Comparing the Capability of Sentinel-2 and Landsat 9 Imagery for Mapping Water and Sandbars in the River Bed of the Lower Tagus River (Portugal)
Abstract
:1. Introduction
2. Materials
2.1. Site Description, Hydrology, and Hydraulics
2.2. Remote Sensing Data
2.2.1. Sentinel-2 Satellite Data
2.2.2. Landsat 9 Satellite Data
3. Methods
3.1. Methodology Overview
3.2. Spectral Water Indices
3.3. Imagery Classification Decision Value
4. Results
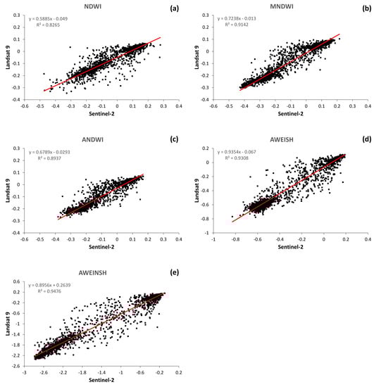
4.1. Comparison between the S2 and L9 Spectral Water Indices Maps
4.2. Impact of Class Separation Decision Value on Water Body Mapping
4.3. Sentinel-2 and Landsat 9 Spectra-Based Water and Non-Water Mapping
4.4. Details of S2 and L9 Water and Non-Water Mapping
5. Discussion
6. Conclusions
Author Contributions
Funding
Data Availability Statement
Conflicts of Interest
References
- Radecki-Pawlik, A. Flow and sediment size variability Naer gravel bars in the Beskidy mountains in the polish Carpathians. AUC Geographica 2014, 49, 121–126. [Google Scholar] [CrossRef] [Green Version]
- Church, M.A.; Jones, D. Channel Bars in Gravel-Bed Rivers, Gravel-Bed Rivers; R.D. Hey: London, UK, 1982. [Google Scholar]
- Whittow, J. Dictionary of Physical Geography; Penguin Books: London, UK, 1984; ISBN 0713912561. [Google Scholar]
- Alexander, J.S.; Schultze, D.M.; Zelt, R.B. Emergent Sandbar Dynamics in the Lower Platte River in Eastern Nebraska—Methods and Results of Pilot Study, 2011; U.S. Geological Survey Scientific Investigations Report 2013–5031; 2013; 42p. Available online: https://pubs.usgs.gov/sir/2013/5031/ (accessed on 15 September 2022).
- Jacobson, R.B. Riverine Habitat Dynamics. In Treatise on Geomorphology; Shroder, J.J., Butler, D., Hupp, C., Eds.; Academic Press: San Diego, CA, USA, 2013. [Google Scholar] [CrossRef]
- Sultana, M.S.; Dewan, A. A reflectance-based water quality index and its application to examine degradation of river water quality in a rapidly urbanising megacity. Environ. Adv. 2021, 5, 100097. [Google Scholar] [CrossRef]
- Rubin, D.M.; Schmidt, J.C.; Moore, J.N. Origin, structure, and evolution of a reattachment bar, Colorado River, Grand Canyon, Arizona. J. Sediment. Petrol. 1990, 60, 982–991. [Google Scholar] [CrossRef]
- Dixon, M.D.; Turner, M.G.; Jin, C. Riparian tree seedling distribution on Wisconsin river sandbars—Controls at different spatial scales. Ecol. Monogr. 2002, 72, 465–485. [Google Scholar] [CrossRef]
- Amsler, M.L.; García, M.H. Sand-dune geometry of large rivers during floods. J. Hydraul. Eng. 1997, 123, 582–584. [Google Scholar] [CrossRef]
- Amsler, M.L.; Prendes, H.H. Transporte de sedimentos y processos fluviales asociados. In El Río Paraná en su Tramo Medio; Paoli, C.M., Schreider, M., Eds.; Universidad Nacional del Litoral: Santa Fé, Argentina, 2000. [Google Scholar]
- Orfeo, O.; Stevaux, J. Hydraulic and morphologic characteristics of middle and upper reaches of the Paraná River (Argentina and Brazil). Geomorphology 2002, 44, 309–322. [Google Scholar] [CrossRef] [Green Version]
- Amsler, M.L.; Drago, E.C.; Paira, A.R. Fluvial sediments: Main channel and floodplain interrelationships. In The Middle Paraná River, Limnology of a Subtropical Wetland; Iriondo, H., Paggi, J.C., Parma, M.J., Eds.; Springer: New York, NY, USA, 2007. [Google Scholar] [CrossRef]
- Amsler, M.; Blettler, M.; de Drago, I.E. Influence of hydraulic conditions over dunes on the distribution of the benthic macroinvertebrates in a large sand bed river. Water Resour. Res. 2009, 45, W06426. [Google Scholar] [CrossRef] [Green Version]
- Paoli, C.; Iriondo, M.; García, N. Características de las cuencas de aporte. In El río Paraná en su tramo medio. Contribución al conocimiento y prácticas ingenieriles en un gran río de llanura; Paoli, C., Schreider, M., Eds.; Centro de Publicaciones de la UNL: Santa Fe, Argentina, 2000. [Google Scholar]
- Blettler, M.; Amsler, L.; de Drago, I.E. Hydraulic factors controlling the benthic invertebrate distribution within and among dunes of the Middle Paraná River (Argentina) and sampling techniques. J. S. Am. Earth Sci. 2012, 35, 27–37. [Google Scholar] [CrossRef]
- Rinaldi, M. Recent channel adjustments in alluvial rivers of Tuscany, Central Italy. Earth Surf. Process Land. 2003, 28, 587–608. [Google Scholar] [CrossRef]
- Dufour, S.; Rinaldi, M.; Piégay, H.; Michalon, A. How do river dynamics and human influences affect the landscape pattern of fluvial corridors? Lessons from the Magra River, Central–Northern Italy. Landsc. Urban Plan. 2015, 134, 107–118. [Google Scholar] [CrossRef]
- Aguiar, F.C.; Martins, M.J.; Silva, P.C.; Fernandes, M.R. Riverscapes downstream of hydropower dams: Effects of altered flows and historical land-use change. Landsc. Urban Plan. 2016, 153, 83–98. [Google Scholar] [CrossRef]
- Lallias-Tacon, S.; Liébault, F.; Piégay, H. Use of airborne LiDAR and historical aerial photos for characterising the history of braided river floodplain morphology and vegetation responses. Catena 2017, 149, 742–759. [Google Scholar] [CrossRef]
- Wang, B.; Xu, Y. Dynamics of 30 large channel bars in the lower Mississippi River in response to river engineering from 1985 to 2015. Geomorphology 2018, 300, 31–44. [Google Scholar] [CrossRef]
- Long, J.; Li, H.; Wang, Z.; Wang, B.; Xu, Y. Three decadal morphodynamic evolution of a large channel bar in the middle Yangtze River: Influence of natural and anthropogenic interferences. Catena 2021, 199, 105128. [Google Scholar] [CrossRef]
- Cavallo, C.; Nones, M.; Papa, M.N.; Gargiulo, M.; Ruello, G. Monitoring the morphological evolution of a reach of the Italian Po River using multispectral satellite imagery and stage data. Geocarto Int. 2021, 37, 8579–8601. [Google Scholar] [CrossRef]
- Niroumand-Jadidi, M.; Legleiter, C.J.; Bovolo, F. River Bathymetry Retrieval from Landsat-9 Images Based on Neural Networks and Comparison to SuperDove and Sentinel-2. IEEE J. Sel. Top. Appl. Earth Obs. Remote Sens. 2022, 15, 5250–5260. [Google Scholar] [CrossRef]
- Yang, X.; Zhao, S.; Qin, X.; Zhao, N.; Liang, L.J.R.S. Mapping of urban surface water bodies from Sentinel-2 MSI imagery at 10 m resolution via NDWI-based image sharpening. Remote Sens. 2017, 9, 596. [Google Scholar] [CrossRef] [Green Version]
- You, H.; Tang, X.; Deng, W.; Song, H.; Wang, Y.; Chen, J. A Study on the Difference of LULC Classification Results Based on Landsat 8 and Landsat 9 Data. Sustainability 2022, 14, 13730. [Google Scholar] [CrossRef]
- Koutsias, N.; Pleniou, M. A Rule-Based Semi-Automatic Method to Map Burned Areas in Mediterranean Using Landsat Images—Revisited and Improved. Int. J. Digit. Earth 2021, 14, 1602–1623. [Google Scholar] [CrossRef]
- Bannari, A.; Ali, T.S.; Abahussain, A. The Capabilities of Sentinel-MSI (2A/2B) and Landsat-OLI (8/9) in Seagrass and Algae Species Differentiation Using Spectral Reflectance. Ocean Sci. 2022, 18, 361–388. [Google Scholar] [CrossRef]
- Fisher, A.; Flood, N.; Danaher, T. Comparing Landsat water index methods for automated water classification in eastern Australia. Remote Sens. Environ. 2016, 175, 167–182. [Google Scholar] [CrossRef]
- Latella, M.; Luijendijk, A.; Moreno-Rodenas, A.M.; Camporeale, C. Satellite image processing for the coarse-scale investigation of sandy coastal areas. Remote Sens. 2021, 13, 4613. [Google Scholar] [CrossRef]
- Acharya, A.; Sharma, M.L.; Bishwakarma, K.; Dahal, P.; Chaudhari, S.K.; Adhikari, B.; Neupane, S.; Pokhrel, B.N.; Pant, R.R. Chemical Characteristics of the Karmanasha River Water and Its Appropriateness for Irrigational Usage. J. Nepal Chem. Soc. 2020, 41, 94–102. [Google Scholar] [CrossRef]
- Ji, L.; Zhang, L.; Wylie, B. Analysis of dynamic thresholds for the normalized difference water index. Photogramm. Eng. Remote Sens. 2009, 75, 1307–1317. [Google Scholar] [CrossRef]
- APA—Agência Portuguesa do Ambiente. Plano de Gestão da Região Hidrográfica do Tejo, Relatório Técnico—Síntese; Ministério da Agricultura, do Mar, do Ambiente e do Ordenamento do Território: Lisbon, Portugal, 2012; p. 294. [Google Scholar]
- Mezger, G.; De Stefano, L.; González del Tánago, M. Analysis of the Evolution of Climatic and Hydrological Variables in the Tagus River Basin, Spain. Water 2022, 14, 818. [Google Scholar] [CrossRef]
- Ministerio para la Transición Ecológica (MITECO). Available online: https://www.miteco.gob.es/es/cartografia-y-sig/ide/descargas/default.aspx (accessed on 25 September 2022).
- García-Ruiz, J.M.; López-Moreno, I.I.; Vicente-Serrano, S.M.; Lasanta-Martínez, T.; Beguería, S. Mediterranean water resources in a global change scenario. Earth-Sci. Rev. 2011, 105, 121–139. [Google Scholar] [CrossRef] [Green Version]
- European Environment Agency (EEA). Water Resources across Europe—Confronting Water Scarcity and Drought; Publications Office of the European Union: Luxemburg, 2009; pp. 1–90. [Google Scholar] [CrossRef]
- Philandras, C.M.; Nastos, P.T.; Kapsomenakis, J.; Douvis, K.C.; Tselioudis, G.; Zerefos, C.S. Long term precipitation trends and variability within the Mediterranean region. Nat. Hazards Earth Syst. Sci. 2011, 11, 3235–3250. [Google Scholar] [CrossRef] [Green Version]
- Espírito Santo, F.; Ramos, A.M.; de Lima, M.I.P.; Trigo, R.M. Seasonal changes in daily precipitation extremes in mainland Portugal from 1941 to 2007. Reg. Environ. Change 2014, 14, 1765–1788. [Google Scholar] [CrossRef]
- Alpert, P.; Krichak, S.O.; Sha, H.; Haim, D.; Osetinsky, I. Climatic trends to extremes employing regional modeling and statistical interpretation over the E. Mediterranean. Glob. Planet. Change 2008, 63, 163–170. [Google Scholar] [CrossRef]
- Camuffo, D.; Bertolin, M.; Barriendos, C.; Dominguez-Castro, F.; Cocheo, C.; Enzi, S.; Sghedoni, M.; della Valle, A.; Garnier, E.; Alcoforado, M.; et al. 500-year temperature reconstruction in the Mediterranean Basin by means of documentary data and instrumental observations. Clim. Change 2010, 101, 169–199. [Google Scholar] [CrossRef]
- Espírito Santo, F.; de Lima, M.I.P.; Ramos, A.M.; Trigo, R.M. Trends in seasonal surface air temperature in mainland Portugal, since 1941. Int. J. Climatol. 2014, 34, 1814–1837. [Google Scholar] [CrossRef]
- Vicente-Serrano, S.M.; Peña-Gallardo, M.; Hannaford, J.; Murphy, C.; Lorenzo-Lacruz, J.; Dominguez-Castro, F.; Lopez-Moreno, J.I.; Beguería, S.; Noguera, B.I.; Harrigan, S.; et al. Climate, Irrigation and Land Cover Change Explain Streamflow Trends in Countries Bordering the Northeast Atlantic. Geophys. Res. Lett. 2019, 46, 10821–10833. [Google Scholar] [CrossRef] [Green Version]
- Lorenzo-Lacruz, J.; Vicente-Serrano, S.M.; López-Moreno, J.I.; Morán-Tejeda, E.; Zabalza, J. Recent trends in Iberian streamflows (1945–2005). J. Hydrol. 2012, 414, 463–475. [Google Scholar] [CrossRef]
- Martínez-Fernández, J.; Sánchez, N.; Herrero-Jiménez, C. Recent trends in rivers with near-natural flow regime: The case of the river headwaters in Spain. Prog. Phys. Geogr. 2013, 37, 685–700. [Google Scholar] [CrossRef]
- Benito, G.; Sanchez-Moya, Y.; Sopena, A. Sedimentology of high-stage flood deposits of the Tagus River, central Spain. Sediment. Geol. 2003, 157, 107–132. [Google Scholar] [CrossRef]
- Bettencourt, A.; Ramos, L. Estuários Portugueses; Instituto da Água, Ministério das Cidades, Ordenamento do Território e Ambiente—Direcção de Serviços de Planeamento: Lisboa, Portugal, 2003; ISBN 972-9412-62-6. [Google Scholar]
- Agência Portuguesa do Ambiente. Tejo and Ribeiras do Oeste River Basin Management Plan (RBD5) 2016–2021. Part 2—Characterization and Diagnostics (Annexes); APA: Lisboa, Portugal, 2016; Available online: https://apambiente.pt/sites/default/files/_SNIAMB_Agua/DRH/PlaneamentoOrdenamento/PGRH/2016-2021/PTRH5A/PGRH_2_RH5A_Parte2_Anexos.pdf (accessed on 1 September 2022).
- PBH Tejo. Análise e Diagnóstico da Situação de Referência—1ª Fase. Anexo 4—Recursos Hídricos Subterrâneos—Tomo 4B—Caracterização do Balanço Hídrico Subterrâneo; MINISTÉRIO DO AMBIENTE: Lisboa, Portugal, 1999; Available online: https://sniambgeoviewer.apambiente.pt/GeoDocs/geoportaldocs/ARHTejo/PBHTejo/Fase1_Analise_Diagn_Sit_Referencia/AnexTematicos/TAnexo4_B.pdf (accessed on 1 September 2022).
- LNEC. Assessoria à Atribuição de Licenças de Extração de Inertes—2º Relatório—Análise do impacte da extração de areias na evolução do rio Tejo; Laboratório Nacional de Engenharia Civil: Lisboa, Portugal, 1999. [Google Scholar]
- Fernandes, M.R.; Aguiar., F.C.; Martins., M.J.; Rivaes., R.; Ferreira., M.T. Long-term human-generated alterations of Tagus River: Effects of hydrological regulation and land-use changes in distinct river zones. Catena 2020, 188. [Google Scholar] [CrossRef]
- Pessoa, F.; Lidon, F.; Reboredo, F. Drought effects on Portuguese Forest Cover. In Forest Context and Policies in Portugal; Reboredo, F., Ed.; Springer: Cham, Switzerland, 2014; pp. 67–96. ISBN 978-3-319-08455-8. [Google Scholar] [CrossRef]
- Cordovil, C.M.d.S.; Cruz, S.; Brito, A.G.; Cameira, M.R.; Poulsen, J.R.; Thodsen, H.; Kronvang, B. A simplified nitrogen assessment in Tagus river basin: A management focused review. Water 2018, 10, 406. [Google Scholar] [CrossRef] [Green Version]
- S2 User Handbook. ESA Standard Document. Issue 1, Rev 2. 24 July 2015. Available online: https://sentinels.copernicus.eu/documents/247904/685211/S2_User_Handbook.pdf/8869acdf-fd84-43ec-ae8c-3e80a436a16c?t=1438278087000 (accessed on 1 September 2022).
- Ji, R.J.; Yu, W.Y.; Feng, R.; Wu, J.W.; Zhang, Y.S. The threshold determination methods of water body information extraction using GF-1 satellite image. IOP Conf. Ser. Mater. Sci. Eng. 2019, 592, 012088. [Google Scholar] [CrossRef] [Green Version]
- McFeeters, S.K. The use of the normalized difference water index (NDWI) in the delineation of open water features. Int. J. Remote Sens. 1996, 17, 1425–1432. [Google Scholar] [CrossRef]
- Xu, H.Q. Modification of normalised difference water index (NDWI) to enhance open water features in remotely sensed imagery. Int. J. Remote Sens. 2006, 27, 3025–3033. [Google Scholar] [CrossRef]
- Rad, A.M.; Kreitler, J.; Sadegh, M. Augmented Normalized Difference Water Index for improved surface water monitoring. Environ. Model. Softw. 2021, 140, 105030. [Google Scholar] [CrossRef]
- Feyisa, G.L.; Meilby, H.; Fensholt, R.; Proud, S.R. Automated water extraction index: A new technique for surface water mapping using Landsat imagery. Remote Sens. Environ. 2014, 140, 23–35. [Google Scholar] [CrossRef]
- Janušaitė, R.; Jarmalavičius, D.; Jukna, L.; Žilinskas, G.; Pupienis, D. Analysis of interannual and seasonal nearshore bar behavior observed from decadal optical satellite data in the Curonian Spit, Baltic Sea. Remote Sens. 2022, 14, 3423. [Google Scholar] [CrossRef]
- Brinkhoff, J.; Hornbuckle, J.; Barton, J.L. Assessment of Aquatic Weed in Irrigation Channels Using UAV and Satellite Imagery. Water 2018, 10, 1497. [Google Scholar] [CrossRef] [Green Version]
- Chauhan, K.; Patel, J.; Shukla, S.H.; Kalubarme, M.H. Monitoring water spread and aquatic vegetation using Spectral Indices in Nalsarovar, Gujarat State-India. Int. J. Environ. Geoinform. 2021, 8, 49–56. [Google Scholar] [CrossRef]
- Gerardo, R.; de Lima, I.P. Monitoring Duckweeds (Lemna minor) in Small Rivers Using Sentinel 2 Satellite Imagery: Application of Vegetation and Water Indices to the Lis River (Portugal). Water 2022, 14, 2284. [Google Scholar] [CrossRef]
- Sun, Q.; Wu, Z.; Tan, J. The relationship between land surface temperature and land use/land cover in Guangzhou, China. Environ. Earth Sci. 2012, 65, 1687–1694. [Google Scholar] [CrossRef]
- Du, Y.; Zhang, Y.; Ling, F.; Wang, Q.; Li, W.; Li, X. Water bodies’ mapping from Sentinel 2 imagery with modified normalized difference water index at 10-m spatial resolution produced by sharpening the SWIR band. Remote Sens. 2016, 8, 354. [Google Scholar] [CrossRef] [Green Version]
- Kelly, J.T.; Gontz, A.M. Using GPS-surveyed intertidal zones to determine the validity of shorelines automatically mapped by Landsat water indices. Int. J. Appl. Earth Obs. Geoinf. 2018, 65, 92–104. [Google Scholar] [CrossRef]
- Bishop–Taylor, R.; Nanson, R.; Sagar, S.; Lymburner, L. Mapping Australia’s dynamic coastline at mean sea level using three decades of Landsat imagery. Remote Sens. Environ. 2021, 267, 112734. [Google Scholar] [CrossRef]
- Rad, A.M.; Kreitler, J.; Abatzoglou, J.T.; Fallon, K.; Roche, K.R.; Sadegh, M. Anthropogenic Stressors Compound Climate Impacts on Inland Lake Dynamics: The Case of Hamun Lakes. Sci. Total Environ. 2022, 829, 154419. [Google Scholar] [CrossRef]
- Feng, S.; Liu, S.; Zhou, G.; Gao, C.; Sheng, D.; Yan, W.; Wu, Y.; Gao, H.; Jia, J.; Wang, Z.; et al. Long-term dense Landsat observations reveal detailed waterbody dynamics and temporal changes of the size-abundance relationship. J. Hydrol. Reg. 2022, 41, 101111. [Google Scholar] [CrossRef]
- Guo, Q.D.; Pu, R.L.; Li, J.L.; Cheng, J. A weighted normalized difference water index for water extraction using Landsat imagery. Int. J. Remote Sens. 2017, 38, 5430–5445. [Google Scholar] [CrossRef]
- Mandanici, E.; Bitelli, G. Preliminary Comparison of Sentinel-2 and Landsat 8 Imagery for a Combined Use. Remote Sens. 2016, 8, 1014. [Google Scholar] [CrossRef] [Green Version]
- Parihar, S.K.; Borana, S.L.; Yadav, S.K. Comparative Evaluation of Spectral Indices and Sensors for Mapping of Urban Surface Water Bodies in Jodhpur Area: Smart & Sustainable Growth. In Proceedings of the 2019 International Conference on Computing Communication and Intelligent Systems (ICCCIS), Greater Noida, India, 18–19 October 2019; pp. 484–489. [Google Scholar] [CrossRef]
- Zhou, Y.; Dong, J.; Xiao, X.; Xiao, T.; Yang, Z.; Zhao, G.; Xiao, X.; Qin, Y. Open Surface Water Mapping Algorithms: A Comparison of Water-Related Spectral Indices and Sensors. Water 2017, 9, 256. [Google Scholar] [CrossRef]
- Xu, H.Q. A study on information extraction of water body with the modified normalized difference water index (MNDWI). J. Remote Sens. 2005, 9, 589–595. (In Chinese) [Google Scholar]
- Casal, G. Assessment of Sentinel-2 to monitor highly dynamic small water bodies: The case of Louro lagoon (Galicia, NW Spain). Oceanologia 2022, 64, 88–102. [Google Scholar] [CrossRef]
- Otsu, N. A Threshold Selection Method from Gray-Level Histograms. IEEE Trans. Syst. Man Cybern. 1979, 9, 62–66. [Google Scholar] [CrossRef] [Green Version]
- Richards, J.A.; Jia, X. Remote Sensing Digital Image Analysis: An Introduction; Springer: New York, NY, USA, 1999; ISBN 978-3-662-03978-6. [Google Scholar]
- Zhang, F.; Li, J.; Zhang, B.; Shen, Q.; Ye, H.; Wang, S.; Lu, Z. A simple automated dynamic threshold extraction method for the classification of large water bodies from Landsat-8 OLI water index images. Int. J. Remote Sens. 2018, 39, 3429–3451. [Google Scholar] [CrossRef]
- Sezgin, M.; Sankur, B. Survey over image thresholding techniques and quantitative performance evaluation. J. Electron. Imaging 2004, 13, 146–168. [Google Scholar] [CrossRef]
- Kryniecka, K.; Magnuszewski, A. Application of Satellite Sentinel-2 Images to Study Alternate Sandbars Movement at Lower Vistula River (Poland). Remote Sens. 2021, 13, 1505. [Google Scholar] [CrossRef]
- Kamel, M.; Zhao, A. Extraction of Binary Character/Graphics Images from Grayscale Document Images. Comput. Gr. Image Process. 1993, 55, 203–217. [Google Scholar] [CrossRef]
- Li, W.; Gong, P. Continuous monitoring of coastline dynamics in western Florida with a 30-year time series of Landsat imagery. Remote Sens. Environ. 2016, 179, 196–209. [Google Scholar] [CrossRef]
- Wardlow, B.D.; Egbert, S.L.; Kastens, J.H. Analysis of time-series MODIS 250 m vegetation index data for crop classification in the US Central Great Plains. Remote Sens. Environ. 2007, 108, 290–310. [Google Scholar] [CrossRef] [Green Version]
- Marpu, P.R.; Niemeyer, I.; Nussbaum, S.; Gloaguen, R. A procedure for automatic object-based classification. In Object-Based Image Analysis: Spatial Concepts for Knowledge-Driven Remote Sensing Applications; Blaschke, T., Lang, S., Hay, G.J., Eds.; Springer: Berlin/Heidelberg, Germany, 2008; pp. 168–184. ISBN 978-3-540-77057-2. [Google Scholar]
- Ai, J.; Chen, W.; Chen, L. Spectral discrimination of an invasive species (Spartina alterniflora) in Min River wetland using field spectrometry. In Proceedings of the International Symposium on Photoelectronic Detection and Imaging 2013: Laser Communication Technologies and Systems, Beijing, China, 25–27 June 2013; Volume 8910, p. 89100. [Google Scholar] [CrossRef]
- Walker, D.; Smigaj, M.; Jovanovic, N. Ephemeral sand river flow detection using satellite optical remote sensing. J. Arid Environ. 2019, 168, 17–25. [Google Scholar] [CrossRef]
- Marchetti, G.; Bizzi, S.; Belletti, B.; Lastoria, B.; Comiti, F.; Carbonneau, P.E. Mapping riverbed sediment size from Sentinel-2 satellite data. Earth Surf. Process Landf. 2022, 47, 2544–2559. [Google Scholar] [CrossRef]













| Satellite | Acquisition Date/Time | MSI Tile or Path-Roth | Entity ID | Band ID | Band | Band Central Wavelength (nm) | Band Width (nm) | Spatial Resolution (m) |
|---|---|---|---|---|---|---|---|---|
| S2 | 8 July 2022 11:21:31 (UTC) | T29SND | S2ASIL2A20220708T112131N0400R037 | B2 | Blue | 490 | 65 | 10 |
| B3 | Green | 560 | 35 | 10 | ||||
| B4 | Red | 665 | 30 | 10 | ||||
| B8A | NIR | 865 | 20 | 20 | ||||
| B11 | SWIR1 | 1610 | 90 | 20 | ||||
| B12 | SWIR2 | 2190 | 180 | 20 | ||||
| L9 | 7 July 2022 11:14:37 (UTC) | 204-33 | LC09L2SP204033202207072022070902T1 | B2 | Blue | 482 | 20 | 30 |
| B3 | Green | 562 | 75 | 30 | ||||
| B4 | Red | 655 | 50 | 30 | ||||
| B5 | NIR | 865 | 40 | 30 | ||||
| B6 | SWIR1 | 1610 | 100 | 30 | ||||
| B7 | SWIR2 | 2200 | 200 | 30 |
| Index | Abbreviation | Formula | References |
|---|---|---|---|
| Normalized Difference Water Index | NDWI | [55] | |
| Modified Normalized Difference Water Index | MNDWI | [56] | |
| Augmented Normalized Difference Water Index | ANDWI | [57] | |
| Automated Water Extraction Index | AWEIsh | [58] | |
| AWEInsh |
| Satellite | Water Indices | Pixel Value Mean | Class Separation Value from Manual Decision | Water Class Area (%) | Non-Water Class Area (%) | J–M Distance |
|---|---|---|---|---|---|---|
| S2 | NDWI | −0.088 | −0.022 | 32.4 | 67.6 | 1.85 |
| MNDWI | −0.142 | −0.075 | 35.6 | 64.4 | 1.89 | |
| ANDWI | −0.119 | −0.053 | 33.8 | 66.2 | 1.99 | |
| AWEIsh | −0.289 | −0.225 | 43.9 | 56.1 | 1.95 | |
| AWEInsh | −1.455 | −1.350 | 45.4 | 54.6 | 1.98 | |
| L9 | NDWI | −0.100 | −0.055 | 33.4 | 66.6 | 1.84 |
| MNDWI | −0.115 | −0.066 | 39.1 | 60.9 | 1.97 | |
| ANDWI | −0.110 | −0.039 | 33.6 | 66.4 | 1.94 | |
| AWEIsh | −0.338 | −0.285 | 43.0 | 57.0 | 1.97 | |
| AWEInsh | −1.045 | −0.943 | 43.0 | 57.0 | 1.97 |
| Satellite | Water Indices | Pixel Value Mean | Class Separation Value from min. Class Variance | Water Class Area (%) | Non-Water Class Area (%) | J–M Distance |
|---|---|---|---|---|---|---|
| S2 | NDWI | −0.088 | −0.071 | 36.4 | 63.6 | 1.76 |
| MNDWI | −0.142 | −0.103 | 38.0 | 62.0 | 1.87 | |
| ANDWI | −0.119 | −0.085 | 36.5 | 63.5 | 1.88 | |
| AWEIsh | −0.289 | −0.225 | 43.4 | 56.6 | 1.97 | |
| AWEInsh | −1.455 | −1.424 | 46.1 | 53.9 | 1.98 | |
| L9 | NDWI | −0.100 | −0.094 | 36.3 | 63.7 | 1.74 |
| MNDWI | −0.115 | −0.082 | 41.0 | 59.0 | 1.97 | |
| ANDWI | −0.110 | −0.078 | 39.1 | 60.9 | 1.96 | |
| AWEIsh | −0.338 | −0.271 | 43.1 | 56.9 | 1.98 | |
| AWEInsh | −1.045 | −1.074 | 45.4 | 54.6 | 1.96 |
Disclaimer/Publisher’s Note: The statements, opinions and data contained in all publications are solely those of the individual author(s) and contributor(s) and not of MDPI and/or the editor(s). MDPI and/or the editor(s) disclaim responsibility for any injury to people or property resulting from any ideas, methods, instructions or products referred to in the content. |
© 2023 by the authors. Licensee MDPI, Basel, Switzerland. This article is an open access article distributed under the terms and conditions of the Creative Commons Attribution (CC BY) license (https://creativecommons.org/licenses/by/4.0/).
Share and Cite
Gerardo, R.; de Lima, I.P. Comparing the Capability of Sentinel-2 and Landsat 9 Imagery for Mapping Water and Sandbars in the River Bed of the Lower Tagus River (Portugal). Remote Sens. 2023, 15, 1927. https://doi.org/10.3390/rs15071927
Gerardo R, de Lima IP. Comparing the Capability of Sentinel-2 and Landsat 9 Imagery for Mapping Water and Sandbars in the River Bed of the Lower Tagus River (Portugal). Remote Sensing. 2023; 15(7):1927. https://doi.org/10.3390/rs15071927
Chicago/Turabian StyleGerardo, Romeu, and Isabel P. de Lima. 2023. "Comparing the Capability of Sentinel-2 and Landsat 9 Imagery for Mapping Water and Sandbars in the River Bed of the Lower Tagus River (Portugal)" Remote Sensing 15, no. 7: 1927. https://doi.org/10.3390/rs15071927
APA StyleGerardo, R., & de Lima, I. P. (2023). Comparing the Capability of Sentinel-2 and Landsat 9 Imagery for Mapping Water and Sandbars in the River Bed of the Lower Tagus River (Portugal). Remote Sensing, 15(7), 1927. https://doi.org/10.3390/rs15071927

