Multiview Multistatic vs. Multimonostatic Three-Dimensional Ground-Penetrating Radar Imaging: A Comparison
Abstract
1. Introduction
2. GPR Imaging Problem
3. Resolution Analysis
3.1. Theoretical Background
3.2. Resolution Analysis
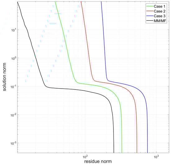
4. Reconstruction Results
5. Conclusions
Author Contributions
Funding
Data Availability Statement
Conflicts of Interest
References
- Daniels, D.J. Ground Penetrating Radar; John Wiley and Sons: Hoboken, NJ, USA, 2005. [Google Scholar]
- Persico, R. Introduction to Ground Penetrating Radar: Inverse Scattering and Data Processing; Wiley: Hoboken, NJ, USA, 2014. [Google Scholar]
- Benedetto, A.; Pajewsky, L. Civil Engineering Applications of Ground Penetrating Radar; Springer: Cham, Switzerland, 2015; ISBN 978-3-319-04813-0. [Google Scholar]
- Catapano, I.; Crocco, L.; Di Napoli, R.; Soldovieri, F.; Brancaccio, A.; Pes, O.F.; Aiello, A. Microwave tomography enhanced GPR surveys in Centaur’s Domus—Regio vI of Pompeii. J. Geophys. Eng. 2012, 9, S92–S99. [Google Scholar] [CrossRef]
- Soldovieri, F.; Brancaccio, A.; Prisco, G.; Leone, G.; Pierri, R. A Kirchhoff-based shape reconstruction algorithm for the multimonostatic configuration: The realistic case of buried pipes. IEEE Trans. Geosci. Remote Sens. 2008, 46, 3031–3038. [Google Scholar] [CrossRef]
- Soliman, M.; Wu, Z. Buried object location based on frequency domain UWB measurements. J. Geophys. Eng. 2008, 5, 221–231. [Google Scholar] [CrossRef]
- Urbini, S.; Cafarella, L.; Marchetti, M.; Chiarucci, P. Fast geophysical prospecting applied to archaeology: Results at villa ai Cavallacci (Albano Laziale, Rome) site. Ann. Geophys. 2007, 50, 291–299. [Google Scholar] [CrossRef]
- Sato, M. MIMO Radar. In MIMO Communications—Fundamental Theory, Propagation Channels, and Antenna Systems; IntechOpen: London, UK, 2023. [Google Scholar] [CrossRef]
- Zhang, W.; Hoorfar, A. MIMO Ground Penetrating Radar Imaging through Multilayered Subsurface Using Total Variation Minimization. IEEE Trans. Geosci. Remote Sens. 2019, 57, 2107–2115. [Google Scholar] [CrossRef]
- Catapano, I.; Gennarelli, G.; Esposito, G.; Ludeno, G.; Su, Y.; Zhang, Z.; Soldovieri, F. Contactless Microwave Tomography via MIMO GPR. IEEE Geosci. Remote Sens. Lett. 2023, 20, 1–5. [Google Scholar] [CrossRef]
- Zheng, W.; Hao, T.; Li, X.; Luo, W. Experimental validation of the horizontal resolution improvement by ultra-wideband metasurfaces for GPR systems. NDT E Int. 2024, 147, 103179. [Google Scholar] [CrossRef]
- Jin, T.; Lou, J.; Zhou, Z. Extraction of Landmine Features Using a Forward-Looking Ground-Penetrating Radar with MIMO Array. IEEE Trans. Geosci. Remote Sens. 2012, 50, 4135–4144. [Google Scholar] [CrossRef]
- Dogaru, T.; Carin, L. Time-domain sensing of targets buried under a rough air-ground interface. IEEE Trans. Antennas Propag. 1998, 46, 360–372. [Google Scholar] [CrossRef]
- Soldovieri, F.; Gennarelli, G.; Catapano, I.; Liao, D.; Dogaru, T. Forward-Looking Radar Imaging: A Comparison of Two Data Processing Strategies. IEEE J. Sel. Top. Appl. Earth Obs. Remote Sens. 2017, 10, 562–571. [Google Scholar] [CrossRef]
- Barbin, Y.; Nicollin, F.; Kofman, W.; Zolotarev, V.; Glotov, V. Mars 96 GPR program. J. Appl. Geophys. 1995, 33, 27–37. [Google Scholar] [CrossRef]
- Hamran, S.E.; Paige, D.A.; Amundsen, H.E.F.; Berger, T.; Brovoll, S.; Carter, L.; Damsgård, L.; Dypvik, H.; Eide, J.; Eide, S.; et al. Radar imager for Mars’ subsurface experiment—RIMFAX. Space Sci. Rev. 2020, 216, 1–39. [Google Scholar] [CrossRef]
- Jing, L.; Chen, Y.; Zeng, Z. Estimated lunar regolith structure based on the least-squares Kirchhoff migration of CE-3 lunar penetrating radar data. IEEE Geosci. Remote. Sens. Lett. 2020, 18, 816–820. [Google Scholar]
- García-Fernández, M.; Álvarez-Narciandi, G.; Laviada, J.; López, Y.Á.; Las-Heras, F. Towards real-time processing for UAV-mounted GPR-SAR imaging systems. ISPRS J. Photogramm. Remote Sens. 2024, 212, 1–12. [Google Scholar] [CrossRef]
- Catapano, I.; Crocco, L.; Isernia, T. A simple two-dimensional inversion technique for imaging homogeneous targets in stratified media. Radio Sci. 2004, 39, 1–14. [Google Scholar] [CrossRef]
- Hajebi, M.; Tavakoli, A.; Dehmollaian, M.; Dehkhoda, P. An Iterative Modified Diffraction Tomography Method for Reconstruction of a High-Contrast Buried Object. IEEE Trans. Geosci. Remote Sens. 2018, 56, 4138–4148. [Google Scholar] [CrossRef]
- Fischer, C.; Younis, M.; Wiesbeck, W. Multistatic GPR data acquisition and imaging. Proc. IEEE Int. Geosci. Remote Sens. Symp. 2002, 1, 328–330. [Google Scholar]
- Counts, T.; Gurbuz, A.C.; Scott, W.R.; McClellan, J.H.; Kangwook, K. Multistatic ground-penetrating radar experiments. IEEE Trans. Geosci. Remote Sens. 2007, 45, 2544–2553. [Google Scholar] [CrossRef]
- Nikolova, N.K. References. In Introduction to Microwave Imaging; EuMA High Frequency Technologies Series; Cambridge University Press: Cambridge, UK, 2017; pp. 327–340. [Google Scholar]
- Pastorino, M. Microwave Imaging; John Wiley and Sons: Hoboken, NJ, USA, 2010. [Google Scholar]
- Chew, W.C. Inverse Scattering Problems. In Waves and Fields in Inhomogenous Media; IEEE: Piscataway, NJ, USA, 1995; pp. 511–570. [Google Scholar] [CrossRef]
- Persico, R. On the role of measurement configuration in contactless GPR data processing by means of linear inverse scattering. IEEE Trans. Geosci. Remote Sens. 2006, 54, 2062–2071. [Google Scholar] [CrossRef]
- Noghanian, S.; Sabouni, A.; Desell, T.; Ashtari, A. Microwave Tomography; Springer: New York, NY, USA, 2014. [Google Scholar]
- Catapano, I.; Gennarelli, G.; Ludeno, G.; Soldovieri, F.; Persico, R. Ground-Penetrating Radar: Operation Principle and Data Processing. In Wiley Encyclopedia of Electrical and Electronics Engineering; Wiley: Hoboken, NJ, USA, 2019; pp. 1–23. [Google Scholar]
- Almeida, E.R.; Bicudo, T.; Porsani, J.L. Automatic estimation of inversion parameters for Microwave Tomography in GPR data using cooperative targets. J. Appl. Geophys. 2020, 178, 104074. [Google Scholar] [CrossRef]
- Ambrosanio, M.; Bevacqua, M.T.; Isernia, T.; Pascazio, V. Performance Analysis of Tomographic Methods Against Experimental Contactless Multistatic Ground Penetrating Radar. IEEE J. Sel. Top. Appl. Earth Obs. Remote. Sens. 2021, 14, 1171–1183. [Google Scholar] [CrossRef]
- Gennarelli, G.; Catapano, I.; Ludeno, G.; Noviello, C.; Papa, C.; Pica, G.; Soldovieri, F.; Alberti, G. A low frequency airborne GPR system for wide area geophysical surveys: The case study of Morocco Desert. Remote. Sens. Environ. 2019, 233, 111409. [Google Scholar] [CrossRef]
- Soldovieri, F.; Persico, R.; Leone, G. A linear inverse scattering algorithm for the multi-monostatic GPR configuration. In Proceedings of the 3rd International Workshop on Advanced Ground Penetrating Radar, Delft, The Netherlands, 2–3 May 2005. [Google Scholar]
- Bhat, C.; Maisto, M.A.; Khankhoje, U.K.; Solimene, R. Subsurface Radar Imaging by Optimizing Sensor Locations in Spatio-Spectral Domains. IEEE Trans. Geosci. Remote. Sens. 2023, 61, 4505310. [Google Scholar] [CrossRef]
- Salucci, M.; Poli, L.; Massa, A. Advanced multi-frequency GPR data processing for non-linear deterministic imaging. Signal Process. 2017, 132, 306–318. [Google Scholar] [CrossRef]
- Gennarelli, G.; Catapano, I.; Soldovieri, F.; Persico, R. On the Achievable Imaging Performance in Full 3-D Linear Inverse Scattering. IEEE Trans. Antennas Propag. 2015, 63, 1150–1155. [Google Scholar] [CrossRef]
- Maisto, M.A.; Masoodi, M.; Pierri, R.; Solimene, R. Sensor Arrangement in Through-the Wall Radar Imaging. IEEE Open J. Antennas Propag. 2022, 3, 333–341. [Google Scholar] [CrossRef]
- Oliveri, G.; Anselmi, N.; Massa, A. Compressive sensing imaging of non-sparse 2D scatterers by a total-variation approach within the Born approximation. IEEE Trans. Antennas Propag. 2014, 62, 5157–5170. [Google Scholar] [CrossRef]
- Feng, X.; Sato, M. Pre-stack migration applied to GPR for landmine detection. Inverse Probl. 2004, 20, S99. [Google Scholar] [CrossRef]
- Devaney, A.J. Geophysical diffraction tomography. IEEE Trans. Geosci. Remote Sens. 1984, 1, 3–13. [Google Scholar] [CrossRef]
- Cui, T.J.; Chew, W.C. Diffraction tomographic algorithm for the detection of three-dimensional objects buried in a lossy half-space. IEEE Trans. Antennas Propag. 2002, 50, 42–49. [Google Scholar]
- Bertero, M.; Boccacci, P.; De Mol, C. Introduction to Inverse Problems in Imaging, 2nd ed.; CRC Press: Boca Raton, FL, USA, 2021. [Google Scholar] [CrossRef]
- Hansen, P.C.; Jensen, T.K.; Rodriguez, G. An adaptive pruning algorithm for the discrete L-curve criterion. J. Comput. Appl. Math. 2007, 198, 483–492. [Google Scholar] [CrossRef]
- Castellanos, J.L.; Gómez, S.; Guerra, V. The triangle method for finding the corner of the L-curve. Appl. Numer. Math. 2002, 43, 359–373. [Google Scholar] [CrossRef]
- Balanis, C.A. Advanced Engineering Electromagnetics; John Wiley & Sons: Hoboken, NJ, USA, 2012. [Google Scholar]
- Hansen, P.C. Regularization tools version 4.0 for Matlab 7.3. Numer. Algorithms 2007, 46, 189–194. [Google Scholar] [CrossRef]
- Gianluca, G.; Soldovieri, F. Radar imaging through cinderblock walls: Achievable performance by a model-corrected linear inverse scattering approach. IEEE Trans. Geosci. Remote Sens. 2014, 52, 6738–6749. [Google Scholar]
- Gennarelli, G.; Riccio, G.; Solimene, R.; Soldovieri, F. Radar imaging through a building corner. IEEE Trans. Geosci. Remote Sens. 2014, 52, 6750–6761. [Google Scholar] [CrossRef]
- Negishi, T.; Gennarelli, G.; Soldovieri, F.; Liu, Y.; Erricolo, D. Radio frequency tomography for nondestructive testing of pillars. IEEE Trans. Geosci. Remote Sens. 2020, 58, 3916–3926. [Google Scholar] [CrossRef]
- Warren, C.; Giannopoulos, A.; Giannakis, I. gprMax: Open source software to simulate electromagnetic wave propagation for Ground Penetrating Radar. Comput. Phys. Commun. 2016, 209, 163–170. [Google Scholar] [CrossRef]













| SNR [dB] | 0 | 5 | 10 | 15 | 20 | 25 | 30 | 35 | 40 | 50 | |
|---|---|---|---|---|---|---|---|---|---|---|---|
| Case 1 | 605 | 714 | 866 | 994 | 1095 | 1194 | 1306 | 1404 | 1476 | 1648 | |
| Case 2 | 929 | 1077 | 1317 | 1488 | 1655 | 1844 | 1999 | 2169 | 2333 | 2600 | |
| Case 3 | 1008 | 1138 | 1474 | 1741 | 1963 | 2176 | 2415 | 2570 | 2797 | 3157 | |
| MM/MF | 338 | 530 | 567 | 723 | 756 | 796 | 847 | 887 | 916 | 973 |
| Resolution | Theoretical (MM/MF) [m] | Case 1 [m] | Case 2 [m] | Case 3 [m] | MM/MF [m] |
|---|---|---|---|---|---|
| 0.02 | 0.02 | 0.02 | 0.02 | 0.02 | |
| 0.04 | 0.04 | 0.04 | 0.04 | 0.04 | |
| 0.1 | 0.1 | 0.08 | 0.08 | 0.08 |
Disclaimer/Publisher’s Note: The statements, opinions and data contained in all publications are solely those of the individual author(s) and contributor(s) and not of MDPI and/or the editor(s). MDPI and/or the editor(s) disclaim responsibility for any injury to people or property resulting from any ideas, methods, instructions or products referred to in the content. |
© 2024 by the authors. Licensee MDPI, Basel, Switzerland. This article is an open access article distributed under the terms and conditions of the Creative Commons Attribution (CC BY) license (https://creativecommons.org/licenses/by/4.0/).
Share and Cite
Masoodi, M.; Gennarelli, G.; Soldovieri, F.; Catapano, I. Multiview Multistatic vs. Multimonostatic Three-Dimensional Ground-Penetrating Radar Imaging: A Comparison. Remote Sens. 2024, 16, 3163. https://doi.org/10.3390/rs16173163
Masoodi M, Gennarelli G, Soldovieri F, Catapano I. Multiview Multistatic vs. Multimonostatic Three-Dimensional Ground-Penetrating Radar Imaging: A Comparison. Remote Sensing. 2024; 16(17):3163. https://doi.org/10.3390/rs16173163
Chicago/Turabian StyleMasoodi, Mehdi, Gianluca Gennarelli, Francesco Soldovieri, and Ilaria Catapano. 2024. "Multiview Multistatic vs. Multimonostatic Three-Dimensional Ground-Penetrating Radar Imaging: A Comparison" Remote Sensing 16, no. 17: 3163. https://doi.org/10.3390/rs16173163
APA StyleMasoodi, M., Gennarelli, G., Soldovieri, F., & Catapano, I. (2024). Multiview Multistatic vs. Multimonostatic Three-Dimensional Ground-Penetrating Radar Imaging: A Comparison. Remote Sensing, 16(17), 3163. https://doi.org/10.3390/rs16173163

