Evaluation of the Spatial and Temporal Variations of Condensation and Desublimation over the Qinghai–Tibet Plateau Based on Penman Model Using Hourly ERA5-Land and ERA5 Reanalysis Datasets
Abstract
1. Introduction
2. Materials and Methods
2.1. Study Area
2.2. Datasets
2.2.1. ERA5-Land and ERA5 Reanalysis Datasets
2.2.2. Observed Meteorological Variables
2.3. Methods
2.3.1. Penman Model
2.3.2. MK Trend Test
2.3.3. Sen’s Slope Analysis
3. Results
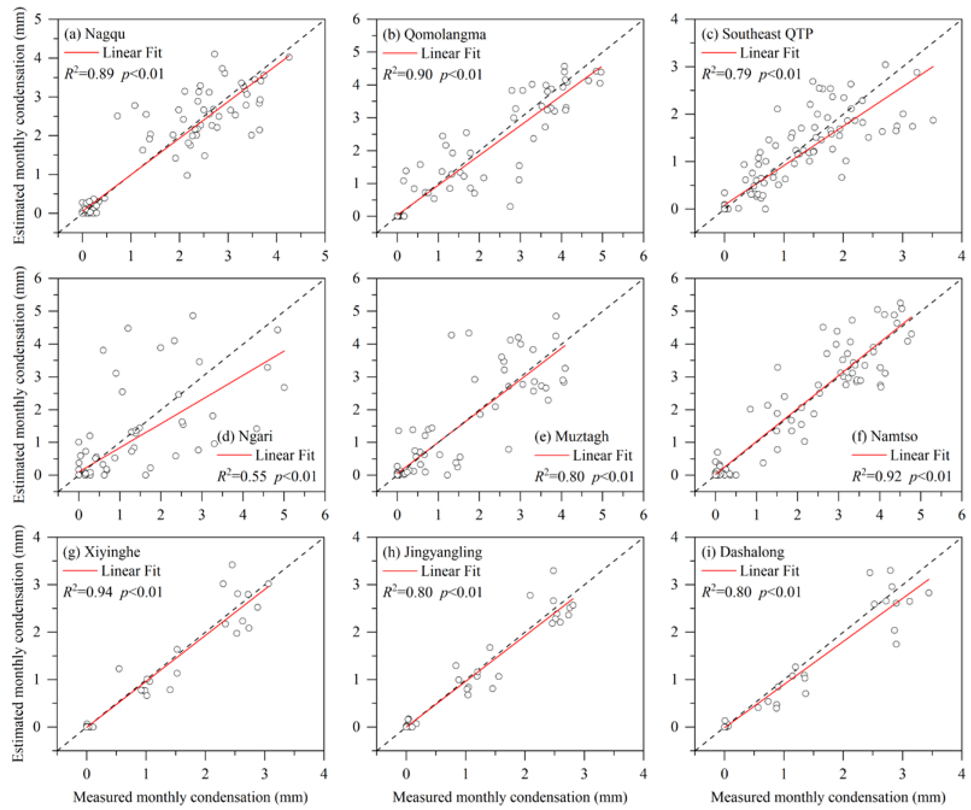
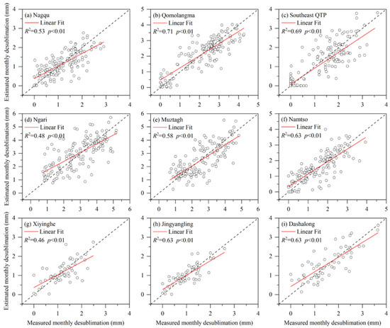
3.1. Accuracy of Estimated Condensation and Desublimation
3.2. Spatial Distribution of Condensation and Desublimation
3.3. Spatial Trends of Condensation and Desublimation
3.4. Spatial Variations in Condensation and Desublimation
3.5. Monthly Variations in Condensation and Desublimation
3.6. Annual Variations in Condensation and Desublimation
3.7. Influencing Factors of Condensation and Desublimation Variations
4. Discussion
4.1. Uncertainty in the Evaluation of Condensation and Desublimation
4.2. Impact of Condensation and Desublimation on Alpine Ecosystem
5. Conclusions
Author Contributions
Funding
Data Availability Statement
Acknowledgments
Conflicts of Interest
References
- Agam, N.; Berliner, P. Dew formation and water vapor adsorption in semi-arid environments—A review. J. Arid. Environ. 2006, 65, 572–590. [Google Scholar] [CrossRef]
- Beysens, D. The formation of dew. Atmos. Res. 1995, 39, 215–237. [Google Scholar] [CrossRef]
- Lee, J.; Lee, K.S. The behavior of frost layer growth under conditions favorable for desublimation. Int. J. Heat Mass Transf. 2018, 120, 259–266. [Google Scholar] [CrossRef]
- Li, H.; Han, C.; Yang, Y.; Chen, R. Formation and variations of dew and hoarfrost in the Hulu Catchment on Northeast Qinghai-Tibet Plateau, China. J. Hydrol. Reg. Stud. 2022, 42, 101179. [Google Scholar] [CrossRef]
- Guo, S.; Chen, R.; Li, H. Surface Sublimation/Evaporation and Condensation/Deposition and Their Links to Westerlies During 2020 on the August-One Glacier, the Semi-Arid Qilian Mountains of Northeast Tibetan Plateau. J. Geophys. Res. Atmos. 2022, 127, e2022JD036494. [Google Scholar] [CrossRef]
- De Jong, C. The contribution of condensation to the water cycle under high-mountain conditions. Hydrol. Process. 2005, 19, 2419–2435. [Google Scholar] [CrossRef]
- Malek, E.; McCurdy, G.; Giles, B. Dew contribution to the annual water balances in semi-arid desert valleys. J. Arid. Environ. 1999, 42, 71–80. [Google Scholar] [CrossRef]
- Gao, Z.; Shi, W.; Wang, X.; Wang, Y. Non-rainfall water contributions to dryland jujube plantation evapotranspiration in the Hilly Loess Region of China. J. Hydrol. 2020, 583, 124604. [Google Scholar] [CrossRef]
- Evans, S.; Todd-Brown, K.E.O.; Jacobson, K.; Jacobson, P. Non-rainfall Moisture: A Key Driver of Microbial Respiration from Standing Litter in Arid, Semiarid, and Mesic Grasslands. Ecosystems 2019, 23, 1154–1169. [Google Scholar] [CrossRef]
- Zheng, J.; Peng, C.; Li, H.; Li, S.; Huang, S.; Hu, Y.; Zhang, J.; Li, D. The role of non-rainfall water on physiological activation in desert biological soil crusts. J. Hydrol. 2018, 556, 790–799. [Google Scholar] [CrossRef]
- Wang, L.; Kaseke, K.F.; Seely, M.K. Effects of non-rainfall water inputs on ecosystem functions. Wiley Interdiscip. Rev. Water 2017, 4, e1179. [Google Scholar] [CrossRef]
- Groh, J.; Slawitsch, V.; Herndl, M.; Graf, A.; Vereecken, H.; Pütz, T. Determining dew and hoar frost formation for a low mountain range and alpine grassland site by weighable lysimeter. J. Hydrol. 2018, 563, 372–381. [Google Scholar] [CrossRef]
- Florentin, A.; Agam, N. Estimating non-rainfall-water-inputs-derived latent heat flux with turbulence-based methods. Agric. For. Meteorol. 2017, 247, 533–540. [Google Scholar] [CrossRef]
- Ninari, N.; Berliner, P.R. The role of dew in the water and heat balance of bare loess soil in the Negev Desert: Quantifying the actual dew deposition on the soil surface. Atmos. Res. 2002, 64, 323–334. [Google Scholar] [CrossRef]
- Kidron, G.J.; Kronenfeld, R. Microlysimeters overestimate the amount of non-rainfall water—An experimental approach. Catena 2020, 194, 104691. [Google Scholar] [CrossRef]
- Zhang, Q.; Wang, S.; Yue, P.; Wang, R. A measurement, quantitative identification and estimation method(QINRW) of non-rainfall water component by lysimeter. MethodsX 2019, 6, 2873–2881. [Google Scholar] [CrossRef]
- Hanisch, S.; Lohrey, C.; Buerkert, A. Dewfall and its ecological significance in semi-arid coastal south-western Madagascar. J. Arid. Environ. 2015, 121, 24–31. [Google Scholar] [CrossRef]
- Zhuang, Y.; Zhao, W. Dew formation and its variation in Haloxylon ammodendron plantations at the edge of a desert oasis, northwestern China. Agric. For. Meteorol. 2017, 247, 541–550. [Google Scholar] [CrossRef]
- Madeira, A.C.; Kim, K.S.; Taylor, S.; Gleason, M. A simple cloud-based energy balance model to estimate dew. Agric. For. Meteorol. 2002, 111, 55–63. [Google Scholar] [CrossRef]
- Wang, Z.; Zhang, Z.; Su, Y. A new water balance equation introducing dew amount in arid area. J. Hydraul. Eng. 2019, 50, 710–720. [Google Scholar]
- Hao, X.; Li, C.; Guo, B.; Ma, J.; Ayup, M.; Chen, Z. Dew formation and its long-term trend in a desert riparian forest ecosystem on the eastern edge of the Taklimakan Desert in China. J. Hydrol. 2012, 472, 90–98. [Google Scholar] [CrossRef]
- Jacobs, A.F.G.; Heusinkveld, B.G.; Berkowicz, S.M. Passive dew collection in a grassland area, The Netherlands. Atmos. Res. 2008, 87, 377–385. [Google Scholar] [CrossRef]
- Uclés, O.; Villagarcía, L.; Moro, M.J.; Canton, Y.; Domingo, F. Role of dewfall in the water balance of a semiarid coastal steppe ecosystem. Hydrol. Processes 2014, 28, 2271–2280. [Google Scholar] [CrossRef]
- Jacobs, A.F.G.; Heusinkveld, B.G.; Wichink Kruit, R.J.; Berkowicz, S.M. Contribution of dew to the water budget of a grassland area in the Netherlands. Water Resour. Res. 2006, 42, W03415. [Google Scholar] [CrossRef]
- Chuntan, H.; Hongyuan, L.; Rensheng, C.; Zhangwen, L.; Junfeng, L.; Yong, Y.; Xiqiang, W. Advances in the study on NRWIs in Alpine Mountains. Plateau Meteorol. 2022; in press. [Google Scholar]
- Zhang, X. Dynamics Changes of Typical Inland Lakes on Tibetan Plateau Using Multi-Sensor Remote Sensing Data. Ph.D. Thesis, Northwest A&F University, Xi’an, China, 2015. [Google Scholar]
- Zou, H.; Zhu, J. Applicability of reanalysis data in the study of surface temperature in Qinghai-Tibet Plateau. In Proceedings of the 28th Annual Meeting of China Meteorological Society, Xiamen, China, 3–4 November 2011. [Google Scholar]
- Li, H.; Liu, G.; Han, C.; Yang, Y.; Chen, R. Quantifying the Trends and Variations in the Frost-Free Period and the Number of Frost Days across China under Climate Change Using ERA5-Land Reanalysis Dataset. Remote Sens. 2022, 14, 2400. [Google Scholar] [CrossRef]
- Yang, J.; Huang, M.; Zhai, P. Performance of the CRA-40/Land, CMFD, and ERA-Interim Datasets in Reflecting Changes in Surface Air Temperature over the Tibetan Plateau. J. Meteorol. Res. 2021, 35, 663–672. [Google Scholar] [CrossRef]
- Ullah, I.; Ma, X.; Ren, G.; Yin, J.; Iyakaremye, V.; Syed, S.; Lu, K.; Xing, Y.; Singh, V.P. Recent Changes in Drought Events over South Asia and Their Possible Linkages with Climatic and Dynamic Factors. Remote Sens. 2022, 14, 3219. [Google Scholar] [CrossRef]
- Ullah, I.; Ma, X.; Asfaw, T.G.; Yin, J.; Iyakaremye, V.; Saleem, F.; Xing, Y.; Azam, K.; Syed, S. Projected Changes in Increased Drought Risks Over South Asia Under a Warmer Climate. Earth’s Future 2022, 10, e2022EF002830. [Google Scholar] [CrossRef]
- Ullah, I.; Saleem, F.; Iyakaremye, V.; Yin, J.; Ma, X.; Syed, S.; Hina, S.; Asfaw, T.G.; Omer, A. Projected Changes in Socioeconomic Exposure to Heatwaves in South Asia Under Changing Climate. Earth’s Future 2022, 10, e2021EF002240. [Google Scholar] [CrossRef]
- Yao, T.; Bolch, T.; Chen, D.; Gao, J.; Immerzeel, W.W.; Piao, S.; Su, F.; Thompson, L.; Wada, Y.; Wang, L.; et al. The imbalance of the Asian water tower. Nat. Rev. Earth Environ. 2022, 3, 618–632. [Google Scholar] [CrossRef]
- Xianru, L. Characteristics of Temperature and Precipitation Change on the Tibet Plateau under the Background of Global Warming. Adv. Geosci. 2019, 9, 1042–1049. [Google Scholar]
- Ga, Z.; Sirong, C.; Bing, Z. Spatio-temporal variation of vegetation coverage over the Tibetan Plateau and its responses to climatic factors. Acta Ecol. Sin. 2018, 38, 3208–3218. [Google Scholar]
- Hersbach, H.; Bell, B.; Berrisford, P.; Biavati, G.; Horányi, A.; Muñoz Sabater, J.; Nicolas, J.; Peubey, C.; Radu, R.; Rozum, I.; et al. ERA5 Hourly Data on Single Levels from 1959 to Present—Copernicus Climate Change Service (C3S) Climate Data Store (CDS). 2018. Available online: https://cds.climate.copernicus.eu/cdsapp#!/dataset/reanalysis-era5-single-levels-monthly-means?tab=overview (accessed on 10 March 2022).
- Bell, B.; Hersbach, H.; Berrisford, P.; Dahlgren, P.; Horányi, A.; Muñoz Sabater, J.; Nicolas, J.; Radu, R.; Schepers, D.; Simmons, A.; et al. ERA5 Hourly Data on Single Levels from 1950 to 1978 (Preliminary Version)—Copernicus Climate Change Service (C3S) Climate Data Store (CDS). 2020. Available online: https://cds.climate.copernicus.eu/cdsapp#!/dataset/reanalysis-era5-pressure-levels-preliminary-back-extension?tab=overview (accessed on 10 March 2022).
- Muñoz-Sabater, J. ERA5-Land Hourly Data from 1950 to 1980—Copernicus Climate Change Service (C3S) Climate Data Store (CDS). 2021. Available online: https://cds.climate.copernicus.eu/cdsapp#!/dataset/reanalysis-era5-land?tab=overview/ (accessed on 10 March 2022).
- Muñoz-Sabater, J. ERA5-Land Hourly Data from 1981 to Present—Copernicus Climate Change Service (C3S) Climate Data Store (CDS). 2019. Available online: https://cds.climate.copernicus.eu/cdsapp#!/dataset/reanalysis-era5-land?tab=overview/ (accessed on 10 March 2022).
- Muñoz-Sabater, J.; Dutra, E.; Agustí-Panareda, A.; Albergel, C.; Arduini, G.; Balsamo, G.; Boussetta, S.; Choulga, M.; Harrigan, S.; Hersbach, H.; et al. ERA5-Land: A state-of-the-art global reanalysis dataset for land applications. Earth Syst. Sci. Data 2021, 13, 4349–4383. [Google Scholar] [CrossRef]
- Ma, Y.; Hu, Z.; Xie, Z.; Ma, W.; Wang, B.; Chen, X.; Li, J.; Zhong, L.; Sun, F.; Gu, L.; et al. A long-term (2005–2016) dataset of hourly integrated land-atmosphere interaction observations on the Tibetan Plateau. Earth Syst. Sci. Data 2020, 12, 2937–2957. [Google Scholar] [CrossRef]
- Ma, Y. Long-Term Dataset of Integrated Land-Atmosphere Interaction Observations on the Tibetan Plateau (2005–2016)—National Tibetan Plateau Data Center. 2020. Available online: https://doi.org/10.11888/Meteoro.tpdc.270910 (accessed on 1 March 2022).
- Liu, S.; Xu, Z.; Che, T.; Xiao, Q.; Ma, M.; Liu, Q.; Jin, R.; Guo, J.; Wang, L.; Wang, W.; et al. The Heihe Integrated Observatory Network: A Basin-Scale Land Surface Processes Observatory in China. Vadose Zone J. 2018, 17, 180072. [Google Scholar] [CrossRef]
- Liu, S.; Xu, Z.; Wang, W.; Jia, Z.; Zhu, M.; Bai, J.; Wang, J. A comparison of eddy-covariance and large aperture scintillometer measurements with respect to the energy balance problem. Hydrol. Earth Syst. Sci. 2011, 15, 1291–1306. [Google Scholar] [CrossRef]
- Liu, S.; Che, T.; Xu, Z.; Ren, Z.; Tan, J.; Zhang, Y. Qilian Mountains Integrated Observatory Network: Dataset of Heihe Integrated Observatory Network—National Tibetan Plateau Data Center. 2021. Available online: https://doi.org/10.11888/Geogra.tpdc.271440 (accessed on 1 March 2022).
- Shuhai, G. Observation and Simulation of Sublimation/Evaporation at the Top of Midlatitude August-One Glacier, Qilian Mountains. Ph.D. Thesis, University of Chinese Academy of Sciences, Beijing, China, 2019. [Google Scholar]
- Allen, R.G.; Pereira, L.S.; Raes, D.; Smith, M. Crop Evapotranspiration-Guidelines for Computing Crop Water Requirements; FAO: Rome, Italy, 1998. [Google Scholar]
- Huang, H. Principle and Simulation of Soil-Vegetation-Atmosphere Interaction; China Meteorological Press: Beijing, China, 1997; pp. 66–72.
- Penman, H.L. Natural Evaporation from Open Water, Bare Soil and Grass. Proc. R. Soc. Lond. Ser. A Math. Phys. 1948, 193, 120–145. [Google Scholar]
- Murray, F.W. On the Computation of Saturation Vapor Pressure. J. Appl. Meteorol. Climatol. 1967, 6, 203–204. [Google Scholar] [CrossRef]
- Allen, R. Penman-Monteith equation. In Encyclopedia of Soils in the Environment; Elsevier: Oxford, UK, 2005; pp. 180–188. [Google Scholar]
- Brunt, D. Physical and Dynamical Meteorology, 2nd ed; Cambridge University Press: Cambridge, UK, 1952; 428p. [Google Scholar]
- Xiaoqing, L. Design and improvement of the experiment for determining air density. Exp. Teach. Appar. 2021, 38, 25–26. [Google Scholar]
- Jiumin, Y.; Lili, W.; Haibin, K.; Yuhua, Z.; Jinzhong, L.; Lili, Z. Improvement of air density and gas universal constant measurement experiment. Phys. Exp. 2011, 31, 24–26. [Google Scholar]
- Tetens, O. Uber einige meteorologische Begriffe. Z. Geophys. 1930, 6, 297–309. [Google Scholar]
- Brown, K.W.; Rosenberg, N.J. A Resistance Model to Predict Evapotranspiration and Its Application to a Sugar Beet Field. Agron. J. 1973, 65, 341–347. [Google Scholar] [CrossRef]
- Mann, H. Non-Parametric Test Against Trend. Econometrica 1945, 13, 245–259. [Google Scholar] [CrossRef]
- Kendall, M.G. Rank Correlation Methods, 4th ed.; Charles Griffin: London, UK, 1975. [Google Scholar]
- Agarwal, S.; Suchithra, A.S.; Singh, S.P. Analysis and Interpretation of Rainfall Trend using Mann- Kendall’s and Sen’s Slope Method. Indian J. Ecol. 2021, 48, 453–457. [Google Scholar]
- Jagadeesh, P.; Agrawal, S. Investigation of trends and its magnitude by non-parameteric Mann-Kendall and Sen’s slope methods. Int. J. Hydrol. Sci. Technol. 2015, 5, 83–94. [Google Scholar] [CrossRef]
- Sen, P.K. Estimates of the Regression Coefficient Based on Kendall’s Tau. J. Am. Stat. Assoc. 1968, 63, 1379–1389. [Google Scholar] [CrossRef]
- Li, Y.; Qin, X.; Liu, Y.; Zizhen, J.; Liu, J.; Wang, L.; Jizu, C. Evaluation of Long-Term and High-Resolution Gridded Precipitation and Temperature Products in the Qilian Mountains, Qinghai–Tibet Plateau. Front. Environ. Sci. 2022, 10, 906821. [Google Scholar] [CrossRef]
- Bonshoms, M.; Ubeda, J.; Liguori, G.; Krner, P.; Navarro, L.; Cruz, R. Validation of ERA5-Land temperature and relative humidity on four Peruvian glaciers using on-glacier observations. J. Mt. Sci. 2022, 19, 1849–1873. [Google Scholar] [CrossRef]
- Khadka, A.; Wagnon, P.; Brun, F.; Shrestha, D.; Lejeune, Y.; Arnaud, Y. Evaluation of ERA5-Land and HARv2 reanalysis data at high elevation in the upper Dudh Koshi basin (Everest region, Nepal). J. Appl. Meteorol. Climatol. 2022, 61, 931–954. [Google Scholar] [CrossRef]
- Shuping, Y.; Yechao, Y.; Shuwen, Z.; Jiuchun, Y.; Wenjuan, W. Spatiotemporal variations of soil freeze-thaw state in Northeast China based on the ERA5-LAND dataset. Acta Geogr. Sin. 2021, 76, 2765–2779. [Google Scholar]
- Qing, S.; Sun, X.; Li, Y. Evaluation of ERA5 reanalysis soil moisture over inner mongolia. Sci. Technol. Eng. 2020, 20, 2161–2168. [Google Scholar]
- Kai, Z.; Qiong, G.; Zhicai, Z.; Chan, Z. A Calibration problem in applying the Eddy Covariance technique to measure Bowen ratio. J. Beijing Norm. Univ. (Nat. Sci.) 2008, 44, 207–211. [Google Scholar]
- Yang, Y.; Chen, R.; Song, Y.; Han, C.; Liu, J.; Liu, Z. Sensitivity of potential evapotranspiration to meteorological factors and their elevational gradients in the Qilian Mountains, northwestern China. J. Hydrol. 2019, 568, 147–159. [Google Scholar] [CrossRef]
- Zhuang, Y.; Zhao, W.; Luo, L.; Wang, L. Dew formation characteristics in the gravel desert ecosystem and its ecological roles on Reaumuria soongorica. J. Hydrol. 2021, 603, 126932. [Google Scholar] [CrossRef]
- Zhang, Q.; Wang, S.; Yue, P.; Wang, S. Variation characteristics of non-rainfall water and its contribution to crop water requirements in China’s summer monsoon transition zone. J. Hydrol. 2019, 578, 124039. [Google Scholar] [CrossRef]
- Uclés, O.; Villagarcía, L.; Cantón, Y.; Lázaro, R.; Domingo, F. Non-rainfall water inputs are controlled by aspect in a semiarid ecosystem. J. Arid. Environ. 2015, 113, 43–50. [Google Scholar] [CrossRef]
- Genxu, W.; Guangsheng, L.; Chunjie, L. Effects of changes in alpine grassland vegetation cover on hillslope hydrological processes in a permafrost watershed. J. Hydrol. 2012, 444, 22–33. [Google Scholar] [CrossRef]
- Genxu, W.; Shengnan, L.; Hongchang, H.; Yuanshou, L. Water regime shifts in the active soil layer of the Qinghai–Tibet Plateau permafrost region, under different levels of vegetation. Geoderma 2009, 149, 280–289. [Google Scholar] [CrossRef]
- Dawen, Y.; Yuanrun, Z.; Bing, G.; Hongyi, L.; Pengtao, Y. Ecohydrological Process and Coupling Simulation in Alpine Mountains; Science Press: Beijing, China, 2020; pp. 1–10. [Google Scholar]
- Yongjian, D.; Shiqiang, Z. Study on water internal recycle process and mechanism in typical mountain areas of inland basins, northwest China: Progress and challenge. Adv. Earth Sci. 2018, 33, 719–727. [Google Scholar]
- Mcguire, A.D. Environmental Variation, Vegetation Distribution, and Carbon Dynamics in High Latitudes. AGU Fall Meet. Abstr. 2001, 2001, B12F-01. [Google Scholar]
- Jorgenson, M.T.; Racine, C.; Walters, J.; Osterkamp, T. Permafrost Degradation and Ecological Changes Associated with a Warming Climate in Central Alaska. Clim. Chang. 2001, 48, 551–579. [Google Scholar] [CrossRef]
- Wehren, B.; Weingartner, R.; Schädler, B.; Viviroli, D. General Characteristics of Alpine Waters; Springer: Berlin/Heidelberg, Germany, 2010; pp. 17–58. [Google Scholar]
- Uclés, O.; Villagarcía, L.; Cantón, Y.; Domingo, F. Microlysimeter station for long term non-rainfall water input and evaporation studies. Agric. For. Meteorol. 2013, 182, 13–20. [Google Scholar] [CrossRef]
- Dongxin, G.; Tieliang, L.; Weixin, Z. General Geocryology; Science Press: Beijing, China, 1988; pp. 60–68. [Google Scholar]
- Kuhle, M. The cold deserts of high Asia (Tibet and contiguous mountains). GeoJournal 1990, 20, 319–323. [Google Scholar] [CrossRef]
- Körner, C. Alpine Plant Life: Functional Plant Ecology of High Mountain Ecosystems; Springer: Berlin/Heidelberg, Germany, 2003; pp. 103–125. [Google Scholar]











| Meteorological Variables | Symbols | Units | Spatial Resolution | Temporal Resolution | Datasets |
|---|---|---|---|---|---|
| 2 m temperature | Ta | K | 0.1° × 0.1° | Hourly | ERA5-Land |
| 2 m dewpoint temperature | Td | K | 0.1° × 0.1° | Hourly | ERA5-Land |
| 10 m u-component of wind | u | m s−1 | 0.1° × 0.1° | Hourly | ERA5-Land |
| 10 m v-component of wind | v | m s−1 | 0.1° × 0.1° | Hourly | ERA5-Land |
| Surface pressure | Pa | Pa | 0.1° × 0.1° | Hourly | ERA5-Land |
| Surface net solar radiation | Rs | J m−2 | 0.1° × 0.1° | Hourly | ERA5-Land |
| Surface net thermal radiation | Rt | J m−2 | 0.1° × 0.1° | Hourly | ERA5-Land |
| Skin temperature | Ts | K | 0.1° × 0.1° | Hourly | ERA5-Land |
| Friction velocity | u* | m s−1 | 0.25° × 0.25° | Hourly | ERA5 |
| Total precipitation | pre | m | 0.1° × 0.1° | Hourly | ERA5-Land |
| Station Name | Longitude | Latitude | Elevation | Meteorological Variables | Temporal Resolution | Period |
|---|---|---|---|---|---|---|
| ° | ° | m | °C, %, W m−2 | |||
| Nagqu | 91.90 | 31.37 | 4509 | Ta, RH, λE | Hourly | 2005~2016 |
| Qomolangma | 86.95 | 28.36 | 4298 | Ta, RH, λE | Hourly | 2005~2016 |
| Southeast QTP | 94.74 | 29.77 | 3327 | Ta, RH, λE | Hourly | 2005~2016 |
| Ngari | 79.70 | 33.39 | 4270 | Ta, RH, λE | Hourly | 2005~2016 |
| Muztagh | 75.03 | 38.42 | 3668 | Ta, RH, λE | Hourly | 2005~2016 |
| Namtso | 90.96 | 30.77 | 4730 | Ta, RH, λE | Hourly | 2005~2016 |
| Xiyinghe | 101.86 | 37.56 | 3616 | Ta, RH, λE | Half-hour | 2016~2020 |
| Jingyangling | 101.12 | 37.84 | 3750 | Ta, RH, λE | Half-hour | 2016~2020 |
| Dashalong | 98.94 | 38.84 | 3739 | Ta, RH, λE | Half-hour | 2016~2020 |
| Model Parameters | Symbols | Units | Calculation Methods | References |
|---|---|---|---|---|
| Slope of saturation vapor pressure curve | Δ | kPa °C−1 | [50,51] | |
| Net radiation | Rn | W m−2 | [47,52] | |
| Surface soil heat flux | G0 | W m−2 | [47,52] | |
| Air density | ρa | kg m−3 | [53,54] | |
| Specific heat of air at constant pressure | cp | J kg−1 °C−1 | 1013 | [47] |
| Saturated vapor pressure | es | kPa | [50,55] | |
| Actual vapor pressure | ea | kPa | [50,55] | |
| Aerodynamic resistance of vapor transport | ra | m s−1 | [47,52,56] | |
| Height of wind component | z | m | 10 | [38,39,40] |
| Psychrometric constant | γ | kPa °C−1 | [47,52] | |
| Latent Heat of Vaporization/Sublimation | λ | MJ kg−1 | [47,52] | |
| Time interval | A | s | 3600 | Constant |
| Water density | ρ | kg m−3 | 1000 | Constant |
Publisher’s Note: MDPI stays neutral with regard to jurisdictional claims in published maps and institutional affiliations. |
© 2022 by the authors. Licensee MDPI, Basel, Switzerland. This article is an open access article distributed under the terms and conditions of the Creative Commons Attribution (CC BY) license (https://creativecommons.org/licenses/by/4.0/).
Share and Cite
Li, H.; Chen, R.; Han, C.; Yang, Y. Evaluation of the Spatial and Temporal Variations of Condensation and Desublimation over the Qinghai–Tibet Plateau Based on Penman Model Using Hourly ERA5-Land and ERA5 Reanalysis Datasets. Remote Sens. 2022, 14, 5815. https://doi.org/10.3390/rs14225815
Li H, Chen R, Han C, Yang Y. Evaluation of the Spatial and Temporal Variations of Condensation and Desublimation over the Qinghai–Tibet Plateau Based on Penman Model Using Hourly ERA5-Land and ERA5 Reanalysis Datasets. Remote Sensing. 2022; 14(22):5815. https://doi.org/10.3390/rs14225815
Chicago/Turabian StyleLi, Hongyuan, Rensheng Chen, Chuntan Han, and Yong Yang. 2022. "Evaluation of the Spatial and Temporal Variations of Condensation and Desublimation over the Qinghai–Tibet Plateau Based on Penman Model Using Hourly ERA5-Land and ERA5 Reanalysis Datasets" Remote Sensing 14, no. 22: 5815. https://doi.org/10.3390/rs14225815
APA StyleLi, H., Chen, R., Han, C., & Yang, Y. (2022). Evaluation of the Spatial and Temporal Variations of Condensation and Desublimation over the Qinghai–Tibet Plateau Based on Penman Model Using Hourly ERA5-Land and ERA5 Reanalysis Datasets. Remote Sensing, 14(22), 5815. https://doi.org/10.3390/rs14225815

