Spectral Characteristics and Identification of Degraded Alpine Meadow in Qinghai–Tibetan Plateau Based on Hyperspectral Data
Abstract
1. Introduction
2. Materials and Methods
2.1. Study Site
2.2. Acquisition and Processing of Measured Spectrum
2.3. Hyperspectral Data Analysis
2.4. Calculation of Characteristic Parameters
2.5. Vegetation Type Identification
3. Results
3.1. Spectral Reflectance Data Analysis
3.1.1. Original Spectral Reflectance Analysis
3.1.2. First-Order Derivative Reflectance
3.1.3. Continuum Removal
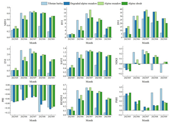
3.2. Vegetation Indices
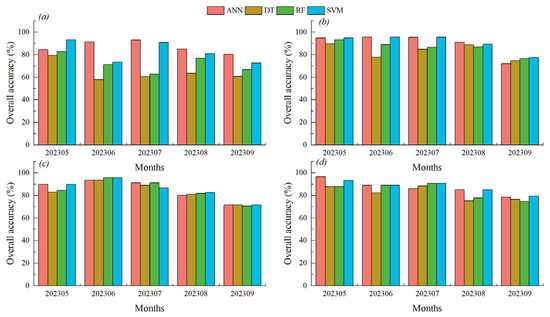
3.3. Identification of Vegetation Types and Accuracy Assessment
4. Discussion
4.1. Influence of Vegetation Phenology on Spectral Reflectance
4.2. Spectral Transformation Methods and Characterisation Parameters
4.3. Influence of Classification Methods on Identifying Alpine Grassland Vegetation Types
5. Conclusions
Author Contributions
Funding
Data Availability Statement
Acknowledgments
Conflicts of Interest
References
- Bardgett, R.D.; Bullock, J.M.; Lavorel, S.; Manning, P.; Schaffner, U.; Ostle, N.; Chomel, M.; Durigan, G.; Fry, E.L.; Johnson, D.; et al. Combatting global grassland degradation. Nat. Rev. Earth Environ. 2021, 2, 720–735. [Google Scholar] [CrossRef]
- Gang, C.C.; Zhou, W.; Chen, Y.Z.; Wang, Z.Q.; Sun, Z.G.; Li, J.L.; Qi, J.G.; Odeh, I. Quantitative assessment of the contributions of climate change and human activities on global grassland degradation. Environ. Earth Sci. 2014, 72, 4273–4282. [Google Scholar] [CrossRef]
- Gibbs, H.K.; Salmon, J.M. Mapping the world’s degraded lands. Appl. Geogr. 2015, 57, 12–21. [Google Scholar] [CrossRef]
- Dong, S.K.; Sherman, R. Enhancing the resilience of coupled human and natural systems of alpine rangelands on the Qinghai-Tibetan Plateau. Rangel. J. 2015, 37, i–iii. [Google Scholar] [CrossRef]
- Harris, R.B. Rangeland degradation on the Qinghai-Tibetan plateau: A review of the evidence of its magnitude and causes. J. Arid Environ. 2010, 74, 1–12. [Google Scholar] [CrossRef]
- Sun, J.; Wang, Y.X.; Lee, T.M.; Nie, X.W.; Wang, T.; Liang, E.Y.; Wang, Y.F.; Zhang, L.; Wang, J.; Piao, S.L.; et al. Nature-based Solutions can help restore degraded grasslands and increase carbon sequestration in the Tibetan Plateau. Commun. Earth Environ. 2024, 5, 154. [Google Scholar] [CrossRef]
- Dai, L.C.; Yuan, Y.M.; Guo, X.W.; Du, Y.G.; Ke, X.; Zhang, F.W.; Li, Y.K.; Li, Q.; Lin, L.; Zhou, H.K.; et al. Soil water retention in alpine meadows under different degradation stages on the northeastern Qinghai-Tibet Plateau. J. Hydrol. 2020, 590, 125397. [Google Scholar] [CrossRef]
- Li, C.; Peng, F.; Lai, C.; Xue, X.; You, Q.; Chen, X.; Liao, J.; Ma, S.; Wang, T. Plant community changes determine the vegetation and soil δ13C and δ15N enrichment in degraded alpine grassland. Land. Degrad. Dev. 2021, 32, 2371–2382. [Google Scholar] [CrossRef]
- Liu, X.; Wang, Z.Q.; Zheng, K.; Han, C.L.; Li, L.H.; Sheng, H.Y.; Ma, Z.W. Changes in soil carbon and nitrogen stocks following degradation of alpine grasslands on the Qinghai-Tibetan Plateau: A meta-analysis. Land Degrad. Dev. 2021, 32, 1262–1273. [Google Scholar] [CrossRef]
- Dai, E.R.; Zhao, Z.X.; Jia, L.Z.; Jiang, X.T. Contribution of ecosystem services improvement on achieving Sustainable development Goals under ecological engineering projects on the Qinghai-Tibet Plateau. Ecol. Eng. 2024, 199, 107146. [Google Scholar] [CrossRef]
- Liu, X.X.; Ding, J.Y.; Zhao, W.W. Divergent responses of ecosystem services to afforestation and grassland restoration in the Tibetan Plateau. J. Environ. Manag. 2023, 344, 118471. [Google Scholar] [CrossRef] [PubMed]
- Zhao, Z.X.; Dai, E.R. Vegetation cover dynamics and its constraint effect on ecosystem services on the Qinghai-Tibet Plateau under ecological restoration projects. J. Environ. Manag. 2024, 356, 120535. [Google Scholar] [CrossRef] [PubMed]
- Du, Z.R.; Yu, L.; Chen, X.; Gao, B.B.; Yang, J.Y.; Fu, H.H.; Gong, P. Land use/cover and land degradation across the Eurasian steppe: Dynamics, patterns and driving factors. Sci. Total Environ. 2024, 909, 168593. [Google Scholar] [CrossRef]
- Wei, Y.Q.; Wang, W.W.; Tang, X.J.; Li, H.; Hu, H.W.; Wang, X.F. Classification of Alpine Grasslands in Cold and High Altitudes Based on Multispectral Landsat-8 Images: A Case Study in Sanjiangyuan National Park, China. Remote Sens. 2022, 14, 3714. [Google Scholar] [CrossRef]
- Wang, S.S.; Jia, L.Z.; Cai, L.P.; Wang, Y.J.; Zhan, T.Y.; Huang, A.Q.; Fan, D.L. Assessment of Grassland Degradation on the Tibetan Plateau Based on Multi-Source Data. Remote Sens. 2022, 14, 6011. [Google Scholar] [CrossRef]
- Fayiah, M.; Dong, S.; Khomera, S.W.; Ur Rehman, S.A.; Yang, M.; Xiao, J. Status and Challenges of Qinghai–Tibet Plateau’s Grasslands: An Analysis of Causes, Mitigation Measures, and Way Forward. Sustainability 2020, 12, 1099. [Google Scholar] [CrossRef]
- Liu, S.B.; Zamanian, K.; Schleuss, P.M.; Zarebanadkouki, M.; Kuzyakov, Y. Degradation of Tibetan grasslands: Consequences for carbon and nutrient cycles. Agric. Ecosyst. Environ. 2018, 252, 93–104. [Google Scholar] [CrossRef]
- Miehe, G.; Schleuss, P.-M.; Seeber, E.; Babel, W.; Biermann, T.; Braendle, M.; Chen, F.; Coners, H.; Foken, T.; Gerken, T.; et al. The Kobresia pygmaea ecosystem of the Tibetan highlands—Origin, functioning and degradation of the world’s largest pastoral alpine ecosystem Kobresia pastures of Tibet. Sci. Total Environ. 2019, 648, 754–771. [Google Scholar] [CrossRef]
- Zhang, W.J.; Xue, X.; Peng, F.; You, Q.G.; Hao, A.H. Meta-analysis of the effects of grassland degradation on plant and soil properties in the alpine meadows of the Qinghai-Tibetan Plateau. Glob. Ecol. Conserv. 2019, 20, e00774. [Google Scholar] [CrossRef]
- Li, T.; Cui, L.Z.; Xu, Z.H.; Hu, R.H.; Joshi, P.K.; Song, X.F.; Tang, L.; Xia, A.Q.; Wang, Y.F.; Guo, D.; et al. Quantitative Analysis of the Research Trends and Areas in Grassland Remote Sensing: A Scientometrics Analysis of Web of Science from 1980 to 2020. Remote Sens. 2021, 13, 1279. [Google Scholar] [CrossRef]
- Wang, Z.; Ma, Y.; Zhang, Y.; Shang, J. Review of Remote Sensing Applications in Grassland Monitoring. Remote Sens. 2022, 14, 2903. [Google Scholar] [CrossRef]
- Xing, F.; An, R.; Guo, X.L.; Shen, X.J. Mapping invasive noxious weed species in the alpine grassland ecosystems using very high spatial resolution UAV hyperspectral imagery and a novel deep learning model. Giscience Remote Sens. 2024, 61, 2327146. [Google Scholar] [CrossRef]
- Huang, W.; Li, W.; Xu, J.; Ma, X.; Li, C.; Liu, C. Hyperspectral Monitoring Driven by Machine Learning Methods for Grassland Above-Ground Biomass. Remote Sens. 2022, 14, 2086. [Google Scholar] [CrossRef]
- Li, X.; Wang, H.; Li, X.; Tang, Z.; Liu, H. Identifying Degraded Grass Species in Inner Mongolia Based on Measured Hyperspectral Data. IEEE J. Sel. Top. Appl. Earth Obs. Remote Sens. 2020, 12, 5061–5075. [Google Scholar] [CrossRef]
- Lyu, X.; Li, X.; Dang, D.; Dou, H.; Xuan, X.; Liu, S.; Li, M.; Gong, J. A new method for grassland degradation monitoring by vegetation species composition using hyperspectral remote sensing. Ecol. Indic. 2020, 114, 106310. [Google Scholar] [CrossRef]
- Wang, S.; Bi, Y.; Du, J.; Zhang, T.; Gao, X.; Jin, E. The Unmanned Aerial Vehicle (UAV)-Based Hyperspectral Classification of Desert Grassland Plants in Inner Mongolia, China. Appl. Sci. 2023, 13, 12245. [Google Scholar] [CrossRef]
- Zhang, Y.; Wang, Y.; Liu, Y. Study on classification and recognition of mountain meadow vegetation based on seasonal characteristics of hyperspectral data. Spectrosc. Spectr. Anal. 2022, 42, 1939–1947. [Google Scholar]
- Cao, G.; Du, Y.; Liang, D.; Wang, Q.; Wang, C. Character of passive-active degradation process and its mechanism in alpine kobresia meadow. J. Mt. Sci. 2007, 25, 641–648. [Google Scholar]
- Dai, L.; Guo, X.; Ke, X.; Lan, Y.; Zhang, F.; Li, Y.; Lin, L.; Li, Q.; Cao, G.; Fan, B.; et al. Biomass allocation and productivity–richness relationship across four grassland types at the Qinghai Plateau. Ecol. Evol. 2020, 10, 506–516. [Google Scholar] [CrossRef]
- Wu, J.M.T.; Tsai, M.H.; Huang, Y.Z.; Islam, S.H.; Hassan, M.M.; Alelaiwi, A.; Fortino, G. Applying an ensemble convolutional neural network with Savitzky–Golay filter to construct a phonocardiogram prediction model. Appl. Soft Comput. 2019, 78, 29–40. [Google Scholar] [CrossRef]
- Ciulla, C. Inverse Fourier transformation of combined first order derivative and intensity-curvature functional of magnetic resonance angiography of the human brain. Comput. Methods Programs Biomed. 2021, 211, 106384. [Google Scholar] [CrossRef] [PubMed]
- Huang, Z.; Turner, B.J.; Dury, S.J.; Wallis, I.R.; Foley, W.J. Estimating foliage nitrogen concentration from HYMAP data using continuum removal analysis. Remote Sens. Environ. 2004, 93, 18–29. [Google Scholar] [CrossRef]
- Sun, W.; Du, Q. Hyperspectral band selection: A review. IEEE Geosci. Remote Sens. Mag. 2019, 7, 118–139. [Google Scholar] [CrossRef]
- Dao, P.D.; Axiotis, A.; He, Y. Mapping native and invasive grassland species and characterizing topography-driven species dynamics using high spatial resolution hyperspectral imagery. Int. J. Appl. Earth Obs. 2021, 104, 102542. [Google Scholar] [CrossRef]
- Pfitzner, K.; Bartolo, R.; Whiteside, T.; Loewensteiner, D.; Esparon, A. Multi-temporal spectral reflectance of tropical savanna understorey species and implications for hyperspectral remote sensing. Int. J. Appl. Earth Obs. 2022, 112, 102870. [Google Scholar] [CrossRef]
- Marcinkowska-Ochtyra, A.; Gryguc, K.; Ochtyra, A.; Kopeć, D.; Jarocińska, A.; Sławik, Ł. Multitemporal Hyperspectral Data Fusion. with Topographic Indices—Improving Classification of Natura 2000 Grassland Habitats. Remote Sens. 2019, 11, 2264. [Google Scholar] [CrossRef]
- Yang, X.; Ma, L.; Zhang, Z.; Zhang, Q.; Guo, J.; Zhou, B.; Deng, Y.; Wang, X.; Wang, F.; Yandi, S.; et al. Relationship between the characteristics of plant community growth and climate factors in alpine meadow. Acta Ecol. Sin. 2021, 41, 3689–3700. [Google Scholar]
- Saluja, R.; Prasad, S.; Garg, J.K. Field spectroradiometry for discrimination of wetland components: A case study of a tropical inland wetland in India. Wetl. Ecol. Manag. 2018, 26, 915–930. [Google Scholar] [CrossRef]
- Dong, R.; Zhou, R.; Tang, Z.; Zhou, J.; Guohui, Y.; Chu, B.; Limin, H. Technology for identifiying poisonous plants in alpine meadow based on hyperspectral data. Grassl. Turf 2021, 41, 1. [Google Scholar]
- Zhu, X.; Bi, Y.; Du, J.; Gao, X.; Zhang, T.; Pi, W.; Zhang, Y.; Wang, Y.; Zhang, H. Research on deep learning method recognition and a classification model of grassland grass species based on unmanned aerial vehicle hyperspectral remote sensing. Grassl. Sci. 2022, 69, 3–11. [Google Scholar] [CrossRef]






| Parameter Type | Characteristic Parameter | Definition |
|---|---|---|
| Position parameter | Red edge amplitude | Maximum first order differential in 680–760 nm |
| Red edge position | Band length corresponding to red edge amplitude | |
| Blue edge amplitude | Maximum first order differential in 490–530 nm | |
| Blue edge position | Band length corresponding to blue edge amplitude | |
| Yellow edge amplitude | Maximum first order differential in 560–640 nm | |
| Yellow edge position | Band length corresponding to yellow edge amplitude | |
| Area parameter | Red edge area | Sum of first order differential in red edge range |
| Blue edge area | Sum of first order differential in blue edge range |
| Parameter Type | Vegetation Index | Abbreviation | Formula |
|---|---|---|---|
| Broad-band vegetation index | Normalized difference vegetation index | NDVI | (Rnir − Rred)/(Rnir + Rred) |
| Ratio vegetation index | RVI | Rnir/Rred | |
| Differential vegetation index | DVI | Rnir − Rred | |
| Enhanced vegetation index | EVI | 2.5(Rnir − Rred)/(Rnir + 6 × Rred − 7.5 × Rb + 1) | |
| Soil Adjusted Vegetation Index | SAVI | ((Rnir − Rred)/(Rnir + Rred + 0.5)) × 1.5 | |
| Normalized Green–Red Difference Index | NDGI | (Rg − Rred)/(Rg + Rred) | |
| Narrow-band vegetation index | Photochemical Reflectance Index | PRI | (R531 − R570)/(R531 + R570) |
| Red Edge Normalized Difference Vegetation Index | RENDVI | (R750 − R705)/(R750 + R705) | |
| Plant Senescence Reflectance Index | PSRI | (R680 − R500)/R750 |
| 202305 | RA | RP | BA | BP | YA | YP | RAR | BAR |
|---|---|---|---|---|---|---|---|---|
| Tibetan Barley | 0.1106 | 722 | 0.05 | 525 | 0.024 | 560 | 5.89 | 1.5146 |
| Degraded alpine meadow | 0.1717 | 701 | 0.0618 | 525 | 0.041 | 631 | 9.4476 | 2.1159 |
| Alpine meadow | 0.2403 | 702 | 0.0661 | 524 | 0.0346 | 630 | 12.6234 | 2.0256 |
| Alpine shrub | 0.0424 | 698 | 0.0152 | 526 | 0.0167 | 632 | 2.5511 | 0.5353 |
| 202306 | RA | RP | BA | BP | YA | YP | RAR | BAR |
| Tibetan Barley | 0.645 | 729 | 0.1173 | 524 | −0.0028 | 629 | 29.9428 | 2.4564 |
| Degraded alpine meadow | 0.4632 | 721 | 0.1033 | 525 | 0.0131 | 630 | 22.314 | 2.3889 |
| Alpine meadow | 0.5899 | 723 | 0.1156 | 524 | 0.0093 | 629 | 28.3945 | 2.5924 |
| Alpine shrub | 0.2118 | 720 | 0.0486 | 524 | 0.0093 | 630 | 10.1985 | 1.0991 |
| 202307 | RA | RP | BA | BP | YA | YP | RAR | BAR |
| Tibetan Barley | 0.5834 | 731 | 0.0859 | 524 | −0.0026 | 629 | 26.0273 | 1.7532 |
| Degraded alpine meadow | 0.7424 | 724 | 0.1239 | 524 | 0.0037 | 629 | 34.576 | 2.6645 |
| Alpine meadow | 0.8014 | 727 | 0.1112 | 524 | 0.0017 | 630 | 36.4924 | 2.3085 |
| Alpine shrub | 0.5891 | 721 | 0.1015 | 524 | 0.0024 | 630 | 26.4427 | 2.0736 |
| 202308 | RA | RP | BA | BP | YA | YP | RAR | BAR |
| Tibetan Barley | 0.3347 | 697 | 0.1216 | 523 | 0.0603 | 560 | 17.1052 | 3.7304 |
| Degraded alpine meadow | 0.682 | 723 | 0.124 | 524 | 0.0089 | 629 | 33.5414 | 2.7234 |
| Alpine meadow | 0.692 | 724 | 0.117 | 524 | 0.0054 | 629 | 33.3821 | 2.584 |
| Alpine shrub | 0.4656 | 721 | 0.0746 | 525 | 0.005 | 630 | 20.8703 | 1.5272 |
| 202309 | RA | RP | BA | BP | YA | YP | RAR | BAR |
| Tibetan Barley | 0.0691 | 692 | 0.0467 | 516 | 0.0442 | 560 | 3.6087 | 1.8427 |
| Degraded alpine meadow | 0.4797 | 702 | 0.1042 | 524 | 0.0225 | 629 | 24.0076 | 2.5229 |
| Alpine meadow | 0.461 | 703 | 0.0984 | 524 | 0.0166 | 629 | 24.1003 | 2.3462 |
| Alpine shrub | 0.3918 | 703 | 0.0765 | 524 | 0.0125 | 630 | 17.7581 | 1.6616 |
Disclaimer/Publisher’s Note: The statements, opinions and data contained in all publications are solely those of the individual author(s) and contributor(s) and not of MDPI and/or the editor(s). MDPI and/or the editor(s) disclaim responsibility for any injury to people or property resulting from any ideas, methods, instructions or products referred to in the content. |
© 2024 by the authors. Licensee MDPI, Basel, Switzerland. This article is an open access article distributed under the terms and conditions of the Creative Commons Attribution (CC BY) license (https://creativecommons.org/licenses/by/4.0/).
Share and Cite
Qian, D.; Li, Q.; Fan, B.; Zhou, H.; Du, Y.; Guo, X. Spectral Characteristics and Identification of Degraded Alpine Meadow in Qinghai–Tibetan Plateau Based on Hyperspectral Data. Remote Sens. 2024, 16, 3884. https://doi.org/10.3390/rs16203884
Qian D, Li Q, Fan B, Zhou H, Du Y, Guo X. Spectral Characteristics and Identification of Degraded Alpine Meadow in Qinghai–Tibetan Plateau Based on Hyperspectral Data. Remote Sensing. 2024; 16(20):3884. https://doi.org/10.3390/rs16203884
Chicago/Turabian StyleQian, Dawen, Qian Li, Bo Fan, Huakun Zhou, Yangong Du, and Xiaowei Guo. 2024. "Spectral Characteristics and Identification of Degraded Alpine Meadow in Qinghai–Tibetan Plateau Based on Hyperspectral Data" Remote Sensing 16, no. 20: 3884. https://doi.org/10.3390/rs16203884
APA StyleQian, D., Li, Q., Fan, B., Zhou, H., Du, Y., & Guo, X. (2024). Spectral Characteristics and Identification of Degraded Alpine Meadow in Qinghai–Tibetan Plateau Based on Hyperspectral Data. Remote Sensing, 16(20), 3884. https://doi.org/10.3390/rs16203884

