Evaluation of Four Satellite Precipitation Products over Mainland China Using Spatial Correlation Analysis
Abstract
1. Introduction
2. Materials and Methods
2.1. Study Area
2.2. Datasets
2.2.1. Four SPPs
2.2.2. Rain Gauge Data
2.3. Methods
2.3.1. Conventional Indices
2.3.2. Spatial Correlation Analysis
BMI
Selected Precipitation Indices
3. Results
3.1. Conventional Indices
3.2. Spatial Correlation Analysis
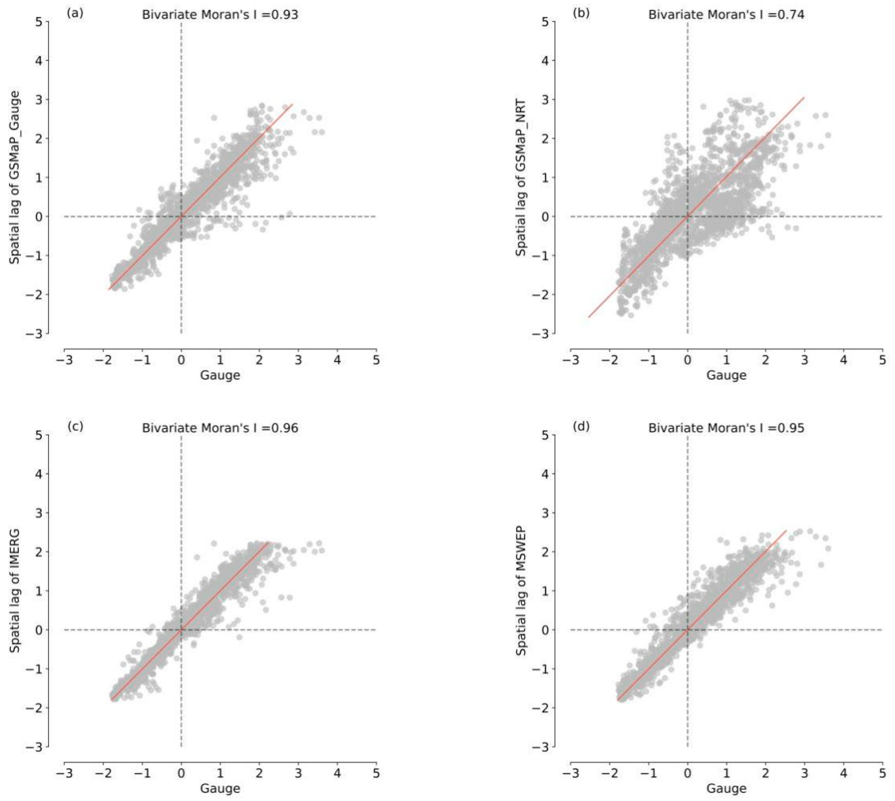
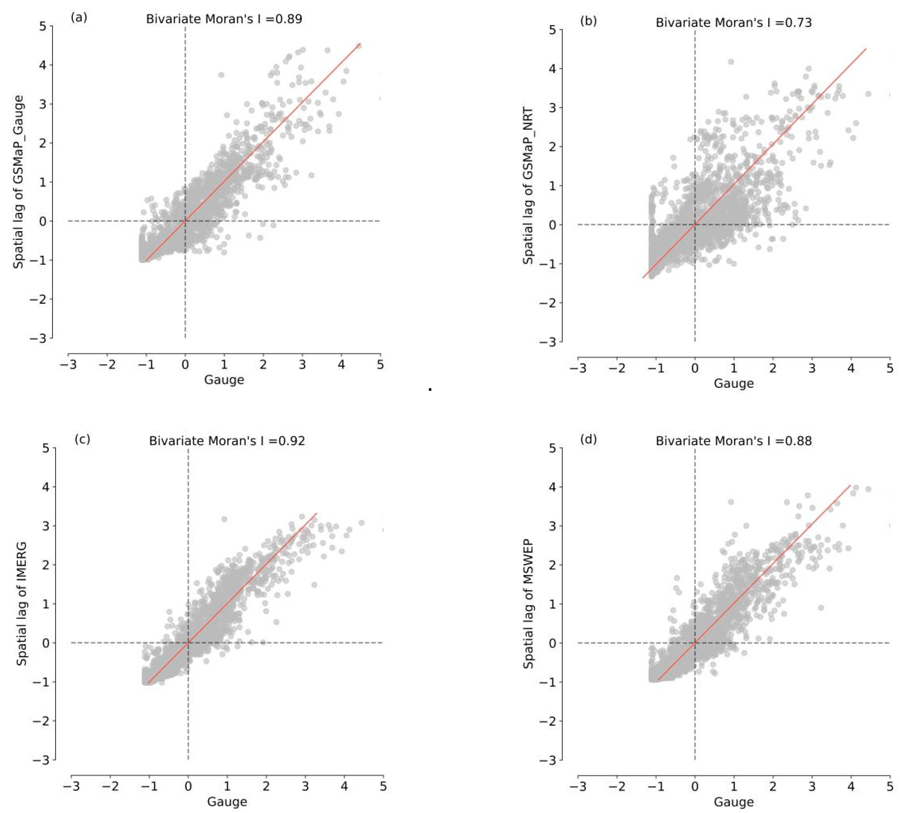
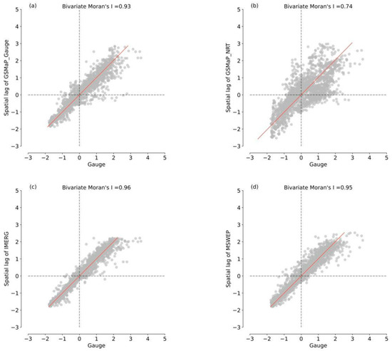
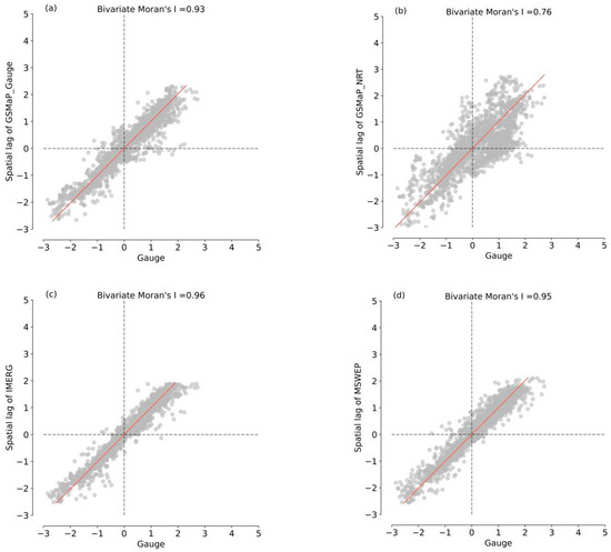
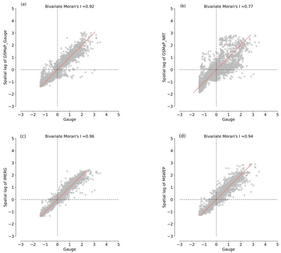
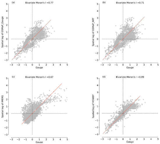
3.2.1. Total Indices
BMI in China
BMI in Four Sub-Regions
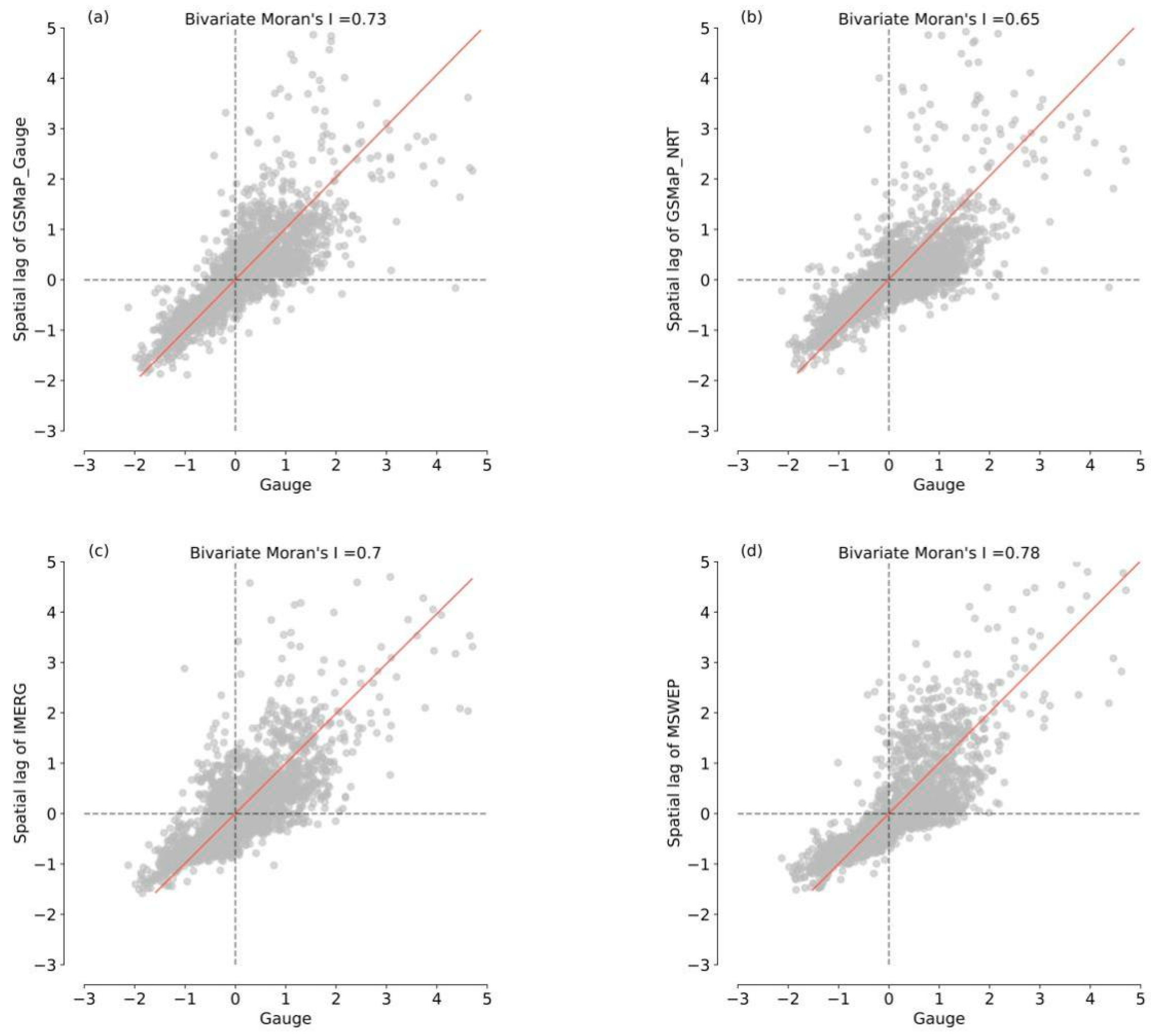
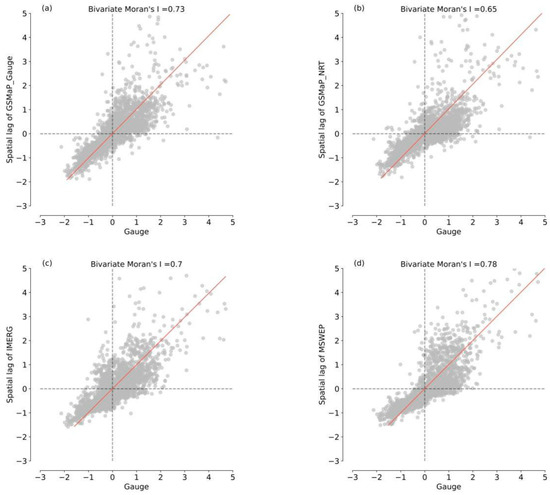
3.2.2. Persistent Indices
BMI in China
BMI in Four Sub-Regions
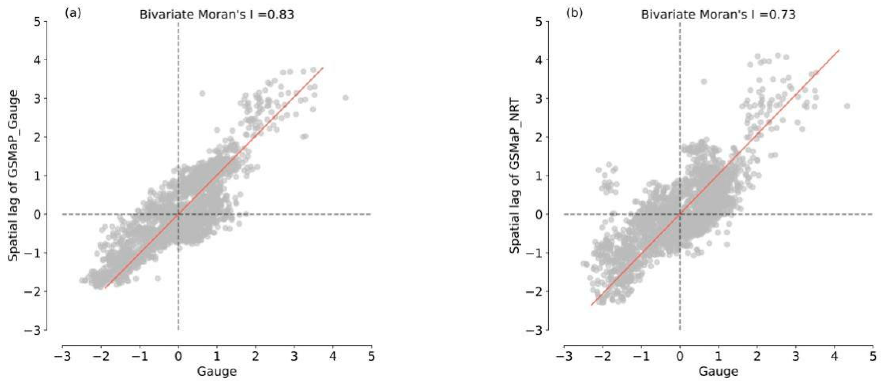
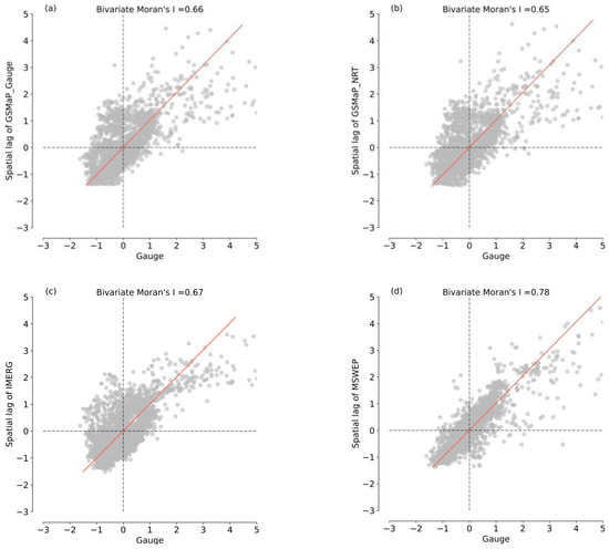
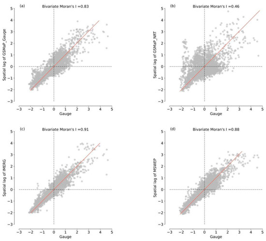
3.2.3. Extreme Indices
BMI in China
BMI in Four Sub-Regions
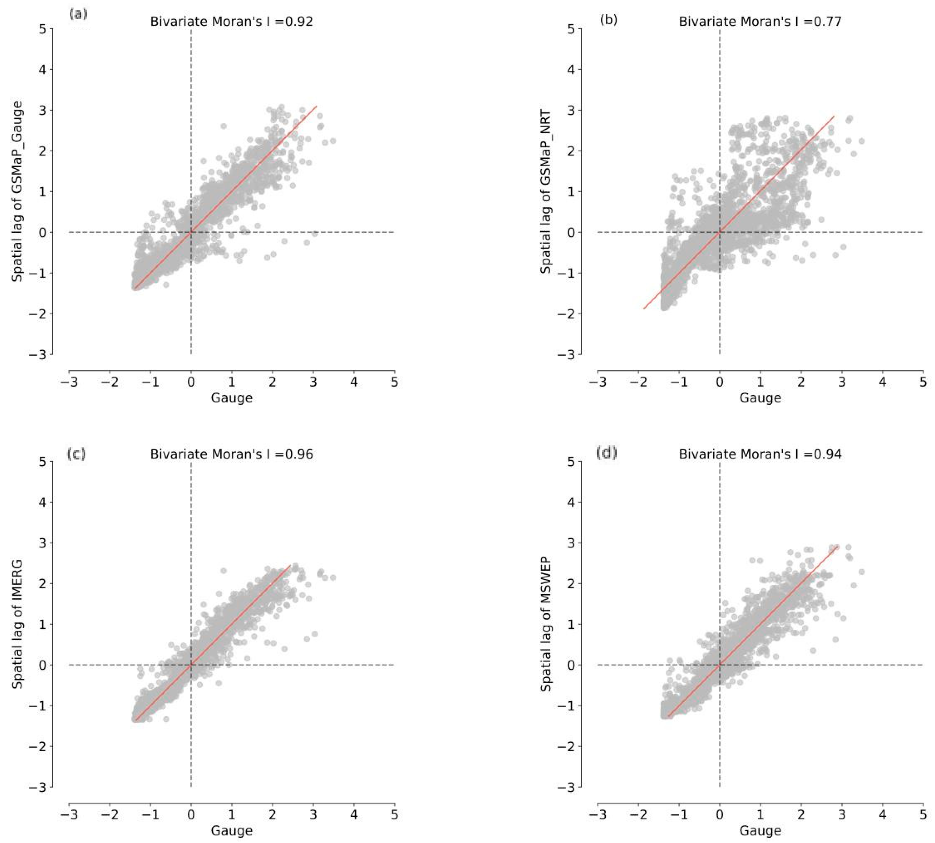
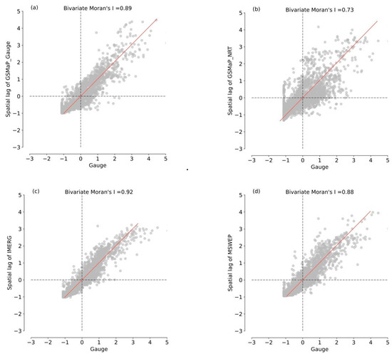
3.2.4. Frequency Indices
BMI in China
BMI in Four Sub-Regions
4. Discussion
5. Limitations
6. Conclusions
- (1)
- Conventional index evaluations showed that MSWEP performed the best among the four products, with the highest correlation coefficient (0.78) and the lowest absolute deviation (1.6), relative bias (−5%), and root mean square error (5). IMERG was ranked second, while GSMaP_NRT performed the worst. In terms of different sub-regions, the performance of MSWEP and IMERG also performed better, especially in the TP and NWC. Notably, IMERG showed positive deviations in all four regions, while MSWEP showed negative deviations in NC, SC, and NWC, and a positive deviation in the TP.
- (2)
- The spatial correlation of the four SPP products with gauge observations was evaluated using BMI for total, persistent, extreme, and frequency indices. MSWEP showed the best spatial correlation relationship with the gauge observations in terms of total and persistent indices, with BMI values of 0.95, 0.89, 0.78, and 0.78, respectively. IMERG and MSWEP also showed the best spatial correlation among the extreme indices, with R95 and Rmax having BMI values of 0.84 and 0.91 for IMERG, and 0.87 and 0.88 for MSWEP, respectively. IMERG show the best performance in frequency indices, with BMI values of 0.96 and 0.92. Conversely, GSMaP_NRT had the worst spatial correlation in extreme and frequency indices.
- (3)
- The BMI between the four SPP products and gauge observations in different regions was also calculated. The spatial correlation characteristics of SPP products differed in different regions. Generally, MSWEP showed the highest spatial correlation with gauge observations in terms of total and persistent indices in the four regions, while IMERG had the highest BMI for extreme and frequency indices. Among the four regions, the four SPPs performed high spatial correlation in NC and SC and low in TP and NWC.
Author Contributions
Funding
Data Availability Statement
Acknowledgments
Conflicts of Interest
References
- Sun, L.; Shen, B.; Sui, B.; Huang, B. The influences of East Asian Monsoon on summer precipitation in Northeast China. Clim. Dyn. 2017, 48, 1647–1659. [Google Scholar] [CrossRef]
- Zhang, X.; Yan, X. Temporal change of climate zones in China in the context of climate warming. Theor. Appl. Climatol. 2014, 115, 167–175. [Google Scholar] [CrossRef]
- Zhang, Q.; Xu, C.Y.; Zhang, Z.; Chen, Y.D.; Liu, C.L. Spatial and temporal variability of precipitation over China, 1951–2005. Theor. Appl. Climatol. 2009, 95, 53–68. [Google Scholar] [CrossRef]
- Tapiador, F.J.; Turk, F.J.; Petersen, W.; Hou, A.Y.; García-Ortega, E.; Machado, L.A.T.; Angelis, C.F.; Salio, P.; Kidd, C.; Huffman, G.J.; et al. Global precipitation measurement: Methods, datasets and applications. Atmos. Res. 2012, 104–105, 70–97. [Google Scholar] [CrossRef]
- Villarini, G.; Mandapaka, P.V.; Krajewski, W.F.; Moore, R.J. Rainfall and sampling uncertainties: A rain gauge perspective. J. Geophys. Res. Atmos. 2008, 113, D11102. [Google Scholar] [CrossRef]
- Oñate-Valdivieso, F.; Fries, A.; Mendoza, K.; Gonzalez-Jaramillo, V.; Pucha-Cofrep, F.; Rollenbeck, R.; Bendix, J. Temporal and spatial analysis of precipitation patterns in an Andean region of southern Ecuador using LAWR weather radar. Meteorol. Atmos. Phys. 2018, 130, 473–484. [Google Scholar] [CrossRef]
- Crochet, P. Enhancing radar estimates of precipitation over complex terrain using information derived from an orographic precipitation model. J. Hydrol. 2009, 377, 417–433. [Google Scholar] [CrossRef]
- Li, R.; Wang, K.; Qi, D. Validating the Integrated Multisatellite Retrievals for Global Precipitation Measurement in Terms of Diurnal Variability with Hourly Gauge Observations Collected at 50,000 Stations in China. J. Geophys. Res. Atmos. 2018, 123, 10423–10442. [Google Scholar] [CrossRef]
- Theon, J.S. The tropical rainfall measuring mission (TRMM). Adv. Space Res. 1994, 14, 159–165. [Google Scholar] [CrossRef]
- Steven, P.N.; Ramesh, K.K.; Ardeshir, A.A.; Arthur, Y.H. Global Precipitation Measurement (GPM) development. In Sensors, Systems, and Next-Generation Satellites X, Proceedings of the SPIE, Stockholm, Sweden, 11–14 September 2006; SPIE: Washington, DC, USA, 2006; Volume 6361. [Google Scholar]
- Draper, D.W.; Newell, D.A.; Wentz, F.J.; Krimchansky, S.; Skofronick-Jackson, G.M. The Global Precipitation Measurement (GPM) Microwave Imager (GMI): Instrument Overview and Early On-Orbit Performance. IEEE J. Sel. Top. Appl. Earth Obs. Remote Sens. 2015, 8, 3452–3462. [Google Scholar] [CrossRef]
- Huffman, G.J.; Adler, R.F.; Bolvin, D.T.; Nelkin, E.J. The TRMM Multi-Satellite Precipitation Analysis (TMPA). In Satellite Rainfall Applications for Surface Hydrology; Gebremichael, M., Hossain, F., Eds.; Springer: Dordrecht, The Netherlands, 2010; pp. 3–22. [Google Scholar]
- Tan, J.; Huffman, G.J.; Bolvin, D.T.; Nelkin, E.J. IMERG V06: Changes to the Morphing Algorithm. J. Atmos. Ocean. Technol. 2019, 36, 2471–2482. [Google Scholar] [CrossRef]
- Okamoto, K.I.; Ushio, T.; Iguchi, T.; Takahashi, N.; Iwanami, K. The global satellite mapping of precipitation (GSMaP) project. In Proceedings of the 2005 IEEE International Geoscience and Remote Sensing Symposium 2005. IGARSS ‘05, Seoul, Republic of Korea, 29 July 2005; Volume 5, pp. 3414–3416. [Google Scholar]
- Ashouri, H.; Hsu, K.; Sorooshian, S.; Braithwaite, D.K.; Knapp, K.R.; Cecil, L.D.; Nelson, B.R.; Prat, O.P. PERSIANN-CDR: Daily Precipitation Climate Data Record from Multisatellite Observations for Hydrological and Climate Studies. Bull. Am. Meteorol. Soc. 2015, 96, 69–83. [Google Scholar] [CrossRef]
- Joyce, R.J.; Xie, P.; Yarosh, Y.; Janowiak, J.E.; Arkin, P.A. CMORPH: A “Morphing” Approach for High Resolution Precipitation Product Generation. In Satellite Rainfall Applications for Surface Hydrology; Gebremichael, M., Hossain, F., Eds.; Springer: Dordrecht, The Netherlands, 2010; pp. 23–37. [Google Scholar]
- Beck, H.E.; van Dijk, A.I.J.M.; Levizzani, V.; Schellekens, J.; Miralles, D.G.; Martens, B.; de Roo, A. MSWEP: 3-hourly 0.25° global gridded precipitation (1979–2015) by merging gauge, satellite, and reanalysis data. Hydrol. Earth Syst. Sci. 2017, 21, 589–615. [Google Scholar] [CrossRef]
- Wang, C.; Tang, G.; Han, Z.; Guo, X.; Hong, Y. Global intercomparison and regional evaluation of GPM IMERG Version-03, Version-04 and its latest Version-05 precipitation products: Similarity, difference and improvements. J. Hydrol. 2018, 564, 342–356. [Google Scholar] [CrossRef]
- Xiong, W.T.; Tang, G.Q.; Wang, T.; Ma, Z.Q.; Wan, W. Evaluation of IMERG and ERA5 Precipitation-Phase Partitioning on the Global Scale. Water 2022, 14, 1122. [Google Scholar] [CrossRef]
- Gehne, M.; Hamill, T.M.; Kiladis, G.N.; Trenberth, K.E. Comparison of Global Precipitation Estimates across a Range of Temporal and Spatial Scales. J. Clim. 2016, 29, 7773–7795. [Google Scholar] [CrossRef]
- Amjad, M.; Yilmaz, M.T.; Yucel, I.; Yilmaz, K.K. Performance evaluation of satellite- and model-based precipitation products over varying climate and complex topography. J. Hydrol. 2020, 584, 124707. [Google Scholar] [CrossRef]
- Bai, L.; Shi, C.X.; Li, L.H.; Yang, Y.F.; Wu, J. Accuracy of CHIRPS Satellite-Rainfall Products over Mainland China. Remote Sens. 2018, 10, 362. [Google Scholar] [CrossRef]
- Lo Conti, F.; Hsu, K.L.; Noto, L.V.; Sorooshian, S. Evaluation and comparison of satellite precipitation estimates with reference to a local area in the Mediterranean Sea. Atmos. Res. 2014, 138, 189–204. [Google Scholar] [CrossRef]
- Lu, D.K.; Yong, B. Evaluation and Hydrological Utility of the Latest GPM IMERG V5 and GSMaP V7 Precipitation Products over the Tibetan Plateau. Remote Sens. 2018, 10, 2022. [Google Scholar] [CrossRef]
- Guo, H.; Chen, S.; Bao, A.; Hu, J.; Gebregiorgis, A.S.; Xue, X.; Zhang, X. Inter-Comparison of High-Resolution Satellite Precipitation Products over Central Asia. Remote Sens. 2015, 7, 7181. [Google Scholar] [CrossRef]
- Chua, Z.W.; Kuleshov, Y.; Watkins, A. Evaluation of Satellite Precipitation Estimates over Australia. Remote Sens. 2020, 12, 678. [Google Scholar] [CrossRef]
- Ren, M.; Xu, Z.; Pang, B.; Liu, W.; Liu, J.; Du, L.; Wang, R. Assessment of Satellite-Derived Precipitation Products for the Beijing Region. Remote Sens. 2018, 10, 1914. [Google Scholar] [CrossRef]
- Wei, L.; Jiang, S.; Ren, L.; Wang, M.; Zhang, L.; Liu, Y.; Yuan, F.; Yang, X. Evaluation of seventeen satellite-, reanalysis-, and gauge-based precipitation products for drought monitoring across mainland China. Atmos. Res. 2021, 263, 105813. [Google Scholar] [CrossRef]
- Zhang, L.; Chen, X.; Lai, R.; Zhu, Z. Performance of satellite-based and reanalysis precipitation products under multi-temporal scales and extreme weather in mainland China. J. Hydrol. 2022, 605, 127389. [Google Scholar] [CrossRef]
- Wang, D.; Wang, X.; Liu, L.; Wang, D.; Huang, H.; Pan, C. Evaluation of CMPA precipitation estimate in the evolution of typhoon-related storm rainfall in Guangdong, China. J. Hydroinformatics 2016, 18, 1055–1068. [Google Scholar] [CrossRef]
- Chen, H.; Yong, B.; Shen, Y.; Liu, J.; Hong, Y.; Zhang, J. Comparison analysis of six purely satellite-derived global precipitation estimates. J. Hydrol. 2020, 581, 124376. [Google Scholar] [CrossRef]
- Moazami, S.; Najafi, M.R. A comprehensive evaluation of GPM-IMERG V06 and MRMS with hourly ground-based precipitation observations across Canada. J. Hydrol. 2021, 594, 125929. [Google Scholar] [CrossRef]
- Nan, L.J.; Yang, M.X.; Wang, H.; Xiang, Z.L.; Hao, S.K. Comprehensive Evaluation of Global Precipitation Measurement Mission (GPM) IMERG Precipitation Products over Mainland China. Water 2021, 13, 3381. [Google Scholar] [CrossRef]
- Tang, G.Q.; Ma, Y.Z.; Long, D.; Zhong, L.Z.; Hong, Y. Evaluation of GPM Day-1 IMERG and TMPA Version-7 legacy products over Mainland China at multiple spatiotemporal scales. J. Hydrol. 2016, 533, 152–167. [Google Scholar] [CrossRef]
- Chen, C.; Li, Z.; Song, Y.; Duan, Z.; Mo, K.; Wang, Z.; Chen, Q. Performance of Multiple Satellite Precipitation Estimates over a Typical Arid Mountainous Area of China: Spatiotemporal Patterns and Extremes. J. Hydrometeorol. 2020, 21, 533–550. [Google Scholar] [CrossRef]
- Chen, S.; Zhang, L.; Guo, M.; Liu, X. Suitability analysis of TRMM satellite precipitation data in regional drought monitoring. Trans. Chin. Soc. Agric. Eng. 2018, 34, 126–132. [Google Scholar]
- Jiang, Q.; Li, W.; Wen, J.; Fan, Z.; Chen, Y.; Scaioni, M.; Wang, J. Evaluation of satellite-based products for extreme rainfall estimations in the eastern coastal areas of China. J. Integr. Environ. Sci. 2019, 16, 191–207. [Google Scholar] [CrossRef]
- Palharini, R.S.; Vila, D.A.; Rodrigues, D.T.; Quispe, D.P.; Palharini, R.C.; Siqueira, R.; Afonso, J. Assessment of the Extreme Precipitation by Satellite Estimates over South America. Remote Sens. 2020, 12, 2085. [Google Scholar] [CrossRef]
- Tan, M.L.; Chua, V.P.; Tan, K.C.; Brindha, K. Evaluation of TMPA 3B43 and NCEP-CFSR precipitation products in drought monitoring over Singapore. Int. J. Remote Sens. 2018, 39, 2089–2104. [Google Scholar] [CrossRef]
- Zhang, A.Z.; Jia, G.S.; Wang, H.S. Improving meteorological drought monitoring capability over tropical and subtropical water-limited ecosystems: Evaluation and ensemble of the Microwave Integrated Drought Index. Environ. Res. Lett. 2019, 14, 044025. [Google Scholar] [CrossRef]
- Zhong, R.; Chen, X.; Lai, C.; Wang, Z.; Lian, Y.; Yu, H.; Wu, X. Drought monitoring utility of satellite-based precipitation products across mainland China. J. Hydrol. 2019, 568, 343–359. [Google Scholar] [CrossRef]
- Islam, M.A.; Yu, B.; Cartwright, N. Assessment and comparison of five satellite precipitation products in Australia. J. Hydrol. 2020, 590, 125474. [Google Scholar] [CrossRef]
- Czaplewski, R.L.; Reich, R.M. Expected Value and Variance of Moran’s Bivariate Spatial Autocorrelation Statistic for a Permutation Test; U.S. Department of Agriculture, Forest Serivce, Rocky Mountain Forest and Range Experiment Station (USA): Idaho Panhandle, ID, USA, 1993; 309, p. 17.
- Cao, R.; Li, F.; Feng, P. Impact of Urbanization on Precipitation in North Haihe Basin, China. Atmosphere 2019, 11, 16. [Google Scholar] [CrossRef]
- Jia, X.; Hu, B.; Marchant, B.P.; Zhou, L.; Shi, Z.; Zhu, Y. A methodological framework for identifying potential sources of soil heavy metal pollution based on machine learning: A case study in the Yangtze Delta, China. Environ. Pollut. 2019, 250, 601–609. [Google Scholar] [CrossRef]
- Shirvani, Z.; Abdi, O.; Buchroithner, M.F.; Pradhan, B. Analysing Spatial and Statistical Dependencies of Deforestation Affected by Residential Growth: Gorganrood Basin, Northeast Iran. Land Degrad. Dev. 2017, 28, 2176–2190. [Google Scholar] [CrossRef]
- Xie, W.; Yi, S.; Leng, C.; Xia, D.; Li, M.; Zhong, Z.; Ye, J. The evaluation of IMERG and ERA5-Land daily precipitation over China with considering the influence of gauge data bias. Sci. Rep. 2022, 12, 8085. [Google Scholar] [CrossRef]
- Guo, X.; Wu, Z.; He, H.; Du, H.; Wang, L.; Zhong, Z.; Ye, J. Variations in the start, end, and length of extreme precipitation period across China. Int. J. Climatol. 2018, 38, 2423–2434. [Google Scholar] [CrossRef]
- Caloiero, T.; Caroletti, G.N.; Coscarelli, R. IMERG-Based Meteorological Drought Analysis over Italy. Climate 2021, 9, 65. [Google Scholar] [CrossRef]
- Li, D.; Qi, Y.; Chen, D. Changes in rain and snow over the Tibetan Plateau based on IMERG and Ground-based observation. J. Hydrol. 2022, 606, 127400. [Google Scholar] [CrossRef]
- Boisvert, L.; Grecu, M.; Shie, C. Investigating Wintertime GPM-IMERG Precipitation in the North Atlantic. Geophys. Res. Lett. 2021, 48, e2021GL095391. [Google Scholar] [CrossRef]
- Aonashi, K.; Awaka, J.; Hirose, M.; Kozu, T.; Kubota, T.; Liu, G.; Shige, S.; Kida, S.; Seto, S.; Takahashi, N.; et al. GSMaP Passive Microwave Precipitation Retrieval Algorithm: Algorithm Description and Validation. J. Meteorol. Soc. Jpn. Ser. II 2009, 87, 119–136. [Google Scholar] [CrossRef]
- Ushio, T.; Sasashige, K.; Kubota, T.; Shige, S.; Okamoto, K.; Aonashi, K.; Inoue, T.; Takahashi, N.; Iguchi, T.; Kachi, M.; et al. A Kalman Filter Approach to the Global Satellite Mapping of Precipitation (GSMaP) from Combined Passive Microwave and Infrared Radiometric Data. J. Meteorol. Soc. Jpn. Ser. II 2009, 87, 137–151. [Google Scholar] [CrossRef]
- Beck, H.E.; Wood, E.F.; Pan, M.; Fisher, C.K.; Miralles, D.G.; van Dijk, A.I.J.M.; McVicar, T.R.; Adler, R.F. MSWEP V2 Global 3-Hourly 0.1° Precipitation: Methodology and Quantitative Assessment. Bull. Am. Meteorol. Soc. 2019, 100, 473–500. [Google Scholar] [CrossRef]
- Beck, H.E.; Pan, M.; Roy, T.; Weedon, G.P.; Pappenberger, F.; van Dijk, A.I.J.M.; Huffman, G.J.; Adler, R.F.; Wood, E.F. Daily evaluation of 26 precipitation datasets using Stage-IV gauge-radar data for the CONUS. Hydrol. Earth Syst. Sci. 2019, 23, 207–224. [Google Scholar] [CrossRef]
- Chen, Z.; Qin, Y.; Shen, Y.; Zhang, S.; Bonafoni, S. Evaluation of Global Satellite Mapping of Precipitation Project Daily Precipitation Estimates over the Chinese Mainland. Adv. Meteorol. 2016, 2016, 9365294. [Google Scholar] [CrossRef]
- Chen, F.; Gao, Y. Evaluation of precipitation trends from high-resolution satellite precipitation products over Mainland China. Clim. Dyn. 2018, 51, 3311–3331. [Google Scholar] [CrossRef]
- Anselin, L. Local Indicators of Spatial Association—LISA. Geogr. Anal. 1995, 27, 93–115. [Google Scholar] [CrossRef]
- Zhang, Y.; Liu, Y.; Zhang, Y.; Liu, Y.; Zhang, G.; Chen, Y. On the spatial relationship between ecosystem services and urbanization: A case study in Wuhan, China. Sci. Total Environ. 2018, 637–638, 780–790. [Google Scholar] [CrossRef]
- Frich, P.; Alexander, L.V.; Della-Marta, P.; Gleason, B.; Haylock, M.; Klein-Tank, A.M.G.; Peterson, T. Observed coherent changes in climatic extremes during the second half of the twentieth century. Clim. Res. 2002, 19, 193–212. [Google Scholar] [CrossRef]
- Zhang, X.B.; Alexander, L.; Hegerl, G.C.; Jones, P.; Tank, A.K.; Peterson, T.C.; Trewin, B.; Zwiers, F.W. Indices for monitoring changes in extremes based on daily temperature and precipitation data. Wiley Interdiscip. Rev.-Clim. Change 2011, 2, 851–870. [Google Scholar] [CrossRef]
- Kossowski, M.T.; Hauke, J. On some properties of a bivariate spatial association measure. In Proceedings of the 2nd International Conference on Spatial Econometrics and Regional Economic Analysis, Lodz, Poland, 4 June 2012. [Google Scholar]



























| Sort | Index | Definition | Units | 
|---|---|---|---|
| Total indices | ATP | Annual total precipitation | mm | 
| ATD | Annual total precipitation days | days | |
| Persistent indices | CDD | Maximum number of consecutive dry days | days | 
| CWD | Maximum number of consecutive wet days | days | |
| Extreme indices | R95 | The 95th percentile of daily precipitation on wet days | mm | 
| Rmax | Annual max 1-day precipitation | mm | |
| Frequency indices | R25 | Annual count of days when daily precipitation is >25 mm | days | 
| R50 | Annual count of days when daily precipitation is >50 mm | days | 
| Index | SPP | NC | SC | NWC | TP | China | 
|---|---|---|---|---|---|---|
| Corr | GSMaP_Gauge | 0.62 | 0.65 | 0.44 | 0.55 | 0.61 | 
| GSMaP_NRT | 0.49 | 0.60 | 0.37 | 0.47 | 0.53 | |
| IMERG | 0.73 | 0.73 | 0.64 | 0.66 | 0.71 | |
| MSWEP | 0.80 | 0.78 | 0.70 | 0.74 | 0.78 | |
| AD | GSMaP_Gauge | 1.5 | 3.1 | 0.5 | 1.5 | 2.2 | 
| GSMaP_NRT | 1.9 | 3.1 | 2.1 | 1.8 | 2.4 | |
| IMERG | 1.4 | 3.0 | 0.2 | 1.3 | 2.0 | |
| MSWEP | 1.0 | 2.4 | 0.0 | 1.1 | 1.6 | |
| RB | GSMaP_Gauge | 4% | −8% | 53% | 23% | 5% | 
| GSMaP_NRT | 40% | −12% | 209% | 56% | 35% | |
| IMERG | 10% | 6% | 22% | 13% | 9% | |
| MSWEP | −8% | −6% | −3% | 18% | −5% | |
| RMSE | GSMaP_Gauge | 5.4 | 8.7 | 3.2 | 4.2 | 6.7 | 
| GSMaP_NRT | 8.0 | 9.6 | 6.4 | 5.5 | 8.4 | |
| IMERG | 4.7 | 7.9 | 2.2 | 3.5 | 5.9 | |
| MSWEP | 3.9 | 6.7 | 2.0 | 3.0 | 5.0 | 
| Index | Sub-Region | GSMaP_Gauge | GSMaP_NRT | IMERG | MSWEP | 
|---|---|---|---|---|---|
| ATP | NC | 0.79 | 0.65 | 0.88 | 0.85 | 
| SC | 0.80 | 0.45 | 0.87 | 0.83 | |
| NWC | 0.65 | 0.38 | 0.73 | 0.65 | |
| TP | 0.67 | 0.63 | 0.67 | 0.60 | |
| ATD | NC | 0.38 | 0.35 | 0.62 | 0.84 | 
| SC | 0.30 | 0.20 | 0.01 | 0.65 | |
| NWC | 0.53 | 0.51 | 0.63 | 0.60 | |
| TP | 0.60 | 0.60 | 0.60 | 0.60 | 
| Index | Sub-Region | GSMaP_Gauge | GSMaP_NRT | IMERG | MSWEP | 
|---|---|---|---|---|---|
| CDD | NC | 0.20 | 0.18 | 0.59 | 0.85 | 
| SC | 0.56 | 0.56 | 0.54 | 0.71 | |
| NWC | 0.44 | 0.41 | 0.60 | 0.63 | |
| TP | 0.58 | 0.58 | 0.56 | 0.67 | |
| CWD | NC | 0.60 | 0.60 | 0.32 | 0.56 | 
| SC | 0.51 | 0.54 | 0.49 | 0.62 | |
| NWC | 0.35 | 0.33 | 0.39 | 0.40 | |
| TP | 0.49 | 0.45 | 0.47 | 0.59 | 
| Index | Sub-Region | GSMaP_Gauge | GSMaP_NRT | IMERG | MSWEP | 
|---|---|---|---|---|---|
| R95 | NC | 0.67 | 0.59 | 0.83 | 0.83 | 
| SC | 0.80 | 0.70 | 0.73 | 0.74 | |
| NWC | 0.67 | 0.12 | 0.83 | 0.71 | |
| TP | 0.53 | 0.43 | 0.69 | 0.57 | |
| Rmax | NC | 0.69 | 0.15 | 0.83 | 0.81 | 
| SC | 0.71 | 0.47 | 0.80 | 0.74 | |
| NWC | 0.25 | −0.12 | 0.84 | 0.73 | |
| TP | 0.52 | 0.38 | 0.57 | 0.47 | 
| Index | Sub-Region | GSMaP_Gauge | GSMaP_NRT | IMERG | MSWEP | 
|---|---|---|---|---|---|
| R25 | NC | 0.78 | 0.71 | 0.88 | 0.83 | 
| SC | 0.81 | 0.53 | 0.88 | 0.82 | |
| NWC | 0.57 | 0.28 | 0.81 | 0.51 | |
| TP | 0.52 | 0.46 | 0.68 | 0.49 | |
| R50 | NC | 0.72 | 0.58 | 0.87 | 0.80 | 
| SC | 0.79 | 0.57 | 0.84 | 0.77 | |
| NWC | 0.06 | −0.12 | 0.68 | 0.29 | |
| TP | 0.38 | 0.30 | 0.49 | 0.26 | 
| Disclaimer/Publisher’s Note: The statements, opinions and data contained in all publications are solely those of the individual author(s) and contributor(s) and not of MDPI and/or the editor(s). MDPI and/or the editor(s) disclaim responsibility for any injury to people or property resulting from any ideas, methods, instructions or products referred to in the content. | 
© 2023 by the authors. Licensee MDPI, Basel, Switzerland. This article is an open access article distributed under the terms and conditions of the Creative Commons Attribution (CC BY) license (https://creativecommons.org/licenses/by/4.0/).
Share and Cite
Li, Y.; Pang, B.; Zheng, Z.; Chen, H.; Peng, D.; Zhu, Z.; Zuo, D. Evaluation of Four Satellite Precipitation Products over Mainland China Using Spatial Correlation Analysis. Remote Sens. 2023, 15, 1823. https://doi.org/10.3390/rs15071823
Li Y, Pang B, Zheng Z, Chen H, Peng D, Zhu Z, Zuo D. Evaluation of Four Satellite Precipitation Products over Mainland China Using Spatial Correlation Analysis. Remote Sensing. 2023; 15(7):1823. https://doi.org/10.3390/rs15071823
Chicago/Turabian StyleLi, Yu, Bo Pang, Ziqi Zheng, Haoming Chen, Dingzhi Peng, Zhongfan Zhu, and Depeng Zuo. 2023. "Evaluation of Four Satellite Precipitation Products over Mainland China Using Spatial Correlation Analysis" Remote Sensing 15, no. 7: 1823. https://doi.org/10.3390/rs15071823
APA StyleLi, Y., Pang, B., Zheng, Z., Chen, H., Peng, D., Zhu, Z., & Zuo, D. (2023). Evaluation of Four Satellite Precipitation Products over Mainland China Using Spatial Correlation Analysis. Remote Sensing, 15(7), 1823. https://doi.org/10.3390/rs15071823
 
        





 
                         
       