Abstract
A wind profiler radar detects fine spatiotemporal resolution dynamical information, enabling the capture of meso- and micro-scale systems. Experience gained from observing system experiments (OSEs) studies confirms that reasonable profiler assimilation techniques can achieve improved short-term forecasts. This study further applies the adjoint-based forecast sensitivity to observation (FSO) method to investigate the quantitative impact of a profiler data assimilation strategy on short-term forecasts, and the results are consistent with those obtained from OSEs, further demonstrating that FSO and OSEs can be used to evaluate the effect of data assimilation techniques from different perspectives. Considering the unique advantage that the FSO can quantify the interactions between various observing systems and the impact on improving the model forecasts according to specific needs without costly additional calculations, we further diagnose in detail the observation impacts from multiple perspectives, including the observation platform, observation variables, and spatial distribution. And the results show that dynamical variables are more significant in improving forecasts compared to the other observed variables. Meanwhile, the dense profiler observations resulted in a more significant impact when radiosonde observations were not detected. The upper-level single winds monitored by profiler radars play a more important role in improving forecast skill. The FSO method measures the impact of an individual observing system, which can be used to enrich the evaluation of data assimilation schemes, efficiently calculate the impacts of multisource observations, and contribute to future development in adaptive observation, observation quality control, and observation error optimization.
1. Introduction
Accurate numerical weather prediction (NWP) relies on high-quality estimates of initial states, and data assimilation can optimize initial conditions by the effective use of observational information [1]. In recent years, a wide range of ground- and space-based observation, along with the development of data assimilation methods, has primarily improved short-term forecasts [2,3,4,5]. A wind profiler radar (profiler) measures the average horizontal profile at high temporal and vertical spatial resolutions of several minutes and several tens of meters, respectively. A profiler can continuously monitor the wind vectors throughout the troposphere, and can not only detect meso- or micro-scale phenomena [6,7,8,9,10,11], but the importance of profiler data assimilation in improving wind analyses and forecasts has also been proven by a large number of studies [11,12,13,14,15]. With the gradual improvement of the dense profiler radar network, further research on the assimilation of profiler data and its impact on forecasts is of great scientific significance for the practical improvement of NWP. Over the years, many studies have been devoted to developing more advanced data assimilation methods to improve the application of observation in NWP systems [16,17,18]. In variational data assimilation, the effective assimilation of any observation requires an accurate description of the observation error covariance and the background error covariance, as well as the reasonable observation operators to construct transformations of the observation variables and model variables. In order to further optimize the detection advantages of profiler radars, we also conducted a few recent studies on profiler assimilation techniques [15,19,20]. We developed convective-scale profiler data assimilation strategies in terms of the momentum control variable, wind observation operator, and observation errors and confirmed the results using the observing system experiments (OSEs) method.
OSEs are commonly employed as a traditional approach to evaluate the impact of specific observing systems on forecasts [21,22]. OSEs verify the observation impact by adding or removing specific data to generate new analyses and comparing model forecasts from two experiments with different analyses [23,24]. OSEs are highly effective in quantifying the relative importance of various observing systems and are commonly employed in major operational centers to evaluate the observation impact [23,24,25,26,27,28]. However, the addition or removal of specific observing systems by OSEs results in a change in the correlation during the multisource data assimilation of two experiments. OSEs need to evaluate the influence of various observing systems separately, which can need substantial computational resources [29]. Hence, it is crucial to develop methods that can effectively measure the observation impact of different observing systems. Based on OSEs, our prior discussion focused on the influence of profiler data assimilation techniques on the entire profiler network. The is because calculating the specific contribution of a specific wind profiler radar using the OSEs approach is difficult.
The evaluation of observing system performance to model forecasts is widely recognized as a crucial aspect in the development of NWP. There is a clear tendency for major NWP centers to monitor global observing systems with advanced tools. To assess the relative impact of different observations, with the development of variational data assimilation techniques, an adjoint-based observation impact assessment methodology has been developed that attributes the reduction in forecast errors to the total impact of assimilating each observation dataset [30,31], referred to as the adjoint-based forecast sensitivity to observation (FSO). The adjoint-based FSO method enables an all-at-once assessment of the observation impact on reducing model forecast errors, including the impact of various observation types categorized by temporal spatial distribution. Consequently, it allows for comparisons of the relative impacts between different observing systems [32]. The FSO method provides an efficient tool for evaluating the performance of the data assimilation system and now is incorporated into the routine observation monitoring activities at operational NWP centers [31,32,33,34,35,36,37,38,39,40].
Assessing the forecast sensitivity to the parameters in data assimilation has become an essential means of updating model forecasts [34,39,40,41,42,43,44,45]. The effectiveness of OSEs and FSO, two commonly used methods for diagnosing the observation impact on forecasts, has been further examined [39,40,46,47]. Observation impacts at the National Aeronautics and Space Administration/Global Modeling and Assimilation Office (NASA/GMAO) and the European Centre for Medium-Range Weather Forecasts (ECMWF) are compared using the OSEs and FSO method, respectively [44,45,46]. Despite fundamental differences in the assumptions and calculation methods, the observation impacts from both methods are generally very similar. Therefore, FSO, in concert with OSEs, can effectively evaluate the interactions between various observing systems in data assimilation and observation impacts on improving forecasts [45]. Further discussions are needed to determine the distinct contribution of profiler data when multisource observations are assimilated simultaneously. Additionally, it is important to quantify the improvement of profiler data when different data assimilation schemes are employed. And these discussions should be conducted using additional observation impact assessment systems that are more efficient. This research aims to assess the suitability of the FSO method for evaluating impacts of data assimilation schemes using wind profiler observations based on the conclusions of our prior studies. Furthermore, it is crucial to have a deeper comprehension of the quantitative impact of each observing system on the forecast. This research aims to investigate the potential of using the FSO methodology in monitoring the performance of multisource data assimilation in an NWP system.
This paper is organized as follows. The fundamentals of the adjoint-based FSO approach and profiler assimilation strategies in a variational data assimilation framework are explained thoroughly in Section 2. Section 3 provides the experimental design used in this study. Section 4 examines the quantitative results of forecast sensitivity to profiler assimilation strategies from multiple perspectives using the FSO method. Section 5 further explores the potential application of the FSO method for observation impact assessment under multisource observation assimilation, discussing the contribution of profiler observations and the interactions between different observation types. Section 6 summarizes and discusses the conclusions of the paper.
2. Materials and Methods
2.1. Adjoint-Based Forecast Sensitivity to Observation (FSO)
The adjoint-based FSO method relies on the observation space evaluation of the change in the forecast due to data assimilation [31,48,49]. The error of the forecast with respect to the true state , as measured by the dry total energy norm, is defined as
where C is a diagonal matrix that defines state-space metrics. The nonlinear forecast model used in this study is based on the Advanced Weather Research and Forecasting model (ARW-WRF), and its adjoint version (WRFPLUS) is unable to adequately represent the adjoint of moist processes [47]. Therefore, the dry total energy norm is chosen for C here. The nonlinear forecast error reduction (i.e., forecast accuracy) is due to assimilating observations. Therefore, the change in forecast error (δe), defined as the difference between the forecast errors generated by the initial conditions with and without assimilation, is denoted as [44]
where and are the forecasts obtained from and the , respectively. Consider that the data assimilation provides an optimal estimate to initial conditions of the atmosphere model by minimizing a cost function [40,44]. The optimal linear analysis is formulated by
where and are the analysis and the background, respectively, is the observations, and H represents the linearized observation operator. K donates the Kalman gain matrix that satisfies . The gain matrix K is expressed in terms of the background error covariance matrix B, the observation error covariance matrix R, and the linearized observation operator ; represents the observation increments. By applying the linearized model to the above equations and using the relationships and , the sensitivity to the initial state can be calculated as follows:
where is the tangent linear model, represents the adjoint model, and is approximated in observation space as
The approximated forecast error reduction in the observation space is called the observation impact and can be calculated independently for each observation assimilated. Gelaro et al. [49] demonstrated that the in-practice first-order estimates are not accurate approximations to the variation in the forecast aspect induced by data assimilation. A third-order approximation based on a Taylor series is proposed to be used in this study, denoted as
The adjoint model used in observation impact estimation is linearized along the forecast trajectory of the nonlinear model, which can be and . is the adjoint matrix of the K.
The observation impact corresponding to the ith observation is expressed as . Therefore, we can discuss the observation impact, taking into account the specific requirements of the observed variable, observing system, horizontal distribution, vertical distribution, etc., without any additional computational resources. This is a distinct advantage that is not present in the OSE. Obviously, a positive forecast error change represents a deterioration in forecast performance, and a negative forecast error change represents an improvement in forecast performance.
2.2. Wind Profiler Radar Data Assimilation Strategy
The optimized assimilation strategies of profiler data are examined in terms of the background error covariance matrix, observation operator, and observation error covariance matrix, as demonstrated in prior studies [15,20]. This study aims to investigate the impacts of profiler assimilation strategies on forecasts using the FSO method. The assimilation strategies to be assessed are as follows:
- (1)
- Momentum control variable
Reasonable background error covariance is crucial for the assimilation performance of a wind profiler radar. In most variational data assimilation systems, a control variable transformation method is commonly used to simplify the background error covariance [50]. Currently, there are two generally utilized momentum control variable schemes, namely, the stream function and unbalanced velocity potential (hereafter referred to as the scheme) and eastward and northward velocity (hereafter referred to as the scheme). The complete control variables corresponding to the scheme are the stream function (), the unbalanced velocity potential (), the unbalanced temperature (), the unbalanced surface pressure (), and the pseudo-relative humidity (), while those corresponding to the scheme are the eastward velocity (), the northward velocity (), the temperature (T), the surface pressure (), and the pseudo-relative humidity (). Wang et al. [19] discussed the influence of assimilating profiler data with two different momentum control variable strategies ( scheme and scheme) using the OSEs method. This study utilizes the FSO method to investigate the sensitivity of forecasts to the momentum control variable strategy adopted in profiler data assimilation.
- (2)
- Wind observation operator
Profiler observations are collected and transmitted in the form of wind speed and wind direction (spd and dir); in the corresponding model, the state variables are horizontal wind components (u and v). Therefore, an observation operator is necessary to perform the conversion between model states (u and v) and the observation (spd and dir). The observation operators, as well as their linearized and adjoint versions, are indispensable in variational data assimilation systems. A widely adopted strategy is to assimilate profiler data using u and v as observation operators (hereafter referred to as the uv_scheme). An observation operator has been developed to directly assimilate the wind speed and direction without any variable conversion (hereafter referred to as the sd_scheme) [17]. Depending on the specific variables of profiler observations in observation space, two observation operator schemes (i.e., the uv_scheme and sd_scheme) are used in the assimilation accordingly. Two corresponding wind observation operators, the uv_scheme and sd_scheme, are utilized in data assimilation depending on the form of the variables extracted from the observation space. The application of the sd_scheme in profiler data assimilation yields more accurate analyzed winds, which in turn leads to better wind forecasts and precipitation prediction, confirming the advantage of the sd_scheme [20].
- (3)
- Profiler observation errors
In variational data assimilation, the observation error and the background error together determine the weights of the observation and background on the influence of the analysis. Hence, it is essential to precisely estimate the observation error in order to improve profiler radar assimilation performance. In WRFDA, the pre-specified observation error of profiler data varies with pressure levels, and these error estimates may not be representative of the dense profiler network in China. Therefore, an altitude-dependent observation error for profiler observations was designed referring to Desroziers et al. [16]. The observation errors of wind speed (spd), wind direction (dir), and wind components (u and v) are displayed in Table 1. The default observation errors of the profiler data are overall larger than the estimated altitude-dependent observation errors, which will make the analyzed winds closer to profiler observations during data assimilation. In this study, the FSO method is utilized to further discuss the sensitivity of the forecast to the profiler observation errors.
Table 1.
Altitude-dependent observation errors (σ) of profiler data.
3. Experimental Frameworks
3.1. Model
This study used an updated version of the Rapid-refresh Multiscale Analysis and Prediction System-Short Term (CMA-BJ) [51,52]. The operational CMA-BJ is a rapid updated NWP system developed by the Institute of Urban Meteorology, China Meteorological Administration (IUM/CMA). The model and data assimilation components are based on ARW-WRF and WRFDA of version 3.8.1 [53], with 59 vertical levels. The horizontal grid spacing for the outer (D01) and inner (D02) domains are 9 km and 3 km, respectively. The data assimilation system uses the traditional three-dimensional variational data assimilation (3DVar) approach. WRFPLUS, the adjoint version of WRF, is required to compute the adjoint-derived observation impact. The forecast model of the CMA-BJ system employs the ECMWF 0.125° × 0.125° global forecast products, incorporating baroclinic and four-layer soil temperature and humidity data as the initial and boundary conditions. And the CMA-BJ system operates in a semi-closed loop (Partial Cycle) with a rapid update cycle to ensure the accuracy of the large-scale environmental field information. The development of the adjoint of the forecast model and of the adjoint of the data assimilation system makes feasible the evaluation of the sensitivity of forecast aspects with respect to data assimilation. Using the FSO method, the CMA-BJ_FSO system is further developed on the basis of the operational CMA-BJ system to effectively reduce the duplicated processes, while realizing the calculation of observation impacts on forecasts. The CMA-BJ_FSO consists of four main components: the nonlinearity of the WRF, the linearity of the WRF and the adjoint of WRF (WRFPLUS), the WRFDA system, and the adjoint of the WRFDA system. The designed calculation flow of the CMA-BJ_FSO system is shown in Figure 1.
Figure 1.
Flowchart of CMA-BJ_FSO system computation.
The main physical parameterizations of the CMA-BJ were the Yonsei University (YSU) planetary boundary layer (PBL) scheme [54], the Rapid Radiative Transfer Model for General Circulation Models (RRTMG) schemes for longwave and shortwave radiation [55], the unified Noah land-surface model [56], and the Thompson microphysics scheme [57]. The WRFPLUS uses the same horizontal and vertical grid structure as the nonlinear forecast model.
3.2. Observation
In this study, the assimilated observations consist of the profiler data and the conventional data collected by the Global Telecommunications System (GTS). Table 2 provides acronyms of the observation types with the corresponding assimilated observational variables in this study. The GTS data include radiosonde (sound), synoptic station (synop), pilot balloon (pilot), ship, buoy, and aircraft reports (airep) observations (Figure 2). Due to the absence of satellite data assimilation in the operational CMA-BJ system during the experimental period, it was excluded from our discussion. The CMA-BJ_FSO system proposed to be constructed in this study and the observations for which it is examined are consistent with the routine observations in the CMA-BJ assimilation system.
Table 2.
Descriptions of the observation types, acronyms, and assimilated observational variables used in this study.
Figure 2.
Domains and observations used in CMA-BJ system at 0000 UTC on 15 July 2021.
4. Forecast Sensitivity to Wind Profiler Assimilation Strategies
4.1. Experimental Setup
In order to discuss the ability of the FSO method to derive the impact of an assimilation strategy and compare its findings with those obtained through the traditional OSEs method, we conducted four experiments. The impacts of the profiler assimilation strategies in terms of the momentum control variables, observation operator, and observation errors were examined (Table 3). The observation impacts presented in this section were calculated in the inner domain (D02) of the CMA-BJ system. The horizontal resolution of the nonlinear forecast model is 3 km. All other types of observations are assimilated, taking into account the influence of profiler assimilation strategies on forecasts. This section explicitly examines the impact of the profiler assimilation strategies on forecasts, while all other types of observations are assimilated.
Table 3.
Experimental setup.
To ensure the statistical significance of the conclusions, the observation impacts on the short-term forecasts were calculated from 0000 UTC on 1 July to 1800 UTC on 31 July 2021. Forecast errors are approximated as the difference between the forecast and the reference (the analysis at valid time), and the analysis is produced with a 6 h cycle. Observation impacts provide an estimate of the change in 6 h forecast error due to data assimilation. The decision to utilize a 6 h forecast error reduction is based on two factors: the limited impact of profiler data assimilation and the greater emphasis on the short-term forecast impact by the limited-area model. If the calculated observation impact is negative, it indicates that instruments such as a wind profiler radar can decrease forecast errors through data assimilation and can improve the forecast capabilities.
4.2. Observation Impact of Winds and Profiler Observations
The assimilation of profiler data affects model forecasts by improving the dynamical information of the initial field. Therefore, the forecast sensitivity to multisource wind observations, including profiler data, is investigated first. The averaged observation impacts for all types of winds are negative, indicating that the assimilation of multisource winds significantly reduces model forecast errors (Figure 3a). Figure 3b further illustrates that the assimilation of profiler data can improve forecasts regardless of the profiler assimilation scheme. When comparing the results of four experiments (Figure 3b), it is found that CV5, which adopts the scheme as control variables, had the smallest improvements in profiler data assimilation. Because the scheme has a larger horizontal length scale but smaller variance, the CV5 experiment cannot fit the profiler data well compared to the CV7 experiment, which in turn brings about a minimal reduction in forecast errors. Additionally, the forecast error reduction of the profiler data assimilation in CV7/PRUV is nearly twice as much as that in the CV5. This indicates that the assimilation of profiler observations is highly sensitive to control variables, and the scheme has a smaller-length scale and bigger variance compared to the scheme. This makes the scheme is more effective in maintaining small-scale features, resulting in a more significant forecast error reduction. These results further demonstrate that the momentum control variable, as the direct analysis and forecast variable, will directly improve the performance of data assimilation and forecasts.
Figure 3.
Averaged 6 h forecast error reduction due to the assimilation of (a) eastward and northward velocity observations and (b) profiler observations to the 6 h forecast using different profiler assimilation schemes in the North China region for 0000 UTC 1 July–1800 UTC 31 July 2021; unit: J kg−1.
The CV7/PRUV and PRSD are used to further compare the effects of observation operators. Both experiments employed improved control variables known as the scheme. The results show that the PRSD experiment exhibits a more pronounced forecast error reduction, indicating that the sd_scheme results in a superior forecast. Meanwhile, the altitude-dependent observation errors generate the best forecast in the PRSD_ERR experiment. The PRSD_ERR experiment adopts the altitude-dependent observation error, which is smaller than the default observation errors, which will make the analyzed winds closer to the profiler observations and thus lead to a larger forecast error reduction compared to the PRSD experiment. The PRSD_ERR experiment demonstrates that profiler data assimilation using the scheme as the control variables and the sd_scheme as the observation operators, along with the altitude-dependent observation errors, yields greater forecast error reductions. These conclusions are consistent with the findings from prior studies employing the OSEs approach, which verified the results with observations. Consequently, the FSO method enables a quantitative assessment of the impacts of data assimilation strategies.
4.3. Time Series of Profiler Observation Impact
One-month cycling experiments demonstrate that profiler data assimilation can stably reduce the model forecast errors, and using the adjoint-based FSO method, it is again verified that the PRSD_ERR provides a significant benefit for forecasts. Figure 4 further indicates that the time series of the profiler observation impact displays obvious stratification features, with the CV5 experiment at the top (representing the smallest forecast error reduction to the forecast error reduction), followed by the CV7/PRUV, PRSD, and PRSD_ERR experiments in that order (representing the gradually increasing magnitude of the forecast error reduction). The time series clearly shows the quantitative impact of various profiler data assimilation schemes on forecast error reduction at the 6 h updated intermittent assimilation and forecast cycles. Figure 4 shows that profiler assimilation leads to an increase in forecast errors in some cases, e.g., at 06 UTC on 5 July 2021, indicating that profiler assimilation at this moment brings negative influence, which is possible in model forecasts. The aforementioned results once again illustrate that the profiler assimilation strategy, which combines the U/V scheme as the control variables, optimized altitude-dependent observation errors, and the sd_scheme as the observation operator, consistently enhances the forecast performance.
Figure 4.
Time series of profiler observation impacts for a total of 124 cycling assimilation and forecasts during 0000 UTC 1 July–1800 UTC 31 July 2021; unit: J kg−1.
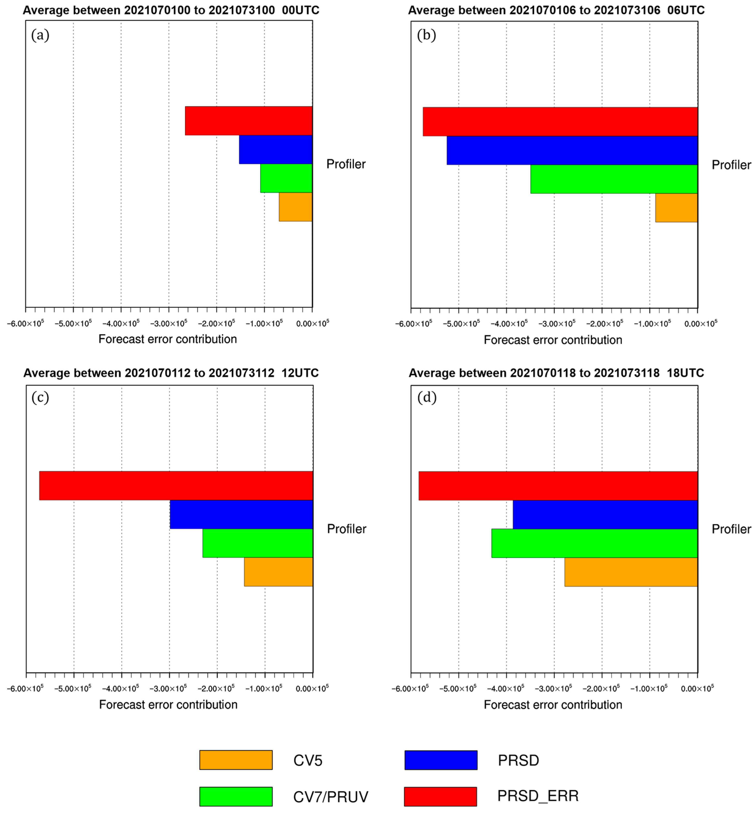
4.4. Diurnally Varying Observation Impact of Profiler Data
The observations assimilated in North China include, in addition to profiler observations, sound, aircraft, and pilot observations, which together provide important dynamical information. Most ground-based observations (sound and pilot) are assimilated at 0000 and 1200 UTC. In recent years, these observations have started to be monitored intensively at 0600 and 1800 UTC. However, there is still a discrepancy in the quantity of observations during these additional monitoring hours compared to the primary ones. Conversely, the profiler radar has the capability to continually monitor the wind field continuously for 24 h, ensuring a consistent and substantial number of profiler observation datasets. Figure 5 shows the diurnally varying characteristics of the profiler observation impact. The average observation impact of profiler observations at 0000 UTC is the smallest, accounting for around 47–48% of the other three times. This indicates that the observations at 0000 UTC are the most comprehensive in terms of both quantity and variety. The information from multiple sources adjusts and optimizes the analyses, thus weakening the significance of the profiler observations, as anticipated. And actually, multisource data assimilation provides the largest improvement at 0000 UTC.
Figure 5.
Characterization of the time-averaged diurnal variation in the sensitivity of the 6 h forecast errors to profiler observations for 0000 UTC 1 July−--1800 UTC 31 July 2021: (a) 0000 UTC, (b) 0600 UTC, (c) 1200 UTC, and (d) 1800 UTC. Unit: J kg−1.
In contrast, the profiler observations at 0600, 1200, and 1800 UTC provide more substantial forecast error reduction, indicating that the profiler can provide dynamical information in the absence of other wind observations, leading to a highly significant improvement in the forecast. The aforementioned conclusions instill ample confidence in the future deployment of a profiler radar, as a profiler radar can provide critical dynamical information and improve the prediction skills in periods when alternative wind information is inadequate. Furthermore, wind profiler radars theoretically have the capability to monitor wind information at intervals of six minutes, which will be of greater value in high-frequency assimilation systems (e.g., 4DVAR) and convective-scale forecasts.
The adjoint-based FSO method can quantify the impact of assimilating profiler data using various data assimilation strategies on forecast accuracy. The above conclusions are consistent with the results presented in Wang et al. [19,20], and the FSO method can provide a new evaluation tool for subsequent updates of data assimilation techniques.
5. Sensitivity Analysis of Forecasts to Joint Assimilation of Multisource Observations
Based on the optimal profiler assimilation strategy, this section provides a detailed discussion on the effect of the assimilation of multisource observations. The observation impacts presented in this section were calculated in the outer domain (D01) of the CMA-BJ system. We conducted an experiment of 56 forecasts over the period of 0000 UTC 1 July–1800 UTC 14 July 2021. The cycle-averaged observation impacts are partitioned by different observation platforms and observation variables to determine their relative importance on the 6 h forecast.
5.1. Observation Impact by Observed Variables
Figure 6 shows the averaged impact of observation variables on the 6 h forecasts from 1 July to 14 July 2021. It can be found that the assimilation of multisource observations has an obvious forecast error reduction to the improving model forecasts, thereby demonstrating the significant importance of multisource data assimilation for the CMA-BJ system. The most notable outcome in Figure 6 is the significant influence of wind variables, with the individual eastward and northward velocity (U/V) having a greater impact than the thermodynamic variables (T and Q). The results can be partially attributed to the greater amount of wind observations compared to thermodynamic variables during data assimilation, which in turn leads to much bigger forecast error reduction. Furthermore, the presence of dynamical information significantly impacts the modification of the mass field, prioritizing its improvement in model forecasting [5].
Figure 6.
Time-averaged observation impact by different observational variables for 0000 UTC 1 July–1800 UTC 31 July 2021; unit: J kg−1.
The impact of P is minimal, considering that only a limited number of instruments, such as ground-based sound, can provide pressure observation. The limited effect of Q may be attributed to two factors: the inadequate amount of data and the omission of wet physical processes in the computation of forecast sensitivity, adopting dry total energy in the adjoint model. Consequently, the forecast sensitivity to humidity variables may be underestimated.
5.2. Observation Impact by Platform
The change in forecast errors due to data assimilation can be partitioned into the contribution from each type of observation. Figure 7 displays the impacts of different observational instruments on the forecasts, and the results show that the assimilation of multisource observations are beneficial. The averaged observation impacts of each observation instrument for the 14-day subperiod indicate that sound observations have the most substantial forecast error reduction on the forecasts, followed by synop and aircraft data, while the profiler and pilot observations have the least significant contribution. The quantity of observations mostly determines these results. Firstly, the network of the wind profiler radar and pilot stations is smaller compared to other monitoring instruments. Furthermore, the profiler and pilot data have only wind information, whereas other observations, such as sounds, encompass a greater number of stations and a wider range of observed variables. This, to some extent, determines the predominant advantage of sound observations in enhancing forecasts.
Figure 7.
Time-averaged observation impact by multisource observing platforms for 0000 UTC 1 July–1800 UTC 31 July 2021; unit: J kg−1.
Figure 8 depicts the diurnally varying observation impact of various observation instruments. The effects of sound observations are significantly reduced at 0600 and 1800 UTC, and the pilots similarly decrease at 0600 UTC, which is directly related to the significant reduction in the quantity of observation within assimilation windows. At this time, the benefits of the profiler observations, which are the exclusive source of dense winds, are amplified.
Figure 8.
Time-averaged observation impact by multisource observing platforms valid at 0000 UTC (blue), 0600 UTC (green), 1200 UTC (yellow), and 1800 UTC (red); unit: J kg−1.
5.3. Spatial Variations in Observation Impact
5.3.1. Horizontal Distribution of Profiler Impact
To illustrate the spatial variations in the observation impact, Figure 9 show the horizontal distribution of the average profiler observation impact over all analysis–forecast cycles, using profiler data as an example. The assimilation of profiler observations can reduce forecast errors, and the consequences vary significantly among different profiler radars, displaying an obvious geographical distribution with distinct steps. In recent decades, a widespread operational profiler network has been constructed across China, and profiler radars are densely deployed in three specific regions: the Beijing–Tianjin–Hebei region, the Yangtze River Delta, and the Pearl River Delta. The profiler observation impacts across China are distributed horizontally and are concentrated in these three regions accordingly.
Figure 9.
Horizontal distributions of profiler impact on 6 h forecast errors; unit: J kg−1.
On average, the reduction in forecast errors is largest in the Beijing–Tianjin–Hebei region, followed by the Yangtze River Delta. The Pearl River Delta has the least forecast error reduction. In general, there may be three reasons for such a distributional feature. Firstly, Figure 9 demonstrates that the profiler station in the Beijing–Tianjin–Hebei region has good data quality, which matches well with the CMA-BJ system. Additionally, the profiler radar network is extensively deployed in the Beijing–Tianjin–Hebei region, enabling excellent monitoring of weather system formation and evolution. Therefore, the location of profiler radar stations in the Beijing–Tianjin–Hebei region may be more significant, as they can provide crucial wind information for the model forecasts and thus bring about the most significant improvements. Another reason for the difference could be the geographical characteristics. The profilers in the northern area are located on plains, while those in the southern area are in complex terrain, potentially leading to poorer forecast performance. The FSO method can further contribute to the identification of adaptive observations, which can be assimilated to improve forecasts of high-impact weather events of importance to society in a specified region through effective supplemental observations in a sensitive area/duration to the regular observing network.
5.3.2. Vertical Distribution of Profiler Impact
Most deployed profiler radars operate under three observation modes with vertical resolutions of 60, 120, and 240 m. These profiler radars are capable of detecting wind fields up to an altitude of 10 km, thereby providing detailed and high-quality wind information throughout the troposphere depth. Hence, profiler data assimilation improves forecasts over the whole vertical extent of the troposphere. Figure 10a illustrates the profiler impacts at various altitudes on forecasts, with the colors green and blue representing U and V winds, respectively. In general, profiler data have a more pronounced impact at lower altitudes and this impact diminishes as altitude increases, which is due to the scarcity of profiler radar capable of measuring the upper troposphere and even the stratosphere. And the U winds have a greater positive influence compared to the V winds.
Figure 10.
Impact of profilers on 6 h forecast error reduction at different vertical levels: (a) time averaged; (b) time averaged and normalized (i.e., normalized by the number of single wind observations at each vertical level). Unit: J kg−1.
Figure 10b provides more evidence that an individual profiler observation impact is more significant at high altitudes, suggesting that the assimilation of multisource wind observations decreases the benefit of single profiler winds at low altitudes. In contrast, wind profiler radars, although fewer in number at high altitudes, have a greater impact on individual observations. This further suggests that upper-level winds tracked by profiler radars play an important role in improving prediction accuracy.
6. Summary and Discussion
As data assimilation techniques develop and more observation platforms become available, there is a demand for further monitoring and evaluating the performance of observations in NWP systems. A wind profiler radar is capable of closely monitoring weather trends and providing crucial dynamical information. Experience gained from OSEs is that in practice, the assimilation of profiler data can achieve improved wind analyses and more accurate short-term forecasts [19,20]. On this basis, this study explored the application of the adjoint-based forecast sensitivity to observation (FSO) method to quantitatively examine the performance of the profiler assimilation techniques and its application in forecasts. The main conclusions of the study are as follows.
The forecast sensitivity to profiler data assimilation strategies is calculated using the adjoint-based FSO method, in which the profiler observations are assimilated by adopting different momentum control variables, wind observation operators, and observation error schemes. Observation impacts on 6 h forecast error reduction are produced for the period 0000 UTC 1 July–1800 UTC 31 July 2021 at 6 h intervals using the version of the CMA-BJ system that was operational at the IUM/CMA. One-month results show that the assimilation of the profiler data yields favorable effects on forecasts. The comparison further demonstrates that utilizing the scheme as the momentum control variables and wind speed and direction (sd_scheme) as the wind observation operators, combined with an altitude-dependent observation error, can provide the most significant forecast error reduction of profiler assimilation. The results obtained from the adjoint-based FSO method are consistent with the conclusions derived from the OSEs method, indicating that the FSO can effectively realize the calculation of forecast sensitivity to data assimilation techniques. This can serve as an effective assessment tool for the updating of data assimilation technology.
Further, the FSO has been performed to evaluate the influence of multisource observations, observation variables, and spatial distribution. The results show that the dynamical information is highly valuable among multi-observation variables. Specifically, the profiler assimilation significantly improves the forecast performance at 0600 and 1800 UTC, when other observations are insufficient in providing effective wind information. Evaluating the impact of every profiler radar using the FSO method is expected to provide references and feedback for the monitoring performance assessment of profiler radar stations as well as the optimization of the quality control process, which can be further explored in the future. Furthermore, FSO may play a role in the development of adaptive observations, which hold significant promise for future research endeavors.
Author Contributions
Conceptualization, X.-Y.H.; methodology, C.W. and X.-Y.H.; software, C.W.; formal analysis, M.C., Y.C., J.Z., J.Y. and C.W.; investigation, C.W.; resources, M.C.; project administration, Y.C.; supervision, M.C. and Y.C.; writing—original draft preparation, C.W.; validation, X.-Y.H., M.C., Y.C., J.Z. and J.Y.; writing—review and editing, X.-Y.H., M.C., Y.C., J.Z., J.Y. and C.W.; visualization, C.W.; funding acquisition, J.Z. and M.C. All authors have read and agreed to the published version of the manuscript.
Funding
This work was jointly sponsored by the National Key Research and Development Program of China (2022YFC3003903), the Open Grants of the State Key Laboratory of Severe Weather (2023LASW-B26), and the Beijing Meteorological Service Science and Technology Program (BMBKJ202402003).
Data Availability Statement
The data presented in this study are available on request from the corresponding author.
Acknowledgments
We would like to express our gratitude to the editors and reviewers for their insightful comments and valuable suggestions that they provided to our manuscript.
Conflicts of Interest
The authors declare no conflicts of interest.
References
- Bauer, P.; Thorpe, A.; Brunet, G. The quiet revolution of numerical weather prediction. Nature 2015, 525, 47–55. [Google Scholar] [CrossRef]
- Benjamin, S.G.; Schwartz, B.E.; Szoke, E.J.; Koch, S.E. The Value of Wind Profiler Data in U.S. Weather Forecasting. Bull. Am. Meteorol. Soc. 2004, 85, 1871–1886. [Google Scholar] [CrossRef]
- Ge, G.; Gao, J.; Xue, M. Impacts of Assimilating Measurements of Different State Variables with a Simulated Supercell Storm and Three-Dimensional Variational Method. Mon. Weather Rev. 2013, 141, 2759–2777. [Google Scholar] [CrossRef]
- Bannister, R.N. A Review of Operational Methods of Variational and Ensemble-variational Data Assimilation. J. R. Meteorol. Soc. 2017, 143, 607–633. [Google Scholar] [CrossRef]
- Gustafsson, N.; Janjic, T.; Schraff, C.; Leuenberger, D.; Weissmann, M.; Reich, H.; Brousseau, P.; Montmerle, T.; Wattrelot, E.; Bučánek, A.; et al. Survey of Data Assimilation Methods for Convective-scale Numerical Weather Prediction at Operational Centres. J. R. Meteorol. Soc. 2018, 144, 1218–1256. [Google Scholar] [CrossRef]
- Nash, J. Development of COST 76 Wind Profiler Network in Europe. Phys. Chem. Earth Part B Hydrol. Ocean. Atmos. 2006, 26, 193–199. [Google Scholar] [CrossRef]
- Ackley, M.H.; Gage, K.S. NOAA Profiler Network and Other Emerging Global Profiler Networks. In Microwave Remote Sensing of the Atmosphere and Environment III; SPIE: St Bellingham, WA, USA, 2003; Volume 4894. [Google Scholar] [CrossRef]
- Lambert, W.C.; Merceret, F.J.; Taylor, G.E.; Ward, J.G. Performance of Five 915-MHz Wind Profilers and an Associated Automated Quality Control Algorithm in an Operational Environment. J. Atmos. Ocean. Technol. 2003, 20, 8. [Google Scholar] [CrossRef]
- Adachi, A.; Kobayashi, T.; Gage, K.S.; Carter, D.A.; Hartten, L.M.; Clark, W.L.; Fukuda, M. Evaluation of Three-Beam and Four-Beam Profiler Wind Measurement Techniques Using a Five-Beam Wind Profiler and Collocated Meteorological Tower. J. Atmos. Ocean. Technol. 2005, 22, 1167–1180. [Google Scholar] [CrossRef]
- Schafer, R.; Avery, S.K.; Gage, K.S.; Kiladis, G.N. Wind Profiler Observations over the Central Equatorial Pacific: Optimizing Processing to Improve Quality and Height Coverage. J. Atmos. Ocean. Technol. 2007, 24, 1710–1725. [Google Scholar] [CrossRef]
- Pan, C.J.; Lai, H.C.; Yang, S.S.; Reddy, K.K.; Chang, S.-C. Wind Profiler Radar Investigation on Typhoon-Orography Interaction. Geophys. Res. Lett. 2008, 35, L24812. [Google Scholar] [CrossRef]
- St-James, J.S.; Laroche, S. Assimilation of Wind Profiler Data in the Canadian Meteorological Centre’s Analysis Systems. J. Atmos. Ocean. Technol. 2005, 22, 1181–1194. [Google Scholar] [CrossRef]
- Ishihara, M.; Kato, Y.; Abo, T.; Kobayashi, K.; Izumikawa, Y. Characteristics and Performance of the Operational Wind Profiler Network of the Japan Meteorological Agency. J. Meteorol. Soc. Jpn. 2006, 84, 1085–1096. [Google Scholar] [CrossRef]
- Hu, H.; Sun, J.; Zhang, Q. Assessing the Impact of Surface and Wind Profiler Data on Fog Forecasting Using WRF 3DVAR: An OSSE Study on a Dense Fog Event over North China. J. Appl. Meteorol. Climatol. 2017, 56, 1059–1081. [Google Scholar] [CrossRef]
- Wang, C.; Chen, M.; Chen, Y. Impact of Combined Assimilation of Wind Profiler and Doppler Radar Data on a Convective-Scale Cycling Forecasting System. Mon. Weather Rev. 2005, 150, 431–450. [Google Scholar] [CrossRef]
- Desroziers, G.; Berre, L.; Chapnik, B.; Poli, P. Diagnosis of Observation, Background and Analysis-error Statistics in Observation Space. J. R. Meteorol. Soc. 2005, 131, 3385–3396. [Google Scholar] [CrossRef]
- Huang, X.-Y.; Gao, F.; Jacobs, N.A.; Wang, H. Assimilation of Wind Speed and Direction Observations: A New Formulation and Results from Idealised Experiments. Tellus A Dyn. Meteorol. Oceanogr. 2013, 65, 19936. [Google Scholar] [CrossRef]
- Gao, F.; Huang, X.-Y.; Jacobs, N.A.; Wang, H. Assimilation of Wind Speed and Direction Observations: Results from Real Observation Experiments. Tellus A Dyn. Meteorol. Oceanogr. 2015, 67, 27132. [Google Scholar] [CrossRef]
- Wang, C.; Chen, Y.; Chen, M.; Shen, J. Data Assimilation of a Dense Wind Profiler Network and Its Impact on Convective Forecasting. Atmos. Res. 2020, 238, 104880. [Google Scholar] [CrossRef]
- Wang, C.; Chen, Y.; Chen, M.; Huang, X.-Y. Evaluation of Two Observation Operator Schemes for Wind Profiler Radar Data Assimilation and Its Impacts on Short-Term Forecasting. Atmos. Res. 2023, 283, 106549. [Google Scholar] [CrossRef]
- Atlas, R.; Hoffman, R.N.; Ma, Z.; Emmitt, G.D.; Wood, S.A.; Greco, S.; Tucker, S.; Bucci, L.; Annane, B.; Hardesty, R.M.; et al. Observing System Simulation Experiments (OSSEs) to Evaluate the Potential Impact of an Optical Autocovariance Wind Lidar (OAWL) on Numerical Weather Prediction. J. Atmos. Ocean. Technol. 2015, 32, 1593–1613. [Google Scholar] [CrossRef]
- Lupu, C.; Gauthier, P.; Laroche, S. Assessment of the Impact of Observations on Analyses Derived from Observing System Experiments. Mon. Weather Rev. 2012, 140, 245–257. [Google Scholar] [CrossRef]
- Bouttier, F.; Kelly, G. Observing-System Experiments in the ECMWF 4D-Var Data Assimilation System. Q. J. R. Meteorol. Soc. 2001, 127, 1469–1488. [Google Scholar] [CrossRef]
- McNally, T.; Bonavita, M.; Thépaut, J.-N. The Role of Satellite Data in the Forecasting of Hurricane Sandy. Mon. Weather Rev. 2014, 142, 634–646. [Google Scholar] [CrossRef]
- Kelly, G.; Thépaut, J.-N.; Buizza, R.; Cardinali, C. The Value of Observations. I: Data Denial Experiments for the Atlantic and the Pacific. Q. J. R. Meteorol. Soc. 2007, 133, 1803–1815. [Google Scholar] [CrossRef]
- Zapotocny, T.H.; Jung, J.A.; Marshall, J.F.L.; Treadon, R.E. A Two-Season Impact Study of Four Satellite Data Types and Rawinsonde Data in the NCEP Global Data Assimilation System. Weather Forecast. 2008, 23, 80–100. [Google Scholar] [CrossRef]
- Yamaguchi, M.; Iriguchi, T.; Nakazawa, T.; Wu, C.-C. An Observing System Experiment for Typhoon Conson (2004) Using a Singular Vector Method and DOTSTAR Data. Mon. Weather Rev. 2009, 137, 2801–2816. [Google Scholar] [CrossRef]
- James, E.P.; Benjamin, S.G. Observation System Experiments with the Hourly Updating Rapid Refresh Model Using GSI Hybrid Ensemble–Variational Data Assimilation. Mon. Weather Rev. 2017, 145, 2897–2918. [Google Scholar] [CrossRef]
- Joo, S.; Eyre, J.; Marriott, R. The Impact of MetOp and Other Satellite Data within the Met Office Global NWP System Using an Adjoint-Based Sensitivity Method. Mon. Weather Rev. 2013, 141, 3331–3342. [Google Scholar] [CrossRef]
- Baker, N.L.; Daley, R. Observation and Background Adjoint Sensitivity in the Adaptive Observation-Targeting Problem. Q. J. R. Meteorol. Soc. 2000, 126, 1431–1454. [Google Scholar] [CrossRef]
- Langland, R.H.; Baker, N.L. Estimation of Observation Impact Using the NRL Atmospheric Variational Data Assimilation Adjoint System. Tellus A Dyn. Meteorol. Oceanogr. 2004, 56, 189. [Google Scholar] [CrossRef]
- Lorenc, A.C.; Marriott, R.T. Forecast Sensitivity to Observations in the Met Office Global Numerical Weather Prediction System: Forecast Sensitivity to Observations. Q. J. R. Meteorol. Soc. 2014, 140, 209–224. [Google Scholar] [CrossRef]
- Liu, J.; Kalnay, E. Estimating Observation Impact without Adjoint Model in an Ensemble Kalman Filter. Q. J. R. Meteorol. Soc. 2008, 134, 1327–1335. [Google Scholar] [CrossRef]
- Cardinali, C. Monitoring the Observation Impact on the Short-Range Forecast. Q. J. R. Meteorol. Soc. 2009, 135, 239–250. [Google Scholar] [CrossRef]
- Gelaro, R.; Langland, R.H.; Pellerin, S.; Todling, R. The THORPEX Observation Impact Intercomparison Experiment. Mon. Weather Rev. 2010, 138, 4009–4025. [Google Scholar] [CrossRef]
- Kalnay, E.; Ota, Y.; Miyoshi, T.; Liu, J. A Simpler Formulation of Forecast Sensitivity to Observations: Application to Ensemble Kalman Filters. Tellus A Dyn. Meteorol. Oceanogr. 2012, 64, 18462. [Google Scholar] [CrossRef]
- Todling, R. Comparing Two Approaches for Assessing Observation Impact. Mon. Weather Rev. 2013, 141, 1484–1505. [Google Scholar] [CrossRef]
- Ota, Y.; Derber, J.C.; Kalnay, E.; Miyoshi, T. Ensemble-Based Observation Impact Estimates Using the NCEP GFS. Tellus A Dyn. Meteorol. Oceanogr. 2013, 65, 20038. [Google Scholar] [CrossRef]
- Ishibashi, T. Adjoint-Based Observation Impact Estimation with Direct Verification Using Forward Calculation. Mon. Weather Rev. 2018, 146, 2837–2858. [Google Scholar] [CrossRef]
- Kim, S.-M.; Kim, H.M. Forecast Sensitivity Observation Impact in the 4DVAR and Hybrid-4DVAR Data Assimilation Systems. J. Atmos. Ocean. Technol. 2019, 36, 1563–1575. [Google Scholar] [CrossRef]
- Cardinali, C. Forecast Sensitivity Observation Impact with an Observation-Only Based Objective Function. Q. J. R. Meteorol. Soc. 2018, 144, 2089–2098. [Google Scholar] [CrossRef]
- Daescu, D.N.; Todling, R. Adjoint Sensitivity of the Model Forecast to Data Assimilation System Error Covariance Parameters. Q. J. R. Meteorol. Soc. 2010, 136, 2000–2012. [Google Scholar] [CrossRef]
- Cucurull, L.; Anthes, R.A. Impact of Infrared, Microwave, and Radio Occultation Satellite Observations on Operational Numerical Weather Prediction. Mon. Weather Rev. 2014, 142, 4164–4186. [Google Scholar] [CrossRef]
- Jung, B.-J.; Kim, H.M.; Auligné, T.; Zhang, X.; Zhang, X.; Huang, X.-Y. Adjoint-Derived Observation Impact Using WRF in the Western North Pacific. Mon. Weather Rev. 2013, 141, 4080–4097. [Google Scholar] [CrossRef]
- Zhang, L.; Gong, J.; Wang, R. Diagnostic Analysis of Various Observation Impacts in the 3DVAR Assimilation System of Global GRAPES. Mon. Weather Rev. 2018, 146, 3125–3142. [Google Scholar] [CrossRef]
- Gelaro, R.; Zhu, Y. Examination of Observation Impacts Derived from Observing System Experiments (OSEs) and Adjoint Models. Tellus A 2009, 61, 179–193. [Google Scholar] [CrossRef]
- Zhang, X.; Wang, H.; Huang, X.-Y.; Gao, F.; Jacobs, N. Using Adjoint-Based Forecast Sensitivity Method to Evaluate TAMDAR Data Impacts on Regional Forecasts. Adv. Meteorol. 2015, 427616. [Google Scholar] [CrossRef]
- Daescu, D.N.; Todling, R. Adjoint Estimation of the Variation in Model Functional Output Due to the Assimilation of Data. Mon. Weather Rev. 2009, 137, 1705–1716. [Google Scholar] [CrossRef]
- Gelaro, R.; Zhu, Y.; Errico, R.M. Examination of Various-Order Adjoint-Based Approximations of Observation Impact. Meteorol. Z. 2007, 16, 685–692. [Google Scholar] [CrossRef]
- Barker, D.M.; Huang, W.; Guo, Y.-R.; Bourgeois, A.J.; Xiao, Q.N. A Three-Dimensional Variational Data Assimilation System for MM5: Implementation and Initial Results. Mon. Weather Rev. 2004, 132, 897–914. [Google Scholar] [CrossRef]
- Chen, M.; Fan, S.; Zhong, J.; Huang, X.; Guo, Y.-R.; Wang, W.; Wang, Y.; Kuo, B. A WRF-Based Rapid Updating Cycling Forecast System of BMB and Its Performance during the Summer and Olympic Games in WMO Symposium on Nowcasting; WMO: Whistler, BC, Canada, 2008; Volume 30. [Google Scholar]
- Chen, M.; Huang, X.-Y.; Wang, W. The WRF-Based Incremental Analysis Updates and Its Implementation in an Hourly Cycling Data Assimilation System. Weather Forecast. 2023, 38, 1063–1078. [Google Scholar] [CrossRef]
- Skamarock, W.C.; Klemp, J.B.; Dudhia, J.O.G.D.; Gill, D.O.; Barker, D.M.; Duda, M.G.; Huang, X.Y.; Wang, W.; Powers, J.G. A Description of the Advanced Research WRF Version 3 (No. NCAR/TN-475+STR); University Corporation for Atmospheric Research: Boulder, CO, USA, 2008. [Google Scholar] [CrossRef]
- Hong, S.-Y.; Noh, Y.; Dudhia, J. A New Vertical Diffusion Package with an Explicit Treatment of Entrainment Processes. Mon. Weather Rev. 2006, 134, 2318–2341. [Google Scholar] [CrossRef]
- Iacono, M.J.; Delamere, J.S.; Mlawer, E.J.; Shephard, M.W.; Clough, S.A.; Collins, W.D. Radiative Forcing by Long-lived Greenhouse Gases: Calculations with the AER Radiative Transfer Models. J. Geophys. Res. Atmos. 2008, 113, D13103. [Google Scholar] [CrossRef]
- Chen, F.; Dudhia, J. Coupling an Advanced Land Surface–Hydrology Model with the Penn State–NCAR MM5 Modeling System. Part I: Model Implementation and Sensitivity. Mon. Weather Rev. 2001, 129, 569–585. [Google Scholar] [CrossRef]
- Thompson, G.; Field, P.R.; Rasmussen, R.M.; Hall, W.D. Explicit Forecasts of Winter Precipitation Using an Improved Bulk Microphysics Scheme. Part II: Implementation of a New Snow Parameterization. Mon. Weather Rev. 2008, 136, 5095–5115. [Google Scholar] [CrossRef]
Disclaimer/Publisher’s Note: The statements, opinions and data contained in all publications are solely those of the individual author(s) and contributor(s) and not of MDPI and/or the editor(s). MDPI and/or the editor(s) disclaim responsibility for any injury to people or property resulting from any ideas, methods, instructions or products referred to in the content. |
© 2024 by the authors. Licensee MDPI, Basel, Switzerland. This article is an open access article distributed under the terms and conditions of the Creative Commons Attribution (CC BY) license (https://creativecommons.org/licenses/by/4.0/).









