Seasonal Variations in the Rainfall Kinetic Energy Estimation and the Dual-Polarization Radar Quantitative Precipitation Estimation Under Different Rainfall Types in the Tianshan Mountains, China
Abstract
1. Introduction
2. Data and Methodology
2.1. Study Area and Dataset
2.2. Quality Control of DSD Data
2.3. RKEE
2.4. QPE for Dual-Polarization Radar
2.5. Assessing RKEE Scheme and Dual-Polarization Radar QPE Algorithm Accuracy
2.6. Classification of Rainfall Types
3. Results
3.1. Seasonal RKEE Variation
3.2. Seasonal RKEE Variation for Different Rainfall Types
3.3. Seasonal Variation of Dual-Polarization Radar QPE
3.4. Seasonal Variation of Dual-Polarization Radar QPE for Different Rainfall Types
4. Discussion
5. Conclusions
- (1)
- Mean KEtime was the largest (smallest) at 29.418 (14.006) J m−2 h−1 in summer (fall), and mean KEmm was the largest (smallest) at 12.307 (9.826) J m−2 mm−1 in summer (spring). Two RKEE schemes, KEtime–R and KEmm–Dm, were established as KEtime = 12.495R1.285 and KEmm = −2.260Dm2 + 21.953Dm − 8.899 for the entire data, respectively, and both showed seasonal variations. By comparing the estimated KEtime and KEmm of the established RKEE schemes with the KEtime and KEmm obtained directly from DSD based on the CC, RMSE, and NMAE, it was confirmed that the RKEE schemes performed well for the entire dataset and different seasons.
- (2)
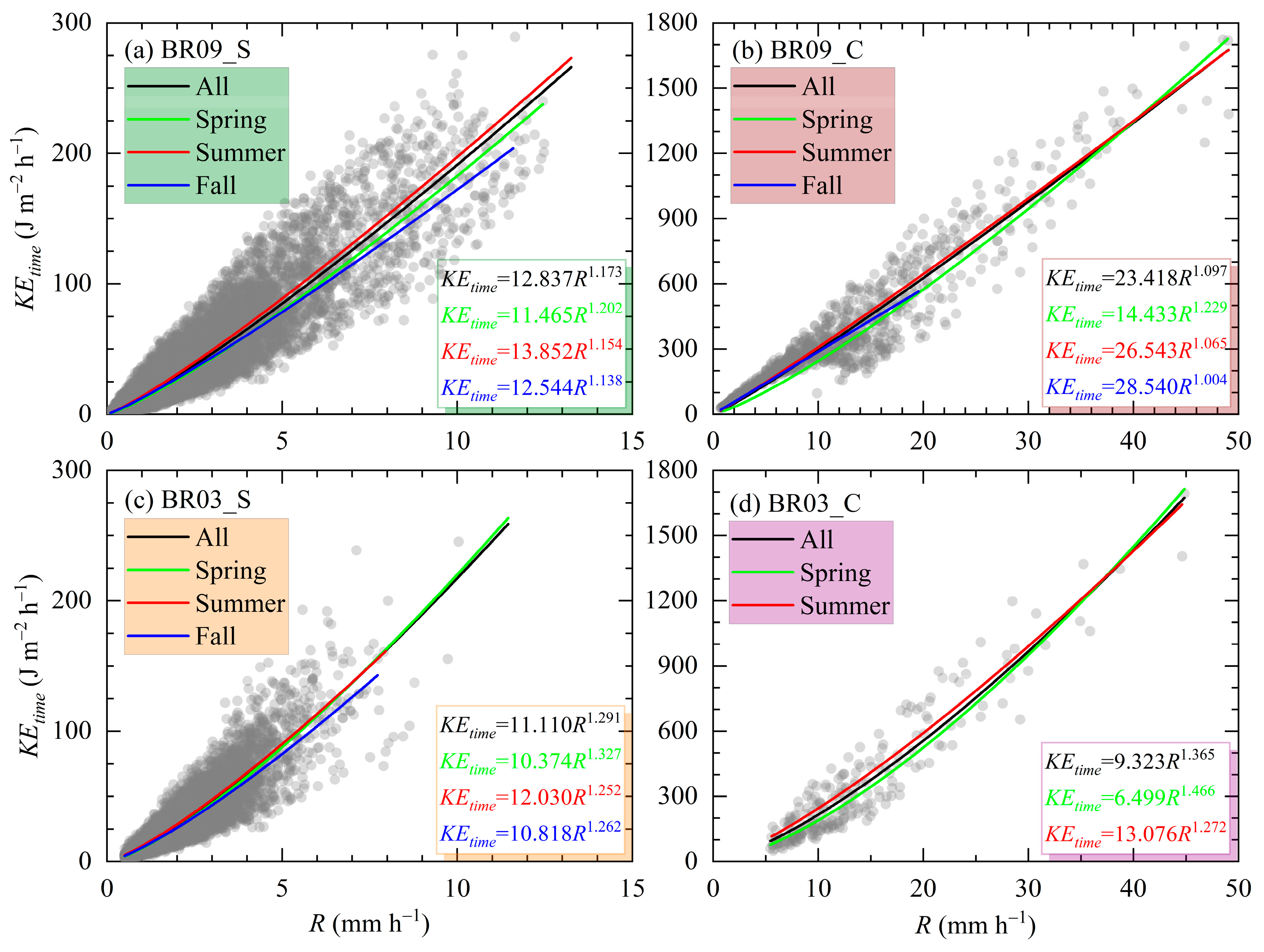
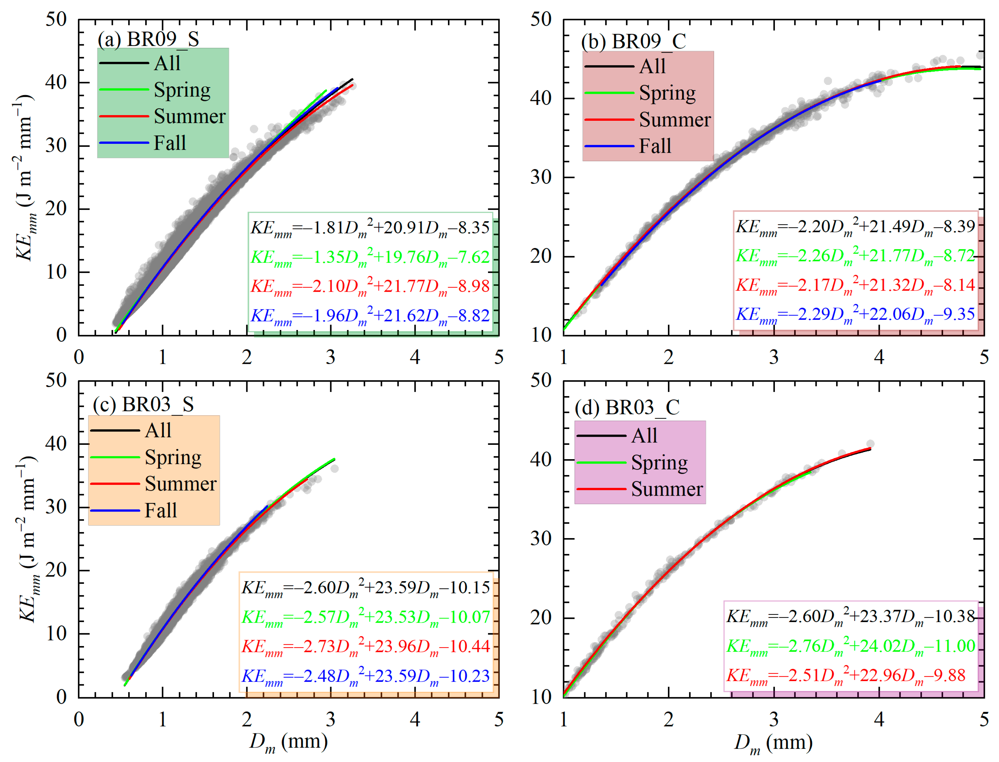
- For both stratiform and convective rainfall under both BR03 and BR09 (i.e., BR09_S, BR09_C, BR03_S, and BR03_C), mean KEtime (17.535, 405.907, 28.590, and 379.887 J m−2 h−1, respectively), and KEmm (11.677, 32.209, 13.342, and 24.920 J m−2 mm−1, respectively) in summer were larger than those in other seasons. The KEtime–R and KEmm–Dm relationships for stratiform and convective rainfall under BR09 and BR03 were established and showed seasonal variations. The evaluation results showed that both types of RKEE schemes had excellent estimation performances for rainfall KE under BR09_S, BR09_C, BR03_S, and BR03_C, particularly the KEmm–Dm relationship.
- (3)
- For the entire dataset and three seasons, the mean Zh was close to 21.6, 20.4, 22.7, and 20.9 dBZ, respectively. The mean Zdr was largest (smallest) at 0.388 (0.269) dB in summer (spring), and the mean Kdp was largest (smallest) at 0.070 (0.029) ° km−1 in summer (fall). Dual-polarization radar QPE algorithms differed seasonally. The coefficient f(g) of the R(Zh) algorithm varied from 0.064 (0.491) to 0.072 (0.516), and the coefficient h(i) of the R(Kdp) algorithm varied from 13.097 (0.649) to 14.655 (0.680) between different seasons. For the entire dataset and all seasons, the double-parameter algorithms were better than the single-parameter algorithms. Moreover, the R(Kdp, Zdr) [R(Kdp)] algorithm was superior to the R(Zh, Zdr) [R(Zh)] algorithm.
- (4)
- Differences were found in different seasons and types of rainfall under BR03 and BR09 for the four types of dual-polarization radar QPE algorithms. For different seasons and rainfall types in BR03 and BR09, the double-parameter algorithms were better than the single-parameter algorithms, and the R(Kdp) algorithm was superior to the R(Zh) algorithm. For BR09_C, the R(Zh, Zdr) algorithm performed the best (worst) in spring (fall), while for BR09_S, the R(Kdp, Zdr) algorithm performed the best (worst) in summer (spring). For BR03_C (BR03_S), the double-parameter algorithm exhibited the best performance in spring (summer).
Author Contributions
Funding
Data Availability Statement
Acknowledgments
Conflicts of Interest
References
- Rosenfeld, D.; Ulbrich, C.W. Cloud microphysical properties, processes, and rainfall estimation opportunities. Meteorol. Monogr. 2003, 30, 237–258. [Google Scholar]
- Zhang, G.; Sun, J.; Brandes, E.A. Improving parameterization of rain microphysics with disdrometer and radar observations. J. Atmos. Sci. 2006, 63, 1273–1290. [Google Scholar]
- Mason, B.J. Physics of clouds and precipitation. Nature 1954, 174, 957–959. [Google Scholar]
- Fornis, R.L.; Vermeulen, H.R.; Nieuwenhuis, J.D. Kinetic Energy–Rainfall Intensity Relationship for Central Cebu, Philippines for Soil Erosion Studies. J. Hydrol. 2005, 300, 20–32. [Google Scholar] [CrossRef]
- Van, L.N.; Le, X.-H.; Nguyen, G.V.; Yeon, M.; May, D.T.T.; Lee, G. Comprehensive Relationships between Kinetic Energy and Rainfall Intensity Based on Precipitation Measurements from an OTT Parsivel2 Optical Disdrometer. Front. Environ. Sci. 2022, 10, 985516. [Google Scholar]
- Lim, Y.S.; Kim, J.K.; Kim, J.W.; Park, B.I.; Kim, M.S. Analysis of the Relationship between the Kinetic Energy and Intensity of Rainfall in Daejeon, Korea. Quat. Int. 2015, 384, 107–117. [Google Scholar] [CrossRef]
- Kinnell, P.I.A. Rainfall Intensity-Kinetic Energy Relationships for Soil Loss Prediction1. Soil Sci. Soc. Am. J. 1981, 45, 153. [Google Scholar]
- Steiner, M.; Smith, J.A. Reflectivity, Rain Rate, and Kinetic Energy Flux Relationships Based on Raindrop Spectra. J. Appl. Meteorol. 2000, 39, 1923–1940. [Google Scholar] [CrossRef]
- Seela, B.K.; Janapati, J.; Kalath Unnikrishnan, C.; Lin, P.-L.; Le Loh, J.; Chang, W.-Y.; Kumar, U.; Reddy, K.K.; Lee, D.-I.; Venkatrami Reddy, M. Raindrop Size Distributions of North Indian Ocean Tropical Cyclones Observed at the Coastal and Inland Stations in South India. Remote Sens. 2021, 13, 3178. [Google Scholar] [CrossRef]
- Ryzhkov, A.V.; Zrnic, D.S. Comparison of dual polarization radar estimators of rain. J. Atmos. Ocean. Technol. 1995, 12, 249–256. [Google Scholar] [CrossRef]
- Liao, L.; Meneghini, R.; Tokay, A. Uncertainties of GPM DPR rain estimates caused by DSD parameterizations. J. Appl. Meteor. Climatol. 2014, 53, 2524–2537. [Google Scholar] [CrossRef]
- Chen, B.; Yang, J.; Pu, J. Statistical characteristics of raindrop size distribution in the Meiyu season observed in eastern China. J. Meteorol. Soc. Jpn. 2013, 91, 215–227. [Google Scholar] [CrossRef]
- Zhang, Z.; Li, H.; Li, D.; Qi, Y. Spatial Variability of Raindrop Size Distribution at Beijing City Scale and Its Implications for Polarimetric Radar QPE. Remote Sens. 2023, 15, 3964. [Google Scholar] [CrossRef]
- Chen, G.; Zhao, K.; Zhang, G.; Huang, H.; Liu, S.; Wen, L.; Yang, Z.; Yang, Z.; Xu, L.; Zhu, W. Improving Polarimetric C-Band Radar Rainfall Estimation with Two-Dimensional Video Disdrometer Observations in Eastern China. J. Hydrometeorol. 2017, 18, 1375–1391. [Google Scholar] [CrossRef]
- Cao, Q.; Zhang, G.; Brandes, E.A.; Schuur, T.J. Polarimetric radar rain estimation through retrieval of drop size distribution using a Bayesian approach. J. Appl. Meteorol. Climatol. 2010, 49, 973–990. [Google Scholar] [CrossRef]
- Ulbrich, C.W. Natural variations in the analytical form of the raindrop size distribution. J. Clim. Appl. Meteorol. 1983, 22, 1764–1775. [Google Scholar] [CrossRef]
- Tokay, A.; Short, D.A. Evidence from tropical raindrop spectra of the origin of rain from stratiform versus convective clouds. J. Appl. Meteorol. 1996, 35, 355–371. [Google Scholar] [CrossRef]
- Bringi, V.N.; Chandrasekar, V.; Hubbert, J.; Gorgucci, E.; Randeu, W.L.; Schoenhuber, M. Raindrop size distribution in different climatic regimes from disdrometer and dual-polarized radar analysis. J. Atmos. Sci. 2003, 60, 354–365. [Google Scholar] [CrossRef]
- Konwar, M.; Das, S.K.; Deshpande, S.M.; Chakravarty, K.; Goswami, B.N. Microphysics of clouds and rain over the Western Ghat. J. Geophys. Res. Atmos. 2014, 119, 6140–6159. [Google Scholar] [CrossRef]
- Chen, B.; Hu, Z.; Liu, L.; Zhang, G. Raindrop Size Distribution Measurements at 4500 m on the Tibetan Plateau during TIPEX-III. J. Geophys. Res. Atmos. 2017, 12211, 11092–12006. [Google Scholar]
- Seela, B.K.; Janapati, J.; Lin, P.-L.; Reddy, K.K.; Shirooka, R.; Wang, P.K. A Comparison Study of Summer Season Raindrop Size Distribution between Palau and Taiwan, Two Islands in Western Pacific. J. Geophys. Res. Atmos. 2017, 122, 11–787. [Google Scholar] [CrossRef]
- Suh, S.-H.; You, C.-H.; Lee, D.-I. Climatological characteristics of raindrop size distributions in Busan, Republic of Korea. Hydrol. Earth Syst. Sci. 2016, 20, 193–207. [Google Scholar] [CrossRef]
- Wen, L.; Zhao, K.; Chen, G. Drop size distribution characteristics of seven typhoons in China. J. Geophys. Res. Atmos. 2018, 123, 6529–6548. [Google Scholar] [CrossRef]
- Zheng, J.; Liu, L.; Chen, H. Characteristics of warm clouds and precipitation in South China during the pre-flood season using datasets from a cloud radar, a ceilometer, and a disdrometer. Remote Sens. 2019, 11, 3045. [Google Scholar] [CrossRef]
- Zhang, A.; Hu, J.; Chen, S. Statistical characteristics of raindrop size distribution in the monsoon season observed in southern China. Remote Sens. 2019, 11, 432. [Google Scholar] [CrossRef]
- Wen, L.; Zhao, K.; Zhang, G. Statistical characteristics of raindrop size distributions observed in East China during the Asian summer monsoon season using 2-D video disdrometer and Micro Rain Radar data. J. Geophys. Res. Atmos. 2016, 121, 2265–2282. [Google Scholar] [CrossRef]
- Pu, K.; Liu, X.; Wu, Y.; Hu, S.; Liu, L.; Gao, T. A comparison study of raindrop size distribution among five sites at the urban scale during the East Asian rainy season. J. Hydrol. 2020, 590, 125500. [Google Scholar] [CrossRef]
- Wen, L.; Zhao, K.; Wang, M. Seasonal variations of observed raindrop size distribution in East China. Adv. Atmos. Sci. 2019, 36, 346–362. [Google Scholar] [CrossRef]
- Zhang, H.; Zhang, Y.; He, H. Comparison of raindrop size distributions in a midlatitude continental squall line during different stages as measured by Parsivel over East China. J. Appl. Meteorol. Climatol. 2017, 56, 2097–2111. [Google Scholar] [CrossRef]
- Luo, L.; Guo, J.; Chen, H. Microphysical characteristics of rainfall observed by a 2DVD disdrometer during different seasons in Beijing, China. Remote Sens. 2021, 13, 2303. [Google Scholar] [CrossRef]
- Ma, Y.; Ni, G.; Chandra, C.V. Statistical characteristics of raindrop size distribution during rainy seasons in the Beijing urban area and implications for radar rainfall estimation. Hydrol. Earth Syst. Sci. 2019, 23, 4153–4170. [Google Scholar] [CrossRef]
- Ji, L.; Chen, H.N.; Li, L.; Chen, B.J.; Xiao, X.; Chen, M.; Zhang, G.F. Raindrop size distributions and rain characteristics observed by a PARSIVEL disdrometer in Beijing, Northern China. Remote Sens. 2019, 11, 1479. [Google Scholar] [CrossRef]
- Wang, G.; Zhou, R.; Zhaxi, S.; Liu, S. Raindrop size distribution measurements on the Southeast Tibetan Plateau during the STEP project. Atmos. Res. 2021, 249, 105311. [Google Scholar] [CrossRef]
- Wang, G.; Li, R.; Sun, J. Comparative analysis of the characteristics of rainy season raindrop size distributions in two typical regions of the Tibetan Plateau. Adv. Atmos. Sci. 2022, 39, 1062–1078. [Google Scholar] [CrossRef]
- Janapati, J.; Seela, B.K.; Lin, P.L.; Lan, C.H.; Tu, C.C.; Kumar, U.; Huang, M.Q. An assessment of rainfall kinetic energy functional relationships with GPM DPR. J. Hydrol. 2023, 617, 128754. [Google Scholar] [CrossRef]
- Wu, H.; Niu, S.; Zhou, Y.; Sun, J.; Lv, J.; He, Y. Characteristics of Raindrop Size Distributions in the Southwest Mountain Areas of China According to Seasonal Variation and Rain Types. Remote Sens. 2023, 15, 1246. [Google Scholar] [CrossRef]
- Marshall, J.S.; Palmer, W.M. The distribution of raindrops with size. J. Meteor. 1948, 5, 165–166. [Google Scholar] [CrossRef]
- Fulton, R.A.; Breidenbach, J.P.; Seo, D.-J. The WSR-88D Rainfall Algorithm. Weather. Forecast. 1998, 13, 377–395. [Google Scholar] [CrossRef]
- Atlas, D.; Ulbrich, C.W.; Marks, F.D. Systematic variation of drop size and radar-rainfall relations. J. Geophys. Res. 1999, 104, 6155–6169. [Google Scholar] [CrossRef]
- Ulbrich, C.W.; Atlas, D. Microphysics of raindrop size spectra: Tropical continental and maritime storms. J. Appl. Meteor. Climatol. 2007, 46, 1777–1791. [Google Scholar] [CrossRef]
- Janapati, J.; Seela, B.K.; Lin, P.-L. Raindrop size distribution characteristics of Indian and Pacific Ocean tropical cyclones observed at India and Taiwan sites. J. Meteor. Soc. Jpn. 2020, 98, 299–317. [Google Scholar] [CrossRef]
- Janapati, J.; Seela, B.K.; Lin, P.-L.; Lee, M.-T.; Joseph, E. Microphysical features of typhoon and non-typhoon rainfall observed in Taiwan, an island in the northwestern Pacific. Hydrol. Earth Syst. Sci. 2021, 25, 4025–4040. [Google Scholar] [CrossRef]
- Kim, H.-J.; Jung, W.; Suh, S.-H.; Lee, D.-I.; You, C.-H. The Characteristics of raindrop size distribution at windward and leeward side over mountain area. Remote Sens. 2022, 14, 2419. [Google Scholar] [CrossRef]
- Li, R.; Wang, G.; Zhou, R.; Zhang, J.; Liu, L. Seasonal variation in microphysical characteristics of precipitation at the entrance of water vapor channel in Yarlung Zangbo Grand Canyon. Remote Sens. 2022, 14, 3149. [Google Scholar] [CrossRef]
- Cifelli, R.; Chandrasekar, V.; Lim, S.; Kennedy, P.C.; Wang, Y.; Rutledge, S.A. A new dual-polarization radar rainfall algorithm: Application in Colorado precipitation events. J. Atmos. Ocean. Technol. 2011, 28, 352–364. [Google Scholar] [CrossRef]
- You, C.-H.; Kang, M.; Lee, D.-I. Rainfall estimation by S-band polarimetric radar in Korea. Part I: Preprocessing and preliminary results. Meteorol. Appl. 2014, 21, 975–983. [Google Scholar] [CrossRef]
- Brandes, E.A.; Zhang, G.; Vivekanandan, J. Experiments in rainfall estimation with a polarimetric radar in a subtropical environment. J. Appl. Meteorol. 2002, 41, 674–685. [Google Scholar] [CrossRef]
- Li, Q.; Wei, J.; Yin, J.; Qiao, Z.; Cao, J.; Shi, Y. Microphysical characteristics of raindrop size distribution and implications for radar rainfall estimation over the northeastern Tibetan Plateau. J. Geophys. Res. Atmos. 2022, 127, e2021JD035575. [Google Scholar] [CrossRef]
- You, C.-H.; Suh, S.-H.; Jung, W.; Kim, H.-J.; Lee, D.-I. Dual-Polarization Radar-Based Quantitative Precipitation Estimation of Mountain Terrain Using Multi-Disdrometer Data. Remote Sens. 2022, 14, 2290. [Google Scholar] [CrossRef]
- Zhang, J.B.; Deng, Z.F. A Generality of Rainfall in Xinjiang; Meteorological Press: Beijing, China, 1987; pp. 1–10. (In Chinese) [Google Scholar]
- Yang, L.M.; Li, X.; Zhang, G.X. Some advances and problems in the study of heavy rain in Xinjiang. Clim. Environ. Res. 2011, 16, 188–198. (In Chinese) [Google Scholar]
- Zeng, Y.; Yang, L. Triggering mechanism of an extreme rainstorm process near the Tianshan Mountains in Xinjiang, an arid region in China, based on a numerical simulation. Adv. Meteorol. 2020, 2020, 8828060. [Google Scholar] [CrossRef]
- Zeng, Y.; Yang, L.; Zhang, Z.; Tong, Z.; Li, J.; Liu, F.; Zhang, J.; Jiang, Y. Characteristics of clouds and raindrop size distribution in Xinjiang, using cloud radar datasets and a disdrometer. Atmosphere 2020, 11, 1382. [Google Scholar] [CrossRef]
- Zeng, Y.; Yang, L.; Tong, Z.; Jiang, Y.; Zhang, Z.; Zhang, J.; Zhou, Y.; Li, J.; Liu, F.; Liu, J. Statistical characteristics of raindrop size distribution during rainy seasons in Northwest China. Adv. Meteorol. 2021, 2021, 6667786. [Google Scholar] [CrossRef]
- Zeng, Y.; Tong, Z.; Jiang, Y.; Zhou, Y. Microphysical characteristics of seasonal rainfall observed by a Parsivel disdrometer in the Tianshan Mountains, China. Atmos. Res. 2022, 280, 106459. [Google Scholar] [CrossRef]
- Zeng, Y.; Yang, L.; Tong, Z.; Jiang, Y.; Chen, P.; Zhou, Y. Characteristics and applications of summer season raindrop size distributions based on a PARSIVEL2 disdrometer in the western Tianshan Mountains (China). Remote Sens. 2022, 14, 3988. [Google Scholar] [CrossRef]
- Zeng, Y.; Yang, L.; Zhou, Y.; Tong, Z.; Jiang, Y.; Chen, P. Characteristics of orographic raindrop size distribution in the Tianshan Mountains, China. Atmos. Res. 2022, 278, 106332. [Google Scholar] [CrossRef]
- Zeng, Y.; Yang, L.; Zhou, Y.; Tong, Z.; Jiang, Y. Statistical characteristics of summer season raindrop size distribution in the western and central Tianshan Mountains in China. J. Meteor. Soc. Jpn. 2022, 100, 855–872. [Google Scholar] [CrossRef]
- Zeng, Y.; Yang, L.; Li, J.; Jiang, Y.; Tong, Z.; Li, X.; Li, H.; Liu, J.; Lu, X.; Zhou, Y. Seasonal variation of microphysical characteristics for different rainfall types in the Tianshan Mountains of China. Atmos. Res. 2023, 295, 107024. [Google Scholar] [CrossRef]
- Zeng, Y.; Li, J.; Yang, L.; Li, H.; Li, X.; Tong, Z.; Jiang, Y.; Liu, J.; Zhang, J.; Zhou, Y. Microphysical Characteristics of Raindrop Size Distribution and Implications for Dual-Polarization Radar Quantitative Precipitation Estimations in the Tianshan Mountains, China. Remote Sens. 2023, 15, 2668. [Google Scholar] [CrossRef]
- Chen, P.; Wang, P.; Li, Z.; Yang, Y.; Jia, Y.; Yang, M.; Peng, J.; Li, H. Raindrop Size Distribution Characteristics of Heavy Precipitation Events Based on a PWS100 Disdrometer in the Alpine Mountains, Eastern Tianshan, China. Remote Sens. 2023, 15, 5068. [Google Scholar] [CrossRef]
- Bringi, V.N.; Williams, C.R.; Thurai, M. Using dual-polarized radar and dual-frequency profiler for DSD characterization: A case study from Darwin, Australia. J. Atmos. Oceanic Technol. 2009, 26, 2107–2122. [Google Scholar] [CrossRef]
- Löffler-Mang, M.; Joss, J. An optical disdrometer for measuring size and velocity of hydrometeors. J. Atmos. Ocean. Technol. 2000, 17, 130–139. [Google Scholar] [CrossRef]
- Yuter, S.E.; Kingsmill, D.E.; Nance, L.B.; Löffler-Mang, M. Observations of precipitation size and fall speed characteristics within coexisting rain and wet snow. J. Appl. Meteorol. 2006, 45, 1450–1464. [Google Scholar] [CrossRef]
- Huang, C.; Chen, S.; Zhang, A.; Pang, Y. Statistical characteristics of raindrop size distribution in monsoon season over South China Sea. Remote Sens. 2021, 13, 2878. [Google Scholar] [CrossRef]
- Chen, B.; Yang, J.; Gao, R.; Zhu, K.; Zou, C.; Gong, Y.; Zhang, R. Vertical variability of the raindrop size distribution in typhoons observed at the Shenzhen 356-m meteorological tower. J. Atmos. Sci. 2020, 77, 4171–4187. [Google Scholar] [CrossRef]
- Fu, Z.; Dong, X.; Zhou, L.; Cui, W.; Wang, J.; Wan, R.; Leng, L.; Xi, B. Statistical characteristics of raindrop size distributions and parameters in Central China during the Meiyu seasons. J. Geophys. Res. Atmos. 2020, 125, e2019JD031954. [Google Scholar] [CrossRef]
- Liu, X.; Xue, L.; Chen, B.; Zhang, Y. Characteristics of raindrop size distributions in Chongqing observed by a dense network of disdrometers. J. Geophys. Res. Atmos. 2021, 126, e2021JD035172. [Google Scholar] [CrossRef]
- Sreekanth, T.S.; Varikoden, H.; Sukumar, N.; Mohan Kumar, G. Microphysical characteristics of rainfall during different seasons over a coastal tropical station using disdrometer. Hydrol. Process. 2017, 31, 2556–2565. [Google Scholar] [CrossRef]
- Tokay, A.; Petersen, W.A.; Gatlin, P.; Wingo, M. Comparison of raindrop size distribution measurements by collocated disdrometers. J. Atmos. Ocean. Technol. 2013, 30, 1672–1690. [Google Scholar] [CrossRef]
- Friedrich, K.; Higgins, S.; Masters, F.J.; Lopez, C.R. Articulating and stationary PARSIVEL disdrometer measurements in conditions with strong Winds and heavy rainfall. J. Atmos. Oceanic Technol. 2013, 30, 2063–2080. [Google Scholar] [CrossRef]
- Salles, C.; Poesen, J.; Sempere-Torres, D. Kinetic energy of rain and its functional relationship with intensity. J. Hydrol. 2002, 257, 256–270. [Google Scholar] [CrossRef]
- Van Dijk, A.; Bruijnzeel, L.A.; Rosewell, C.J. Rainfall intensity–kinetic energy relationships: A critical literature appraisal. J. Hydrol. 2002, 261, 1–23. [Google Scholar] [CrossRef]
- Tokay, A.; Wolff, D.B.; Petersen, W.A. Evaluation of the new version of the laser-optical disdrometer, OTT Parsivel2. J. Atmos. Ocean. Technol. 2014, 31, 1276–1288. [Google Scholar] [CrossRef]
- Battaglia, A.; Rustemeier, E.; Tokay, A. PARSIVEL snow observations: A critical assessment. J. Atmos. Oceanic Technol. 2010, 27, 333–344. [Google Scholar] [CrossRef]
- Testud, J.; Oury, S.; Amayenc, P.; Black, R.A. The concept of “normalized” distributions to describe raindrop spectra: A tool for cloud physics and cloud remote sensing. J. Appl. Meteorol. 2001, 40, 1118–1140. [Google Scholar] [CrossRef]
- Kalogiros, J.; Anagnostou, M.N.; Anagnostou, E.N. Optimum estimation of rain microphysical parameters from X-band dual-polarization radar observables. IEEE Trans. Geosci. Remote Sens. 2013, 51, 3063–3076. [Google Scholar] [CrossRef]
- Leinonen, J. High-level interface to T-matrix scattering calculations: Architecture, capabilities and limitations. Opt. Express 2014, 22, 1655–1660. [Google Scholar] [CrossRef]
- Waterman, P.C. Matrix formulation of electromagnetic scattering. Proc. IEEE 1965, 53, 805–812. [Google Scholar] [CrossRef]
- Tokay, A.; Short, D.A.; Williams, C.R.; Ecklund, W.L.; Gage, K.S. Tropical Rainfall Associated with Convective and Stratiform Clouds: Intercomparison of Disdrometer and Profiler Measurements. J. Appl. Meteorol. 1999, 38, 302–320. [Google Scholar] [CrossRef]
- Dolan, B.; Fuchs, B.; Rutledge, S.A.; Barnes, E.A.; Thompson, E.J. Primary modes of global drop size distributions. J. Atmos. Sci. 2018, 75, 1453–1476. [Google Scholar] [CrossRef]
- Lee, M.T.; Lin, P.L.; Chang, W.Y.; Seela, B.K.; Janapati, J. Microphysical characteristics and types of precipitation for different seasons over North Taiwan. J. Meteor. Soc. Jpn. 2019, 97, 841–865. [Google Scholar] [CrossRef]
- Seela, B.K.; Janapati, J.; Lin, P.-L.; Lan, C.-H.; Shirooka, R.; Hashiguchi, H.; Reddy, K.K. Raindrop Size Distribution Characteristics of the Western Pacific Tropical Cyclones Measured in the Palau Islands. Remote Sens. 2022, 14, 470. [Google Scholar] [CrossRef]
- Guo, Z.; Hu, S.; Liu, X.; Chen, X.; Zhang, H.; Qi, T.; Zeng, G. Improving S-band polarimetric radar monsoon rainfall estimation with two-dimensional video disdrometer observations in South China. Atmosphere 2021, 12, 831. [Google Scholar] [CrossRef]


















| R(Zh) = f × Zhg | R(Kdp) = h × Kdpi | R(Zh,Zdr) = j × Zhk × 10l×Zdr | R(Kdp,Zdr) = m × Kdpn × 10o×Zdr | |||||||
|---|---|---|---|---|---|---|---|---|---|---|
| f | g | h | i | j | k | l | m | n | o | |
| All | 0.067 | 0.504 | 13.481 | 0.669 | 0.018 | 0.766 | −0.345 | 25.670 | 0.822 | −0.170 |
| Spring | 0.067 | 0.516 | 14.655 | 0.666 | 0.018 | 0.800 | −0.446 | 30.275 | 0.827 | −0.218 |
| Summer | 0.064 | 0.506 | 13.097 | 0.680 | 0.016 | 0.763 | −0.311 | 24.184 | 0.831 | −0.156 |
| Fall | 0.072 | 0.491 | 13.176 | 0.649 | 0.018 | 0.822 | −0.593 | 30.789 | 0.816 | −0.274 |
| R(Zh) = f × Zhg | R(Kdp) = h × Kdpi | R(Zh,Zdr) = j × Zhk × 10l×Zdr | R(Kdp,Zdr) = m × Kdpn × 10o×Zdr | |||||||
|---|---|---|---|---|---|---|---|---|---|---|
| BR09_S | f | g | h | i | j | k | l | m | n | o |
| All | 0.060 | 0.521 | 14.640 | 0.690 | 0.014 | 0.867 | −0.675 | 38.775 | 0.864 | −0.370 |
| Spring | 0.063 | 0.524 | 15.717 | 0.688 | 0.015 | 0.858 | −0.653 | 38.710 | 0.853 | −0.352 |
| Summer | 0.056 | 0.525 | 14.318 | 0.699 | 0.013 | 0.877 | −0.680 | 38.794 | 0.876 | −0.370 |
| Fall | 0.054 | 0.535 | 15.828 | 0.711 | 0.016 | 0.852 | −0.669 | 37.766 | 0.849 | −0.372 |
| BR09_C | f | g | h | i | j | k | l | m | n | o |
| All | 0.067 | 0.504 | 12.591 | 0.762 | 0.009 | 0.808 | −0.291 | 22.139 | 0.894 | −0.144 |
| Spring | 0.097 | 0.482 | 14.194 | 0.703 | 0.018 | 0.772 | −0.367 | 26.876 | 0.849 | −0.186 |
| Summer | 0.054 | 0.521 | 12.098 | 0.786 | 0.006 | 0.837 | −0.277 | 20.926 | 0.919 | −0.135 |
| Fall | 0.102 | 0.451 | 12.127 | 0.692 | 0.048 | 0.615 | −0.225 | 17.978 | 0.763 | −0.102 |
| R(Zh) = f × Zhg | R(Kdp) = h × Kdpi | R(Zh,Zdr) = j × Zhk × 10l×Zdr | R(Kdp,Zdr) = m × Kdpn × 10o×Zdr | |||||||
|---|---|---|---|---|---|---|---|---|---|---|
| BR03_S | f | g | h | i | j | k | l | m | n | o |
| All | 0.142 | 0.403 | 11.178 | 0.575 | 0.017 | 0.842 | −0.641 | 36.243 | 0.837 | −0.345 |
| Spring | 0.154 | 0.391 | 10.830 | 0.558 | 0.017 | 0.835 | −0.622 | 35.616 | 0.829 | −0.329 |
| Summer | 0.126 | 0.418 | 11.580 | 0.597 | 0.015 | 0.859 | −0.655 | 37.503 | 0.855 | −0.353 |
| Fall | 0.158 | 0.394 | 11.653 | 0.577 | 0.019 | 0.824 | −0.644 | 35.790 | 0.820 | −0.357 |
| BR03_C | f | g | h | i | j | k | l | m | n | o |
| All | 0.526 | 0.335 | 15.942 | 0.539 | 0.046 | 0.662 | −0.281 | 25.984 | 0.776 | −0.155 |
| Spring | 0.506 | 0.346 | 16.909 | 0.530 | 0.066 | 0.627 | −0.273 | 25.102 | 0.714 | −0.137 |
| Summer | 0.417 | 0.350 | 14.936 | 0.571 | 0.032 | 0.696 | −0.280 | 26.054 | 0.831 | −0.164 |
Disclaimer/Publisher’s Note: The statements, opinions and data contained in all publications are solely those of the individual author(s) and contributor(s) and not of MDPI and/or the editor(s). MDPI and/or the editor(s) disclaim responsibility for any injury to people or property resulting from any ideas, methods, instructions or products referred to in the content. |
© 2024 by the authors. Licensee MDPI, Basel, Switzerland. This article is an open access article distributed under the terms and conditions of the Creative Commons Attribution (CC BY) license (https://creativecommons.org/licenses/by/4.0/).
Share and Cite
Zeng, Y.; Yang, L.; Tong, Z.; Jiang, Y.; Abulikemu, A.; Lu, X.; Li, X. Seasonal Variations in the Rainfall Kinetic Energy Estimation and the Dual-Polarization Radar Quantitative Precipitation Estimation Under Different Rainfall Types in the Tianshan Mountains, China. Remote Sens. 2024, 16, 3859. https://doi.org/10.3390/rs16203859
Zeng Y, Yang L, Tong Z, Jiang Y, Abulikemu A, Lu X, Li X. Seasonal Variations in the Rainfall Kinetic Energy Estimation and the Dual-Polarization Radar Quantitative Precipitation Estimation Under Different Rainfall Types in the Tianshan Mountains, China. Remote Sensing. 2024; 16(20):3859. https://doi.org/10.3390/rs16203859
Chicago/Turabian StyleZeng, Yong, Lianmei Yang, Zepeng Tong, Yufei Jiang, Abuduwaili Abulikemu, Xinyu Lu, and Xiaomeng Li. 2024. "Seasonal Variations in the Rainfall Kinetic Energy Estimation and the Dual-Polarization Radar Quantitative Precipitation Estimation Under Different Rainfall Types in the Tianshan Mountains, China" Remote Sensing 16, no. 20: 3859. https://doi.org/10.3390/rs16203859
APA StyleZeng, Y., Yang, L., Tong, Z., Jiang, Y., Abulikemu, A., Lu, X., & Li, X. (2024). Seasonal Variations in the Rainfall Kinetic Energy Estimation and the Dual-Polarization Radar Quantitative Precipitation Estimation Under Different Rainfall Types in the Tianshan Mountains, China. Remote Sensing, 16(20), 3859. https://doi.org/10.3390/rs16203859

