Taking a group of temperature drift experiments as an example, the fitting coefficients and of the output gray value and temperature of each detector element in different spectral bands of the sensor are calculated as shown in Figure 6 and Figure 7, in which the odd row pixels and even row pixels in the panchromatic band are regarded as independent detectors for calculation respectively due to their response characteristics difference. It can be seen that there are obvious differences in the changes caused by temperature in different detectors. For the same detector, there are obvious differences in the temperature drift characteristics of odd and even lines in panchromatic bands, while there are certain similarities among the four multispectral bands.
Figure 6.
Fitting results of for each pixel. (a) Panchromatic band; (b) Multispectral bands.
Figure 7.
Fitting results of for each pixel. (a) Panchromatic band; (b) Multispectral bands.
Calculate the linear relationship between temperature drift coefficient , and input radiance of each pixel and evaluate the validity of the model by goodness of fit, as follows:
where is the goodness of fit, the larger the value, the better the fit, and the optimal value is 1. is the Total Sum of Squares, is the Residual Sum of Squares, represents the observed value of the ith sample, 1 ≤ I ≤ m, m is the total number of samples, is the sample average, and represents the model estimate of the ith sample.
Taking a single spectral band as an example, the calculation results of model coefficients , , , and the goodness of fit of and are shown in Figure 8 and Figure 9, respectively. It can be seen that coefficients , are similar to , in shape, which indicates that the difference of temperature influence among different detectors is mainly reflected in the bias term of the model. The coefficients and are the proportional factors that superpose the influence of the radiance on the temperature drift characteristics in and . In the vignetting region, the coefficients and decrease with the decrease of the ratio of the received energy of the sensor, which indicates that the weight of the radiance on the temperature drift characteristics decreases. For the goodness of fit, the higher goodness of fit in the non-vignetting region of the image proves the validity of the model. Although the goodness of fit in the vignetting region decreases, the goodness of fit of and at the middle position of vignetting region can still reach 0.985 and 0.9995. When the goodness of fit decreases to about 0.8 (the boundary of whether the model has a good fit to the data), the ratio of the width from pixel position to edge is less than 20% and 10% relative to vignetting width, which does not affect the radiation reference transfer between adjacent sensors and the image stitching quality.
Figure 8.
Fitting results of model coefficients for each pixel. (a) Coefficient ; (b) Coefficient ; (c) Coefficient ; (d) Coefficient .
Figure 9.
Goodness of fit of the model for each pixel. (a) Goodness of fit of ; (b) Goodness of fit of .
3.2. Noise Removal
For two-dimensional image information, the original input signal of the remote sensor can be recovered truly by establishing the relationship between the response energy of different detector elements and different times of the same detector element through laboratory calibration, and the noise influence on the image in the direction of row and column can be eliminated.
After the sensor outputs are calibrated to the same temperature reference by the model, the change in the sensor output gray value is mainly determined by the input radiation energy. At this time, the response relationship between each detector element and the input energy is stable, that is to say, the relative response relationship between different detectors is stable. On this premise, the histogram matching method can be used to correct the consistency between columns of the image. By counting the histogram cumulative probability density distribution function of each detector, the target histogram is constructed, and the histogram lookup table is generated, as shown in Figure 10. The gray value of the original image is mapped to achieve relative radiometric correction.
Figure 10.
The diagram of the histogram matching method.
For horizontal periodic stripe noise of panchromatic image, it is found that the response of adjacent lines of each detector is obviously different under the same input radiation energy, while the response characteristics of interval lines are the same. As shown in Figure 11, it is the output gray value of odd and even rows of pixels under uniform light imaging conditions in the laboratory respectively. In the figure, dotted lines are used to divide the sensor into normal imaging region, vignetting imaging region, and invalid imaging region. Considering this phenomenon, each pixel element of the sensor can be divided into two sub-pixels, the geometric distribution of the pixel elements can be rearranged, and each sub-pixel element can be regarded as an independent unit with stable response capability, as shown in Figure 12. In this way, by calibrating all sub-pixels to a uniform baseline, differences in response between two sub-pixels of each pixel can be eliminated.
Figure 11.
The average DN curves per column of the sensor at different energy levels. (a) DN of odd row pixels; (b) DN of even row pixels.
Figure 12.
The diagram of pixel distribution transformation relationship.
The horizontal stripes caused by electronic noise belong to random noise and cannot be described by modeling. According to the characteristics that the response output of each pixel at the same time is superimposed with the same electronic noise, it can be removed by using the dark pixels of the sensor. Dark pixels do not sense the input energy so it can be considered that the fluctuation of its output value is completely caused by electronic noise; the gray value of dark pixels contains the effective change information of noise. By calculating the relative change of dark pixels output value at different time and applying it to sensitive pixels of detector, the horizontal random stripe noise can be removed. The correction formula is as follows:
where j is the image row number; is the gray value of the dark pixel in the jth row of the image; is the average gray value of all dark pixels in the row of a single image; and are the gray values of the effective pixels before and after the correction of horizontal random stripe noise.
Select the test image which is not involved in the calculation of correction coefficients in laboratory calibration, firstly correct temperature drift according to the above method, unify the temperature reference, further deduct the dark field response under the reference temperature, and remove the vertical stripe noise caused by the response difference of the detector elements and the horizontal stripe noise caused by electronic noise on the basis of the effective output of the image. Calculate the Signal-to-Noise Ratio (SNR) of the original image and the corrected image according to Equation (16). The results are shown in Table 4.
where is the image mean and is the image standard deviation.
Table 4.
Comparison of SNR results for correction images.
As can be seen from Table 4, in the process of relative radiometric correction of images, each step of processing can effectively improve the uniformity of images. The temperature drift correction normalized the gray value of the image to the reference temperature, which ensured the stability of the relative response relationship between detectors and laid a foundation for subsequent processing. After dark field correction, the SNR of the image is obviously improved, which indicates that the dark field response of each detector is obviously different, which is one of the main factors leading to image nonuniformity. The histogram matching method can effectively remove vertical stripe noise. For panchromatic image, the horizontal periodic stripe noise is also removed due to the splitting of odd and even rows by geometric rearrangement of pixels. Finally, the elimination of horizontal random noise also improves the SNR of the image to some extent. After the relative radiometric correction, the SNR of the final output image is better than 40 dB.
3.3. Vignetting Compensation
In the optical splicing imaging system, the energy received by the sensor edge is gradually weakened due to the shielding of the reflector, and the received energy decreases linearly, forming vignetting at the edge of the image. As shown in Figure 11, the image can be divided into the normal imaging area, vignetting imaging region, and invalid imaging region according to the light reception ratio. For the correction of the vignetting imaging region, since the digital output of each pixel is also linearly related with the input radiance, the correction coefficients of each pixel in the vignetting region can be calculated based on the energy reference of the normal imaging region. But this processing method can only restore the brightness of the vignetting region so that the whole image brightness is consistent. The loss of information received by a single sensor due to the splitting of input light into two sensors cannot be recovered, which will lead to the degradation of imaging quality in the vignetting imaging region. Therefore, a correction method based on superposition compensation of homologous image points is proposed. The overlapping area of adjacent sensors should have the same response output to the same object. Because the input light is divided into two paths, the reception of the single sensor for the same object is incomplete. Combining the energy scattered to two sensors can restore the real object information, keep the homologous image points remain consistent, and make the vignetting area of the image also have a 100% energy response, as shown in Figure 13. In the figure, different colors are used to represent the two sensors, and different shades indicate the percentage of energy received by the sensors. The darker the color, the lower the proportion of energy received by the sensor, and the darker the image brightness. After superposition, the images of vignetting regions of adjacent sensors are consistent. Based on images of vignetting regions, the difference between the non-vignetting region and the vignetting region of each sensor is corrected, and the correction of intra-chip chromatic aberration and inter-chip chromatic aberration is realized.
Figure 13.
The diagram of superposition compensation in vignetting imaging region.
Regardless of the invalid imaging region, assuming that the total number of pixels in the sensor column direction is p and the total number of pixels in the vignetting imaging region is v, the superposition correction formula for the vignetting regions of adjacent sensors is as follows:
where i is the pixel number of the vignetting area, the pixels in the p – v + i column of the left sensor and the pixels in the ith column of the right sensor are homologous image points, and are the original and compensated gray values of the pixels in the vignetting area of the left sensor, and are the original and compensated gray values of the pixels in the vignetting area of the right sensor, respectively.
The vignetting correction method based on superposition compensation of homologous image points is validated by laboratory test data. As shown in Figure 14a, it is the original uncorrected image of the vignetting region, Figure 14b is the result image of the direct coefficient correction method, and Figure 14c is the result image of the superposition compensation correction method. It can be seen that at the edge of the vignetting region, i.e., the region with low energy ratio, the direct coefficient method does not have a good correction effect, while the superposition compensation method can make the image have better consistency in the whole vignetting region. Calculate the SNR of the image, and the results are shown in Table 5. The SNR of the image corrected by the superposition compensation method is better than 44 dB, which is much higher than 23 dB of direct coefficient correction method.
Figure 14.
Comparison of correction effects in vignetting area. (a) Raw image; (b) Direct coefficient correction; (c) Superposition correction.
Table 5.
Comparison of SNR results for correction images in vignetting area.
3.4. Accuracy Assessment Index
Streak Metrics (SM), Root-Mean-Square Deviation of the Mean Line (RA), and Generalized Noise Method (GN) are important indicators for evaluating relative radiometric quality. In this paper, these indexes are used to evaluate and analyze the relative radiometric quality before and after relative radiometric correction.
The Streak Metrics method is used to evaluate the existence of strip by comparing the mean value of a certain pixel column in an image with the mean value of the left and right pixel columns. It is sensitive to the non-uniformity of response among different pixels. Therefore, SM can be used to detect the uniformity of the image, as shown in Equation (18) [39].
where is SM of pixel , , , are average gray values of pixel , , respectively. Because remote sensing image features are generally continuous changes, the image column mean should not appear too obvious changes. The smaller the SM, the better the uniformity of the image.
Root-Mean-Square Deviation of the Mean Line evaluates the relative radiometric quality of an image by averaging a column of gray values from each pixel output to obtain an average row for which nonuniformity is calculated, as shown in Equation (19) [40].
where is the average value of the ith column of the image, is the average gray value of the image, and n is the number of columns of the image. In general, the smaller the , the higher the relative radiometric quality.
Generalized Noise Method is to calculate the ratio of the average of the difference between the average value of each column of the image and the overall average value of the image to the average value of the image, which is used to evaluate the relative radiometric accuracy of the image, as shown in Equation (20) [40].
where is the average value of the ith column of the image; is the average gray value of the image; and n is the number of columns of the image. Similar to , the smaller the , the higher the relative radiometric quality is generally.
Relative Average Spectral Error (RASE) and Relative Global Dimensional Synthesis Error (ERGAS) can be used to evaluate the consistency of spectral information. In this paper, these two indexes are used to evaluate the color consistency of adjacent sensor images of multispectral images before and after relative radiometric correction.
and are defined in Equation (21) and Equation (22) [41], where is expressed as a percentage and has a range of [0, +∞]. The smaller the values of the two indexes, the better the consistency of spectral information of the image and the smaller the color deviation in visual effect.
where L is the number of spectral channels; and RMSE is the root mean square error, calculated as follows:
where , , , and denote the mean gray value and standard deviation of the left and right slice sensors in the spectral band , respectively.
4. Results
4.1. Validation of Model Validity
In order to verify the influence of temperature drift on camera imaging, the on-orbit imaging data of the Jilin-1 KF02A satellite are selected for analysis. If the sensor response is stable, the energy ratio of homologous image points of adjacent sensors should be fixed, i.e., the energy ratio of transmitted light and reflected light of the camera mirror [39]. Therefore, we can calculate the gray ratio of the homologous image points at different times in each column of the image overlap area and observe the change in the energy ratio in the imaging process.
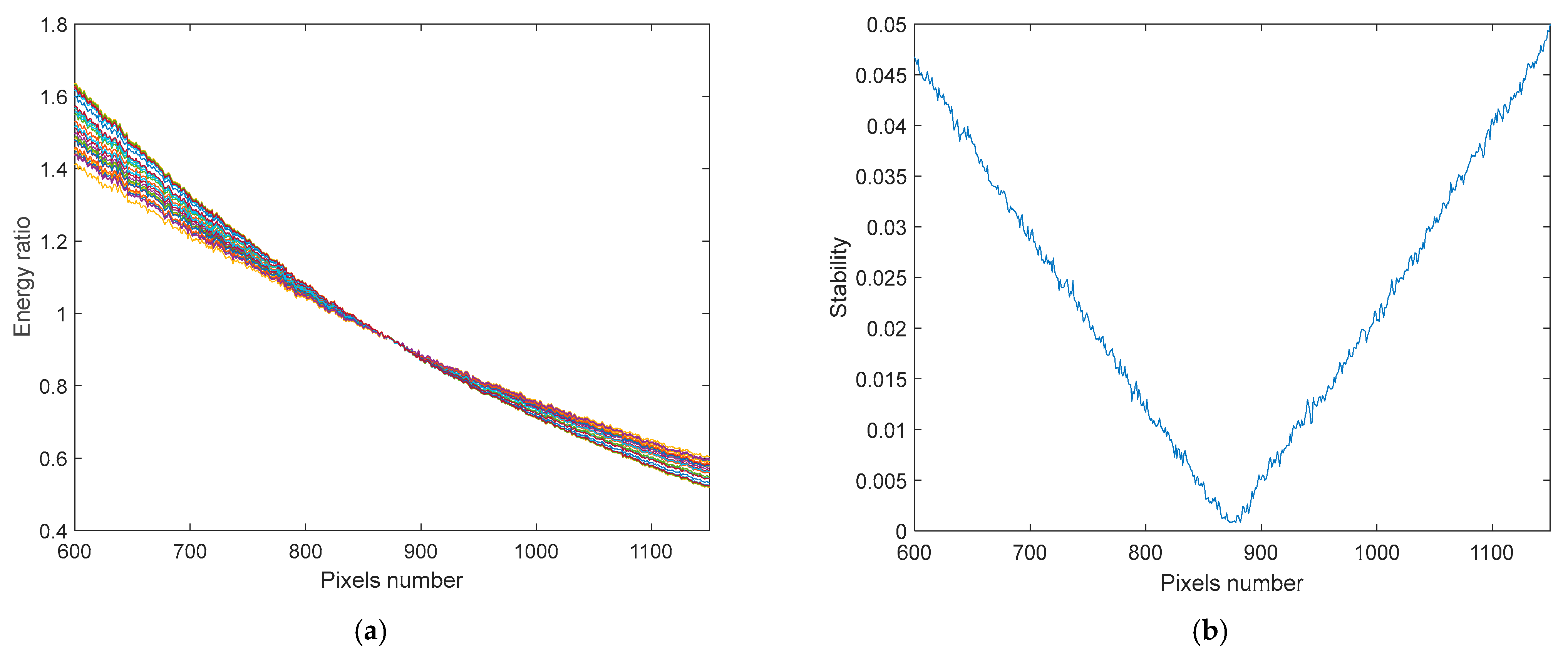
The width of the vignetting area of the Jilin1-KF02A sensor is about 1750 pixels. Due to the weak effective gray value of the low response area at the edge of the vignetting area, the output is dominated by dark field and noise. To avoid affecting the calculation result, the image with 550 pixels width in the middle of the vignetting area is selected to calculate the gray ratio of the homologous image points by selecting the data taken by the Jilin-1 KF02A satellite at 16:30:48 (Beijing time) on 10 November 2023 for target point 46.81E, 30.95N. As shown in Figure 15a, it is the calculation result of the raw image, with different colors representing images divided by different time segments within the imaging task. The sensor temperature gradually increases during the imaging process, and the response energy ratio of the pixels in the middle position of the vignetting area have good stability. The farther away from the middle position of the vignetting area, the larger the fluctuation range of the pixel energy ratio, the worse the stability, as shown in Figure 15b. And this phenomenon is approximately symmetrically distributed on both sides of the middle position. After temperature drift correction is performed on the raw image, the calculation result and corresponding stability of the energy ratio of the homologous image points are shown in Figure 16. It can be seen that after removing the temperature influence, the stability of the response energy ratio of each pixel in the vignetting area is obviously improved.
Figure 15.
The calculation results of the raw image. (a) Response energy ratio; (b) Response stability.
Figure 16.
The calculation results of the temperature normalization image. (a) Response energy ratio; (b) Response stability.
Select 10 groups of on-orbit imaging data covering different object scenes, and calculate the stability mean value of response energy ratio of each pair of homologous image points in the image vignetting area before and after temperature drift correction, as shown in Table 6. During the imaging process of the camera, the response energy ratio of the homologous image points in the vignetting region is not stable due to the temperature change of the sensor and the input radiation energy. However, the stability of the response energy ratio of the homologous image points in the vignetting region is obviously improved after the image is corrected by temperature normalization, which proves the effect of temperature change on the imaging stability of the sensor, and the effectiveness of the temperature influence model and the temperature normalization correction method established in this paper.
Table 6.
Comparison of the stability of energy ratio before and after temperature correction.
4.2. Evaluation of Correction Effect of Vignetting Region
In order to verify the correction effect of the vignetting correction algorithm, select the area with a received energy ratio of 50% to 40% (the lowest energy interval required to ensure radiation transmission between adjacent detector images) in the vignetting region of different ground object scenes, and compare the effect of direct coefficient correction and superposition correction, as shown in Figure 17, Figure 18, Figure 19 and Figure 20. To make the comparison more distinct, each group of images selected a stretching method that could reveal more details of ground features. It can be seen intuitively that both methods can effectively solve the phenomenon of uneven image brightness caused by different receiving energy ratios of sensors, but the image obtained by superposition correction has better definition and SNR. And the lower the percentage of received energy in the vignetting region, the more the original input information is lost, and the more obvious the image quality recovery effect of this method.
Figure 17.
Comparison of correction effects in the vignetting area of vegetation. (a) Direct coefficient correction; (b) Superposition correction.
Figure 18.
Comparison of correction effects in the vignetting area of bare soil. (a) Direct coefficient correction; (b) Superposition correction.
Figure 19.
Comparison of correction effects in the vignetting area of city. (a) Direct coefficient correction; (b) Superposition correction.
Figure 20.
Comparison of correction effects in the vignetting area of desert. (a) Direct coefficient correction; (b) Superposition correction.
Use SNR to evaluate the uniform area of the image. Select uniform objects with a size of 100 × 100 in the areas where the percentage of received energy in the vignetting area of the sensor is 70%~60%, 50%~40%, and 30%~20%, respectively, and calculate the SNR of the images obtained by the two vignetting area correction methods. The results are shown in Table 7. It can be seen that although the SNR test results of different types of objects and different regions of the same kind of objects are different due to the influence of the uniformity of the objects themselves, the corrected images obtained by using the superposition compensation method can obtain better SNR results at different energy percentage positions, and the image quality of different positions of the vignetting area has good consistency. For vignetting images obtained by direct coefficient correction, SNR decreases obviously with the decrease of input energy percentage, which means that the effect of superposition compensation correction on image quality is more obvious in the imaging region with a lower energy percentage.
Table 7.
Comparison of SNR results of different correction methods in the vignetting region.
4.3. Evaluation of Relative Radiation Quality
The method proposed in this paper is used to carry out relative radiometric correction on Jilin-1 KF02A images, and the results are compared with those of the method without temperature normalization correction. Five typical ground object scenes of cities, mountains, deserts, water, and vegetation are selected. The raw images and the corrected images are shown in Figure 21, Figure 22, Figure 23, Figure 24 and Figure 25. It can be seen that the correction method without temperature normalization cannot effectively eliminate the response difference between pixels, especially in the vignetting region. Because the vignetting region is also the overlapping region of adjacent sensors, the inter-slice chromatic aberration problem cannot be removed well. After temperature normalization correction, there is a stable relative response relationship between pixels under the uniform temperature reference, which ensures the validity of correction coefficients. The vignetting region processing method of superposition compensation also ensures that adjacent sensors have the same radiation transfer reference, and good correction results can be obtained.
Figure 21.
Raw and corrected images of a city. (a) Raw image; (b) Corrected without temperature normalization; (c) Corrected using the proposed method.
Figure 22.
Raw and corrected images of a mountain. (a) Raw image; (b) Corrected without temperature normalization; (c) Corrected using the proposed method.
Figure 23.
Raw and corrected images of a desert. (a) Raw image; (b) Corrected without temperature normalization; (c) Corrected using the proposed method.
Figure 24.
Raw and corrected images of water. (a) Raw image; (b) Corrected without temperature normalization; (c) Corrected using the proposed method.
Figure 25.
Raw and corrected images of vegetation. (a) Raw image; (b) Corrected without temperature normalization; (c) Corrected using the proposed method.
Some typical scenes are selected to quantitatively analyze and evaluate the relative radiometric quality of the images. Figure 26 shows the SM of each column of pixels in the image. As shown in Table 8, SM, RA, and GN are calculated by different relative radiometric correction methods under various scenes. After relative radiometric correction, the relative radiometric quality evaluated by RA and GN is better than 2%, and the average SM is better than 0.1%, which is obviously improved compared with the raw image. The result is better than that of the method without temperature normalization correction.
Figure 26.
Comparison of SM calculation results.
Table 8.
Comparison of relative radiometric accuracy indexes of images.
Select the same scene objects on the left and right sensors to quantitatively analyze and evaluate the image color difference. As shown in Table 9, the calculation results of RASE and ERGAS under various scenarios with different relative radiometric correction methods are shown. After relative radiometric correction, the spectral consistency of each region scene is obviously improved compared with the raw image, and better than the result without temperature normalization correction.
Table 9.
Comparison of color consistency accuracy indexes of images.
5. Discussion
However, the method proposed in this paper still has some shortcomings. In conducting the temperature drift experiment, due to the limitations of experimental time and conditions, the number of radiance test groups is insufficient, and the experimental temperature range is not broad enough, leaving room for further improvement in model accuracy. Additionally, since the temperature drift correction method is highly targeted to the characteristics of the sensor, it may not be well suited for the processing of other remote sensing image data and can only provide a certain degree of reference in terms of problem-solving approaches. In the future, other influencing variables could be considered to optimize the model. At the same time, considering that the temperature drift characteristics of sensors may change after the satellite is launched into orbit, further research and discussion on the in-orbit calibration methods of the model could be carried out.
6. Conclusions
According to the imaging characteristics of Jilin-1 KF02 series satellites, a relative radiometric correction method based on temperature normalization is proposed. Firstly, a model of the temperature effect on sensor response is established to correct the variation of the sensor response output gray value caused by temperature variation in imaging process, and the image is normalized to a uniform temperature reference. Then, the horizontal stripe noise of the raw image is eliminated by using the response characteristic difference of the odd and even row detectors and the characterization of dark pixels for time-domain noise. For the vertical stripe noise in the raw image, the histogram statistics method is used to correct it. Finally, the method of superposition compensation is used to correct the vignetting region at the edge of the image due to the lack of energy information received by the sensor so as to ensure the consistency of the image in color and image quality. The original image data captured by the Jilin-1 KF02A satellite on-orbit are selected for experiment and analysis:
- The change in sensor temperature will lead to the change in gray value of its response to input energy, and the change in different detectors affected by temperature is not consistent, which leads to the instability of the relative response relationship between pixels and makes the conventional correction method invalid. The imaging stability of the camera is evaluated by using the relative response energy ratio between the homologous image points of adjacent sensors. After temperature normalization correction, the stability of the response relationship between image pixels at different times is obviously improved, better than 0.5%.
- Because of the incomplete ground reflected energy received by sensors in overlapping areas, the radiation energy in the vignetting area decreases significantly, and the response difference between the vignetting imaging region and the normal imaging region is large, so the image does not have good response uniformity. The correction method based on pixel superposition compensation in the vignetting region of adjacent sensors can effectively recover the lost brightness and texture information of objects in the vignetting region and has better SNR and definition than the method based on direct correction by proportional coefficients. At the position of 40–50% energy percentage in the vignetting region, the average improvement of SNR is better than 1.65 dB.
- The correction results of the proposed method were verified by selecting five different types of feature objects, namely city, mountain, desert, water, and forest, and compared with the correction results without temperature normalization. The results show that the SM distribution is lower, and its average value is better than 0.1%. The relative radiometric accuracy evaluated by RA and GN is better than 2%, and the color consistency between images is improved obviously, with RASE better than 5% and ERGAS better than 13. The relative radiometric correction problem of Jilin-1 KF02 series satellites is effectively solved, and the relative radiometric quality of images is obviously improved.
Author Contributions
Conceptualization, S.H. and S.Y.; methodology, S.H. and Y.B.; validation, Y.S., J.L., and X.Y.; formal analysis, S.H. and S.Y.; investigation, S.H., Y.S., and Y.B.; resources, L.Z. and B.Z.; data curation, H.W. and B.Z.; writing—original draft preparation, S.H.; writing—review and editing, Y.B. and H.W.; visualization, J.L. and X.Y.; project administration, Y.B. and L.Z.; funding acquisition, Y.B. All authors have read and agreed to the published version of the manuscript.
Funding
This research was funded by the Science and Technology Development Program of Jilin Province, China, grant number 20240212002GX.
Data Availability Statement
Restrictions apply to the availability of these data.
Acknowledgments
We are grateful to the anonymous reviewers for their insightful comments.
Conflicts of Interest
All author were employed by the company Chang Guang Satellite Technology Co., Ltd. The authors declare that the research was conducted in the absence of any commercial or financial relationships that could be construed as a potential conflict of interest.
References
- “Jilin-1” KF02A Satellite Successfully Launched. Available online: https://www.thepaper.cn/newsDetail_forward_24410875 (accessed on 29 August 2023).
- Saeed, N.; Guo, S.; Park, K.H.; Al-Naffouri, T.Y.; Alouini, M.S. Optical camera communications: Survey, use cases, challenges, and future trends. Phys. Commun. 2019, 37, 100900. [Google Scholar] [CrossRef]
- Alvarez-Vanhard, E.; Corpetti, T.; Houet, T. UAV & satellite synergies for optical remote sensing applications: A literature review. Sci. Remote Sens. 2021, 3, 1000019. [Google Scholar]
- Jiao, N.; Wang, F.; Chen, B.; Zhu, J.; You, H. Pre-Processing of Inner CCD Image Stitching of the SDGSAT-1 Satellite. Appl. Sci. 2022, 12, 9693. [Google Scholar] [CrossRef]
- Niu, S. Research on Key Techniques of Large-Scale Focal Plane Splicing. Master’s Thesis, University of Chinese Academy of Sciences, Changchun, China, 2023. [Google Scholar]
- Qiu, M.; Ma, W. Optical butting of linear infrared detector array for pushbroom imager. In Proceedings of the Second International Conference on Photonics and Optical Engineering, Xi’an, China, 28 February 2017; Volume 10256. [Google Scholar]
- Liu, H.; Li, S.; Li, X.; Li, B.; Sun, J.; Ren, J. Correction of Vignetting Image for Reflector-based Mosaic CCD Camera. Opto-Electron. Eng. 2015, 42, 9–14. [Google Scholar]
- Zhang, Z.; Zhang, Y. Radiometric correction of BNU-1 wide-swath imagery. J. Beijing Norm. Univ. (Nat. Sci.) 2023, 59, 104–112. [Google Scholar]
- Zhang, G.; Jiang, Y.; Li, L.; Deng, M.; Zhao, R. Research process of high-resolution optical/SAR satellite geometric radiometric calibration. Acta Geod. Cartogr. Sin. 2019, 48, 1604–1623. [Google Scholar]
- Shi, Y.; Jiang, Y.; Li, L.; Yu, L.; Jiang, Y. The Research on normalized radiometric calibration method of optical satellite. J. Geo-Inf. Sci. 2020, 22, 2410–2424. [Google Scholar]
- Zhang, G.; Li, L.; Jiang, Y.; Shen, X.; Li, D. On-Orbit Relative Radiometric Calibration of the Night-Time Sensor of the LuoJia1-01 Satellite. Sensors. 2018, 18, 4225. [Google Scholar] [CrossRef]
- Moghimi, A.; Sarmadian, A.; Mohammadzadeh, A.; Celik, T.; Amani, M.; Kusetogullari, H. Distortion robust relative radiometric normalization of multitemporal and multisensor remote sensing images using image features. IEEE Trans. Geosci. Remote Sens. 2021, 60, 5400820. [Google Scholar] [CrossRef]
- Duan, Y.; Chen, W.; Wang, M.; Yan, L. A Relative Radiometric Correction Method for Airborne Image Using Outdoor Calibration and Image Statistics. IEEE Trans. Geosci. Remote Sens. 2013, 52, 5164–5174. [Google Scholar] [CrossRef]
- Wang, F.; Zhang, W.; Wang, H.; Hou, Q. Influence of motion status on multispectral optical characteristics of satellites. Acta Opt. Sin. 2012, 32, 21–28. [Google Scholar]
- Ma, L.; Wang, N.; Gao, C.; Zhao, Y.; Yang, B.; Wang, X.; Han, Q.; Xu, N.; Song, P.; Liu, Y. On-orbit absolute radiometric calibration for optical remote sensing satellites: Progress and trends. Natl. Remote Sens. Bull. 2023, 27, 1061–1087. [Google Scholar] [CrossRef]
- Wang, W.; Zhang, L.; Si, X.; Huang, W.; Wang, J. On-orbit degradation monitoring technology for solar diffuser reflectance. Acta Opt. Sin. 2019, 39, 373–380. [Google Scholar]
- Helder, D.L.; Basnet, B.; Morstad, D.L. Optimized identification of worldwide radiometric pseudo-invariant calibration sites. Can. J. Remote Sens. 2016, 41, 429–434. [Google Scholar] [CrossRef]
- Jiang, J.; Zhang, Q.; Wang, W.; Wu, Y.; Zheng, H.; Yao, X.; Zhu, Y.; Cao, W.; Cheng, T. MACA: A Relative Radiometric Correction Method for Multiflight Unmanned Aerial Vehicle Images Based on Concurrent Satellite Imagery. IEEE Trans. Geosci. Remote Sens. 2022, 60, 1–14. [Google Scholar] [CrossRef]
- Gao, H.; Gu, X.; Yu, T.; Sun, Y.; Liu, Q. Cross-calibration of GF-1 PMS sensor with Landsat-8 OLI and Terra MODIS. IEEE Trans. Geosci. Remote Sens. 2016, 54, 4847–4854. [Google Scholar] [CrossRef]
- Zhao, Y.; Ma, L.; Li, C.; Gao, C.; Wang, N.; Tang, L. Radiometric Cross-calibration of Landsat-8 OLI and GF-1/PMS sensors using an instrumented sand site. IEEE J. Sel. Top. Appl. Earth Obs. Remote Sens. 2018, 11, 3822–3829. [Google Scholar] [CrossRef]
- Wang, M.; Chen, C.; Pan, J.; Zhu, Y.; Chang, X. A relative radiometric calibration method based on the histogram of side-slither data for high-resolution optical satellite imagery. Remote Sens. 2018, 10, 381. [Google Scholar] [CrossRef]
- Chen, C.; Pan, J.; Wang, M.; Zhu, Y. Side-Slither Data-Based Vignetting Correction of High-Resolution Spaceborne Camera with Optical Focal Plane Assembly. Sensors 2018, 18, 3402. [Google Scholar] [CrossRef]
- Li, L.; Zhang, G.; Jiang, Y.; Shen, X. An improved on-orbit relative radiometric calibration method for agile high-resolution optical remote-sensing satellites with sensor geometric distortion. IEEE Trans. Geosci. Remote Sens. 2022, 60, 5606715. [Google Scholar] [CrossRef]
- Tan, K.C.; Lim, H.S.; MatJafri, M.Z.; Abdullah, K. A comparison of radiometric correction techniques in the evaluation of the relationship between LST and NDVI in Landsat imagery. Environ. Monit. Assess. 2012, 184, 3813–3829. [Google Scholar] [CrossRef] [PubMed]
- Liu, Y.; Long, T.; Jiao, W.; Du, Y.; He, G.; Chen, B.; Huang, P. Automatic segment-wise restoration for wide irregular stripe noise in SDGSAT-1 multispectral data using side-slither data. Egypt. J. Remote Sens. Space Sci. 2023, 26, 747–757. [Google Scholar] [CrossRef]
- Nichol, L.E.; Vohora, V. Noise over water surfaces in Landsat TM images. Int. J. Remote Sens. 2004, 25, 2087. [Google Scholar] [CrossRef]
- Wang, M.; Zhang, B.; Pan, J. Radiometric correction method of TDI-CCD imaging data based on segmentation. Sci. Sin. (Informationis) 2011, 41, 32–41. [Google Scholar] [CrossRef]
- Wang, M.; Pan, J. A Method of Removing the Uneven Illumination for Digital Aerial Image. J. Image Graph. 2004, 9, 744–748. [Google Scholar]
- Li, D.; Wang, M.; Pan, J. Auto-Dodging Processing and Its Application for Optical RS Images. Geomat. Inf. Sci. Wuhan Univ. 2006, 31, 753–756. [Google Scholar]
- Zhang, Z.; Zhu, B.; Zhu, S.; Cao, W. Improved MASK Dodging Method Based on Wavelet. J. Remote Sens. 2009, 13, 1074–1081. [Google Scholar]
- Yuan, X.; Han, Y.; Fang, Y. Improved Mask Dodging Algorithm for Aerial Imagery. J. Remote Sens. 2014, 18, 630–641. [Google Scholar]
- Li, S.; Wang, H.; Wang, L.; Yu, X.; Yang, L. Adaptive dodging method based on variational masks for remote sensing images. J. Remote Sens. 2018, 22, 450–457. [Google Scholar] [CrossRef]
- Li, H.; Shen, H.; Zhang, L.; Li, X. An Uneven Illumination Correction Method based on Variational Retinex for Remote Sensing Image. Acta Geod. Cartogr. Sin. 2010, 39, 585–591. [Google Scholar]
- Jiang, B.; Woodell, G.A.; Jobson, D.J. Novel multi-scale Retinex with color restoration on graphics processing unit. J. Real-Time Image Process. 2015, 10, 239–253. [Google Scholar] [CrossRef]
- Fan, C.; Zhang, F. Homomorphic filtering based illumination normalization method for face recognition. Pattern Recognit. Lett. 2011, 32, 1468–1479. [Google Scholar] [CrossRef]
- Gu, X.; Tian, G.; Yu, T.; Li, X.; Gao, H.; Xie, Y. Principle and Method of Radiometric Calibration for Space Optical Remote Sensor, 1st ed.; Science Press: Beijing, China, 2013; pp. 2+128–129. [Google Scholar]
- Cai, J.; Dong, M.; Sun, P.; Yan, B. Model and compensation method of image point drift caused by self-heating of industrial camera. Infrared Laser Eng. 2021, 50, 20200494. [Google Scholar]
- Horn, B.K.P.; Woodham, R.J. Destriping Landsat MSS images by histogram modification. Comput. Graph. Image Process. 1979, 10, 69–83. [Google Scholar] [CrossRef]
- Fan, L.; Yu, S.; Zhong, X.; Chen, M.; Wang, D.; Cao, J.; Cai, X. A General Relative Radiometric Correction Method for Vignetting Noise Drift. Remote Sens. 2023, 15, 5129. [Google Scholar] [CrossRef]
- Hu, Y.; Zhang, Y. Analysis of Relative Radiometric Calibration Accuracy of Space Camera. Spacearaft Recovery Remote Sens. 2007, 28, 54–57. [Google Scholar]
- Wald, L. Data Fusion: Definitions and Architectures-Fusion of Images of Different Spatial Resolutions; Les Presses de l’Ecole des Mines: Paris, France, 2002; pp. 160–161. [Google Scholar]
Disclaimer/Publisher’s Note: The statements, opinions and data contained in all publications are solely those of the individual author(s) and contributor(s) and not of MDPI and/or the editor(s). MDPI and/or the editor(s) disclaim responsibility for any injury to people or property resulting from any ideas, methods, instructions or products referred to in the content. |
© 2024 by the authors. Licensee MDPI, Basel, Switzerland. This article is an open access article distributed under the terms and conditions of the Creative Commons Attribution (CC BY) license (https://creativecommons.org/licenses/by/4.0/).