Investigation of Forest Fire Characteristics in North Korea Using Remote Sensing Data and GIS
Abstract
1. Introduction
2. Materials and Methods
2.1. Study Site
2.2. Data Used
2.3. Study Procedure
2.4. Methods
2.4.1. Selection of Fire Occurrence Years and Fire Trend Analysis
2.4.2. Estimation of Burned Area
2.4.3. Discriminating Forest Type in Burned Areas
2.4.4. Selection of Large Fire
2.4.5. Estimation of Burn Severity
2.4.6. Investigation of Topographic Characteristics
3. Results
3.1. Temporal and Spatial Distribution Characteristics of Fires
3.1.1. Fire Temporal Distribution Characteristics
3.1.2. Fire Spatial Distribution Characteristics
3.2. Large Fires Burn Severity Extraction Results
3.3. Forest Type and Topographic Features of Burned Areas
3.3.1. Forest Type
3.3.2. Topography
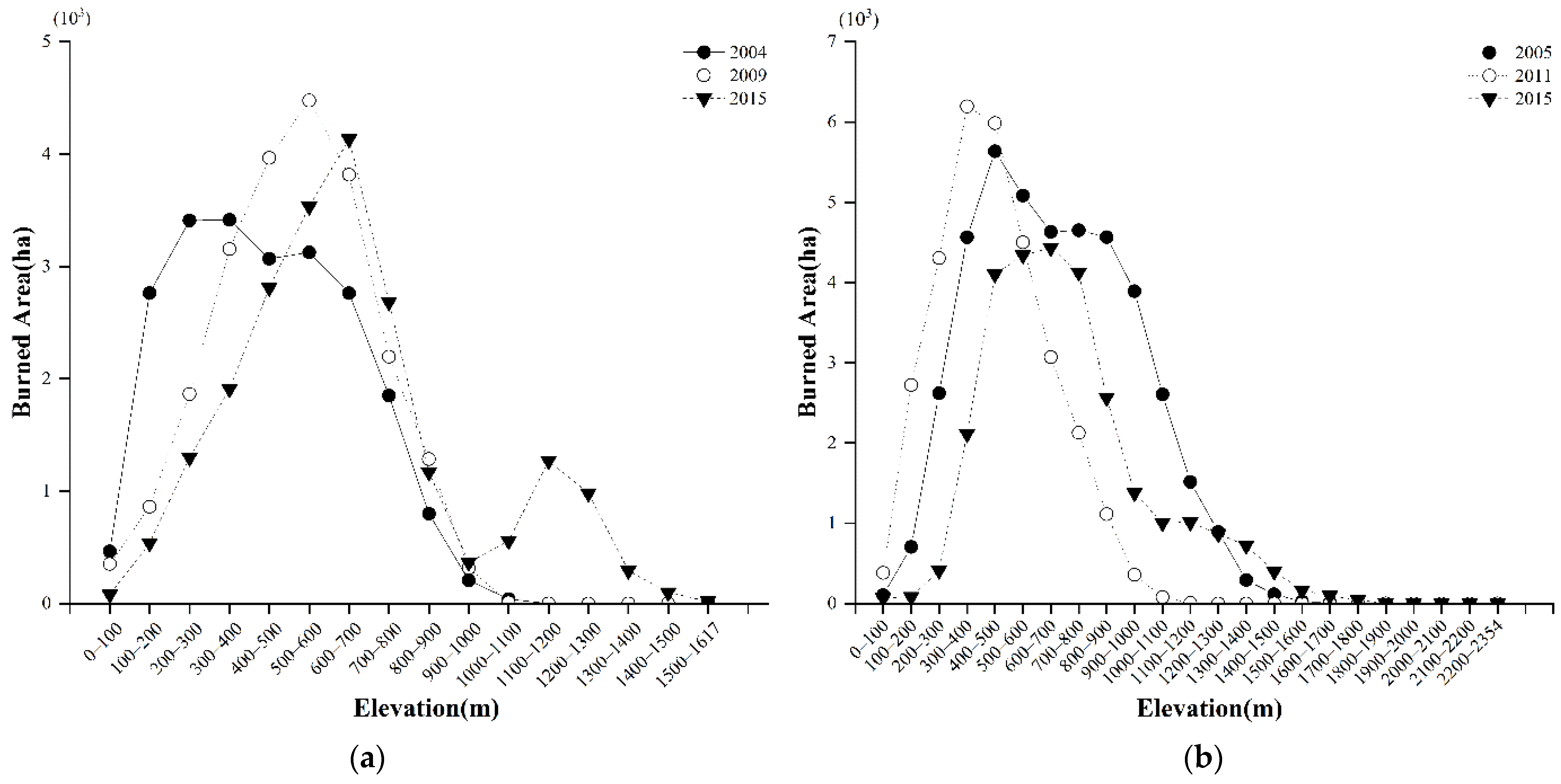
Elevation (Topography) in Burned Areas
Topography of Large Fire-Burned Areas
4. Discussion
4.1. Analysis of the Temporal and Spatial Distribution Characteristics of Fires
4.2. Analysis of the Burn Severity of Large Fires
4.3. Relationship between Forest Type, Topography, and Burn Severity
5. Conclusions
Author Contributions
Funding
Conflicts of Interest
References
- Jiao, L.L.; Chang, Y.; Hu, Y.M.; Wang, X.L. Spatial and temporal distribution patterns of wildfires in China based on MODIS data. Chin. J. Ecol. 2014, 33, 1351–1358. [Google Scholar]
- Song, L.C. The Evolution of Soil Habitat Quality after Severe Fire Disturbance in the Greater Xing’an Mountains. Ph.D. Thesis, Northeast Forestry University, Harbin, China, 2015. [Google Scholar]
- Guo, F.; Su, Z.; Wang, G.; Sun, L.; Tigabu, M.; Yang, X.; Hu, H. Understanding fire drivers and relative impacts in different Chinese forest ecosystems. Sci. Total Environ. 2017, 605–606, 411–425. [Google Scholar] [CrossRef] [PubMed]
- Goode, J.G.; Yokelson, R.J.; Ward, D.E.; Susott, R.A.; Babbitt, R.E.; Davies, M.A.; Hao, W.M. Measurements of excess O3, CO2, CO, CH4, C2H4, C2H2, HCN, NO, NH3, HCOOH, CH3COOH, HCHO, and CH3OH in 1997 Alaskan biomass burning plumes by airborne Fourier transform infrared spectroscopy (AFTIR). J. Geophys. Res. Atmos. 2000, 105, 22147–22166. [Google Scholar] [CrossRef]
- Dai, L.; Li, S.; Zhou, W.; Qi, L.; Zhou, L.; Wei, Y.; Li, J.; Shao, G.; Yu, D. Opportunities and challenges for the protection and ecological functions promotion of natural forests in China. For. Ecol. Manag. 2018, 410, 187–192. [Google Scholar] [CrossRef]
- Corona, P. Consolidating new paradigms in large-scale monitoring and assessment of forest ecosystems. Environ. Res. 2016, 144, 8–14. [Google Scholar] [CrossRef] [PubMed]
- Thomaz, E.L. Fire changes the larger aggregate size classes in slash-and-burn agricultural systems. Soil Tillage Res. 2017, 165, 210–217. [Google Scholar] [CrossRef]
- Nepal Forest Fire Management Chapter (NFMC). Available online: http://gfmc.online/media/news.html (accessed on 16 September 2021).
- Park, S.Y.; Kim, H.G.; Park, K.S. Education System of Forest and Forestry and Current State of Study of North Korea. N. Korean Stud. 2011, 7, 195–222. [Google Scholar]
- Kang, J.M.; Zhang, C.; Park, J.K.; Kim, M.G. Forest fire damage analysis using satellite images. J. Korean Soc. Surv. Geod. Photogramm. Cartogr. 2010, 28, 21–28. [Google Scholar]
- Won, K.Y.; Im, J.H. Fire severity mapping using a single post-fire Landsat 7 ETM+ Imagery. Korean Soc. Remote Sens. 2001, 17, 85–97. [Google Scholar]
- Won, M.S.; Koo, K.S.; Lee, M.B. An quantitative analysis of severity classification and burn severity for the large forest fire areas using normalized burn ratio of Landsat imagery. J. Korean Assoc. Geogr. Inf. Stud. 2007, 10, 80–92. [Google Scholar]
- Yun, H.C.; Kim, M.G.; Lee, J.S.; Kim, J.B. Calculation of Fire Damaged Tree Using Satellite Imagery and Digital Forest Type Map; Korean Society of Surveying, Geodesy, Photogrammetry and Cartography: Seoul, Republic of Korea, 2010; pp. 275–276. [Google Scholar]
- Lee, B.D.; Won, M.S.; Jang, K.M.; Lee, M.B. Analysis of the relationship between landform and forest fire severity. J. Korean Assoc. Geogr. Inf. Stud. 2008, 11, 58–67. [Google Scholar]
- Jeon, S.W.; Sung, H.C. Comparative analysis for vegetation restoration status on fired area of Kangwon Province-using remote sensing technologies. J. Korean Soc. Environ. Restor. Technol. 2003, 6, 71–77. [Google Scholar]
- Choi, S.P.; Lee, S.K.; Kim, D.H. The abstraction of forest fire damage area using factor analysis from the satellite image data. J. Korean Soc. Geospat. Inf. Sci. 2006, 14, 13–19. [Google Scholar]
- Choi, S.P.; Choi, C.S.; Park, J.S.; Kim, H.J. Forest Change Tracing Survey by Forest Fire Damage Using Landsat Image Data. In Proceedings of the Korean Society of Civil Engineers, Pyeongchang, Republic of Korea, 21–22 October 2004; pp. 4444–4449. [Google Scholar]
- Kim, C.C. Evaluation of the Normalized Burn Ratio (NBR) for Mapping Burn Severity Base on IKONOS-Images. Korean J. Remote Sens. 2008, 24, 195–203. [Google Scholar]
- Song, Y.S.; Sohn, H.G.; Lee, S.W. Analysis of Forest Fire Damage Using LiDAR Data and SPOT-4 Satellite Images. Korean Soc. Civ. Eng. 2006, 26, 527–534. [Google Scholar]
- Sohn, H.G.; Song, Y.S.; Lee, S.W.; Youn, K.H. Delineation of fire damaged area by using SPOT-4 HRV image. In Proceedings of the Korean Society of Civil Engineers Conference in 2005, Jeju, Republic of Korea, 20–21 October 2005; pp. 4536–4539. [Google Scholar]
- Oh, N.H. Study on Area Analysis of Forest Fire Disaster using MODIS Image. Master’s Thesis, Kyungpook National University, Daegu, Republic of Korea, 2009. [Google Scholar]
- Shin, J.H.; Lee, D.K. Strategies for restoration of forest ecosystems degraded by forest fire in Kangwon Ecoregion of Korea. For. Ecol. Manag. 2004, 201, 43–56. [Google Scholar] [CrossRef]
- Korea Institute for National Unification. Available online: https://www.kinu.or.kr/main/eng (accessed on 16 September 2021).
- Piddington, K. DPR Korea: State of the Environment 2003; United Nations Environment Programme: Nairobi, Kenya, 2003; p. 12. [Google Scholar]
- Lim, J.B.; Lee, K.S. Flood mapping using multi-source remotely sensed data and logistic regression in the heterogeneous mountainous regions in North Korea. Remote Sens. 2018, 10, 1036. [Google Scholar] [CrossRef]
- Won, M.S.; Kim, K.H.; Lee, S.W. Analysis of burn severity in large-fire area using SPOT5 images and field survey data. Korean J. Agric. For. Meteorol. 2014, 16, 114–124. [Google Scholar] [CrossRef]
- Miller, J.D.; Knapp, E.E.; Key, C.H.; Skinner, C.N.; Isbell, C.J.; Creasy, R.M.; Sherlock, J.W. Calibration and validation of the relative differenced Normalized Burn Ratio (RdNBR) to three measures of fire severity in the Sierra Nevada and Klamath Mountains, California, USA. Remote Sens Env. 2009, 113, 645–656. [Google Scholar] [CrossRef]
- Dhodhi, M.K.; Saghri, J.A.; Ahmad, I.; Ul-Mustafa, R. D-ISODATA: A distributed algorithm for unsupervised classification of remotely sensed data on network of workstations. J. Parallel Distrib. Comput. 1999, 59, 280–301. [Google Scholar] [CrossRef]
- Jensen, J.R. Introductory Digital Image Processing: A Remote Sensing Perspective, 4th ed.; Prentice-Hall Inc.: Hoboken, NJ, USA, 2015; pp. 406–407. [Google Scholar]
- Key, C.H.; Benson, N.C. Fire Effects Monitoring and Inventory Protocol-Landscape Assessment; USDA Forest Service Fire Science Laboratory: Missoula, MT, USA, 2002; pp. 1–16. [Google Scholar]
- Lutes, D.C.; Keane, R.E.; Caratti, J.F.; Key, C.H.; Benson, N.C.; Sutherland, S.; Gangi, L.J. FIREMON: Fire Effects Monitoring and Inventory System; Gen. Tech. Rep. RMRS-GTR-164; U.S. Department of Agriculture, Forest Service, Rocky Mountain Research Station: Fort Collins, CO, USA, 2006; pp. 1–55. [Google Scholar]
- Van Wagtendonk, J.W.; Root, R.R.; Key, C.H. Comparison of AVIRIS and Landsat ETM+ detection capabilities for burn severity. Remote Sens Env. 2004, 92, 397–408. [Google Scholar] [CrossRef]
- Roy, D.P.; Boschetti, L.; Trigg, S.N. Remote sensing of fire severity: Assessing the performance of the normalized burn ratio. IEEE Geosci. Remote Sens. Lett. 2006, 3, 112–116. [Google Scholar] [CrossRef]
- Key, C.H.; Benson, N.C. Landscape Assessment: Remote Sensing of Severity, the Normalized Burn Ratio and Ground Measure of Severity, the Composite Burn Index; USDA Forest Service, Rocky Mountain Res. Station: Fort Collins, CO, USA, 2005. [Google Scholar]
- Key, C.H. Ecological and sampling constraints on defining landscape fire severity. Fire Ecol. 2006, 2, 34–59. [Google Scholar] [CrossRef]
- Pereira, J.; Sá, A.C.; Sousa, A.M.; Silva, J.; Santos, T.N.; Carreiras, J. Spectral characterisation and discrimination of burnt areas. In Remote Sensing of Large Wildfires; Springer: Berlin/Heidelberg, Germany, 1999; pp. 123–138. [Google Scholar]
- Jenness, J.; Brost, B.; Beier, P. Manual: Land facet corridor designer. In Proceedings of the 2010 ESRI International User Conference, San Diego, CA, USA, 9 July 2013. pp. 49+53. [Google Scholar]
- Korea Food Research Institute. Available online: https://www.kfri.re.kr/?r=en (accessed on 16 September 2021).
- Pan, Y.; Birdsey, R.A.; Fang, J.; Houghton, R.; Kauppi, P.E.; Kurz, W.A.; Phillips, O.L.; Shvidenko, A.; Lewis, S.L.; Canadell, J.G. A large and persistent carbon sink in the world’s forests. Science 2011, 333, 988–993. [Google Scholar] [CrossRef] [PubMed]
- Lee, S.Y.; Kang, Y.S.; An, S.H.; Oh, J.S. Characteristic analysis of forest fire burned area using GIS. J. Korean Assoc. Geogr. Inf. Stud. 2002, 5, 20–26. [Google Scholar]
- Won, M.S.; Kim, Y.S.; Kim, K.H. Estimation on greenhouse gases (GHGs) emission of large forest fire area in 2013. J. Korean Assoc. Geogr. Inf. Stud. 2014, 17, 54–67. [Google Scholar] [CrossRef][Green Version]
- Weiss, A. Topographic position and landforms analysis. In Proceedings of the Poster presentation. In Proceedings of the ESRI User Conference, San Diego, CA, USA, 9–13 July 2001. [Google Scholar]












| Data Type | Date | Resolution | Path/Row | Source | |
|---|---|---|---|---|---|
| Landsat | GWP | 2008/04/20 (forest type) | 30 m | 116-33 | U.S. Geological Survey (USGS) (http://earthexplorer.usgs.gov/, accessed on 16 September 2021) |
| 2003/06/01 (pre-fire) | 116-33 | ||||
| 2004/06/03 (post-fire) | 116-33 | ||||
| 2007/04/09 (pre-fire) | 116-33 | ||||
| 2009/06/01 (post-fire) | 116-33 | ||||
| 2014/05/30 (pre-fire) | 116-33 | ||||
| 2015/05/17 (post-fire) | 116-33 | ||||
| SHP | 2008/04/20 (forest type) | 115-32 | |||
| 2008/04/03 (forest type) | 116-32 | ||||
| 2002/05/05 (pre-fire) | 116-32 | ||||
| 2005/05/29 (post-fire) | 116-32 | ||||
| 2010/06/04 (pre-fire) | 116-32 | ||||
| 2011/05/14 (post-fire) | 116-32 | ||||
| 2014/05/30 (pre-fire) | 116-32 | ||||
| 2015/05/01 (post-fire) | 116-32 | ||||
| 2015/05/10 (post-fire) | 115-32 | ||||
| MODIS | MOD14A1 | 2004–2015 | 1 km | 27/4, 27/5 and 28/5 | LPDAAC (http://modis.gsfc.nasa.gov/, accessed on 16 September 2021) |
| Geographic Information System (GIS) | Aster Global DEM | 30 m | USGS (http://earthexplorer.usgs.gov/, accessed on 16 September 2021) | ||
| Fire occurrence point | 2004–2015 | Fire Information for Resource Management System (FIRMS) (https://www.earthdata.nasa.gov/, accessedon 16 September 2021) | |||
| Land use | 2010 | 30 m | GlobeLand30: Global Geo-information Public Product (http://www.globallandcover.com/, accessed on 16 September 2021) | ||
| Digital administrative map of North Korea | National Geographic Information Institute (https://www.ngii.go.kr/, accessed on 16 September 2021) |
| Value | Class |
|---|---|
| 0 | missing input data |
| 1 | not processed (obsolete) |
| 2 | not processed (obsolete) |
| 3 | water |
| 4 | cloud |
| 5 | non-fire |
| 6 | unknown |
| 7 | fire (low confidence) |
| 8 | fire (nominal confidence) |
| 9 | fire (high confidence) |
| Class | Interval |
|---|---|
| Unburned | x < μ − 2δ |
| Low | μ − 2δ <= x < μ − 1δ |
| Moderate | μ − 1δ <= x < μ |
| High | μ |
| Very High | μ <= x < μ + 1δ |
| Extreme | μ + 1δ <= x < μ + 2δ |
| Data Set | p-Value | |
|---|---|---|
| Gahak (2004) | Coniferous and deciduous | 0.02 |
| Coniferous and non-forest | 0.02 | |
| Deciduous and non-forest | 0.04 | |
| Hamju (2005) | Coniferous and deciduous | 0.03 |
| Coniferous and non-forest | 0.03 | |
| Deciduous and non-forest | 0.9 | |
| Jeongpyong (2011) | Coniferous and deciduous | 0.02 |
| Coniferous and non-forest | 0.02 | |
| Deciduous and non-forest | 0.18 | |
| Uiwon (2015) | Coniferous and deciduous | 0.02 |
| Coniferous and non-forest | 0.02 | |
| Deciduous and non-forest | 0.67 |
| Name | Statistic | Elevation (m) | Slope (%) |
|---|---|---|---|
| Gaehak (2004) | Min. | 27 | 0 |
| Max. | 906 | 138.5 | |
| Mean | 293.9 | 37.7 | |
| Range | 879 | 138.5 | |
| Std. D | 139.6 | 18.5 | |
| Hamju (2005) | Min. | 83 | 0 |
| Max. | 1459 | 181.4 | |
| Mean | 572.8 | 40 | |
| Range | 1376 | 181.4 | |
| Std. D | 245.4 | 17.5 | |
| Jeongpyong (2011) | Min. | 38 | 0 |
| Max. | 1107 | 159.1 | |
| Mean | 408.6 | 38.4 | |
| Range | 1069 | 159.1 | |
| Std. D | 187.3 | 17.8 | |
| Uiwon (2015) | Min. | 187 | 0 |
| Max. | 1399 | 130.5 | |
| Mean | 615.9 | 37.2 | |
| Range | 1212 | 130.5 | |
| Std. D | 168.8 | 16.5 |
Publisher’s Note: MDPI stays neutral with regard to jurisdictional claims in published maps and institutional affiliations. |
© 2022 by the authors. Licensee MDPI, Basel, Switzerland. This article is an open access article distributed under the terms and conditions of the Creative Commons Attribution (CC BY) license (https://creativecommons.org/licenses/by/4.0/).
Share and Cite
Jin, R.; Lee, K.-S. Investigation of Forest Fire Characteristics in North Korea Using Remote Sensing Data and GIS. Remote Sens. 2022, 14, 5836. https://doi.org/10.3390/rs14225836
Jin R, Lee K-S. Investigation of Forest Fire Characteristics in North Korea Using Remote Sensing Data and GIS. Remote Sensing. 2022; 14(22):5836. https://doi.org/10.3390/rs14225836
Chicago/Turabian StyleJin, Ri, and Kyoo-Seock Lee. 2022. "Investigation of Forest Fire Characteristics in North Korea Using Remote Sensing Data and GIS" Remote Sensing 14, no. 22: 5836. https://doi.org/10.3390/rs14225836
APA StyleJin, R., & Lee, K.-S. (2022). Investigation of Forest Fire Characteristics in North Korea Using Remote Sensing Data and GIS. Remote Sensing, 14(22), 5836. https://doi.org/10.3390/rs14225836

