Analysis of the Grid Quantization for the Microwave Radar Coincidence Imaging Based on Basic Correlation Algorithm
Abstract
1. Introduction
2. Methodology
2.1. Imaging Model
2.2. Criterion of the Grid Quantization
2.2.1. Derivation of the PDF and the MFE
2.2.2. Analysis of the PDF
2.2.3. The Relationship between MFE and Grid Size
3. Simulations and Discussions
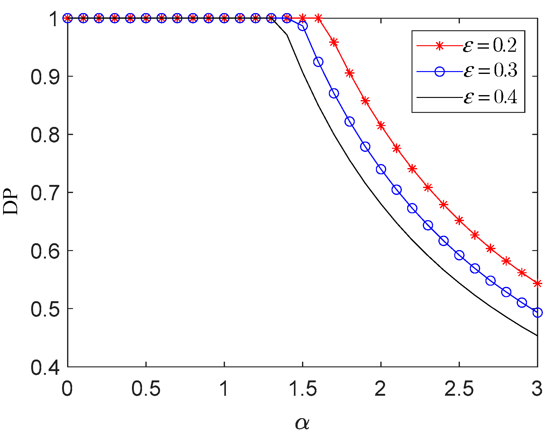
3.1. Verification of the BCA
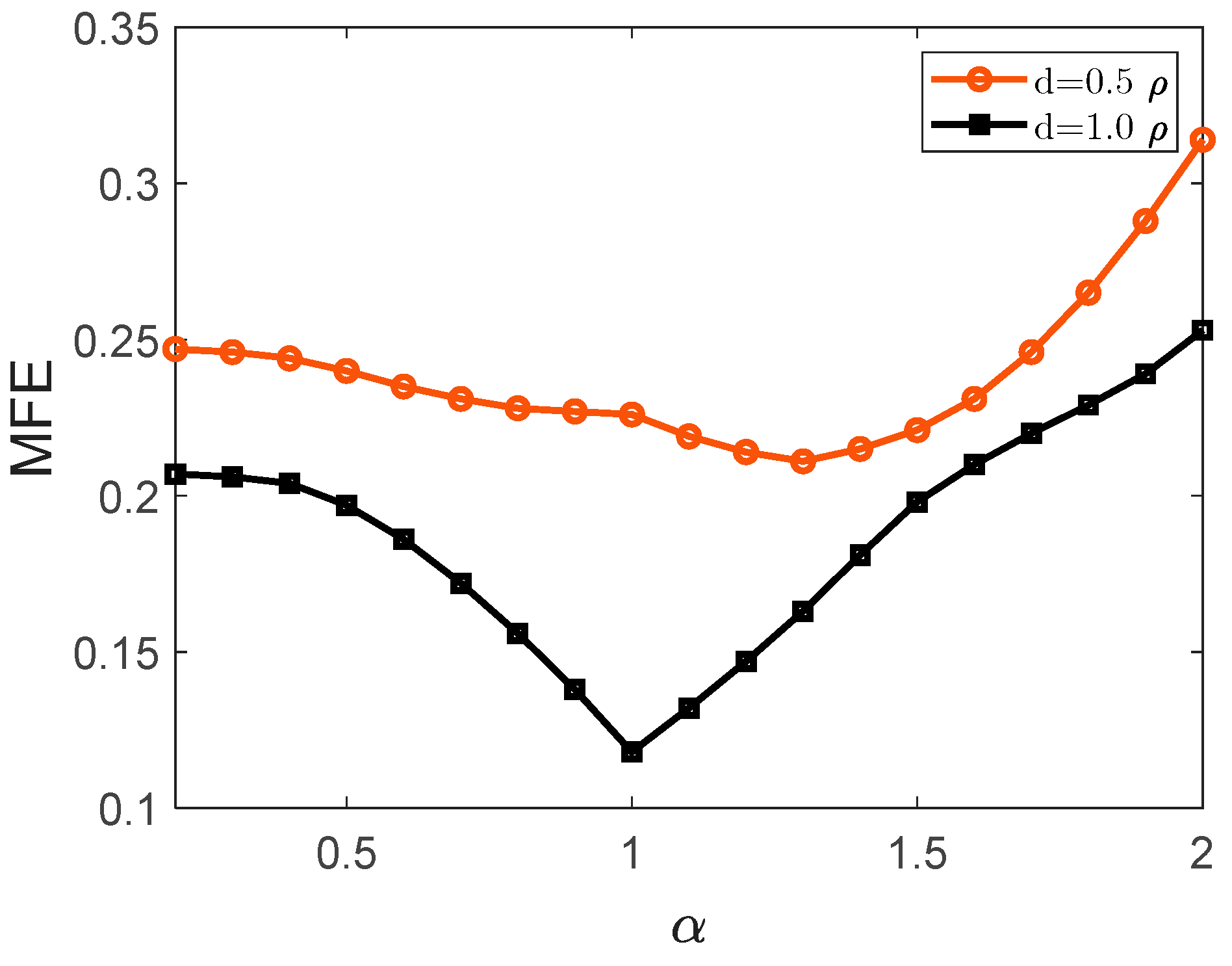
3.2. Verification of the Grid Quantization Criterion
4. Conclusions
Author Contributions
Funding
Data Availability Statement
Conflicts of Interest
References
- Ausherman, D.A.; Kozma, A.; Walker, J.L.; Jones, H.M.; Poggio, E.C. Developments in Radar Imaging. IEEE Trans. Aerosp. Electron. Syst. 1984, 20, 363–400. [Google Scholar] [CrossRef]
- Wiley, C.A. Synthetic Aperture Radars. IEEE Trans. Aerosp. Electron. Syst. 1985, 21, 440–443. [Google Scholar] [CrossRef]
- Xi, L.; Guosui, L.; Ni, J. Autofocusing of ISAR images based on entropy minimization. IEEE Trans. Aerosp. Electron. Syst. 1999, 35, 1240–1252. [Google Scholar] [CrossRef]
- Zhang, R.; Cheng, L.; Zhang, W.; Guan, X.; Cai, Y.; Wu, W.; Zhang, R. Channel Estimation for Movable-Antenna MIMO Systems via Tensor Decomposition. IEEE Wirel. Commun. Lett. 2024. early access. [Google Scholar] [CrossRef]
- Ma, Y.; Miao, C.; Long, W.; Zhang, R.; Chen, Q.; Zhang, J.; Wu, W. Time-Modulated Arrays in Scanning Mode Using Wideband Signals for Range-Doppler Estimation with Time-Frequency Filtering and Fusion. IEEE Trans. Aerosp. Electron. Syst. 2024, 60, 980–990. [Google Scholar] [CrossRef]
- Hardy, N.D.; Shapiro, J.H. Ghost imaging in reflection: Resolution, contrast, and signal-to-noise ratio. Quantum Communications and Quantum Imaging VIII. Proc. SPIE 2010, 7815, 78150L. [Google Scholar]
- Sun, B.; Welsh, S.; Edgar, M.P.; Shapiro, J.H.; Padgett, M. Normalized ghost imaging. Opt. Express 2012, 20, 16892–16901. [Google Scholar] [CrossRef]
- Li, D.; Li, X.; Qin, Y.; Cheng, Y.; Wang, H. Radar Coincidence Imaging: An Instantaneous Imaging Technique with Stochastic Signals. IEEE Trans. Geosci. Remote Sens. 2014, 52, 2261–2277. [Google Scholar]
- Zhu, S.; Zhang, A.; Xu, Z.; Dong, X. Radar Coincidence Imaging with Random Microwave Source. IEEE Antennas Wirel. Propag. Lett. 2015, 14, 1239–1242. [Google Scholar] [CrossRef]
- Zhu, S.; He, Y.; Shi, H.; Zhang, A.; Xu, Z.; Dong, X. Mixed Mode Radar Coincidence Imaging with Hybrid Excitation Radar Array. IEEE Trans. Aerosp. Electron. Syst. 2018, 54, 1589–1604. [Google Scholar] [CrossRef]
- Zhou, X.; Fan, B.; Wang, H.; Cheng, Y.; Qin, Y. Sparse Bayesian Perspective for Radar Coincidence Imaging with Array Position Error. IEEE Sens. J. 2017, 17, 5209–5219. [Google Scholar] [CrossRef]
- Zhu, S.; He, Y.; Chen, X.; Guo, C.; Shi, H.; Li, J.; Dong, X.; Zhang, A. Resolution Threshold Analysis of the Microwave Radar Coincidence Imaging. IEEE Trans. Geosci. Remote Sens. 2020, 58, 2232–2243. [Google Scholar] [CrossRef]
- Yuan, B.; Guo, Y.; Chen, W.; Wang, D. A Novel Microwave Staring Correlated Radar Imaging Method Based on Bi-Static Radar System. Sensors 2019, 19, 879. [Google Scholar] [CrossRef] [PubMed]
- Li, R.; Luo, Y.; Zhang, Q.; Chen, Y.-J.; Wang, D. Radar Coincidence Imaging with a Uniform Circular Array. IEEE Access 2020, 8, 105226–105236. [Google Scholar] [CrossRef]
- Li, D.; Li, X.; Cheng, Y.; Qin, Y.; Wang, H. Radar coincidence imaging in the presence of target-motion-induced error. J. Electron. Imag. 2014, 23, 023014. [Google Scholar] [CrossRef]
- Zhou, X.; Wang, H.; Cheng, Y.; Qin, Y. Radar coincidence imaging with phase error using Bayesian hierarchical prior modeling. J. Electron. Imag. 2016, 25, 013018. [Google Scholar] [CrossRef]
- Quan, Y.; Zhang, R.; Li, Y.; Xu, R.; Zhu, S.; Xing, M. Microwave Correlation Forward-Looking Super-Resolution Imaging Based on Compressed Sensing. IEEE Trans. Geosci. Remote Sens. 2021, 59, 8326–8337. [Google Scholar] [CrossRef]
- Bai, X.; Wang, G.; Liu, S.; Zhou, F. High-Resolution Radar Imaging in Low SNR Environments Based on Expectation Propagation. IEEE Trans. Geosci. Remote Sens. 2021, 59, 1275–1284. [Google Scholar] [CrossRef]
- Dai, F.; Zhang, S.; Li, L.; Liu, H. Enhancement of Metasurface Aperture Microwave Imaging via Information-Theoretic Waveform Optimization. IEEE Trans.Geosci. Remote Sens. 2022, 60, 1–12. [Google Scholar] [CrossRef]
- Cao, K.; Cheng, Y.; Liu, K.; Wang, J.; Liu, H.; Wang, H. Reweighted-Dynamic-Grid-Based Microwave Coincidence Imaging with Grid Mismatch. IEEE Trans. Geosci. Remote Sens. 2021, 60, 1–10. [Google Scholar] [CrossRef]
- Cao, K.; Cheng, Y.; Liu, K.; Wang, H.; Wang, J.; Liu, H. Off-Grid Microwave Coincidence Imaging Based on Directional Grid Fission. IEEE Antennas Wireless Propag. Lett. 2020, 19, 2497–2501. [Google Scholar] [CrossRef]
- Cao, K.; Cheng, Y.; Liu, K.; Wang, J.; Wang, H. Coherent-Detecting and Incoherent-Modulating Microwave Coincidence Imaging with Off-Grid Errors. IEEE Geosci. Remote Sens. Lett. 2022, 19, 1–5. [Google Scholar] [CrossRef]
- Dai, F.; Fu, H.; Hong, L.; Li, L.; Liu, H. Off-Grid Error and Amplitude–Phase Drift Calibration for Computational Microwave Imaging with Metasurface Aperture Based on Sparse Bayesian Learning. IEEE Trans. Geosci. Remote Sens. 2022, 60, 1–14. [Google Scholar] [CrossRef]
- Zhao, M.; Zhang, J.; Li, A.; García-Fernández, M.; Álvarez-Narciandi, G.; Zhu, S.; Yurduseven, O. Microwave Computational Imaging-Based Near-Field Measurement Method. IEEE Antennas Wireless Propag. Lett. 2024; early access. [Google Scholar] [CrossRef]
- Zhao, M.; Zhu, S.; Lynch, D.P.; Nian, Y.; Fromenteze, T.; Khalily, M.; Chen, X.; Fusco, V.; Yurduseven, O. Frequency-Diverse Metacavity Cassegrain Antenna for Differential Coincidence Imaging. IEEE Trans. Antennas Propag. 2023, 71, 9054–9059. [Google Scholar] [CrossRef]



















| Parameter (Variable Name) | Value |
|---|---|
| Imaging distance () | 100 m |
| Carrier frequency () | 10 GHz |
| Bandwidth | 500 MHz |
| Pulse width () | 100 μs |
| Sampling rate | 1.5 GHz |
Disclaimer/Publisher’s Note: The statements, opinions and data contained in all publications are solely those of the individual author(s) and contributor(s) and not of MDPI and/or the editor(s). MDPI and/or the editor(s) disclaim responsibility for any injury to people or property resulting from any ideas, methods, instructions or products referred to in the content. |
© 2024 by the authors. Licensee MDPI, Basel, Switzerland. This article is an open access article distributed under the terms and conditions of the Creative Commons Attribution (CC BY) license (https://creativecommons.org/licenses/by/4.0/).
Share and Cite
Nian, Y.; Zhao, M.; Li, D.; Zhang, M.; Zhang, A.; Li, T.; Zhu, S. Analysis of the Grid Quantization for the Microwave Radar Coincidence Imaging Based on Basic Correlation Algorithm. Remote Sens. 2024, 16, 3726. https://doi.org/10.3390/rs16193726
Nian Y, Zhao M, Li D, Zhang M, Zhang A, Li T, Zhu S. Analysis of the Grid Quantization for the Microwave Radar Coincidence Imaging Based on Basic Correlation Algorithm. Remote Sensing. 2024; 16(19):3726. https://doi.org/10.3390/rs16193726
Chicago/Turabian StyleNian, Yiheng, Mengran Zhao, Die Li, Ming Zhang, Anxue Zhang, Tong Li, and Shitao Zhu. 2024. "Analysis of the Grid Quantization for the Microwave Radar Coincidence Imaging Based on Basic Correlation Algorithm" Remote Sensing 16, no. 19: 3726. https://doi.org/10.3390/rs16193726
APA StyleNian, Y., Zhao, M., Li, D., Zhang, M., Zhang, A., Li, T., & Zhu, S. (2024). Analysis of the Grid Quantization for the Microwave Radar Coincidence Imaging Based on Basic Correlation Algorithm. Remote Sensing, 16(19), 3726. https://doi.org/10.3390/rs16193726

