Relative Radiometric Normalization for the PlanetScope Nanosatellite Constellation Based on Sentinel-2 Images
Abstract
1. Introduction
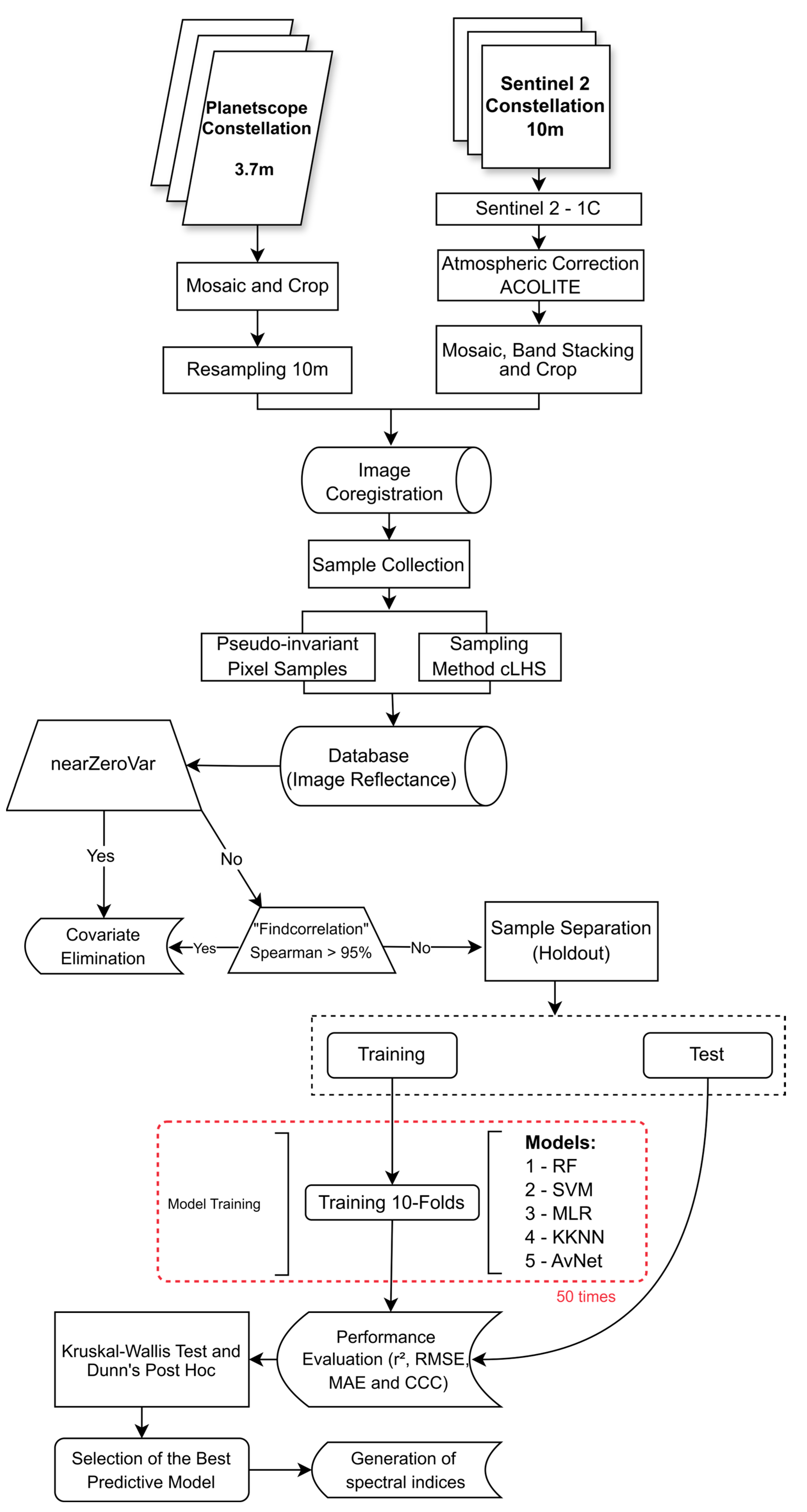
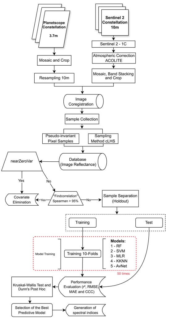
2. Materials and Methods
2.1. Study Area
2.2. Spectral Data
2.2.1. PlanetScope Images
2.2.2. Sentinel-2 Images
2.3. Image Preprocessing
2.4. Image Sampling
2.5. Modeling of Radiometric Normalization Algorithms
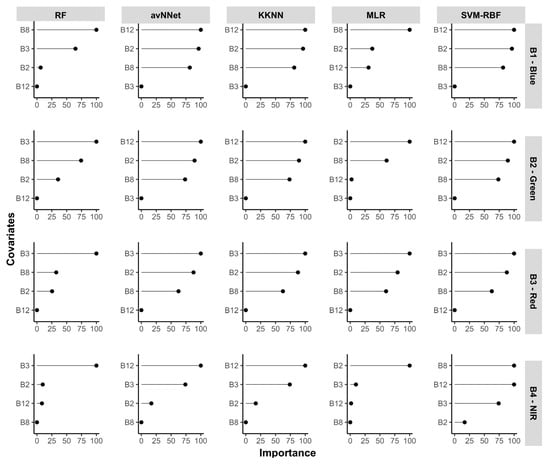
2.6. Selection of Covariables
2.7. Selection of Machine Learning Algorithms
2.8. Model Evaluation
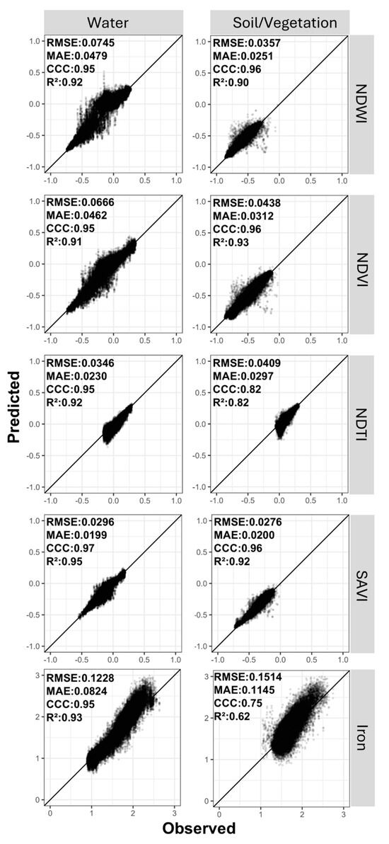
2.9. Spectral Indices
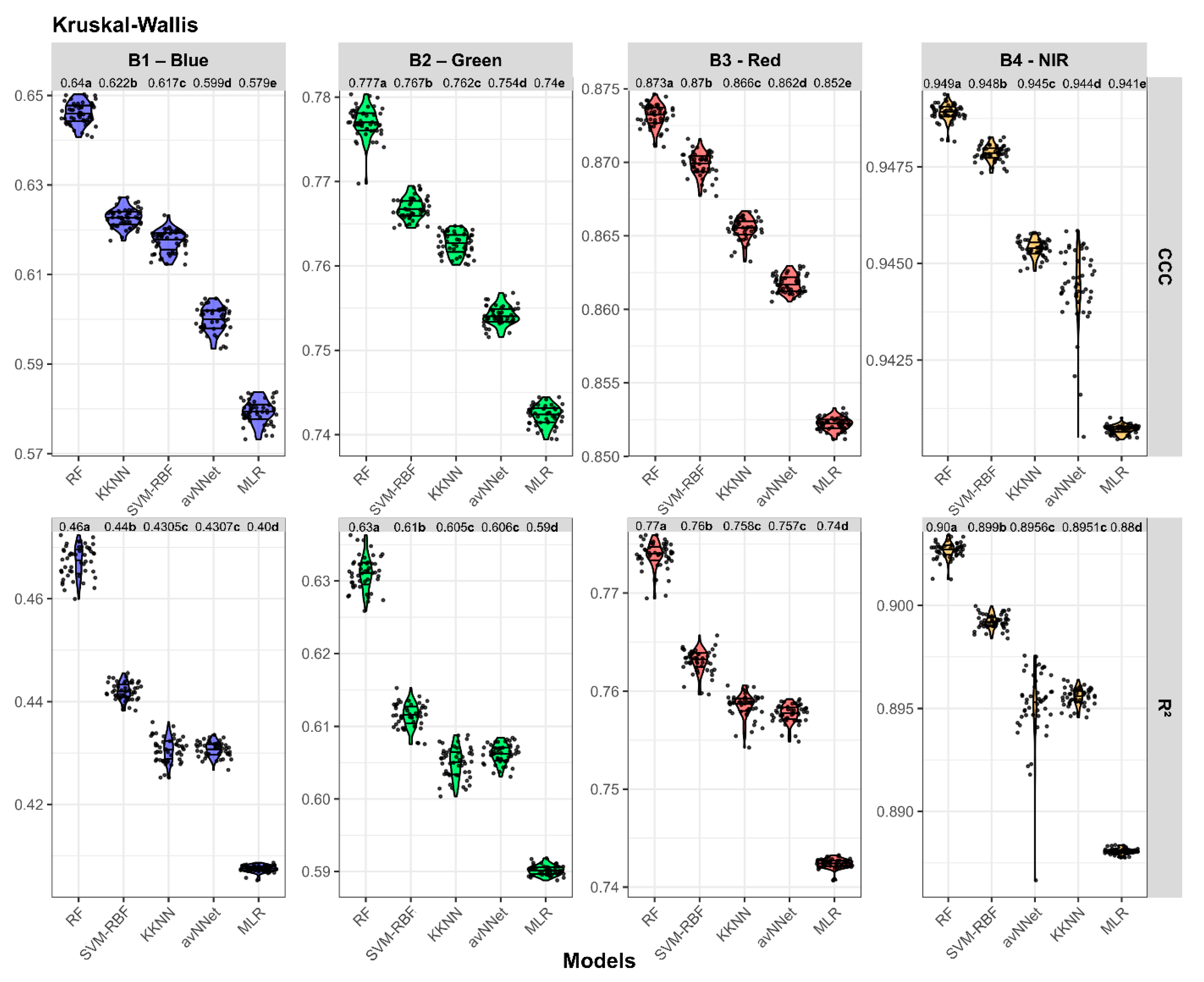
3. Results and Discussion
4. Conclusions
Author Contributions
Funding
Data Availability Statement
Acknowledgments
Conflicts of Interest
References
- Young, S.L.; Frongillo, E.A.; Jamaluddine, Z.; Melgar-Quiñonez, H.; Pérez-Escamilla, R.; Ringler, C.; Rosinger, A.Y. Perspective: The Importance of Water Security for Ensuring Food Security, Good Nutrition, and Well-Being. Adv. Nutr. 2021, 12, 1058–1073. [Google Scholar] [CrossRef] [PubMed]
- Beven, K.J.; Cloke, H.L. Comment on “Hyperresolution Global Land Surface Modeling: Meeting a Grand Challenge for Monitoring Earth’s Terrestrial Water” by Eric F. Wood et al. Water Resour. Res. 2012, 48, 1–10. [Google Scholar] [CrossRef]
- Roy, D.P.; Wulder, M.A.; Loveland, T.R.; Woodcock, C.E.; Allen, R.G.; Anderson, M.C.; Helder, D.; Irons, J.R.; Johnson, D.M.; Kennedy, R. Landsat-8: Science and Product Vision for Terrestrial Global Change Research. Remote Sens. Environ. 2014, 145, 154–172. [Google Scholar] [CrossRef]
- Houborg, R.; McCabe, M.F. High-Resolution NDVI from Planet’s Constellation of Earth Observing Nano-Satellites: A New Data Source for Precision Agriculture. Remote Sens. 2016, 8, 768. [Google Scholar] [CrossRef]
- Latte, N.; Lejeune, P. PlanetScope Radiometric Normalization and Sentinel-2 Super-Resolution (2.5 m): A Straightforward Spectral-Spatial Fusion of Multi-Satellite Multi-Sensor Images Using Residual Convolutional Neural Networks. Remote Sens. 2020, 12, 2366. [Google Scholar] [CrossRef]
- Wegmueller, S.A.; Leach, N.R.; Townsend, P.A. LOESS Radiometric Correction for Contiguous Scenes (LORACCS): Improving the Consistency of Radiometry in High-Resolution Satellite Image Mosaics. Int. J. Appl. Earth Obs. Geoinf. 2021, 97, 102290. [Google Scholar] [CrossRef]
- Planet Team Planet Surface Reflectance Product v2. Planet Labs, Inc. 2020. pp. 1–18. Available online: https://developers.planet.com/static/Planet_Combined_Imagery_Product_Spec_June_2020.pdf (accessed on 30 November 2020).
- Shin, J.; Jo, Y.H.; Ryu, J.H.; Khim, B.K.; Kim, S.M. High Spatial-Resolution Red Tide Detection in the Southern Coast of Korea Using u-Net from Planetscope Imagery. Sensors 2021, 21, 4447. [Google Scholar] [CrossRef]
- Csillik, O.; Kumar, P.; Mascaro, J.; O’Shea, T.; Asner, G.P. Monitoring Tropical Forest Carbon Stocks and Emissions Using Planet Satellite Data. Sci. Rep. 2019, 9, 17831. [Google Scholar] [CrossRef]
- Wu, S.; Wang, J.; Yan, Z.; Song, G.; Chen, Y.; Ma, Q.; Deng, M.; Wu, Y.; Zhao, Y.; Guo, Z.; et al. Monitoring Tree-Crown Scale Autumn Leaf Phenology in a Temperate Forest with an Integration of PlanetScope and Drone Remote Sensing Observations. ISPRS J. Photogramm. Remote Sens. 2021, 171, 36–48. [Google Scholar] [CrossRef]
- Francini, S.; McRoberts, R.E.; Giannetti, F.; Mencucci, M.; Marchetti, M.; Scarascia Mugnozza, G.; Chirici, G. Near-Real Time Forest Change Detection Using PlanetScope Imagery. Eur. J. Remote Sens. 2020, 53, 233–244. [Google Scholar] [CrossRef]
- Wang, J.; Yang, D.; Chen, S.; Zhu, X.; Wu, S.; Bogonovich, M.; Guo, Z.; Zhu, Z.; Wu, J. Automatic Cloud and Cloud Shadow Detection in Tropical Areas for PlanetScope Satellite Images. Remote Sens. Environ. 2021, 264, 112604. [Google Scholar] [CrossRef]
- Helman, D.; Bahat, I.; Netzer, Y.; Ben-Gal, A.; Alchanatis, V.; Peeters, A.; Cohen, Y. Using Time Series of High-Resolution Planet Satellite Images to Monitor Grapevine Stem Water Potential in Commercial Vineyards. Remote Sens. 2018, 10, 1615. [Google Scholar] [CrossRef]
- Houborg, R.; McCabe, M.F. Daily Retrieval of NDVI and LAI at 3 m Resolution via the Fusion of CubeSat, Landsat, and MODIS Data. Remote Sens. 2018, 10, 890. [Google Scholar] [CrossRef]
- Leach, N.; Coops, N.C.; Obrknezev, N. Normalization Method for Multi-Sensor High Spatial and Temporal Resolution Satellite Imagery with Radiometric Inconsistencies. Comput. Electron. Agric. 2019, 164, 104893. [Google Scholar] [CrossRef]
- Frazier, A.E.; Hemingway, B.L. A Technical Review of Planet Smallsat Data: Practical Considerations for Processing and Using PlanetScope Imagery. Remote Sens. 2021, 13, 3930. [Google Scholar] [CrossRef]
- Xu, H.; Wei, Y.; Li, X.; Zhao, Y.; Cheng, Q. A Novel Automatic Method on Pseudo-Invariant Features Extraction for Enhancing the Relative Radiometric Normalization of High-Resolution Images. Int. J. Remote Sens. 2021, 42, 6155–6186. [Google Scholar] [CrossRef]
- Zhu, Z. Change Detection Using Landsat Time Series: A Review of Frequencies, Preprocessing, Algorithms, and Applications. ISPRS J. Photogramm. Remote Sens. 2017, 130, 370–384. [Google Scholar] [CrossRef]
- Yang, X.; Lo, C.P. Relative Radiometric Normalization Performance for Change Detection from Multi-Date Satellite Images. Photogramm. Eng. Remote Sens. 2000, 66, 967–980. [Google Scholar]
- Zhang, L.; Wu, C.; Du, B. Automatic Radiometric Normalization for Multitemporal Remote Sensing Imagery With Iterative Slow Feature Analysis. IEEE Trans. Geosci. Remote Sens. 2014, 52, 6141–6155. [Google Scholar] [CrossRef]
- Syariz, M.A.; Lin, B.Y.; Denaro, L.G.; Jaelani, L.M.; Van Nguyen, M.; Lin, C.H. Spectral-Consistent Relative Radiometric Normalization for Multitemporal Landsat 8 Imagery. ISPRS J. Photogramm. Remote Sens. 2019, 147, 56–64. [Google Scholar] [CrossRef]
- Schott, J.R.; Salvaggio, C.; Volchok, W.J. Radiometric Scene Normalization Using Pseudoinvariant Features. Remote Sens. Environ. 1988, 16, 1–16. [Google Scholar] [CrossRef]
- Houborg, R.; McCabe, M.F. A Cubesat Enabled Spatio-Temporal Enhancement Method (CESTEM) Utilizing Planet, Landsat and MODIS Data. Remote Sens. Environ. 2018, 209, 211–226. [Google Scholar] [CrossRef]
- Gascon, F.; Bouzinac, C.; Thépaut, O.; Jung, M.; Francesconi, B.; Louis, J.; Lonjou, V.; Lafrance, B.; Massera, S.; Gaudel-Vacaresse, A.; et al. Copernicus Sentinel-2A Calibration and Products Validation Status. Remote Sens. 2017, 9, 584. [Google Scholar] [CrossRef]
- Lamquin, N.; Woolliams, E.; Bruniquel, V.; Gascon, F.; Gorroño, J.; Govaerts, Y.; Leroy, V.; Lonjou, V.; Alhammoud, B.; Barsi, J.A.; et al. An Inter-Comparison Exercise of Sentinel-2 Radiometric Validations Assessed by Independent Expert Groups. Remote Sens. Environ. 2019, 233, 111369. [Google Scholar] [CrossRef]
- Louis, J.; Debaecker, V.; Pflug, B.; Main-Knorn, M.; Bieniarz, J.; Mueller-Wilm, U.; Cadau, E.; Gascon, F. Sentinel-2 SEN2COR: L2A Processor for Users. Eur. Sp. Agency 2016, SP-740, 9–13. [Google Scholar]
- Li, W.; Jiang, J.; Guo, T.; Zhou, M.; Tang, Y.; Wang, Y.; Zhang, Y.; Cheng, T.; Zhu, Y.; Cao, W.; et al. Generating Red-Edge Images at 3M Spatial Resolution by Fusing Sentinel-2 and Planet Satellite Products. Remote Sens. 2019, 11, 1422. [Google Scholar] [CrossRef]
- Aguirre-Gutiérrez, J.; Rifai, S.; Shenkin, A.; Oliveras, I.; Bentley, L.P.; Svátek, M.; Girardin, C.A.J.; Both, S.; Riutta, T.; Berenguer, E.; et al. Pantropical Modelling of Canopy Functional Traits Using Sentinel-2 Remote Sensing Data. Remote Sens. Environ. 2021, 252, 112122. [Google Scholar] [CrossRef]
- Du, Y.; Zhang, Y.; Ling, F.; Wang, Q.; Li, W.; Li, X. Water Bodies’ Mapping from Sentinel-2 Imagery with Modified Normalized Difference Water Index at 10-m Spatial Resolution Produced by Sharpening the Swir Band. Remote Sens. 2016, 8, 354. [Google Scholar] [CrossRef]
- ANA Agência Nacional de Águas. Conjuntura Dos Recursos Hídricos No Brasil 2017: Relatório Pleno; Agência Nacional de Águas: Brasília, Brazil, 2017; p. 177.
- CEMIG CEMIG Website 2021. Available online: https://www.cemig.com.br/usina/tres-marias. (accessed on 5 May 2024).
- EMBRAPA Sistema Brasileiro de Classificação de Solos 2006. Available online: https://www.embrapa.br/busca-de-publicacoes/-/publicacao/338818/sistema-brasileiro-de-classificacao-de-solos (accessed on 1 May 2024).
- Alvares, C.A.; Stape, L.; Sentelhas, P.C.; Gonc, L.D.M.; Sparovek, G. Koppen’s Climate Classification Map for Brazil. Meteorol. Z. 2014, 22, 711–728. [Google Scholar] [CrossRef]
- De Carvalho Júnior, O.A.; Guimarães, R.F.; Silva, N.C.; Gillespie, A.R.; Gomes, R.A.T.; Silva, C.R.; De Carvalho, A.P.F. Radiometric Normalization of Temporal Images Combining Automatic Detection of Pseudo-Invariant Features from the Distance and Similarity Spectral Measures, Density Scatterplot Analysis, and Robust Regression. Remote Sens. 2013, 5, 2763–2794. [Google Scholar] [CrossRef]
- Planet Team. Planet Team. Planet Application Program Interface. In Space for Life on Earth; Planet Labs Inc.: San Francisco, CA, USA, 2021; pp. 1–96. [Google Scholar]
- Müller-Wilm, U. Sentinel-2 MSI—Level-2A Prototype Processor Installation and User Manual. Eur. Sp. Agency Spec. Publ. ESA SP 2016, 49, 1–51. [Google Scholar]
- Vanhellemont, Q.; Ruddick, K. Acolite for Sentinel-2: Aquatic Applications of MSI Imagery. In Proceedings of the 2016 ESA Living Planet Symposium, Prague, Czech Republic, 9–13 May 2016; pp. 9–13. [Google Scholar]
- Gao, B.-C.; Montes, M.J.; Davis, C.O.; Goetz, A.F.H. Atmospheric Correction Algorithms for Hyperspectral Remote Sensing Data of Land and Ocean. Remote Sens. Environ. 2009, 113, S17–S24. [Google Scholar] [CrossRef]
- Schroeder, T.A.; Cohen, W.B.; Song, C.; Canty, M.J.; Yang, Z. Radiometric Correction of Multi-Temporal Landsat Data for Characterization of Early Successional Forest Patterns in Western Oregon. Remote Sens. Environ. 2006, 103, 16–26. [Google Scholar] [CrossRef]
- Song, K.; Liu, G.; Wang, Q.; Wen, Z.; Lyu, L.; Du, Y.; Sha, L.; Fang, C. Quantification of Lake Clarity in China Using Landsat OLI Imagery Data. Remote Sens. Environ. 2020, 243, 111800. [Google Scholar] [CrossRef]
- Lai, W.; Lee, Z.; Wang, J.; Wang, Y.; Garcia, R.; Zhang, H. A Portable Algorithm to Retrieve Bottom Depth of Optically Shallow Waters from Top-of-Atmosphere Measurements. J. Remote Sens. 2022. [Google Scholar] [CrossRef]
- Martins, V.S.; Barbosa, C.C.F.; de Carvalho, L.A.S.; Jorge, D.S.F.; Lobo, F.d.L.; de Moraes Novo, E.M.L. Assessment of Atmospheric Correction Methods for Sentinel-2 MSI Images Applied to Amazon Floodplain Lakes. Remote Sens. 2017, 9, 322. [Google Scholar] [CrossRef]
- R Core Team. R: A Language and Environment for Statistical Computing; Version 3.3.1; R Foundation for Statistical Computing: Vienna, Austria, 2020. [Google Scholar]
- Hijmans, R.J.; Bivand, R.; Forner, K.; Ooms, J.; Pebesma, E.; Sumner, M.D. Package ‘Terra’; Maintainer: Vienna, Austria, 2022. [Google Scholar]
- Scheffler, D.; Hollstein, A.; Diedrich, H.; Segl, K.; Hostert, P. AROSICS: An Automated and Robust Open-Source Image Co-Registration Software for Multi-Sensor Satellite Data. Remote Sens. 2017, 9, 676. [Google Scholar] [CrossRef]
- Pahlevan, N.; Chittimalli, S.K.; Balasubramanian, S.V.; Vellucci, V. Sentinel-2/Landsat-8 Product Consistency and Implications for Monitoring Aquatic Systems. Remote Sens. Environ. 2019, 220, 19–29. [Google Scholar] [CrossRef]
- Du, Y.; Teillet, P.M.; Cihlar, J. Radiometric Normalization of Multitemporal High-Resolution Satellite Images with Quality Control for Land Cover Change Detection. Remote Sens. Environ. 2002, 82, 123–134. [Google Scholar] [CrossRef]
- Minasny, B.; McBratney, A.B. A Conditioned Latin Hypercube Method for Sampling in the Presence of Ancillary Information. Comput. Geosci. 2006, 32, 1378–1388. [Google Scholar] [CrossRef]
- McKay, M.D.; Beckman, R.J.; Conover, W.J. A Comparison of Three Methods for Selecting Values of Input Variables in the Analysis of Output from a Computer Code. Technometrics 1979, 42, 55–61. [Google Scholar] [CrossRef]
- Iordanis, I.; Koukouvinos, C.; Silou, I. On the Efficacy of Conditioned and Progressive Latin Hypercube Sampling in Supervised Machine Learning. Appl. Numer. Math. 2024; in press. [Google Scholar] [CrossRef]
- Sena, N.C.; Veloso, G.V.; Lopes, A.O.; Francelino, M.R.; Fernandes-Filho, E.I.; Senra, E.O.; da Silva Filho, L.A.; Condé, V.F.; de Arruda Silva, D.L.; de Araujo, R.W. Soil Sampling Strategy in Areas of Difficult Acess Using the CLHS Method. Geoderma Reg. 2021, 24, e00354. [Google Scholar] [CrossRef]
- Wang, H.; Yao, Y.; Salhi, S.; Smith, A.; Glasgow, G. Technological Forecasting & Social Change Tension in Big Data Using Machine Learning: Analysis and Applications. Technol. Forecast. Soc. Chang. 2020, 158, 120175. [Google Scholar] [CrossRef]
- Muñoz-Romero, S.; Gorostiaga, A.; Soguero-Ruiz, C.; Mora-Jiménez, I.; Rojo-Álvarez, J.L. Informative Variable Identifier: Expanding Interpretability in Feature Selection. Pattern Recognit. 2020, 98, 107077. [Google Scholar] [CrossRef]
- Reunanen, J. Overfitting in Making Comparisons between Variable Selection Methods. J. Mach. Learn. Res. 2003, 3, 1371–1382. [Google Scholar]
- Dias, R.L.S.; da Silva, D.D.; Fernandes-Filho, E.I.; do Amaral, C.H.; dos Santos, E.P.; Marques, J.F.; Veloso, G.V. Machine Learning Models Applied to TSS Estimation in a Reservoir Using Multispectral Sensor Onboard to RPA. Ecol. Inform. 2021, 65, 101414. [Google Scholar] [CrossRef]
- da Silveira, V.A.; Veloso, G.V.; de Paula, H.B.; dos Santos, A.R.; Schaefer, C.E.G.R.; Fernandes-Filho, E.I.; Francelino, M.R. Modeling and Mapping of Inselberg Habitats for Environmental Conservation in the Atlantic Forest and Caatinga Domains, Brazil. Environ. Adv. 2022, 8, 100209. [Google Scholar] [CrossRef]
- Kuhn, M. Caret: Classification and Regression Training. Astrophys. Source Code Libr. 2015, ascl-1505. [Google Scholar]
- Lee Rodgers, J.; Nicewander, W.A. Thirteen Ways to Look at the Correlation Coefficient. Am. Stat. 1988, 42, 59–66. [Google Scholar] [CrossRef]
- Beyca, O.F.; Ervural, B.C.; Tatoglu, E.; Ozuyar, P.G.; Zaim, S. Using Machine Learning Tools for Forecasting Natural Gas Consumption in the Province of Istanbul. Energy Econ. 2019, 80, 937–949. [Google Scholar] [CrossRef]
- Ripley, B.D. Pattern Recognition and Neural Networks; Cambridge University Press: Cambridge, UK, 1996; ISBN 0521717701. [Google Scholar]
- Breiman, L. Random Forests. Mach. Learn. 2001, 45, 27. [Google Scholar]
- Zhang, M.L.; Zhou, Z.H. ML-KNN: A Lazy Learning Approach to Multi-Label Learning. Pattern Recognit. 2007, 40, 2038–2048. [Google Scholar] [CrossRef]
- Cortes, C.; Vapnik, V. Support-Vector Networks. Mach. Learn. 1995, 20, 25. [Google Scholar] [CrossRef]
- Murphy, K.P. Machine Learning: A Probabilistic Perspective; MIT Press: Cambridge, MA, USA, 2013. [Google Scholar]
- Kuhn, M.; Johnson, K. Applied Predictive Modeling; Springer: Berlin/Heidelberg, Germany, 2013; ISBN 9781461468486. [Google Scholar]
- Kennedy, J.B.; Neville, A.M. Basic Statistical Methods for Engineers and Scientists; Harper and Row: New York, NY, USA, 1986. [Google Scholar]
- Arlot, S.; Celisse, A. A Survey of Cross-Validation Procedures for Model Selection. Stat. Surv. 2010, 4, 40–79. [Google Scholar] [CrossRef]
- Lin, L.I.-K. A Concordance Correlation Coefficient to Evaluate Reproducibility. Biometrics 1989, 45, 255. [Google Scholar] [CrossRef]
- Chai, T.; Draxler, R.R. Root Mean Square Error (RMSE) or Mean Absolute Error (MAE)?—Arguments against Avoiding RMSE in the Literature. Geosci. Model Dev. 2014, 7, 1247–1250. [Google Scholar] [CrossRef]
- Willmott, C.J.; Matsuura, K. Advantages of the Mean Absolute Error (MAE) over the Root Mean Square Error (RMSE) in Assessing Average Model Performance. Clim. Res. 2005, 30, 79–82. [Google Scholar] [CrossRef]
- Morse-McNabb, E.M.; Hasan, M.F.; Karunaratne, S. A Multi-Variable Sentinel-2 Random Forest Machine Learning Model Approach to Predicting Perennial Ryegrass Biomass in Commercial Dairy Farms in Southeast Australia. Remote Sens. 2023, 15, 2915. [Google Scholar] [CrossRef]
- Altman, D.G. Practical Statistics for Medical Research; Chapman and Hall; CRC: Boca Raton, FL, USA, 1990; ISBN 0429258585. [Google Scholar]
- Mello, D.C.D.; Veloso, G.V.; Lana, M.G.D.; Mello, F.A.D.O.; Poppiel, R.R.; Cabrero, D.R.O.; Di Raimo, L.A.D.L.; Schaefer, C.E.G.R.; Filho, E.I.F.; Leite, E.P.; et al. A New Methodological Framework for Geophysical Sensor Combinations Associated with Machine Learning Algorithms to Understand Soil Attributes. Geosci. Model Dev. 2022, 15, 1219–1246. [Google Scholar] [CrossRef]
- Kruskal, W.H.; Wallis, W.A. Use of Ranks in One-Criterion Variance Analysis. J. Am. Stat. Assoc. 1952, 47, 583–621. [Google Scholar] [CrossRef]
- Dunn, O.J. Multiple Comparisons Using Rank Sums. Technometrics 1964, 6, 241–252. [Google Scholar] [CrossRef]
- McKight, P.E.; Najab, J. Kruskal-wallis Test. Corsini Encycl. Psychol. 2010, 4. [Google Scholar] [CrossRef]
- Huete, A.R. A Soil-Adjusted Vegetation Index (SAVI). Remote Sens. Environ. 1988, 25, 295–309. [Google Scholar] [CrossRef]
- Rouse, J.W.; Haas, R.H.; Schell, J.A.; Deering, D.W. Monitoring Vegetation Systems in the Great Plains with ERTS. NASA Spec. Publ. 1974, 351, 309. [Google Scholar]
- McFeeters, S.K. The Use of the Normalized Difference Water Index (NDWI) in the Delineation of Open Water Features. Int. J. Remote Sens. 1996, 17, 1425–1432. [Google Scholar] [CrossRef]
- Lacaux, J.P.; Tourre, Y.M.; Vignolles, C.; Ndione, J.A.; Lafaye, M. Classification of Ponds from High-Spatial Resolution Remote Sensing: Application to Rift Valley Fever Epidemics in Senegal. Remote Sens. Environ. 2007, 106, 66–74. [Google Scholar] [CrossRef]
- Hewson, R.D.; Cudahy, T.J.; Huntington, J.F. Geologic and Alteration Mapping at Mt Fitton, South Australia, Using ASTER Satellite-Borne Data. In Proceedings of the IGARSS 2001. Scanning the Present and Resolving the Future. Proceedings. IEEE 2001 International Geoscience and Remote Sensing Symposium (Cat. No.01CH37217), Sydney, Australia, 9–13 July 2001; Volume 2, pp. 724–726. [Google Scholar]
- Zhang, Y.; Li, A.; Deng, B. Data-Driven Predictive Models for Chemical Durability of Oxide Glass under Different Chemical Conditions. npj Mater. Degrad. 2020, 4, 14. [Google Scholar] [CrossRef]
- dos Santos, E.P.; da Silva, D.D.; do Amaral, C.H.; Fernandes-Filho, E.I.; Dias, R.L.S. A Machine Learning Approach to Reconstruct Cloudy Affected Vegetation Indices Imagery via Data Fusion from Sentinel-1 and Landsat 8. Comput. Electron. Agric. 2022, 194, 106753. [Google Scholar] [CrossRef]
- Filgueiras, R.; Mantovani, E.C.; Althoff, D.; Fernandes Filho, E.I.; da Cunha, F.F. Crop NDVI Monitoring Based on Sentinel 1. Remote Sens. 2019, 11, 1441. [Google Scholar] [CrossRef]
- Barbosa, C.C.F.; Novo, E.M.L.M.; Martins, V.S. Introdução Ao Sensoriamento Remoto de Sistemas Aquáticos; 1°.; INPE: São José dos Campos, Brazil, 2019; ISBN 978-85-17-00095-9. [Google Scholar]







| Date | PlanetScope | Sentinel-2 | |||
|---|---|---|---|---|---|
| Instrument | Satellite | Time | Satellite | Time | |
| 08/30/2017 | PS2 | 0e1f | 12:36:33 | S2A | 13:12:42 |
| 100b | 12:31:01 | ||||
| 103d | 12:29:14 | ||||
| 10/09/2017 | PS2 | 1050 | 14:26:19 | S2A | 13:14:11 |
| 0f52 | 12:31:55 | ||||
| 0f34 | 12:32:49 | ||||
| 12/28/2017 | PS2 | 0f17 | 12:37:36 | S2A | 13:12:36 |
| 103b | 12:36:13 | ||||
| 0f43 | 12:35:38 | ||||
| 07/01/2018 | PS2 | 1006 | 12:42:16 | S2B | 13:12:41 |
| 0f44 | 13:46:46 | ||||
| 0f3c | 13:44:32 | ||||
| 1013 | 12:43:21 | ||||
| 09/29/2018 | PS2 | 104b | 13:33:25 | S2A | 13:12:39 |
| 0f31 | 12:45:17 | ||||
| 0e2f | 12:43:05 | ||||
| 0e26 | 12:42:00 | ||||
| 01/22/2019 | PS2 | 1039 | 12:49:27 | S2B | 13:12:39 |
| 1050 | 13:15:15 | ||||
| 04/27/2019 | PS2 | 105F | 12:59:14 | S2A | 12:49:02 |
| 1105 | 12:52:22 | ||||
| 1005 | 12:51:38 | ||||
| 05/27/2019 | PS2 | 104e | 12:56:55 | S2A | 13:12:49 |
| 0f25 | 12:52:14 | ||||
| 1004 | 12:50:25 | ||||
| 09/19/2019 | PS2 | 101b | 12:50:54 | S2B | 13:12:42 |
| 0f17 | 12:56:21 | ||||
| 103c | 12:52:40 | ||||
| 03/17/2020 | PS2 | 1040 | 12:57:04 | S2A | 13:12:41 |
| PSB.SD | 2275 | 12:26:06 | |||
| 09/28/2020 | PS2.SD | 2304 | 12:32:47 | S2B | 13:12:45 |
| 106d | 13:59:23 | ||||
| 0f2a | 11:39:15 | ||||
| 01/31/2021 | PS2 | 1052 | 11:18:03 | S2A | 13:12:43 |
| 241c | 13:15:52 | ||||
| 2264 | 12:32:51 | ||||
| 03/22/2021 | PSB.SD | 2416 | 13:17:35 | S2A | 13:12:41 |
| PS2 | 0f44 | 11:09:09 | |||
| 09/18/2021 | PS2.SD | 106c | 13:36:00 | S2B | 13:14:17 |
| PSB.SD | 2402 | 13:15:32 | |||
| 2405 | 13:14:38 | ||||
| 2262 | 12:35:07 | ||||
| 2432 | 12:28:13 | ||||
| 03/27/2022 | PSB.SD | 2416 | 13:08:18 | S2A | 13:12:51 |
| 2442 | 12:17:24 | ||||
| Models | Training | Test | ||||||||
|---|---|---|---|---|---|---|---|---|---|---|
| R2 | CCC | RMSE | MAE | R2 | CCC | RMSE | NULL RMSE | MAE | NULL MAE | |
| Band 1 (blue)—PS sensor | ||||||||||
| RF | 0.4661 | 0.6444 | 0.0204 | 0.0117 | 0.4672 | 0.646 | 0.0204 | 0.028 | 0.0117 | 0.019 |
| SVM-RBF | 0.4442 | 0.6183 | 0.0211 | 0.0114 | 0.442 | 0.6173 | 0.0211 | 0.0114 | ||
| KKNN | 0.4315 | 0.6225 | 0.0211 | 0.0122 | 0.4305 | 0.6226 | 0.0212 | 0.0122 | ||
| avNNet | 0.432 | 0.6004 | 0.0211 | 0.0128 | 0.4307 | 0.5999 | 0.0211 | 0.0127 | ||
| MLR | 0.4096 | 0.5804 | 0.0215 | 0.0132 | 0.4074 | 0.5793 | 0.0215 | 0.0132 | ||
| Band 2 (green)—PS sensor | ||||||||||
| RF | 0.6285 | 0.7746 | 0.0206 | 0.0118 | 0.6307 | 0.777 | 0.0205 | 0.0336 | 0.0118 | 0.024 |
| SVM-RBF | 0.6121 | 0.7662 | 0.0211 | 0.0118 | 0.6115 | 0.7668 | 0.0211 | 0.0117 | ||
| KKNN | 0.6043 | 0.7612 | 0.0213 | 0.0124 | 0.605 | 0.7627 | 0.0212 | 0.0124 | ||
| avNNet | 0.6052 | 0.7525 | 0.0212 | 0.0126 | 0.6062 | 0.7541 | 0.0211 | 0.0126 | ||
| MLR | 0.589 | 0.7407 | 0.0216 | 0.0129 | 0.5902 | 0.7423 | 0.0216 | 0.0129 | ||
| Band 3 (red)—PS sensor | ||||||||||
| RF | 0.7712 | 0.8713 | 0.0256 | 0.0164 | 0.7739 | 0.8732 | 0.0255 | 0.0535 | 0.0163 | 0.040 |
| SVM-RBF | 0.7625 | 0.8692 | 0.0262 | 0.0164 | 0.7631 | 0.8699 | 0.0262 | 0.0163 | ||
| KKNN | 0.7568 | 0.8641 | 0.0265 | 0.0171 | 0.7585 | 0.8655 | 0.0264 | 0.017 | ||
| avNNet | 0.7567 | 0.8608 | 0.0264 | 0.0175 | 0.7577 | 0.8617 | 0.0264 | 0.0175 | ||
| MLR | 0.7415 | 0.8514 | 0.0272 | 0.0181 | 0.7424 | 0.8522 | 0.0272 | 0.018 | ||
| Band 4 (NIR)—PS sensor | ||||||||||
| RF | 0.902 | 0.9485 | 0.0304 | 0.0207 | 0.9027 | 0.9489 | 0.0302 | 0.0969 | 0.0206 | 0.074 |
| SVM-RBF | 0.8992 | 0.9478 | 0.0309 | 0.0209 | 0.8992 | 0.9479 | 0.0309 | 0.0209 | ||
| KKNN | 0.8952 | 0.9451 | 0.0314 | 0.0216 | 0.8956 | 0.9454 | 0.0313 | 0.0216 | ||
| avNNet | 0.895 | 0.9442 | 0.0314 | 0.0218 | 0.8951 | 0.9442 | 0.0314 | 0.0218 | ||
| MLR | 0.8878 | 0.9406 | 0.0325 | 0.0221 | 0.8881 | 0.9407 | 0.0324 | 0.0221 | ||
Disclaimer/Publisher’s Note: The statements, opinions and data contained in all publications are solely those of the individual author(s) and contributor(s) and not of MDPI and/or the editor(s). MDPI and/or the editor(s) disclaim responsibility for any injury to people or property resulting from any ideas, methods, instructions or products referred to in the content. |
© 2024 by the authors. Licensee MDPI, Basel, Switzerland. This article is an open access article distributed under the terms and conditions of the Creative Commons Attribution (CC BY) license (https://creativecommons.org/licenses/by/4.0/).
Share and Cite
Dias, R.L.S.; Amorim, R.S.S.; da Silva, D.D.; Fernandes-Filho, E.I.; Veloso, G.V.; Macedo, R.H.F. Relative Radiometric Normalization for the PlanetScope Nanosatellite Constellation Based on Sentinel-2 Images. Remote Sens. 2024, 16, 4047. https://doi.org/10.3390/rs16214047
Dias RLS, Amorim RSS, da Silva DD, Fernandes-Filho EI, Veloso GV, Macedo RHF. Relative Radiometric Normalization for the PlanetScope Nanosatellite Constellation Based on Sentinel-2 Images. Remote Sensing. 2024; 16(21):4047. https://doi.org/10.3390/rs16214047
Chicago/Turabian StyleDias, Rafael Luís Silva, Ricardo Santos Silva Amorim, Demetrius David da Silva, Elpídio Inácio Fernandes-Filho, Gustavo Vieira Veloso, and Ronam Henrique Fonseca Macedo. 2024. "Relative Radiometric Normalization for the PlanetScope Nanosatellite Constellation Based on Sentinel-2 Images" Remote Sensing 16, no. 21: 4047. https://doi.org/10.3390/rs16214047
APA StyleDias, R. L. S., Amorim, R. S. S., da Silva, D. D., Fernandes-Filho, E. I., Veloso, G. V., & Macedo, R. H. F. (2024). Relative Radiometric Normalization for the PlanetScope Nanosatellite Constellation Based on Sentinel-2 Images. Remote Sensing, 16(21), 4047. https://doi.org/10.3390/rs16214047

