Next Article in Journal
High-Precision Mango Orchard Mapping Using a Deep Learning Pipeline Leveraging Object Detection and Segmentation
Next Article in Special Issue
Atmospheric Boundary Layer Stability in Urban Beijing: Insights from Meteorological Tower and Doppler Wind Lidar
Previous Article in Journal
Atmospheric Water Vapor Variability over Houston: Continuous GNSS Tomography in the Year of Hurricane Harvey (2017)
Previous Article in Special Issue
Spatiotemporal Evolution in the Thermal Environment and Impact Analysis of Drivers in the Beijing–Tianjin–Hebei Urban Agglomeration of China from 2000 to 2020
 
 
Font Type:
Arial Georgia Verdana
Font Size:
Aa Aa Aa
Line Spacing:
Column Width:
Background:
Article

Comparison of Urban Heat Island Differences in the Yangtze River Delta Urban Agglomerations Based on Different Urban–Rural Dichotomies

College of Resources and Environment, Anhui Agricultural University, Hefei 230036, China
*
Author to whom correspondence should be addressed.
Remote Sens. 2024, 16(17), 3206; https://doi.org/10.3390/rs16173206
Submission received: 25 July 2024 / Revised: 21 August 2024 / Accepted: 28 August 2024 / Published: 30 August 2024

Abstract

The surface urban heat island (SUHI) phenomenon has become increasingly severe due to the combined effects of global warming and rapid urban expansion, and the difference between urban and rural thermal environments has increased significantly. This trend has profound impacts on social, economic, and ecological environments. Research related to SUHI has achieved fruitful results; however, quantitative research methods for SUHI have not been unified with standards and systems, which will certainly affect the comparability of the results of SUHI research. Few studies have combined and compared multiple SUHI methods. Therefore, we designed a study of the Yangtze River Delta (YRD) urban agglomeration as a test case to quantitatively analyze the differences between SUHI results in different urban and rural contexts based on five different SUHI research methods. It was found that (1) there were significant differences in the SUHI intensity results among the different methods. The maximum difference in the SUHI intensity obtained by different methods can be up to 6 °C. The lowest SUHI intensity was observed during the day in the urban–buffer method, and the lowest SUHI intensity was observed at night in the urban–water method. (2) Different methods affected the distribution of SUHI areas and their evolutionary characteristics. The NHI (no heat island), WCI (weak cold island), and WHI (weak heat island) zones were larger, with proportions exceeding 70%. The expansion range of the heat island zone during the daytime was mainly in the west and north of the YRD urban agglomeration, whereas the expansion of the heat island range at night was mainly concentrated in the center and south. (3) The trend changes observed using different methods were significantly different. When we applied the urban–buffer and municipal–nonmunicipal methods, most cities showed an upward trend. However, when the other methods were applied, most cities exhibited a downward trend. The differences in trend results owing to the choice of different methods were greater with respect to values in the summer months and smaller in the winter months.

1. Introduction

With increasing socio-economic development globally, the process of urbanization has accelerated, land types such as forests and farmlands have been gradually replaced, and the proportion of impervious surfaces in cities has increased. Coupled with the large amount of pollutants and greenhouse gases emitted from industrial production and inhabitants’ lives, this has resulted in a general increase in urban temperatures, which has led to the even more severe phenomenon of the surface urban heat island (SUHI) [1,2]. According to the United Nations Intergovernmental Panel on Climate Change (IPCC), the land surface temperature (LST) continues to rise in almost all regions of the globe and it will continue to increase over the next 70 years [3]. It has been shown that the SUHI can be observed in 98.9% of Chinese cities at night during the summer months [4], seriously threatening the ecological environment and human health. With the progress of science and technology, high-resolution remote sensing images provide great help for SUHI research [5,6], which helps reveal the characteristics of spatial and temporal changes in the urban thermal environment as well as the mechanism of evolution, promotes the development of measures to mitigate the urban heat island effect, and has a far-reaching impact on the improvement of the ecological environment and enhancement of the well-being of human beings.
There are a variety of methods for quantifying SUHIs [7,8,9,10,11], the most commonly used being the urban–rural dichotomy [12,13,14], in which the difference between the average urban and rural LST is defined as the SUHI. According to published research, the urban–rural dichotomy method has the highest frequency of application in studies related to surface urban heat islands, which is approximately 1.5 times higher than other methods, and it is currently widely used worldwide [15]. The critical issue in the urban–rural dichotomy is the selection of appropriate urban and rural areas. Many scholars have proposed ideas and methods for defining urban and rural areas. Peng et al. [16] used a city-clustering algorithm (CCA) to define urban areas and calculated the heat island intensity for equal suburbs, smaller suburbs, and larger suburbs (100%, 50%, and 150% of the urban areas). The difference between the determined LST of the urban areas and the average LST within the surrounding n-km buffer zone was taken as the SUHI intensity [12,17]. The advantage of this type of method is that it can make the heat island intensity of different periods horizontally comparable; therefore, it is widely used in SUHI research, but its disadvantage is that it has not yet explored a universal buffer width for the time being. The question that needs to be considered is the buffer width that should be chosen for different study areas to better analyze SUHIs. Zhou et al. [17] formed an urban boundary by aggregating 2 km areas with >50% building intensity. Subsequently, a buffer zone of the same size as the urban area was constructed as a rural area in order to quantify the SUHI. Many researchers have classified ranges corresponding to urban and rural areas based on administrative units [18,19]. Fields, forests, and water bodies can be used as representative pixels of rural areas [13,20,21], but they can be subjective. ISA, MCD12Q1, and DMSP/OLS data were used, similar to those in the SUHI study [22,23,24,25,26].
Various SUHI characterization methods provide a wide range of options for study; however, there are several challenges [27,28]. The rapid development of cities, rapid expansion of built-up land, and conversion of different land use types have made the boundaries between urban and rural areas unclear, and the urban–rural differences between cities are also quite different [29]. Therefore, for a large-scale study involving multiple cities, each of which varies in size, population density, building intensity, and land cover type, the selection of a single research method is not necessarily applicable to all cities. There have been a few studies conducted to confirm this. Yao et al. [30] analyzed how different methods and data affected the assessment of SUHI intensity in 31 Chinese cities. This study suggested that ignoring the impact of water bodies and elevation will overestimate the daytime SUHI intensity. In contrast, using nearby suburban areas largely underestimates the SUHI intensity. Liu et al. [31] assessed SUHIs using seven methods for delineating non-urban areas and found that using surrounding buffers as suburbs resulted in a significant increase in the downward trend of SUHIs, which seriously underestimates the need to mitigate SUHIs in the future. In contrast, non-urban areas, defined according to administrative units, had an overestimated SUHI trend in cities with large altitudinal differences and better green areas. Schwarz et al. [32] compared the 11 most commonly used SUHI quantitative indicators and found weak correlations. In this regard, he indicated that the variability and instability of quantitative indicators should be considered when conducting SUHI studies and that multiple indicators should be used simultaneously to describe SUHIs.
In summary, the choice of urban and rural areas and SUHI quantification methods significantly affected the SUHI results. However, no uniform standards or systems are available for SUHI studies. Moreover, few studies have compared different heat island quantification methods, and only a few researchers have discussed them [33,34,35]. However, by scientifically and accurately defining the most representative urban and rural areas, analyzing the results of the study using different research methods according to the degree of development and population size of different cities, and screening out the SUHI research methods that were most suitable for the study area, the SUHI results were comparable. Taking the Yangtze River Delta (YRD) urban agglomeration as an example, we have applied GIS spatial statistics, the Mann–Kendall method, and Sen’s slope estimation method based on LST data to explore the influence of different urban and rural delineation methods on the SUHI results, providing references for choosing appropriate SUHI methods to accurately and scientifically quantify SUHIs.

2. Study Area and Data Sources

2.1. Study Area

The YRD urban agglomeration, which was defined in the Yangtze River Delta Urban Agglomeration Development Plan released in 2016, was selected as the study area (Figure 1). It is comprised of 26 cities: Shanghai, Nanjing, Wuxi, Changzhou, Suzhou, Nantong, Yancheng, Yangzhou, Zhenjiang, and Taizhou in Jiangsu Province; Hangzhou, Ningbo, Jiaxing, Huzhou, Shaoxing, Jinhua, Zhoushan, and Taizhou in Zhejiang Province; and Hefei, Wuhu, Ma’anshan, Tongling, Anqing, Chuzhou, Chizhou, and Xuancheng in Anhui Province. The total build-up area of the YRD increased from 5419.24 km2 in 2012 to 6112.84 km2 in 2016. Among them, there was an increase of 445.14 km2 from 2012 to 2014, and an increase of 248.46 km2 from 2014 to 2016.
Bordering the Yellow Sea and East China Sea, the YRD is located at the confluence of the river and the sea, with many coastal ports along the river, and an alluvial plain formed before the Yangtze River enters the sea, covering an area of 211,700 km2. In terms of climate, it is mainly a subtropical monsoon climate with sufficient light, four distinct seasons, rainy summers, and annual precipitation of 1000–1400 mm. In terms of topography, the northern part of the study area is dominated by plains, whereas the southern part has a higher terrain with a high majority of mountains and hills. In terms of water resources, the study area is rich in water resources, with numerous rivers and lakes, making it the most densely networked area in China, but also leading to frequent flooding in the region. In terms of economic development, the YRD is one of the most economically active urban agglomerations in China, with a well-developed economy and a high degree of town clustering. In 2016, the GDP amounted to 14.7 trillion RMB and the GDP growth averaged over 8.4%, higher than the national average by 1.7 percentage points. The YRD region has a resident population of over 150 million as of 2016, accounting for 11% of the country’s population, with a difference between the resident population and the household population of approximately 20 million, making it one of the regions with the largest population inflow in the country and strong demographic support.

2.2. Data Sources

The data used in this study included LST, urban boundary, land use, and administrative district data.
The LST product used in this study is the Daily 1 km all-weather land surface temperature dataset for the China’s landmass and its surrounding areas (TRIMS LST) [36,37], which was obtained from the National Tibetan Plateau Data Center (https://data.tpdc.ac.cn, accessed on 29 May 2024), with a temporal resolution of 4 times a day, a spatial resolution of 1 km, and a time span of 2000–2022. The time span of 2003–2022 was selected for this study. Because the Aqua satellite overpasses at 13:30 and 1:30, and the Terra satellite overpasses at 10:30 and 22:30, the Aqua satellites are more representative of day and night temperatures at the surface. Therefore, a dataset prepared using the Aqua satellite was selected for this study.
Urban boundary data were derived from the Global Urban Boundary (GUB) dataset developed by the Peng Cheng Laboratory (https://data-starcloud.pcl.ac.cn, accessed on 29 May 2024) [38]. This dataset is based on the developed Global Artificial Impervious Area (GAIA) mapping product with a high resolution (30 m). The time range included 1990, 1995, 2000, 2005, 2010, 2015, and 2018, and in this study, the years 2000–2018 were selected.
Administrative district and land-use data (CNLUCC) were obtained from the Resource and Environmental Science Data Platform (https://www.resdc.cn/, accessed on 29 May 2024). The years selected for the CNLUCC dataset were 2000, 2005, 2010, 2015, and 2018; the spatial resolution of the dataset was 30 m. In order to satisfactorily calculate the SUHI intensity, this study extracted land types such as farmland, forest, and water body for multiple periods of time.

3. Methods

3.1. Delineation of Urban and Rural Areas

We referred to previous studies to extract information on the urban and rural areas [17,24,30,32]. Urban areas were identified using these two methods. First, urban areas were extracted based on GUB data, and the largest patch of each city was used as the urban area. Second, municipalities were identified as urban areas based on the latest administrative divisions in the YRD. To avoid the influence of water bodies on the urban heat island in the study area, an urban area was selected to exclude water body pixels. In contrast, rural areas can be identified using five different methods. First, based on the delineated urban area, a buffer zone of equal size was generated outwardly; the water body pixels within the buffer zone as well as beyond the boundary of the municipality were excluded, and the remaining area was defined as rural. Second, the field areas of the study area were extracted based on land use data and defined as rural areas. Third, the forested land portion of the study area was extracted and defined as rural land. Fourth, the waterbody portion of the study area was extracted and defined as rural. Fifth, based on the administrative division of the YRD, nonmunicipal areas were defined as rural areas, and water body pixels were similarly removed from the study area.

3.2. Methods for Studying SUHI

In general, the SUHI phenomenon is defined as the difference between the urban and rural LST. In this study, two indicators—SUHI intensity and SUHI area—were studied in relation to SUHIs.

3.2.1. Calculation of Surface Urban Heat Island Intensity (SUHII)

The difference between the average urban L S T and the average L S T of an equal-sized buffer was used as the first method for assessing S U H I I , denoted as the urban–buffer method, and was calculated as follows:
S U H I I 1 = L S T u r b a n L S T b u f f e r
where L S T u r b a n is the average urban LST and L S T b u f f e r is the average buffer LST.
The difference between the average urban L S T and the average field L S T was used as the second method for assessing S U H I I , denoted as the urban–field method, and was calculated as follows:
S U H I I 2 = L S T u r b a n L S T f i e l d
where L S T u r b a n is the average urban LST and L S T f i e l d is the average field LST.
The difference between the average urban L S T and the average forested land L S T was used as the third method for assessing S U H I I , denoted as the urban–forest method, and was calculated as follows:
S U H I I 3 = L S T u r b a n L S T f o r e s t
where L S T u r b a n is the average urban LST and L S T f o r e s t is the average forest LST.
The difference between the average urban L S T and the average water body L S T was used as the fourth method for assessing S U H I I , denoted as the urban–water method, and was calculated as follows:
S U H I I 4 = L S T u r b a n L S T w a t e r
where L S T u r b a n is the average urban LST and L S T w a t e r is the average water LST.
The difference between the average municipal district L S T and the average nonmunicipal district L S T was used as the fifth method for assessing S U H I I , denoted as the municipal–nonmunicipal method:
S U H I I 5 = L S T m u n i c i p a l L S T n o n m u n i c i p a l
where L S T m u n i c i p a l is the average municipal district LST, and L S T n o n m u n i c i p a l is the average nonmunicipal district LST.
The time series of the SUHI analysis was 2003–2022, and the GUB and CNLUCC data for 2000, 2005, 2010, 2015, and 2018 corresponded to 2003–2004, 2005–2009, 2010–2014, 2015–2017, and 2018–2022 LST data, respectively. In the case of the 2018 land-use data, given that no more forested land existed in Taizhou City (Jiangsu Province) this year, the urban–forest method was not applied to the dataset from 2018 to 2022. Based on the latest administrative district division standards, all areas of Shanghai and Nanjing are defined as municipal districts. Therefore, this study on the municipal–nonmunicipal method does not consider these two cities.
Figure 2 shows the urban and rural reference areas delineated in Methods 1–5 (a–e). The city of Hefei was used as an example in 2018.

3.2.2. Methods of Classifying SUHI Grade

SUHI calculations and heat island classification methods proposed by Ye et al. [20] were used. The formula is as follows:
S U H I I i = L S T i 1 n 1 n L S T r u r a l
where S U H I I i is the heat island intensity value (°C) of the ith pixel on the image, L S T i is the surface temperature of the ith pixel, n is the effective number of pixels in the rural area, and L S T r u r a l is the surface temperature of the rural representative areas. The representative rural areas in this study were equal-sized buffers, fields, forests, water, and nonmunicipal districts.
Because the UHI is a relative temperature level that is higher in urban areas than in rural areas, there is no standardized threshold for this level, either for a surface urban heat island or for an air heat island [22]. Based on previous studies [20,39], the SUHII of each pixel was classified into seven heat island grades according to certain thresholds: strong cold islands, sub-strong cold islands, weak cold islands, no heat islands, weak heat islands, sub-strong heat islands, and strong heat islands. Detailed grading standards for SUHIs are listed in Table 1.

3.3. Mann–Kendall Trend Test

The Mann–Kendall (MK) test, a non-parametric statistical method for analyzing trends in time-series data, does not require any prior assumptions about the distribution of the sample and is not affected by missing values and outliers. Using the statistic value Z for the significance test of the trend statistic, the series is first assumed to be trendless, and the critical test value Z1−α/2 at a certain significance level is checked in the normal distribution table by a two-tailed test. When Z < Z1−α/2, the original hypothesis is accepted. Conversely, the original hypothesis is rejected and a monotonic trend in the change in the series is considered.

3.4. Sen’s Slope Estimate

Sen’s slope estimation is a non-parametric estimation method capable of assessing the trend and strength of changes in a time series and is an important complement to the MK test. If a linear trend exists in a particular time series, the extent to which the trend is upward or downward per unit time period can be calculated using Sen’s slope estimation method, with the obtained statistical value Qmed indicating the slope estimate. A positive sign indicates an upward trend in the time series and a negative sign indicates a downward trend.

4. Results

4.1. Differences of SUHII under Different Methods

The interannual diurnal SUHII in the YRD is shown in Figure 3. The daytime SUHII was higher than the corresponding nighttime value. During daytime hours, the maximum SUHII difference between the five methods was as much or more than 6 °C. The range of SUHII calculated based on the urban–buffer method was approximately 1–2 °C. The SUHII of the municipal–nonmunicipal method ranged from approximately 0 to 1.5 °C and was even negative in some cities; that is, a cold island phenomenon occurred in some locations. The range of SUHII obtained by the urban–field method was approximately 2.5–4 °C. There was a large gap in SUHII values obtained between different cities when the urban–forest method was applied: the gap was more than 6 °C in Ningbo and Jinhua and only 1.2 °C and 2.3 °C in Taizhou and Shanghai, respectively. Similarly, the SUHII calculated based on the urban–water method varied significantly among different cities, with a maximum difference up to 4.6 °C, and values above 6 °C in Wuxi, Suzhou, and Hefei. During nighttime hours, the differences in SUHII as calculated by the different methods were quite small, approximately 0–2 °C. Compared with daytime values, the nighttime difference in the SUHII obtained from the urban–water method was the most significant. The nighttime SUHII of the cities in the YRD was found to be below 0 °C, and the diurnal decrease could be up to 130% (e.g., Hefei City). Moreover, the pattern of diurnal variation showed that cities with a higher daytime SUHII had a greater nighttime decrease and lower nighttime SUHII. This is likely due to the smaller reflectivity of the water surface to solar radiation and the larger specific heat capacity of the water body, which makes the diurnal temperature variation of water bodies, such as lakes, smaller than that of land surfaces. The water temperature is warmer at night and cooler during the day, whereas the LST of the urban area is cooler at night and warmer during the day.
The summer and winter mean SUHII diurnal contrasts are shown in Figure 4. The heat island effect was the strongest in summer. The SUHII obtained by the urban–buffer method was approximately 2–3 °C during the day and 0.5 °C at night. The results obtained by the municipal–nonmunicipal method were lower, ranging from approximately 1 °C to 2 °C during the day and approximately 0 °C to 0.5 °C at night. The SUHII calculated by the urban–field, urban–forest, and urban–water methods were basically above 3 °C during the day and could be as high as 10 °C. The nighttime SUHII calculated using the urban–field and urban–forest methods remained high, averaging approximately 2 °C and reaching a maximum of nearly 4 °C, whereas the nighttime SUHII obtained with the urban–water method was low, approximately −0.5 °C in most cities. The lowest SUHII occurred during winter. The SUHII values calculated using the urban–buffer method and the municipal–nonmunicipal method were below 1 °C during the daytime, and the SUHII calculated with the other methods was approximately 1–3 °C. At night, the SUHII calculated using any of the methods was below 0.5 °C, especially in the case of the urban–water method, which generated SUHII values generally below 0 °C.
In terms of the seasonal changes in SUHII as determined using different research methods, the difference between daytime SUHII values obtained from these methods was approximately 3–5 °C during the summer and 0.5–2 °C during the winter. The difference between these methods at night was smaller (range 0–2 °C). The urban–buffer and municipal–nonmunicipal methods resulted in a smaller difference between summer and winter daytime SUHII values when compared with the other three methods. This is likely due to the fact that the buffer zones and nonmunicipal districts containing built-up land and building material properties are less affected by seasonal changes. However, there was a large difference between the urban center LST and that of natural land cover, such as fields, forests, and water bodies, especially in summer when solar radiation heats the urban center more quickly. Coupled with heat absorption by urban construction materials, the degree of LST increase in fields, forests, and water bodies was much lower than that in the core area, resulting in a higher SUHII in summer. Weaker solar radiation in winter decreases the LST in the urban core compared to summer, although the seasonal changes in the LST of these aforementioned subsurface types were not significant. Therefore, the difference in the LST between the city and these subsurface types decreased, resulting in a significant decrease in the SUHII in winter compared to summer.

4.2. Differences of Heat Island Area Calculated with Different Methods

4.2.1. Characterization of the Spatial Distribution of Annual Heat Island Area

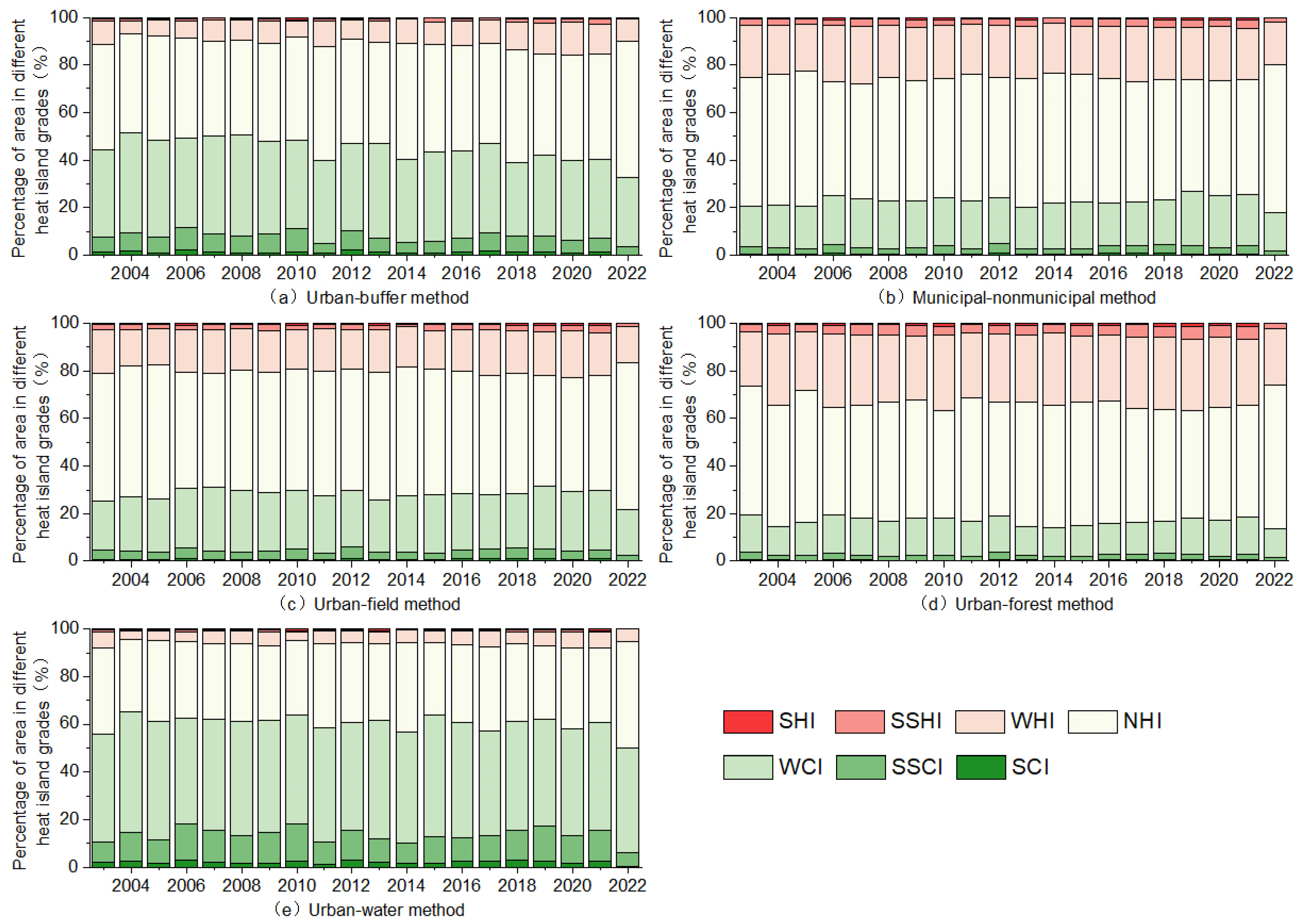
The proportion of the area of each heat island grade to the total study area (calculated using different methods) is shown in Figure 5 and Figure 6. It can be seen that the selection of different rural ranges can make a difference to the SUHI results. During the daytime, in the urban–buffer method, the heat island zone area accounted for only a small proportion of the study area and most of the area was a cold island area, with 51.7%, 34.6%, and 13.7% of the cold island, NHI, and heat island areas, respectively, by 2022. In contrast, in the SUHI results obtained according to the urban–water method, the area of the heat island area was high, nearly half of the area in the study area was a heat island area, and the proportion of heat island area was approximately 39–45% per year, followed by the NHI, which was in the range of approximately 35–40%, and the area of the cold island area had a small proportion, which was approximately 15–20%. Nearly half of the areas calculated based on the results of the municipal–nonmunicipal, the urban–field and the urban–forest method were NHI areas, i.e., the SUHI intensity values were between −1 and 1, with a share of about 45%. Unlike during the daytime, there was a significant decrease in the SCI and SHI zones and a significant increase in the WHI, WCI, and NHI zones at night, indicating that the difference between urban and rural thermal environments was smaller. The largest differences in the spatial distribution of daytime and nighttime SUHI intensities were found in the urban–water and urban–buffer methods, which illustrated that water bodies were significantly warmer than other urban sites at night. The buffer zone range was set such that the average daytime LST of the rural reference image metrics was too high and the phenomenon of cold islands appeared frequently.
In terms of the spatial distribution of the heat island area during daytime (Figure 7), the heat island area calculated using the urban–buffer method was significantly smaller than that calculated using the other methods, and the heat island area obtained using the urban–water method was the largest. However, the urban–water method resulted in the smallest change in interannual growth. When the urban–buffer method was chosen to calculate the heat island grade situation, the heat island areas were found to be initially concentrated in the eastern and southern parts of the YRD. During the period from to 2005–2015, the heat island areas in the eastern and southern parts of the YRD gradually spread out to the surroundings, and the area gradually increased. After 2015, the scope of the heat island area gradually shifted to the west, particularly in Hefei City, where the heat island effect significantly increased in recent years. The spatial distribution and spatial change results of the heat island area were similar when the municipal–nonmunicipal method and urban–field methods were selected to determine the SUHII. The expansion of the heat island area exhibited an annual trend of spreading from south to north.
When the urban–forest method was chosen for this study, the distribution of heat island areas was more intensive, especially in the western and northern regions, where the increase in the extent of heat island areas was more significant. From the results of the urban–water method, a wider heat island was evident in 2003, followed by a smaller heat island spread over the following 20 years, with changes mainly distributed in the northeastern part of the YRD.
The nighttime SUHI distribution pattern showed different distribution characteristics from those of the daytime owing to the diurnal LST differences in different rural background image pixels (Figure 8). Regardless of the method used, the results showed that the heat island effect was more evident in Zhejiang, southern Jiangsu, and Shanghai than in northern Jiangsu and Anhui provinces. Based on the results obtained from the urban–buffer method, the heat island area was mainly distributed in the waters of the Yangtze River, Chaohu Lake, Taihu Lake, and other areas with high construction intensity, whereas no heat island phenomenon was observed at night in areas with low urban construction intensity. The heat island areas calculated by the municipal–nonmunicipal method were the widest among the five methods, and the heat island phenomenon in the built-up areas of each municipality gradually radiated outward from the core area, showing a clear trend of expansion from inside to outside. The urban–field and urban–forest methods resulted in similar spatial distribution characteristics at night, and the heat island phenomenon was more evident in the water. The heat island effect as a whole is characterized by a stronger effect in the south and center than in the north. Based on the SUHII results obtained using the urban–water method, the area of the heat island zone in the study area was significantly smaller than during the daytime, which was due to the day-cooling and night-warming characteristics of the water body. All five methods showed that changes in the extent of the heat island area at night were concentrated in cities along the YRD and southeastern region.

4.2.2. Characterization of the Spatial Distribution of Summer and Winter Heat Island Area

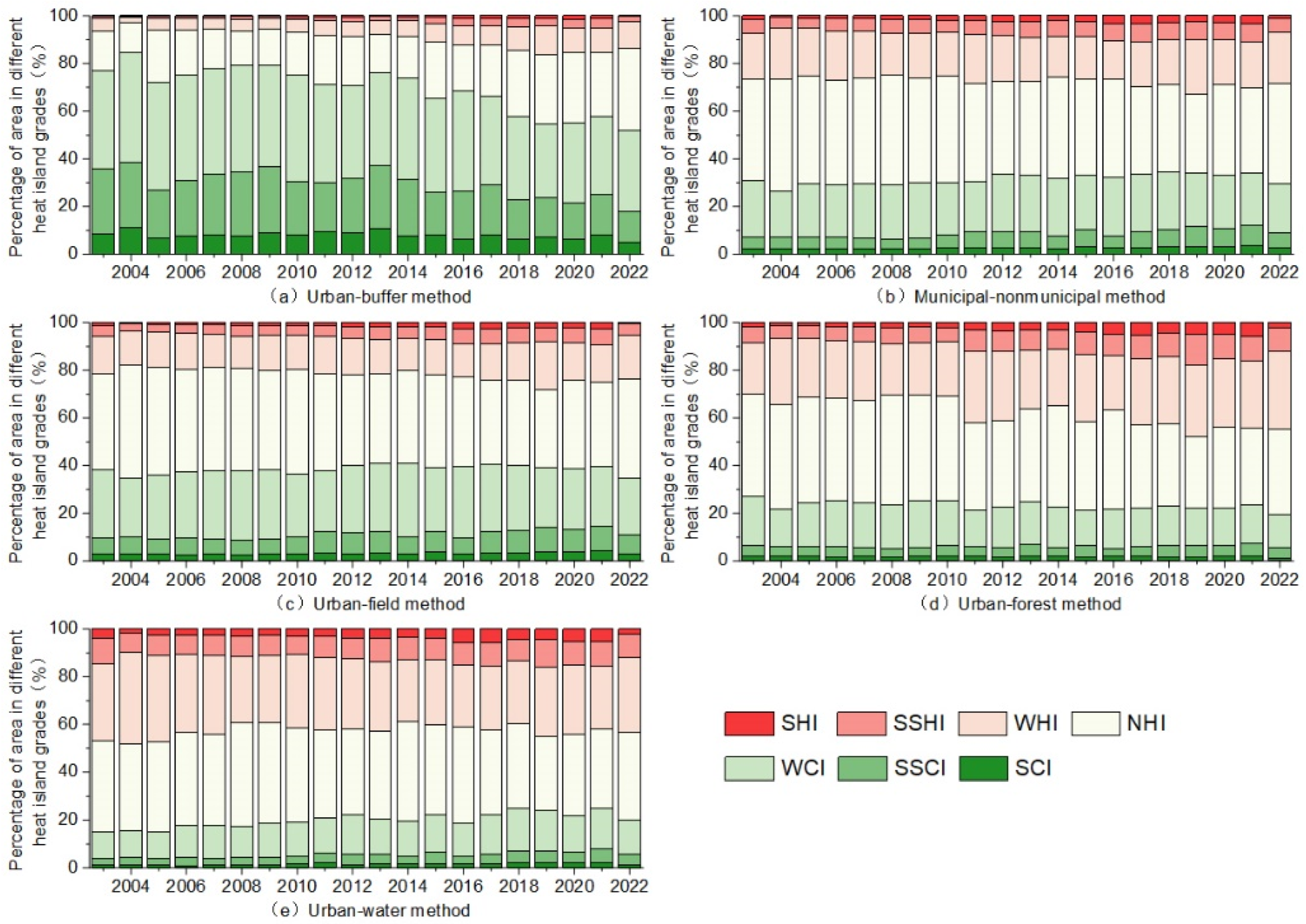
In terms of seasonal and diurnal conditions, the severity of the heat island effect ranked from highest to lowest was as follows: summer daytime > winter daytime > summer nighttime > winter nighttime (Figure 9, Figure 10, Figure 11 and Figure 12). During the daytime in summer, the SUHI results obtained from the urban–buffer method show that most of the study area was a cold island zone; however, this area has been decreasing in recent years, from 83% in 2003 to 61.6% in 2022, with a significant decrease in the SCI and SSCI zones. All three classes of heat island areas and the NHI zone have been increasing in size. The results of the SUHI based on the municipal–nonmunicipal areas show that both the heat island and cold island areas were increasing, while the area of the NHI zone was decreasing. Similar scenarios were found for the urban–field and urban–forest methods. In the SUHI calculated using the urban–buffer method during summer nights, the area of the NHI and WHI zones was relatively high, accounting for more than 40% of the study area. In recent years, the area of the WHI zones has decreased significantly, the area of the NHI has increased slightly, and the total area of the heat island zones, despite their increasing size, accounts for only 10–20% of the study area. In the municipal–nonmunicipal, urban–field, and urban–forest methods, the NHI zone accounted for more than half of the study area, while the areas of heat island and cold island zones were almost the same, with a higher percentage of WHI and WCI zones, which both accounted for approximately 20%. In the heat island class obtained according to the urban–water method, the area of the heat island was very small, and most of the study area was a cold island area, in which nearly half of the area is WCI, and the proportion of NHI was approximately 30%. The total heat island area has been increasing slowly in recent years, but it is still less than 10% of the total study area.
The characteristics and patterns of the heat island classes reflected in the winter daytime SUHI were similar to those of the summer nights; however, there were some differences. For example, in the urban–buffer method, the area of the NHI zone during winter daytime decreased compared to that in summer, and the area of the SSCI island increased. By 2020, the area of the heat island zone was slightly larger than that during the summer daytime. The highest share of the urban–field method and the urban–forest method was still in the NHI zone, but the area of the WCI zone increased significantly in the former and the WHI zone increased significantly in the latter compared to summer. Based on the SUHI obtained from the urban–water method, it can be seen that the heat island area was large in winter, the WHI accounted for 30–40% of the study area, and the cold island area was smaller. The characteristics of the different heat island classes during winter nights were similar to those during summer nights.
In summary, the SHI for all methods increased significantly in summer and was less extensive in winter. Regarding NHI, WHI, and WCI, the area share was far ahead of the other heat island grades, regardless of the method used.
As can be seen in Figure 13, Figure 14, Figure 15 and Figure 16, although the heat island effect is most severe in summer, the spatial change results show that the heat island effect in economically developed cities in the east has been alleviated, whereas in newly developing cities in the west it has gradually increased. The expansion of the heat island during the daytime in both summer and winter was mainly in the northwest. The daytime heat island extent obtained by applying the urban–buffer method was always the lowest, but the trend of the heat island area was similar for all five methods; the heat island area gradually spread from southeast to northwest. However, the distribution and spatial evolution patterns of heat islands on summer and winter nights were different. Heat islands on summer nights were mainly distributed along the Yangtze River and the heat island effect gradually expanded outward over time. The heat island area on winter nights was mainly in the south of the study area, and the annual changes were most pronounced in Zhejiang Province.

4.3. Trend in Surface Urban Heat Island

4.3.1. Analysis of Changes in Annual Trends

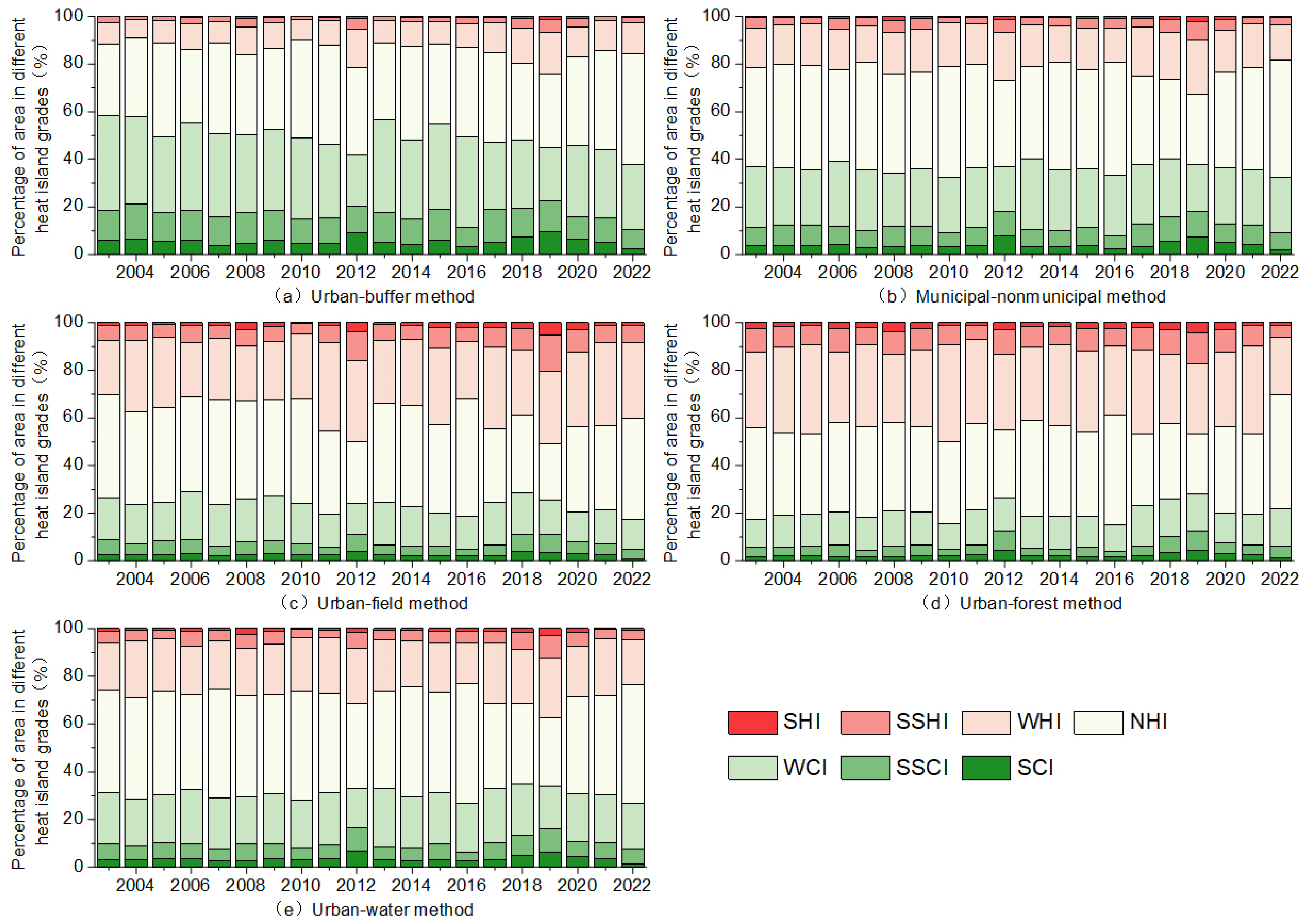
Using Sen’s and MK trend methods to analyze the overall SUHII trend in the YRD (Figure 17), highly significant and significant representatives passed the significance tests of 95% and 99%, respectively. When the slope value is greater than zero, the change is an upward trend, and the reverse signals a downward trend. Comparative analysis among different research methods revealed that the changes in the SUHII in YRD cities calculated by the urban–buffer and municipal–nonmunicipal methods showed an upward trend, especially during the daytime, when nearly half of the cities showed a highly significant upward trend, and at night, most of them showed a significant or non significant upward trend. Generally, the SUHII values calculated using the urban–field, urban–forest, and urban–water methods showed a downward trend. The cities that showed an upward trend were mainly located in the western part of the YRD, such as Anhui and Jiangsu provinces. Some cities showed large differences when applying the five different methods; Shanghai, Ningbo, Wuxi, and Huzhou showed highly significant upward trends when using the urban–buffer method and highly significant downward trends when using the urban–water method. In terms of nighttime values, the differences between the different research methods were smaller than the differences in daytime values. For example, Hangzhou and Chuzhou City showed the same results for SUHI trends when using the municipal–nonmunicipal, urban–field, urban–forest, and urban–water methods.

4.3.2. Analysis of Changes in Summer and Winter Trends

With respect to the different methods, a greater number of cities showed a highly significant upward trend in the daytime SUHI trend in the municipal–nonmunicipal method compared to the results from the other methods. The second-best result was obtained using the urban–buffer method. Most nighttime SUHI trend changes in the YRD cities were either significant or non significant, with fewer cities showing highly significant changes. From Figure 18 and Figure 19, during the daytime in summer, the cities of Hefei, Xuancheng, and Chuzhou exhibited small differences in the results obtained among the five methods, all of which were either highly significant upward or significantly upward. On summer nights in Tongling City, the results obtained by applying the five research methods did not increase significantly. Nanjing, Zhoushan, Hefei, Xuancheng, and Wuhu showed smaller differences in the results obtained using the five methods, with approximately one level of difference between them. During the daytime in winter, the difference between the urban–buffer and municipal–nonmunicipal methods was greater than the interannual and summer trends. For example, the trend in Ningbo showed a highly significant upward trend when using the urban–buffer method, whereas the results from the municipal–nonmunicipal method showed no significant downward trend. However, the urban–field, urban–forest, and urban–water methods yielded similar results, with nine cities showing consistent results when these three methods were applied. On winter nights, the results of different research methods applied to the municipalities did not differ significantly. Only Hefei City showed a highly significant upward trend when applying the urban–buffer method, and all cities showed an upward trend when applying the municipal–nonmunicipal method, with no cities showing a downward trend. The cities of Hefei, Zhenjiang, and Yancheng showed a highly significant upward trend in SUHII. No city showed a highly significant upward trend when applying the urban–field, urban–forest, and urban–water methods, and most cities showed no significant upward or downward trends. Notably, the results of trend changes in the cities of Nanjing, Xuancheng, and Yangzhou were all non significant downward trends, regardless of the research method used, and the choice of rural reference background had no effect on the SUHI results.
In addition, all five research methods showed that the growth of the heat island effect in the eastern cities of the YRD was not as obvious as that in the western region and that there was an overall reduction in the heat island effect in several cities. In contrast, the intensity of the SUHI in the western region was gradually increasing, and most cities had different degrees of upward trends. This may be because the eastern cities experienced the earliest development among the core cities of YRD. In the early 21st century, with the development of urban construction, the heat island effect has become more obvious. In recent years, ecological and environmental management measures have been taken, and in the core city, led by the integration of neighboring cities, the phenomenon of urban heat islands has gradually been mitigated. In Anhui Province, Hefei City, Wuhu City, and other regions that have been newly developed in recent years, rapid social and economic development has led to a gradual upward trend in SUHIs.

5. Discussion

The analyses performed in this study revealed that different research methods yielded different results in terms of heat island intensity, heat island areas, and trends over time. In particular, there were significant differences between the urban–buffer and urban–water methods, whereas there were similarities in the SUHI results obtained from the municipal–nonmunicipal, urban–field, and urban–forest methods. In addition, this study quantified and analyzed the SUHI intensities and SUHI areas at three different scales: annual, summer, and winter. This is an advantage of this paper over other previous studies, which focused more on “summer” and “a certain year,” while the content analysis in this paper is more detailed in terms of time and provides a comprehensive description of the YRD SUHI in terms of two indicators, which reveals the similarities between different research methods. This study is more detailed in terms of time and provides a comprehensive description of the YRD SUHI in terms of two indicators, finding that there should be different scopes of application for different research methods, which will be discussed in detail in the following section with the hope of providing scientific references for the study of SUHI.

5.1. Applicability of the Urban–Buffer Method

In the urban–buffer method, the extent of the buffer zone was set based on the periphery of the city, which was equal to the city’s area. In addition to removing the influence of water image elements on the SUHI results, buffer zones beyond the city’s administrative boundaries were excluded to ensure that the selected area was within the study area (Figure 20). However, for cities with urban cores close to administrative boundaries, such as Shanghai, Hangzhou, Ningbo, Taizhou, and Nantong, the extent of the buffer zone is likely largely excluded. This will result in rural reference areas not being well covered, thus affecting SUHI research results. For cities where urban construction and development are concentrated in the geographic center, the range within the buffer zone is preserved with a higher degree of integrity, such as Hefei, Taizhou, and Xuancheng. At this time, it is more objective, reasonable, and accurate to use the buffer zone as a rural reference area for the study of urban–rural thermal environment differences. In addition, buffer zones are close to core urban areas, may be more susceptible to surrounding urban development, and may not be representative of rural areas undergoing rapid urban development, which can lead to an overestimation of rural background LST. For example, the “Shanghai Metropolitan Area” in the eastern part of the YRD, centered on Shanghai, is the strongest core area in the YRD region, and the buffer zone of the Suzhou–Wuxi-Changsha area, which is adjacent to Shanghai, may underestimate the SUHII of the study area when used as a rural reference. Therefore, this method is not applicable to cities with urban cluster development, and the LST of the buffer zone in this type of urban center is influenced by the development intensity of the surrounding cities, resulting in an increase in the LST of the buffer zone driven by them. In summary, the choice of buffer distance is crucial in the current era of rapid social and economic development, especially for first-tier and second-tier cities, to reasonably grasp the boundaries of “urban,” “suburban,” and “rural,” and to consider the impact of the development of neighboring cities on the study area, which is of great significance to the accuracy of SUHI research.

5.2. Applicability of the Municipal–Nonmunicipal Method

With continuous changes in administrative divisions, there are now cities in the YRD, such as Shanghai and Nanjing, which are fully categorized as municipal districts without nonmunicipal districts. Therefore, the municipal–nonmunicipal method cannot be applied to these cities. In some cities, the municipal district includes a large part of the study area, not just its core area. In reality, the municipal district covers rural areas adjacent to the city center, such as urban villages and non-building land types, such as fields and forests in the subsurface, which have lower surface temperatures, resulting in an underestimation of the average LST value of the municipal district in this study, and thus an underestimation of the SUHII. The results of the division of administrative areas change over time, not only between individual cities but they may also be transformed into each other in different cities. For example, Chaohu City in Anhui Province was abolished in 2011, and the areas belonging to it were assigned to the municipal jurisdictions of Hefei City, Wuhu City, and Ma’anshan City, which led to a certain degree of bias in the subsequent division of the urban and rural areas based on administrative units. Therefore, in the study of SUHIs for a long time series, it is recommended to objectively consider the division of administrative districts of the study area during different periods so that the scope of urban and rural areas can be more in line with the law of urban development and change. Although municipal districts are established in each city based on differences in economic and social development levels, population size structures, etc., there are still differences in the divisions of administrative units in different cities. Therefore, this method is preferred for the study of SUHI in a single city; however, it may have limitations when comparing SUHI differences between different cities.

5.3. Applicability of the Urban–Field Method

The urban–field method considers all of the field image pixels in the study area. In the YRD, the field area is smaller in the south and larger in the north, and the field LST is affected by the planting system, structure, and other factors. This method is applicable to areas where the field area is far from the urban build-up area and where the planting system and area are more stable. This method is suitable for areas where the field is far from urban build-up areas, the image pixels are more dispersed, and the cultivation system and area are more stable. For the YRD, the method is more applicable to the northern region because the northern field covers a wide area, whereas in the southern part, owing to the topography, the flat fields are mostly concentrated around the cities, which may lead to an overestimation of the rural LST.

5.4. Applicability of the Urban–Forest Method

The urban–forest method considers all of the forested land image pixels in the study area. According to the terrain and geomorphology of the YRD, most of the forest is distributed in the south, with less distribution in the north. Taizhou has a very small area of forested land, and as of 2018, there is no forested land. For this type of city, the use of forests as a rural reference range is not representative. It can be seen that the urban–forest and urban–field methods have similar conclusions in most studies. Therefore, if the selected study area contains both large areas of field and large areas of forest land, then either of them can be selected as the rural reference area, or fields can be selected as the rural reference context in plains, and forests can be selected as the rural reference context in mountainous and hilly areas.

5.5. Applicability of the Urban–Water Method

The urban–water method includes all of the water body image pixels in the study area. However, for cities with large lakes, this method may seriously overestimate daytime SUHI results and underestimate nighttime SUHI results because of the specific heat capacity properties of water bodies, which have lower daytime and higher nighttime temperatures. Therefore, when used as a rural reference background, the SUHI has a large diurnal variation and does not accurately reflect actual urban–rural thermal environment differences.

5.6. Shortcomings and Prospects

In addition, this study proposed to strengthen the importance of selecting methods for urban and rural reference areas and to consider various aspects of SUHI research methods applicable to the selected study area in urban heat island related research. However, this study has several shortcomings that should be addressed in subsequent studies. For example, this study compared only five SUHI research methods, which fall into the category of the urban–rural dichotomy and help explore urban–rural thermal environment differences. However, the research methods for SUHIs are not limited to these and other methods are also widely used in China and abroad, such as the local climate zone (LCZ), Gaussian surface model (GSM), urban heat island ratio index (URI), urban thermal field variance index (UTFVI), and some non-parametric models that do not consider urban and rural areas. In the future, we can choose various methods, not only focusing on the urban–rural dichotomy, to study urban heat islands by providing more comparability and selectivity for research methods related to SUHIs and can carry out a comparative study of SUHI among multiple cities in a more reasonable way. Moreover, in this study, an area of equal size on the periphery of the urban core area was designated as the urban buffer zone; however, many current studies consider that the area around the city belongs to the suburbs, whereas the areas farther away from the city are the rural areas, and the buffer zone adjacent to the urban area is still within the scope of the SUHI, resulting in the underestimation of the SUHI [30]. In contrast, in this study, only equal-sized buffer zones neighboring urban areas were considered, and no comparison was made of the impact on the SUHI results when ranges farther or closer to urban areas were used as rural reference areas. Future studies should consider the extent of the study area more comprehensively and examine how the distance of the buffer zone from the urban center affects SUHIs. Third, in this study, all field, forest, and water bodies in each city were selected, and the cropping system, cropping structure, terrain, slope, distance to the urban area, and stability of land types were not considered; therefore, there is a certain degree of subjectivity in this selection, which can affect the results of the SUHI study. In an actual study, it is recommended that the terrain conditions, geographic location, and cropping structure of the studied areas be included in order to define rural areas more effectively. This is because the type of subsurface planting and crop canopy can affect the monitored LST. Fourth, the urban, buffer zone, field, forest, municipal districts, and nonmunicipal districts selected in this study excluded water body pixels to avoid the influence of water bodies on the surrounding SUHI study but did not take into account the influence of elevation on the SUHI of the study area. The southern part of the YRD has high terrain and complex topographic conditions, and differences in elevation may have affected the study results. In a subsequent study, the effects of the water bodies and elevation on SUHIs should be considered comprehensively in order to determine whether the effects of these factors need to be excluded to minimize the error in the study results.

6. Conclusions

In this study, we have examined the SUHI of the Yangtze River Delta urban agglomeration by selecting different urban and rural reference ranges, exploring the differences in SUHI intensity and SUHI area produced using different urban and rural delineation methods, and examining their impacts on SUHI trend changes. The main conclusions are as follows:
(1) There were significant differences between the results of the different methods in terms of the SUHI intensity. Specifically, the daytime SUHI intensity can be ranked from highest to lowest as follows: urban–water, urban–forest, urban–field, urban–buffer, and municipal–nonmunicipal methods. The nighttime SUHI intensity can be sorted from highest to lowest as follows: urban–forest, urban–field, urban–buffer, municipal–nonmunicipal, and urban–water methods. There were also significant differences in the seasonal and diurnal variations. The SUHI intensity was high in summer and low in winter. The seasonal and diurnal variations in SUHI intensity calculated by the urban–buffer and municipal–nonmunicipal methods were small, whereas the seasonal and diurnal variations calculated by the other methods were large. The SUHI intensity results obtained by the urban–buffer and municipal–nonmunicipal methods were related to the degree of urban development, whereas the SUHI intensity results obtained by the urban–field, urban–forest, and urban–water methods were related to the area of the corresponding type of subsurface and also the degree of agglomeration. The selection of different urban and rural delineation ranges has a significant impact on the SUHI intensity results, and the choice of research method is crucial when conducting heat island studies in different cities.
(2) We found significant differences between the SUHI area values generated using the different methods. In terms of spatial distribution, the results obtained from the urban–buffer method showed that the heat island area was smallest during the daytime, whereas the results obtained from the urban–water method showed that the heat island area was largest during the daytime and smallest during the nighttime. The heat island area was mainly distributed in the southeastern part of the YRD and built-up areas of cities, and the heat island effect was stronger in the southern and eastern parts than in the northern part. With respect to spatial changes, the heat island area was mainly concentrated in the metropolitan area centered on Shanghai and the southern cities of the Zhejiang Province in the early stage. With the passage of time, as well as the policy support of the YRD, the heat island areas gradually expanded outside the cities. The west is represented by the city of Hefei, which had the most significant degree of expansion of the heat island effect. The expansion of the heat island area during the day was mainly in the west and north, whereas the expansion of the heat island area at night was mainly concentrated in the center and south.
(3) By analyzing the annual daytime and nighttime trends as well as the seasonal trends, it was found that the results of the trend changes obtained by the different heat island calculation methods were significantly different. When applying the urban–buffer and municipal–nonmunicipal methods, most cities showed an upward trend, whereas most cities showed a downward trend when applying the other methods. In summer, the selection of different research methods resulted in greater differences in the results, whereas in winter, the results were less different. Changes in the rural reference areas of Nanjing and Tongling produced smaller changes in the study results. Compared to the western cities of the YRD, the eastern cities showed greater differences in the results when using different research methods.
(4) Different methods have different advantages and disadvantages as well as different scopes of application. The urban–buffer method is more suitable for urban core areas that are geographically located in the center of the city, so that the buffer zone can be preserved to a greater extent and is more representative. The municipal–nonmunicipal method is more applicable to studies of a single city, and municipal districts can be selected to consider years of administrative change. The urban–field method is more applicable to cities with a flat topography. The urban–forest method is more applicable to cities with higher elevations. The urban–water method is not applicable to areas with larger water bodies in the study area, which may result in an overestimation of SUHI intensity during the day and underestimation at night.

Author Contributions

Conceptualization, J.Z. and L.T.; methodology, J.Z. and L.T.; software, J.Z. and X.W.; validation, J.Z., L.T. and W.L.; formal analysis, J.Z. and L.T.; investigation, J.Z.; resources, J.Z. and X.W.; data curation, J.Z. and X.W.; writing—original draft preparation, J.Z. and L.T.; writing—review and editing, J.Z. and L.T.; visualization, J.Z. and X.W.; supervision, J.Z., L.T. and W.L.; project administration, L.T.; funding acquisition, L.T. All authors have read and agreed to the published version of the manuscript.

Funding

This research was funded by the National Natural Science Foundation of China, grant number 41801234.

Data Availability Statement

The original contributions presented in the study are included in the article; further inquiries can be directed to the corresponding author.

Acknowledgments

The authors would like to thank the National Tibetan Plateau/Third Pole Environment Data Center (http://data.tpdc.ac.cn, accessed on 29 May 2024), Peng Cheng Laboratory (https://data-starcloud.pcl.ac.cn/zh, accessed on 29 May 2024), and the Resource and Environmental Science Data Platform (https://www.resdc.cn/, accessed on 29 May 2024) for providing the LST data, urban boundary data, land use data and administrative district data.

Conflicts of Interest

The authors declare no conflicts of interest.

References

  1. Wang, M.Y.; Xu, H.Q. Analyzing the influence of urban forms on surface urban heat islands intensity in chinese mega cities. J. Geo-Inf. Sci. 2018, 20, 1787–1798. [Google Scholar] [CrossRef]
  2. Possega, M.; Aragao, L.; Ruggieri, P.; Santo, M.A.; Di Sabatino, S. Observational evidence of intensified nocturnal urban heat island during heatwaves in European cities. Environ. Res. Lett. 2022, 17, 124013. [Google Scholar] [CrossRef]
  3. Zhang, X.; Kasimu, A.; Liang, H.; Wei, B.; Aizizi, Y.; Han, F. Mechanism analysis of vegetation phenology in an urban agglomeration in an arid zone driven by seasonal land surface temperatures. Urban Clim. 2024, 53, 101795. [Google Scholar] [CrossRef]
  4. Peng, J.; Ma, J.; Liu, Q.Y.; Liu, Y.X.; Hu, Y.N.; Li, Y.R.; Yue, Y.M. Spatial-temporal change of land surface temperature across 285 cities in China: An urban-rural contrast perspective. Sci. Total Environ. 2018, 635, 487–497. [Google Scholar] [CrossRef]
  5. Zhou, D.C.; Xiao, J.F.; Bonafoni, S.; Berger, C.; Deilami, K.; Zhou, Y.Y.; Frolking, S.; Yao, R.; Qiao, Z.; Sobrino, J.A. Satellite remote sensing of surface urban heat islands: Progress, challenges, and perspectives. Remote Sens. 2019, 11, 48. [Google Scholar] [CrossRef]
  6. Liang, S.L.; Bai, R.; Chen, X.N.; Chen, J.; Fan, J.W.; He, T.; Jia, K.; Jiang, B.; Jiang, L.M.; Jiao, Z.T.; et al. Review of China’s land surface quantitative remote sensing development in 2019. J. Remote Sens. 2020, 24, 618–671. [Google Scholar] [CrossRef]
  7. Hou, L.; Yue, W.Z.; Liu, X. Spatiotemporal patterns and drivers of summer heat island in Beijing-Tianjin-Hebei urban agglomeration, China. IEEE J. Sel. Top. Appl. Earth Obs. Remote Sens. 2021, 14, 7516–7527. [Google Scholar] [CrossRef]
  8. Tian, P.; Li, J.L.; Cao, L.D.; Pu, R.L.; Wang, Z.Y.; Zhang, H.T.; Chen, H.L.; Gong, H.B. Assessing spatiotemporal characteristics of urban heat islands from the perspective of an urban expansion and green infrastructure. Sustain. Cities Soc. 2021, 74, 103208. [Google Scholar] [CrossRef]
  9. Yang, Z.; Jiang, P.; Zhang, H.Y.; Cheng, P. Study on urban heat island intensity level identification based on an improved restricted boltzmann machine. Int. J. Environ. Res. Public Health 2018, 15, 186. [Google Scholar] [CrossRef]
  10. Yao, N.; Huang, C.H.; Yang, J.; van den Bosch, C.C.K.; Ma, L.; Jia, Z.K. Combined effects of impervious surface change and large-scale afforestation on the surface urban heat island intensity of Beijing, China based on remote sensing analysis. Remote Sens. 2020, 12, 3906. [Google Scholar] [CrossRef]
  11. Chen, C.; Li, D.; Keenan, T.F. Enhanced surface urban heat islands due to divergent urban-rural greening trends. Environ. Res. Lett. 2021, 16, 124071. [Google Scholar] [CrossRef]
  12. Clinton, N.; Gong, P. MODIS detected surface urban heat islands and sinks: Global locations and controls. Remote Sens. Environ. 2013, 134, 294–304. [Google Scholar] [CrossRef]
  13. Gawuc, L.; Struzewska, J. Impact of MODIS Quality Control on Temporally Aggregated Urban Surface Temperature and Long-Term Surface Urban Heat Island Intensity. Remote Sens. 2016, 8, 374. [Google Scholar] [CrossRef]
  14. Zhou, D.C.; Bonafoni, S.; Zhang, L.X.; Wang, R.H. Remote sensing of the urban heat island effect in a highly populated urban agglomeration area in East China. Sci. Total Environ. 2018, 628–629, 415–429. [Google Scholar] [CrossRef] [PubMed]
  15. Zhang, J.Y.; Tu, L.L.; Shi, B. Spatiotemporal Patterns of the Application of Surface Urban Heat Island Intensity Calculation Methods. Atmosphere 2023, 14, 1580. [Google Scholar] [CrossRef]
  16. Peng, S.S.; Piao, S.L.; Ciais, P.; Friedlingstein, P.; Ottle, C.; Bréon, F.M.; Nan, H.J.; Zhou, L.M.; Myneni, R.B. Surface urban heat island across 419 global big cities. Environ. Sci. Technol. 2012, 46, 696–703. [Google Scholar] [CrossRef]
  17. Zhou, D.C.; Zhao, S.Q.; Liu, S.G.; Zhang, L.X.; Zhu, C. Surface urban heat island in China’s 32 major cities: Spatial patterns and drivers. Remote Sens. Environ. 2014, 152, 51–61. [Google Scholar] [CrossRef]
  18. Deng, Y.J.; Kuang, Y.Q.; Huang, F. Research of urban heat island in Guangzhou based on Landsat/TM data. Meteorol. Mon. 2010, 36, 26–30. [Google Scholar] [CrossRef]
  19. Li, X.M.; Zeng, S.L. Comparisive research on characteristics of urban heat island effects between Chengdu and Chongqing. Meteorol. Sci. Technol. 2015, 43, 888–897. [Google Scholar] [CrossRef]
  20. Ye, C.H.; Liu, Y.H.; Liu, W.D.; Liu, C.; Quan, W.J. Research on urban surface heat environment monitoring indexes and its application. Meteorol. Sci. Technol. 2011, 39, 95–101. [Google Scholar] [CrossRef]
  21. Shahfahad; Naikoo, M.W.; Islam, A.R.M.; Mallick, J.; Rahman, A. Land use/land cover change and its impact on surface urban heat island and urban thermal comfort in a metropolitan city. Urban Clim. 2022, 41, 101052. [Google Scholar] [CrossRef]
  22. Imhoff, M.L.; Zhang, P.; Wolfe, R.E.; Bounoua, L. Remote sensing of the urban heat island effect across biomes in the continental USA. Remote Sens. Environ. 2010, 114, 504–513. [Google Scholar] [CrossRef]
  23. Zhang, P.; Imhoff, M.L.; Wolfe, R.E.; Bounoua, L. Characterizing urban heat islands of global settlements using MODIS and nighttime lights products. Can. J. Remote Sens. 2010, 36, 185–196. [Google Scholar] [CrossRef]
  24. Lai, J.M.; Zhan, W.F.; Quan, J.L.; Liu, Z.H.; Li, L.; Huang, F.; Hong, F.L.; Liao, W.L. Reconciling debates on the controls on surface urban heat island intensity: Effects of scale and sampling. Geophys. Res. Lett. 2021, 48, e2021GL094485. [Google Scholar] [CrossRef]
  25. Wang, C.G.; Zhan, W.F.; Liu, Z.H.; Li, J.F.; Li, L.; Fu, P.; Huang, F.; Lai, J.M.; Chen, J.K.; Hong, F.L.; et al. Satellite-based mapping of the universal thermal climate index over the Yangtze River Delta urban agglomeration. J. Clean. Prod. 2020, 277, 123830. [Google Scholar] [CrossRef]
  26. Zhou, Y.Y.; Smith, S.J.; Elvidge, C.D.; Zhao, K.G.; Thomson, A.; Imhoff, M. A cluster-based method to map urban area from DMSP/OLS nightlights. Remote Sens. Environ. 2014, 147, 173–185. [Google Scholar] [CrossRef]
  27. Jiang, S.; Peng, J.; Dong, J.Q.; Cheng, X.Y.; Dan, Y.Z. Conceptual connotation and quantitative characterization of surface urban heat island effect. Acta Geogr. Sin. 2022, 77, 2249–2265. [Google Scholar] [CrossRef]
  28. Li, Y.Z.; Yin, K.; Zhou, H.X.; Wang, X.L.; Hu, D. Progress in urban heat island monitoring by remote sensing. Prog. Geogr. 2016, 35, 1062–1074. [Google Scholar] [CrossRef]
  29. Moffett, K.B.; Makido, Y.; Shandas, V. Urban-rural surface temperature deviation and intra-urban variations contained by an urban growth boundary. Remote Sens. 2019, 11, 2683. [Google Scholar] [CrossRef]
  30. Yao, R.; Wang, L.C.; Huang, X.; Niu, Y.; Chen, Y.S.; Niu, Z. The influence of different data and method on estimating the surface urban heat island intensity. Ecol. Indic. 2018, 89, 45–55. [Google Scholar] [CrossRef]
  31. Liu, H.M.; He, B.J.; Gao, S.H.; Zhan, Q.M.; Yang, C. Influence of non-urban reference delineation on trend estimate of surface urban heat island intensity: A comparison of seven methods. Remote Sens. Environ. 2023, 296, 113735. [Google Scholar] [CrossRef]
  32. Schwarz, N.; Lautenbach, S.; Seppelt, R. Exploring indicators for quantifying surface urban heat islands of European cities with MODIS land surface temperatures. Remote Sens. Environ. 2011, 115, 3175–3186. [Google Scholar] [CrossRef]
  33. Haashemi, S.; Weng, Q.H.; Darvishi, A.; Alavipanah, S.K. Seasonal variations of the surface urban heat island in a semi-arid city. Remote Sens. 2016, 8, 352. [Google Scholar] [CrossRef]
  34. Schwarz, N.; Manceur, A.M. Analyzing the influence of urban forms on surface urban heat islands in Europe. J. Urban Plan. Dev. 2015, 141, A4014003. [Google Scholar] [CrossRef]
  35. Yang, Q.Q.; Xu, Y.; Tong, X.H.; Hu, T.; Liu, Y.; Chakraborty, T.C.; Yao, R.; Xiao, C.J.; Chen, S.R.; Ma, Z.H. Influence of urban extent discrepancy on the estimation of surface urban heat island intensity: A global-scale assessment in 892 cities. J. Clean. Prod. 2023, 426, 139032. [Google Scholar] [CrossRef]
  36. Zhang, X.; Zhou, J.; Göttsche, F.-M.; Zhan, W.; Liu, S.; Cao, R. A Method Based on Temporal Component Decomposition for Estimating 1-km All-Weather Land Surface Temperature by Merging Satellite Thermal Infrared and Passive Microwave Observations. IEEE Trans. Geosci. Remote Sens. 2019, 57, 4670–4691. [Google Scholar] [CrossRef]
  37. Zhang, X.; Zhou, J.; Liang, S.; Wang, D. A practical reanalysis data and thermal infrared remote sensing data merging (RTM) method for reconstruction of a 1-km all-weather land surface temperature. Remote Sens. Environ. 2021, 260, 112437. [Google Scholar] [CrossRef]
  38. Li, X.; Gong, P.; Zhou, Y.; Wang, J.; Bai, Y.; Chen, B.; Hu, T.; Xiao, Y.; Xu, B.; Yang, J.; et al. Mapping global urban boundaries from the global artificial impervious area (GAIA) data. Environ. Res. Lett. 2020, 15, 094044. [Google Scholar] [CrossRef]
  39. Liu, Y.H.; Fang, X.Y.; Zhang, S.; Luan, Q.Z.; Quan, W.J. Research on quantitative evaluations of heat islands for the Beijing-Tianjin-Hebei Urban Agglomeration. Acta Ecol. Sin. 2017, 37, 5818–5835. [Google Scholar] [CrossRef][Green Version]
Figure 1. Map of the study area.
Figure 1. Map of the study area.
Remotesensing 16 03206 g001
Figure 2. Map showing urban and rural divisions.
Figure 2. Map showing urban and rural divisions.
Remotesensing 16 03206 g002
Figure 3. Diurnal comparison of annual average surface urban heat island intensity (SUHII) in the Yangtze River Delta (YRD) under different methods.
Figure 3. Diurnal comparison of annual average surface urban heat island intensity (SUHII) in the Yangtze River Delta (YRD) under different methods.
Remotesensing 16 03206 g003
Figure 4. Diurnal comparison of seasonal average SUHII in the YRD calculated using different methods.
Figure 4. Diurnal comparison of seasonal average SUHII in the YRD calculated using different methods.
Remotesensing 16 03206 g004
Figure 5. Area of different heat island grades by annual daytime values.
Figure 5. Area of different heat island grades by annual daytime values.
Remotesensing 16 03206 g005
Figure 6. Area of different heat island grades by annual nighttime values.
Figure 6. Area of different heat island grades by annual nighttime values.
Remotesensing 16 03206 g006
Figure 7. Spatial distribution of annual daytime SUHIs in the YRD.
Figure 7. Spatial distribution of annual daytime SUHIs in the YRD.
Remotesensing 16 03206 g007
Figure 8. Spatial distribution of annual nighttime SUHIs in the YRD.
Figure 8. Spatial distribution of annual nighttime SUHIs in the YRD.
Remotesensing 16 03206 g008
Figure 9. Area of different heat island grades during summer: daytime values.
Figure 9. Area of different heat island grades during summer: daytime values.
Remotesensing 16 03206 g009
Figure 10. Area of different heat island grades during summer: nighttime values.
Figure 10. Area of different heat island grades during summer: nighttime values.
Remotesensing 16 03206 g010
Figure 11. Area of different heat island grades during winter: daytime values.
Figure 11. Area of different heat island grades during winter: daytime values.
Remotesensing 16 03206 g011
Figure 12. Area of different heat island grades during winter: nighttime values.
Figure 12. Area of different heat island grades during winter: nighttime values.
Remotesensing 16 03206 g012
Figure 13. Spatial distribution of summer daytime SUHI in the YRD.
Figure 13. Spatial distribution of summer daytime SUHI in the YRD.
Remotesensing 16 03206 g013
Figure 14. Spatial distribution of summer nighttime SUHI in the YRD.
Figure 14. Spatial distribution of summer nighttime SUHI in the YRD.
Remotesensing 16 03206 g014
Figure 15. Spatial distribution of winter daytime SUHI in the YRD.
Figure 15. Spatial distribution of winter daytime SUHI in the YRD.
Remotesensing 16 03206 g015
Figure 16. Spatial distribution of winter nighttime SUHI in the YRD.
Figure 16. Spatial distribution of winter nighttime SUHI in the YRD.
Remotesensing 16 03206 g016
Figure 17. Annual daytime and nighttime trends of SUHI in the YRD, from 2003 to 2022 (upper row, daytime; lower row, nighttime).
Figure 17. Annual daytime and nighttime trends of SUHI in the YRD, from 2003 to 2022 (upper row, daytime; lower row, nighttime).
Remotesensing 16 03206 g017
Figure 18. Summer daytime and nighttime trends of SUHI in the YRD, from 2003 to 2022 (upper row, daytime; lower row, nighttime).
Figure 18. Summer daytime and nighttime trends of SUHI in the YRD, from 2003 to 2022 (upper row, daytime; lower row, nighttime).
Remotesensing 16 03206 g018
Figure 19. Winter daytime and nighttime trends of SUHI in the YRD, from 2003 to 2022 (upper row, daytime; lower row, nighttime).
Figure 19. Winter daytime and nighttime trends of SUHI in the YRD, from 2003 to 2022 (upper row, daytime; lower row, nighttime).
Remotesensing 16 03206 g019
Figure 20. Diagram of the range of urban and equal-sized buffer zones. (a) Before excluding the buffers beyond the limits of the city’s administrative boundaries and water bodies; (b) after excluding the buffers beyond the limits of the city’s administrative boundaries and water bodies.
Figure 20. Diagram of the range of urban and equal-sized buffer zones. (a) Before excluding the buffers beyond the limits of the city’s administrative boundaries and water bodies; (b) after excluding the buffers beyond the limits of the city’s administrative boundaries and water bodies.
Remotesensing 16 03206 g020
Table 1. SUHI grade classifications and definitions.
Table 1. SUHI grade classifications and definitions.
GradeSUHII Range (°C)DefineAbbreviation
1≤−5.0Strong cold islandSCI
2−5.0~−3.0Sub-strong cold islandSSCI
3−3.0~−1.0Weak cold islandWCI
4−1.0~1.0No heat islandNHI
51.0~3.0Weak heat islandWHI
63.0~5.0Sub-strong heat islandSSHI
7≥5.0Strong heat islandSHI
Disclaimer/Publisher’s Note: The statements, opinions and data contained in all publications are solely those of the individual author(s) and contributor(s) and not of MDPI and/or the editor(s). MDPI and/or the editor(s) disclaim responsibility for any injury to people or property resulting from any ideas, methods, instructions or products referred to in the content.

Share and Cite

MDPI and ACS Style

Zhang, J.; Tu, L.; Wang, X.; Liang, W. Comparison of Urban Heat Island Differences in the Yangtze River Delta Urban Agglomerations Based on Different Urban–Rural Dichotomies. Remote Sens. 2024, 16, 3206. https://doi.org/10.3390/rs16173206

AMA Style

Zhang J, Tu L, Wang X, Liang W. Comparison of Urban Heat Island Differences in the Yangtze River Delta Urban Agglomerations Based on Different Urban–Rural Dichotomies. Remote Sensing. 2024; 16(17):3206. https://doi.org/10.3390/rs16173206

Chicago/Turabian Style

Zhang, Jiyuan, Lili Tu, Xiaofei Wang, and Wei Liang. 2024. "Comparison of Urban Heat Island Differences in the Yangtze River Delta Urban Agglomerations Based on Different Urban–Rural Dichotomies" Remote Sensing 16, no. 17: 3206. https://doi.org/10.3390/rs16173206

APA Style

Zhang, J., Tu, L., Wang, X., & Liang, W. (2024). Comparison of Urban Heat Island Differences in the Yangtze River Delta Urban Agglomerations Based on Different Urban–Rural Dichotomies. Remote Sensing, 16(17), 3206. https://doi.org/10.3390/rs16173206

Note that from the first issue of 2016, this journal uses article numbers instead of page numbers. See further details here.

Article Metrics

Back to TopTop