Incidence Angle Normalization of C-Band Radar Backscattering Coefficient over Agricultural Surfaces Using Dynamic Cosine Method
Abstract
1. Introduction
2. Materials and Methods
2.1. Study Area
2.2. Datasets
2.2.1. Sentinel-1 Data
2.2.2. Sentinel-2 Data
2.2.3. ERA-5 Land Precipitation Data
2.3. Normalization Method
2.3.1. Angular Dependence of the S1 Backscattering Coefficient
2.3.2. N Value Estimation
2.3.3. Construction of the Relationship between N and Vegetation Descriptors
- Before the date of maximum NDVI: from 1 April 2021 to the date of the maximum average NDVI (1 August 2021 and 1 September 2021, respectively, for sunflower and for the two other crops (corn and soybean)). The regression relationship was established using only data from this range of dates.
- After the date of maximum NDVI: from 1 August 2021 to 1 September 2021, respectively, for sunflower and for the two other crops (corn and soybean) to 30 November 2021. The regression relationship was established using only data in this range of dates.
3. Results
3.1. Estimated Ns
3.2. Dynamic N Relationships
- Before the date of the maximum NDVI: The linear regression relationships between N and NDVI for the VV polarization before and after the maximum NDVI, expressed as N = −2.59 NDVI + 3.96 and N = −3.61 NDVI + 4.24, respectively (Figure 8a,b).
- After the date of maximum NDVI: The relationships between N and NDVI before and after the maximum NDVI for the VH polarization, expressed as N = −2.30 NDVI + 2.91 and N = −2.65 NDVI + 3.14, respectively (Figure 8c,d).
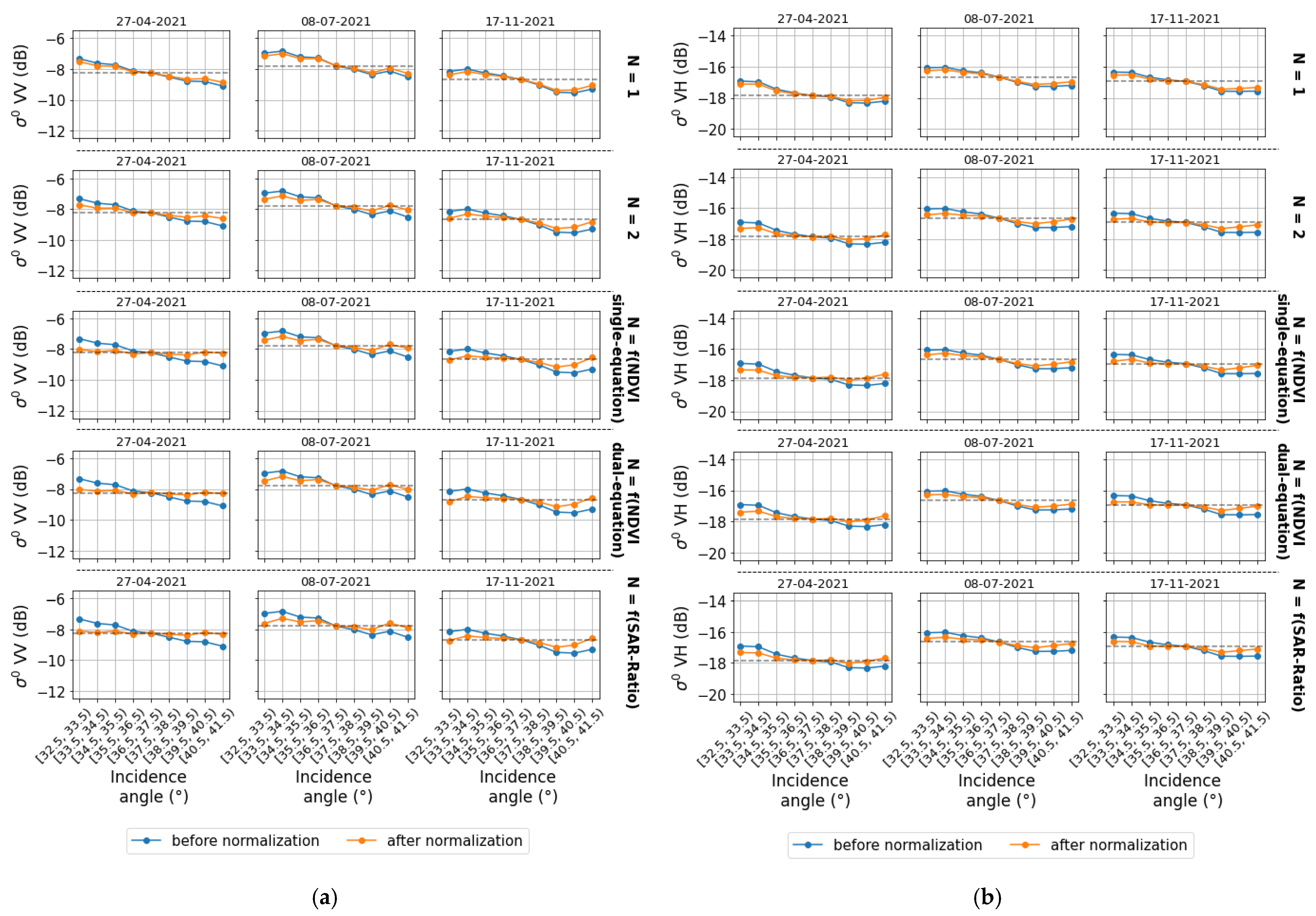
3.3. Normalization of S1 Data
4. Discussion
5. Conclusions
Author Contributions
Funding
Data Availability Statement
Acknowledgments
Conflicts of Interest
Appendix A



References
- Torres, R.; Snoeij, P.; Geudtner, D.; Bibby, D.; Davidson, M.; Attema, E.; Potin, P.; Rommen, B.; Floury, N.; Brown, M.; et al. GMES Sentinel-1 mission. Remote Sens. Environ. 2012, 120, 9–24. [Google Scholar] [CrossRef]
- Betbeder, J.; Rapinel, S.; Corgne, S.; Pottier, E.; Hubert-Moy, L. TerraSAR-X dual-pol time-series for mapping of wetland vegetation. ISPRS J. Photogramm. Remote Sens. 2015, 107, 90–98. [Google Scholar] [CrossRef]
- Maleki, S.; Baghdadi, N.; Dantas, C.F.; Najem, S.; Bazzi, H.; Reluy, N.P.; Ienco, D.; Zribi, M. Artificial Intelligence Algorithms for Rapeseed Fields Mapping Using Sentinel-1 Time Series: Temporal Transfer Scenario and Ground Sampling Constraints. IEEE J. Sel. Top. Appl. Earth Obs. Remote Sens. 2023, 16, 8884–8899. [Google Scholar] [CrossRef]
- Najem, S.; Baghdadi, N.; Bazzi, H.; Lalande, N.; Bouchet, L. Detection and Mapping of Cover Crops using Sentinel-1 SAR Remote Sensing data. IEEE J. Sel. Top. Appl. Earth Obs. Remote Sens. 2023, 17, 1446–1461. [Google Scholar] [CrossRef]
- Bazzi, H.; Baghdadi, N.; Najem, S.; Jaafar, H.; Le Page, M.; Zribi, M.; Faraslis, I.; Spiliotopoulos, M. Detecting Irrigation Events over Semi-Arid and Temperate Climatic Areas Using Sentinel-1 Data: Case of Several Summer Crops. Agronomy 2022, 12, 2725. [Google Scholar] [CrossRef]
- Bazzi, H.; Baghdadi, N.; El Hajj, M.; Zribi, M.; Belhouchette, H. A Comparison of Two Soil Moisture Products S2MP and Copernicus-SSM Over Southern France. IEEE J. Sel. Top. Appl. Earth Obs. Remote Sens. 2019, 12, 3366–3375. [Google Scholar] [CrossRef]
- Dimov, D.; Löw, F.; Ibrakhimov, M.; Stulina, G.; Conrad, C. SAR and optical time series for crop classification. In Proceedings of the 2017 IEEE International Geoscience and Remote Sensing Symposium (IGARSS), Fort Worth, TX, USA, 23–28 July 2017; pp. 811–814. [Google Scholar]
- Shi, J.; Dozier, J. Estimation of snow water equivalence using SIR-C/X-SAR. I. Inferring snow density and subsurface properties. IEEE Trans. Geosci. Remote Sens. 2000, 38, 2465–2474. [Google Scholar] [CrossRef]
- Wang, Y.; Day, J.L.; Davis, F.W.; Melack, J.M. Modeling L-band radar backscatter of Alaskan boreal forest. IEEE Trans. Geosci. Remote Sens. 1993, 31, 1146–1154. [Google Scholar] [CrossRef]
- Aldenhoff, W.; Eriksson, L.E.B.; Ye, Y.; Heuzé, C. First-Year and Multiyear Sea Ice Incidence Angle Normalization of Dual-Polarized Sentinel-1 SAR Images in the Beaufort Sea. IEEE J. Sel. Top. Appl. Earth Obs. Remote Sens. 2020, 13, 1540–1550. [Google Scholar] [CrossRef]
- Zribi, M.; Baghdadi, N.; Holah, N.; Fafin, O. New methodology for soil surface moisture estimation and its application to ENVISAT-ASAR multi-incidence data inversion. Remote Sens. Environ. 2005, 96, 485–496. [Google Scholar] [CrossRef]
- Gill, J.P.S.; Yackel, J.J.; Geldsetzer, T.; Fuller, M.C. Sensitivity of C-band synthetic aperture radar polarimetric parameters to snow thickness over landfast smooth first-year sea ice. Remote Sens. Environ. 2015, 166, 34–49. [Google Scholar] [CrossRef]
- Mäkynen, M.; Karvonen, J. Incidence Angle Dependence of First-Year Sea Ice Backscattering Coefficient in Sentinel-1 SAR Imagery Over the Kara Sea. IEEE Trans. Geosci. Remote Sens. 2017, 55, 6170–6181. [Google Scholar] [CrossRef]
- Komarov, A.S.; Buehner, M. Detection of First-Year and Multi-Year Sea Ice from Dual-Polarization SAR Images Under Cold Conditions. IEEE Trans. Geosci. Remote Sens. 2019, 57, 9109–9123. [Google Scholar] [CrossRef]
- Makynen, M.P.; Manninen, A.T.; Simila, M.H.; Karvonen, J.A.; Hallikainen, M.T. Incidence angle dependence of the statistical properties of C-band HH-polarization backscattering signatures of the Baltic Sea ice. IEEE Trans. Geosci. Remote Sens. 2002, 40, 2593–2605. [Google Scholar] [CrossRef]
- Paluba, D.; Laštovička, J.; Mouratidis, A.; Štych, P. Land Cover-Specific Local Incidence Angle Correction: A Method for Time-Series Analysis of Forest Ecosystems. Remote Sens. 2021, 13, 1743. [Google Scholar] [CrossRef]
- Mladenova, I.E.; Jackson, T.J.; Bindlish, R.; Hensley, S. Incidence Angle Normalization of Radar Backscatter Data. IEEE Trans. Geosci. Remote Sens. 2013, 51, 1791–1804. [Google Scholar] [CrossRef]
- Feng, Z.; Zheng, X.; Li, L.; Li, B.; Chen, S.; Guo, T.; Wang, X.; Jiang, T.; Li, X.; Li, X. Dynamic Cosine Method for Normalizing Incidence Angle Effect on C-band Radar Backscattering Coefficient for Maize Canopies Based on NDVI. Remote Sens. 2021, 13, 2856. [Google Scholar] [CrossRef]
- Hoekman, D.H.; Reiche, J. Multi-model radiometric slope correction of SAR images of complex terrain using a two-stage semi-empirical approach. Remote Sens. Environ. 2015, 156, 1–10. [Google Scholar] [CrossRef]
- Small, D. Flattening Gamma: Radiometric Terrain Correction for SAR Imagery. IEEE Trans. Geosci. Remote Sens. 2011, 49, 3081–3093. [Google Scholar] [CrossRef]
- Zhao, L.; Chen, E.; Li, Z.; Zhang, W.; Gu, X. Three-Step Semi-Empirical Radiometric Terrain Correction Approach for PolSAR Data Applied to Forested Areas. Remote Sens. 2017, 9, 269. [Google Scholar] [CrossRef]
- Lang, W.; Zhang, P.; Wu, J.; Shen, Y.; Yang, X. Incidence Angle Correction of SAR Sea Ice Data Based on Locally Linear Mapping. IEEE Trans. Geosci. Remote Sens. 2016, 54, 3188–3199. [Google Scholar] [CrossRef]
- Widhalm, B.; Bartsch, A.; Goler, R. Simplified Normalization of C-Band Synthetic Aperture Radar Data for Terrestrial Applications in High Latitude Environments. Remote Sens. 2018, 10, 551. [Google Scholar] [CrossRef]
- Ulaby, F.T.; Moore, R.K.; Fung, A.K. Microwave Remote Sensing: Active and Passive. Volume 2-Radar Remote Sensing and Surface Scattering and Emission Theory; Artech House: Norwood, MA, USA, 1982. [Google Scholar]
- Topouzelis, K.; Singha, S.; Kitsiou, D. Incidence angle normalization of Wide Swath SAR data for oceanographic applications. Open Geosci. 2016, 8, 450–464. [Google Scholar] [CrossRef]
- Ardila, J.P.; Tolpekin, V.; Bijker, W. Angular Backscatter Variation in L-Band ALOS ScanSAR Images of Tropical Forest Areas. IEEE Geosci. Remote Sens. Lett. 2010, 7, 821–825. [Google Scholar] [CrossRef]
- Clapp, R.E. A Theoretical and Experimental Study of Radar Ground Return; Radiation Laboratory, Massachusetts Institute of Technology: Cambridge, MA, USA, 1946. [Google Scholar]
- Guo, H. Digital Earth: Big Earth Data. Int. J. Digit. Earth 2014, 7, 1–2. [Google Scholar] [CrossRef]
- Zribi, M.; Chahbi, A.; Shabou, M.; Lili-Chabaane, Z.; Duchemin, B.; Baghdadi, N.; Amri, R.; Chehbouni, A. Soil surface moisture estimation over a semi-arid region using ENVISAT ASAR radar data for soil evaporation evaluation. Hydrol. Earth Syst. Sci. 2011, 15, 345–358. [Google Scholar] [CrossRef]
- Baghdadi, N.; Bernier, M.; Gauthier, R.; Neeson, I. Evaluation of C-band SAR data for wetlands mapping. Int. J. Remote Sens. 2001, 22, 71–88. [Google Scholar] [CrossRef]
- Van Doninck, J.; Wagner, W.; Melzer, T.; De Baets, B.; Verhoest, N.E.C. Seasonality in the Angular Dependence of ASAR Wide Swath Backscatter. IEEE Geosci. Remote Sens. Lett. 2014, 11, 1423–1427. [Google Scholar] [CrossRef]
- Fieuzal, R.; Baup, F.; Marais-Sicre, C. Monitoring Wheat and Rapeseed by Using Synchronous Optical and Radar Satellite Data—From Temporal Signatures to Crop Parameters Estimation. Adv. Remote Sens. 2013, 2, 162–180. [Google Scholar] [CrossRef]
- Cristea, A.; van Houtte, J.; Doulgeris, A.P. Integrating Incidence Angle Dependencies Into the Clustering-Based Segmentation of SAR Images. IEEE J. Sel. Top. Appl. Earth Obs. Remote Sens. 2020, 13, 2925–2939. [Google Scholar] [CrossRef]
- Huete, A.R.; Liu, H.Q. An error and sensitivity analysis of the atmospheric- and soil-correcting variants of the NDVI for the MODIS-EOS. IEEE Trans. Geosci. Remote Sens. 1994, 32, 897–905. [Google Scholar] [CrossRef]
- Leprieur, C.; Kerr, Y.H.; Mastorchio, S.; Meunier, J.C. Monitoring vegetation cover across semi-arid regions: Comparison of remote observations from various scales. Int. J. Remote Sens. 2000, 21, 281–300. [Google Scholar] [CrossRef]
- Shu, M.; Zhou, L.; Gu, X.; Ma, Y.; Sun, Q.; Yang, G.; Zhou, C. Monitoring of maize lodging using multi-temporal Sentinel-1 SAR data. Adv. Space Res. 2020, 65, 470–480. [Google Scholar] [CrossRef]
- Mandal, D.; Kumar, V.; Ratha, D.; Dey, S.; Bhattacharya, A.; Lopez-Sanchez, J.M.; McNairn, H.; Rao, Y.S. Dual polarimetric radar vegetation index for crop growth monitoring using sentinel-1 SAR data. Remote Sens. Environ. 2020, 247, 111954. [Google Scholar] [CrossRef]
- Ayari, E.; Kassouk, Z.; Lili-Chabaane, Z.; Ouaadi, N.; Baghdadi, N.; Zribi, M. NDVI estimation using Sentinel-1 data over wheat fields in a semiarid Mediterranean region. GIScience Remote Sens. 2024, 61, 2357878. [Google Scholar] [CrossRef]
- Rolle, M.; Tamea, S.; Claps, P.; Ayari, E.; Baghdadi, N.; Zribi, M. Analysis of Maize Sowing Periods and Cycle Phases Using Sentinel 1&2 Data Synergy. Remote Sens. 2022, 14, 3712. [Google Scholar] [CrossRef]
- Shi, J.; Dozier, J.; Rott, H. Snow mapping in alpine regions with synthetic aperture radar. IEEE Trans. Geosci. Remote Sens. 1994, 32, 152–158. [Google Scholar] [CrossRef]
- Qadir, G.; Fayyaz-ul-Hassan; Malik, M.A. Growing degree days and yield relationship in sunflower (Helianthus annuus L.). Int. J. Agric. Biol. Pak. 2007, 9, 564–568. [Google Scholar]
- Hajj, M.E.; Baghdadi, N.; Belaud, G.; Zribi, M.; Cheviron, B.; Courault, D.; Hagolle, O.; Charron, F. Irrigated Grassland Monitoring Using a Time Series of TerraSAR-X and COSMO-SkyMed X-Band SAR Data. Remote Sens. 2014, 6, 10002–10032. [Google Scholar] [CrossRef]
- He, B.; Xing, M.; Bai, X. A Synergistic Methodology for Soil Moisture Estimation in an Alpine Prairie Using Radar and Optical Satellite Data. Remote Sens. 2014, 6, 10966–10985. [Google Scholar] [CrossRef]















| Approach | Formulas |
|---|---|
| NDVI single-equation | |
| Dual-equation NDVI | |
| SAR Ratio |
| Approach | VV | R2 | VH | R2 |
|---|---|---|---|---|
| NDVI single equation | 0.41 | 0.28 | ||
| Dual equation before maximum NDVI | 0.42 | 0.26 | ||
| Dual equation after maximum NDVI | 0.51 | 0.41 | ||
| SAR Ratio | 0.33 | 0.13 |
Disclaimer/Publisher’s Note: The statements, opinions and data contained in all publications are solely those of the individual author(s) and contributor(s) and not of MDPI and/or the editor(s). MDPI and/or the editor(s) disclaim responsibility for any injury to people or property resulting from any ideas, methods, instructions or products referred to in the content. |
© 2024 by the authors. Licensee MDPI, Basel, Switzerland. This article is an open access article distributed under the terms and conditions of the Creative Commons Attribution (CC BY) license (https://creativecommons.org/licenses/by/4.0/).
Share and Cite
Najem, S.; Baghdadi, N.; Bazzi, H.; Zribi, M. Incidence Angle Normalization of C-Band Radar Backscattering Coefficient over Agricultural Surfaces Using Dynamic Cosine Method. Remote Sens. 2024, 16, 3838. https://doi.org/10.3390/rs16203838
Najem S, Baghdadi N, Bazzi H, Zribi M. Incidence Angle Normalization of C-Band Radar Backscattering Coefficient over Agricultural Surfaces Using Dynamic Cosine Method. Remote Sensing. 2024; 16(20):3838. https://doi.org/10.3390/rs16203838
Chicago/Turabian StyleNajem, Sami, Nicolas Baghdadi, Hassan Bazzi, and Mehrez Zribi. 2024. "Incidence Angle Normalization of C-Band Radar Backscattering Coefficient over Agricultural Surfaces Using Dynamic Cosine Method" Remote Sensing 16, no. 20: 3838. https://doi.org/10.3390/rs16203838
APA StyleNajem, S., Baghdadi, N., Bazzi, H., & Zribi, M. (2024). Incidence Angle Normalization of C-Band Radar Backscattering Coefficient over Agricultural Surfaces Using Dynamic Cosine Method. Remote Sensing, 16(20), 3838. https://doi.org/10.3390/rs16203838

