Design of Robust Sparse Wideband Beamformers with Circular-Model Mismatches Based on Reweighted ℓ2,1 Optimization
Abstract
:1. Introduction
2. Background
2.1. Problem Statement
2.2. Existing CM-Based Design Approach
3. Proposed Design Approaches
3.1. Reformulation Approach
3.2. Sparse Design via Reweighted Optimization
| Algorithm 1 The Iterative Reweighted Algorithm based on norm minimization |
4. Numerical Results
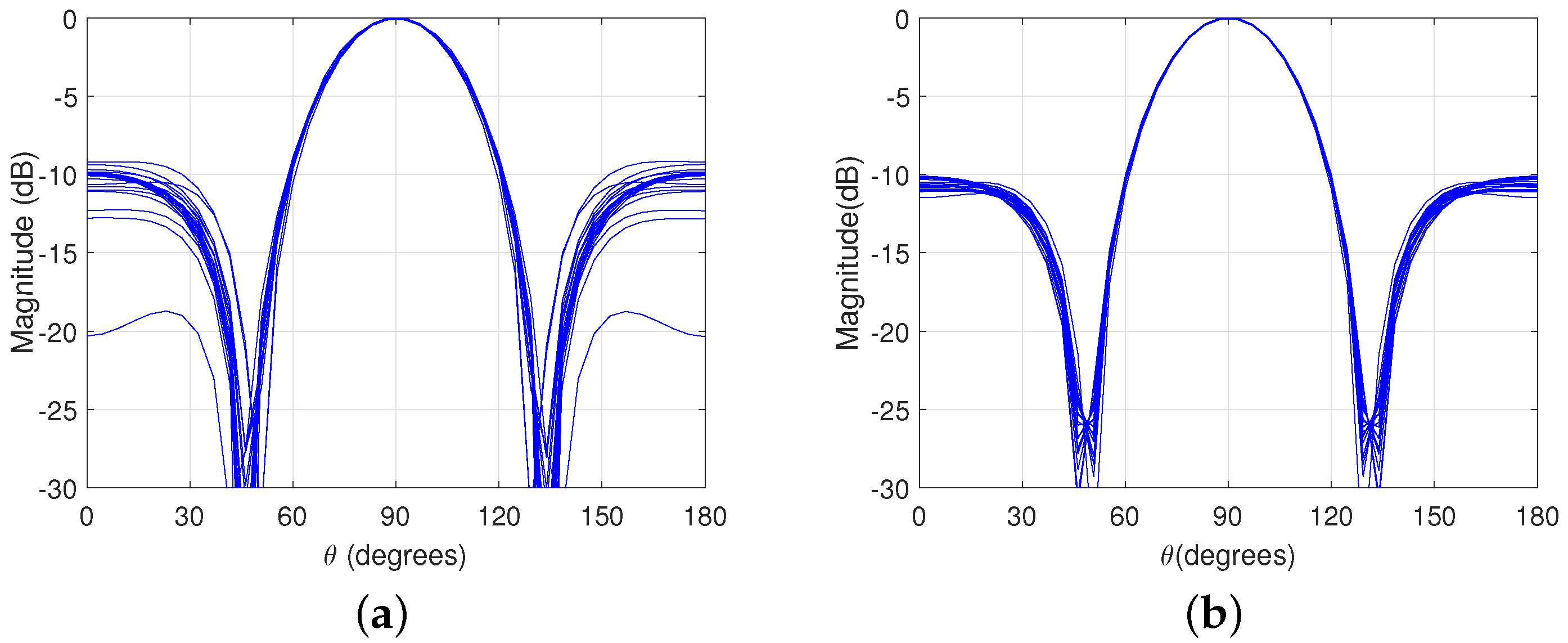
4.1. Example 1 and 2
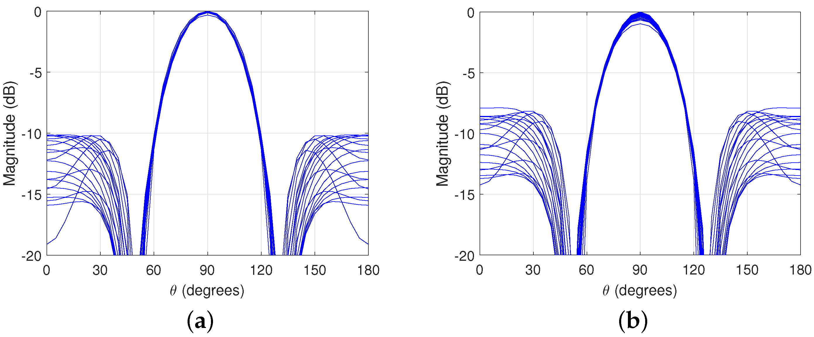
4.2. Example 3 and 4
5. Conclusions
Author Contributions
Funding
Data Availability Statement
Conflicts of Interest
References
- Benesty, J.; Chen, J.; Huang, Y. Microphone Array Signal Processing; Springer: Berlin/Heidelberg, Germany, 2008. [Google Scholar]
- Cai, L.; Chu, R.; Ding, Z.; Zou, Y.; Li, H. Robust Low-Sidelobe Transmit Beamforming under Peak-to-Average-Power Ratio Constraint. Sensors 2023, 23, 4468. [Google Scholar] [CrossRef] [PubMed]
- Wang, X.; Guo, Y.; Wen, F.; He, J.; Truong, K.T. EMVS-MIMO radar with sparse Rx geometry: Tensor modeling and 2D direction finding. IEEE Trans. Aerosp. Electron. Syst. 2023, in press. [Google Scholar] [CrossRef]
- Han, B.; Qu, X.; Yang, X.; Zhang, Z.; Li, W. DRFM Repeater Jamming Suppression Method Based on Joint Range-Angle Sparse Recovery and Beamforming for Distributed Array Radar. Remote Sens. 2023, 15, 3449. [Google Scholar] [CrossRef]
- Zhang, Y.; Wang, G.; Peng, S.; Leng, Y.; Yu, G.; Wang, B. Near-Field Beamforming Algorithms for UAVs. Sensors 2023, 23, 6172. [Google Scholar] [CrossRef]
- Yan, J.; Pu, W.; Zhou, S.; Liu, H.; Greco, M.S. Optimal Resource Allocation for Asynchronous Multiple Targets Tracking in Heterogeneous Radar Network. IEEE Trans. Signal Process. 2020, 68, 4055–4068. [Google Scholar] [CrossRef]
- Wen, F.; Gui, G.; Gacanin, H. Compressive sampling framework for 2D-DOA and polarization estimation in mmWave polarized massive MIMO systems. IEEE Trans. Wirel. Commun. 2023, 22, 3071–3083. [Google Scholar] [CrossRef]
- Zhang, Z.; Wen, F.; Shi, J. 2D-DOA estimation for coherent signals via a polarized uniform rectangular array. IEEE Signal Process. Lett. 2023, 30, 893–897. [Google Scholar] [CrossRef]
- Yan, J.; Jiao, H.; Pu, W. Radar Sensor Network Resource Allocation for Fused Target Tracking: A Brief Review. Inf. Fusion 2022, 86, 104–115. [Google Scholar] [CrossRef]
- Li, Z.; Peng, C.; Tan, W.; Li, L. An Efficient Plaintext-Related Chaotic Image Encryption Scheme Based on Compressive Sensing. Sensors 2021, 21, 758. [Google Scholar] [CrossRef]
- Wen, F.; Shi, J.; Gui, G. 3D Positioning method for anonymous UAV based on bistatic polarized MIMO radar. IEEE Internet Things J. 2023, 10, 815–827. [Google Scholar] [CrossRef]
- Yan, J.; Pu, W.; Zhou, S.; Liu, H.; Zheng, B. Collaborative detection and power allocation framework for target tracking in multiple radar system. Inf. Fusion 2020, 55, 173–183. [Google Scholar] [CrossRef]
- Doclo, S.; Moonen, M. Design of broadband beamformers robust against gain and phase errors in the microphone array characteristics. IEEE Trans. Signal Process. 2003, 51, 2511–2526. [Google Scholar] [CrossRef]
- Nordholm, S.E.; Rehbock, V.; Teo, V.; Nordebo, V. Chebyshev optimization for the design of broadband beamformers in the near field. IEEE Trans. Circuits Syst. II Analog Digit. Signal Process. 1998, 45, 141–143. [Google Scholar] [CrossRef]
- Doclo, S.; Moonen, M. Superdirective beamforming robust against microphone mismatch. IEEE Trans. Audio Speech Lang. Process. 2007, 15, 617–631. [Google Scholar] [CrossRef]
- Nongpiur, R.C.; Shpak, D.J. L-infinity norm design of linear-phase robust broadband beamformers using constrained optimization. IEEE Trans. Signal Process. 2013, 61, 6034–6046. [Google Scholar] [CrossRef]
- Berkun, R.; Cohen, I.; Benesty, J. Combined beamformers for robust broadband regularized superdirective beamforming. IEEE/ACM Trans. Audio Speech Lang. Process. 2015, 23, 877–886. [Google Scholar] [CrossRef]
- Chao, P.; Chen, J.; Benesty, J. Reduced-order robust superdirective beamforming with uniform linear microphone arrays. IEEE/ACM Trans. Audio Speech Lang. Process. 2016, 24, 1544–1555. [Google Scholar]
- Haupt, R.L. Thinned arrays using genetic algorithms. IEEE Trans. Antennas Propag. 1994, 42, 993–999. [Google Scholar] [CrossRef]
- Li, Z.; Yiu, K.F.C.; Feng, Z. A hybrid descentmethod with genetic algorithmfor microphone array placement design. Appl. Soft Comput. 2013, 13, 1486–1490. [Google Scholar] [CrossRef]
- Crocco, M.; Trucco, A. Stochastic and Analytic Optimization of Sparse Aperiodic Arrays and Broadband Beamformers With Robust Superdirective Patterns. IEEE Trans. Audio Speech Lang. Process. 2012, 20, 2433–2447. [Google Scholar] [CrossRef]
- Shen, H.; Wang, B. Two-dimensional unitary matrix pencil method for synthesizing sparse planar arrays. Digit. Signal Process. 2018, 73, 40–46. [Google Scholar] [CrossRef]
- Donoho, D.L.; Elad, M. Optimally sparse representation in general (nonorthogonal) dictionaries via ℓ1 minimization. Proc. Natl. Acad. Sci. USA 2003, 100, 2197–2202. [Google Scholar] [CrossRef]
- Davies, M.E.; Eldar, Y.C. Rank awareness in joint sparse recovery. IEEE Trans. Inf. Theory 2012, 58, 1135–1146. [Google Scholar] [CrossRef]
- Fornasier, M.; Rauhut, H. Recovery algorithms for vector-valued data with joint sparsity constraints. SIAM J. Numer. Anal. 2008, 46, 577–613. [Google Scholar] [CrossRef]
- Eldar, Y.; Rauhut, H. Average case analysis of multichannel sparse recovery using convex relaxation. IEEE Trans. Inf. Theory 2010, 56, 505–519. [Google Scholar] [CrossRef]
- Candes, E.J.; Wakin, M.B.; Boyd, S.P. Enhancing Sparsity by Reweighted ℓ1 Minimization. J. Fourier. Anal. Appl. 2008, 14, 877–905. [Google Scholar] [CrossRef]
- Fuchs, B. Synthesis of sparse arrays with focused or shaped beampattern via sequential convex optimizations. IEEE Trans. Antennas Propag. 2012, 60, 3499–3503. [Google Scholar] [CrossRef]
- Prisco, G.; D’Urso, M. Maximally sparse arrays via sequential convex optimizations. IEEE Antennas Wirel. Propag. Lett. 2012, 11, 192–195. [Google Scholar] [CrossRef]
- Hawes, M.B.; Liu, W. Sparse Array Design for Wideband Beamforming with Reduced Complexity in Tapped Delay-Lines. IEEE/ACM Trans. Audio Speech Lang. Process. 2014, 22, 1236–1247. [Google Scholar] [CrossRef]
- Cox, H.; Zeskind, R.; Kooij, T. Practical supergain. IEEE Trans. Acoust. Speech, Signal Process. 1986, ASSP-34, 393–398. [Google Scholar] [CrossRef]
- Chen, H.; Ser, W.; Yu, Z.L. Optimal design of nearfield wideband beamformers robust against errors in microphone array characteristics. IEEE Trans. Circuits Syst. I Reg. Pap. 2007, 54, 1950–1959. [Google Scholar] [CrossRef]
- Chen, H.; Ser, W.; Zhou, J. Robust nearfield wideband beamformer design using worst case mean performance optimization with passband response variance constraint. IEEE Trans. Audio Speech Lang. Process. 2012, 20, 1565–1572. [Google Scholar] [CrossRef]
- Bao, Y.; Chen, H. A Chance-Constrained Programming Approach to the Design of Robust Broadband Beamformers With Microphone Mismatches. IEEE/ACM Trans. Audio Speech Lang. Process. 2018, 26, 2475–2488. [Google Scholar] [CrossRef]
- Dam, H.H.; Nordholm, S. Design of Robust Broadband Beamformers with Discrete Coefficients and Least Squared Criterion. IEEE Trans. Circuits Syst. II Exp. Briefs 2013, 60, 897–901. [Google Scholar] [CrossRef]
- Nongpiur, R.C. Design of minimax broadband beamformers that are robust to microphone gain, phase, and position errors. IEEE/ACM Trans. Audio Speech Lang. Process. 2014, 22, 1013–1022. [Google Scholar] [CrossRef]
- Crocco, M.; Trucco, A. A computationally efficient procedure for the design of robust broadband beamformers. IEEE Trans. Signal Process. 2010, 58, 5420–5424. [Google Scholar] [CrossRef]
- Bao, Y.; Chen, H. Design of robust broadband beamformers using worst-case performance optimization: A semidefinite programming approach. IEEE/ACM Trans. Audio Speech Lang. Process. 2017, 25, 895–907. [Google Scholar] [CrossRef]
- Grant, M.; Boyd, S. CVX: Matlab Software for Disciplined Convex Programming, Version 2.2 Beta. 2020. Available online: http://cvxr.com/cvx (accessed on 1 January 2020).








| Approaches | dB | dB | ||
|---|---|---|---|---|
| (dB) | (dB) | (dB) | (dB) | |
| CM | ||||
| Proposed RCM | ||||
| Approaches | (dB) | (dB) | (dB) | (dB) | PIF (dB) |
|---|---|---|---|---|---|
| Proposed RCM | 1.0202 | 9.0632 | 1.5193 | 7.6838 | −34.9116 |
| design with and | 1.0436 | 9.1358 | 1.5194 | 8.0592 | −33.3758 |
| design with and | 1.7262 | 7.8791 | 2.3956 | 6.9615 | −30.0297 |
| design with and | 0.8171 | 8.1433 | 1.3793 | 7.4694 | −34.6292 |
| design with and | 0.8171 | 8.1433 | 1.3793 | 7.4694 | −34.6292 |
| Approaches | 5-Element Sparse Array | 7-Element ULA | ||||
|---|---|---|---|---|---|---|
| (dB) | (dB) | PIF (dB) | (dB) | (dB) | PIF (dB) | |
| SOCP | ||||||
| SDP | ||||||
| Proposed RCM | ||||||
| Approaches | CPU Time(s) | |
|---|---|---|
| 5-Element Sparse Array | 7-Element ULA | |
| SOCP | ||
| SDP | ||
| Proposed RCM | ||
Disclaimer/Publisher’s Note: The statements, opinions and data contained in all publications are solely those of the individual author(s) and contributor(s) and not of MDPI and/or the editor(s). MDPI and/or the editor(s) disclaim responsibility for any injury to people or property resulting from any ideas, methods, instructions or products referred to in the content. |
© 2023 by the authors. Licensee MDPI, Basel, Switzerland. This article is an open access article distributed under the terms and conditions of the Creative Commons Attribution (CC BY) license (https://creativecommons.org/licenses/by/4.0/).
Share and Cite
Bao, Y.; Zhang, H.; Liu, X.; Jiang, Y.; Tao, Y. Design of Robust Sparse Wideband Beamformers with Circular-Model Mismatches Based on Reweighted ℓ2,1 Optimization. Remote Sens. 2023, 15, 4791. https://doi.org/10.3390/rs15194791
Bao Y, Zhang H, Liu X, Jiang Y, Tao Y. Design of Robust Sparse Wideband Beamformers with Circular-Model Mismatches Based on Reweighted ℓ2,1 Optimization. Remote Sensing. 2023; 15(19):4791. https://doi.org/10.3390/rs15194791
Chicago/Turabian StyleBao, Yu, Haixiao Zhang, Xiaoli Liu, Yuhan Jiang, and Yu Tao. 2023. "Design of Robust Sparse Wideband Beamformers with Circular-Model Mismatches Based on Reweighted ℓ2,1 Optimization" Remote Sensing 15, no. 19: 4791. https://doi.org/10.3390/rs15194791
APA StyleBao, Y., Zhang, H., Liu, X., Jiang, Y., & Tao, Y. (2023). Design of Robust Sparse Wideband Beamformers with Circular-Model Mismatches Based on Reweighted ℓ2,1 Optimization. Remote Sensing, 15(19), 4791. https://doi.org/10.3390/rs15194791

