A Spatial-Enhanced LSE-SFIM Algorithm for Hyperspectral and Multispectral Images Fusion
Abstract
:1. Introduction
2. Proposed Method
2.1. Basic Smoothing Filter-Based Intensity Modulation (SFIM) Algorithm
2.2. The Proposed Spatial Filter-Based Least Square Estimation (LSE)-SFIM
2.2.1. Least Square Estimation Based SFIM Algorithm (LSE-SFIM)
2.2.2. Spatial Information Enhanced LSE-SFIM
Filtering Method
Interpolation Method
3. Experimental Results and Analysis
3.1. Hyperspectral Datasets
3.1.1. Pavia University
3.1.2. Chikusei
3.1.3. HyMap Rodalquilar
3.2. Comparative Analysis of the Proposed Spatial Enhanced LSE-SFIM Using Different Spatial Filters
3.2.1. Subjective Evaluation
3.2.2. Objective Evaluation
3.2.3. Spectral Distortion Comparison
3.2.4. Influence of Spatial Scale Factor between MSI and HSI
3.3. Performance Analysis of the Proposed SFIM-Based Algorithm and Other Commonly Used Algorithms
4. Discussion and Conclusions
- Improving the performance of tradition SFIM algorithm. The traditional SFIM fusion algorithm has problems such as blurred image edge information and insufficient spatial detail information. In this paper, two steps are taken to solve the above problems: (1) LSE is used to adjust the obtained simulated low-spatial MSI′ so that the linear regression can minimize the spatial information error, and the simulated MSI′ can have as much as possible the same spatial information as HSI; (2) four different spatial filters are then used to further improve the detailed spatial information in the process of up-sampling, and the experimental results show that the use of bilinear interpolation in LSE-SFIM-B fusion algorithm has the best performance among all SFIM based algorithms.
 - Achieving similar performance with much less computing time. This paper also employs three state-of-the art algorithms (CNMF, HySure and FUSE) to compare the performance, and the experimental results show that the proposed LSE-SFIM-B algorithm can achieve similar performance as these, while the computing time is much less. As a result, in the case of high time requirements or in the case of processing a very large data set, the proposed LSE-SFIM-B algorithm can show a good ability in both processing performance and time effect with practical significance.
 
Author Contributions
Funding
Conflicts of Interest
References
- McCabe, M.F.; Rodell, M.; Alsdorf, D.E.; Miralles, D.G.; Uijlenhoet, R.; Wagner, W.; Lucieer, A.; Houborg, R.; Verhoest, N.E.C.; Franz, T.E.; et al. The future of Earth observation in hydrology. Hydrol. Earth Syst. Sci. 2017, 21, 3879–3914. [Google Scholar] [CrossRef] [Green Version]
 - Selva, D.; Krejci, D. A survey and assessment of the capabilities of Cubesats for Earth observation. Acta Astronaut. 2012, 74, 50–68. [Google Scholar] [CrossRef]
 - Xiang, S.; Wang, L.; Xing, L.; Du, Y.; Zhang, Z. Knowledge-based memetic algorithm for joint task planning of multi-platform earth observation system. Comput. Ind. Eng. 2021, 160, 107559. [Google Scholar] [CrossRef]
 - Shayeganpour, S.; Tangestani, M.H.; Gorsevski, P.V. Machine learning and multi-sensor data fusion for mapping lithology: A case study of Kowli-kosh area, SW Iran. Adv. Space Res. 2021, 68, 3992–4015. [Google Scholar] [CrossRef]
 - Si, Y.; Lu, Q.; Zhang, X.; Hu, X.; Wang, F.; Li, L.; Gu, S. A review of advances in the retrieval of aerosol properties by remote sensing multi-angle technology. Atmos. Environ. 2021, 244, 117928. [Google Scholar] [CrossRef]
 - Zhang, L.P.; Shen, H.F. Progress and future of remote sensing data fusion. J. Remote Sens. 2016, 20, 1050–1061. [Google Scholar]
 - Tohid, Y.; Farhang, A.; Ali, A.; Calagari, A.A. Integrating geologic and Landsat-8 and ASTER remote sensing data for gold exploration: A case study from Zarshuran Carlin-type gold deposit, NW Iran. Arab. J. Geosci. 2018, 11, 482. [Google Scholar]
 - Erdelj, M.; Natalizio, E.; Chowdhury, K.R.; Akyildiz, I.F. Help from the Sky: Leveraging UAVs for Disaster Management. IEEE Pervasive Comput. 2017, 16, 24–32. [Google Scholar] [CrossRef]
 - San Juan, R.F.V.; Domingo-Santos, J.M. The Role of GIS and LIDAR as Tools for Sustainable Forest Management. Front. Inf. Syst. 2018, 1, 124–148. [Google Scholar]
 - Zhu, Q.; Zhang, J.; Ding, Y.; Liu, M.; Li, Y.; Feng, B.; Miao, S.; Yang, W.; He, H.; Zhu, J. Semantics-Constrained Advantageous Information Selection of Multimodal Spatiotemporal Data for Landslide Disaster Assessment. ISPRS Int. J. Geo Inf. 2019, 8, 68. [Google Scholar] [CrossRef] [Green Version]
 - Khanal, S.; Fulton, J.; Shearer, S.A. An overview of current and potential applications of thermal remote sensing in precision agriculture. Comput. Electron. Agric. 2017, 139, 22–32. [Google Scholar] [CrossRef]
 - Chlingaryan, A.; Sukkarieh, S.; Whelan, B. Machine learning approaches for crop yield prediction and nitrogen status estimation in precision agriculture: A review. Comput. Electron. Agric. 2018, 151, 61–69. [Google Scholar] [CrossRef]
 - Zhou, L.; Chen, N.; Chen, Z.; Xing, C. ROSCC: An Efficient Remote Sensing Observation-Sharing Method Based on Cloud Computing for Soil Moisture Mapping in Precision Agriculture. IEEE J. Sel. Top. Appl. Earth Obs. Remote Sens. 2016, 9, 5588–5598. [Google Scholar] [CrossRef]
 - Wu, B.; Yu, B.; Yao, S.; Wu, Q.; Chen, Z.; Wu, J. A surface network based method for studying urban hierarchies by night time light remote sensing data. Int. J. Geogr. Inf. Sci. 2019, 33, 1377–1398. [Google Scholar] [CrossRef]
 - Zhang, Z.; Liu, F.; Zhao, X.; Wang, X.; Shi, L.; Xu, J.; Yu, S.; Wen, Q.; Zuo, L.; Yi, L.; et al. Urban Expansion in China Based on Remote Sensing Technology: A Review. Chin. Geogr. Sci. 2018, 28, 727–743. [Google Scholar] [CrossRef] [Green Version]
 - Shen, Q.; Yao, Y.; Li, J.; Zhang, F.; Wang, S.; Wu, Y.; Ye, H.; Zhang, B. A CIE Color Purity Algorithm to Detect Black and Odorous Water in Urban Rivers Using High-Resolution Multispectral Remote Sensing Images. IEEE Trans. Geosci. Remote Sens. 2019, 57, 6577–6590. [Google Scholar] [CrossRef]
 - Carper, W.J.; Lillesand, T.M.; Kiefe, R.W. Use of intensity-hue-saturation transformations for merging SPOT panchromatic and multispectral image data. Photogramm. Eng. Remote Sens. 1990, 56, 459–467. [Google Scholar]
 - Chavez, P.S.; Sides, S.C.; Anderson, J.A. Comparison of three different methods to merge multiresolution and multispectral data: Landsat TM and SPOT panchromatic. Photogramm. Eng. Remote Sens. 1991, 57, 265–303. [Google Scholar]
 - Aiazzi, B.; Baronti, S.; Selva, M. Improving Component Substitution Pansharpening Through Multivariate Regression of MS + Pan Data. IEEE Trans. Geosci. Remote Sens. 2007, 45, 3230–32399. [Google Scholar] [CrossRef]
 - Sulaiman, A.G.; Elashmawi, W.H.; Eltaweel, G. IHS-based pan-sharpening technique for visual quality improvement using KPCA and enhanced SML in the NSCT domain. Int. J. Remote Sens. 2021, 42, 537–566. [Google Scholar] [CrossRef]
 - Li, Y.; Qu, J.; Dong, W.; Zheng, Y. Hyperspectral pansharpening via improved PCA approach and optimal weighted fusion strategy. Neurocomputing 2018, 315, 371–380. [Google Scholar] [CrossRef]
 - Aiazzi, B.; Alparone, L.; Arienzo, A.; Garzelli, A.; Lolli, S. Fast multispectral pansharpening based on a hyper-ellipsoidal color space. In Proceedings of the Conference on Image and Signal Processing for Remote Sensing XXV, Strasbourg, France, 11 September 2019. [Google Scholar]
 - Singh, R.; Khare, A. Fusion of multimodal medical images using Daubechies complex wavelet transform–A multiresolution approach. Inf. Fusion 2014, 19, 49–60. [Google Scholar] [CrossRef]
 - Liu, J.G. Smoothing Filter-based Intensity Modulation: A spectral preserve image fusion technique for improving spatial details. Int. J. Remote Sens. 2000, 21, 3461–3472. [Google Scholar] [CrossRef]
 - Aiazzi, B.; Alparone, L.; Baronti, S.; Garzelli, A.; Selva, M. MTF-tailored Multiscale Fusion of High-resolution MS and Pan Imagery. Photogramm. Eng. Remote Sens. 2006, 72, 591–596. [Google Scholar] [CrossRef]
 - Yokoya, N.; Mayumi, N.; Iwasaki, A. Coupled Nonnegative Matrix Factorization Unmixing for Hyperspectral and Multispectral Data Fusion. IEEE Trans. Geosci. Remote Sens. 2012, 50, 528–537. [Google Scholar] [CrossRef]
 - Simoes, M.; Bioucas-Dias, J.; Almeida, L.B.; Chanussot, J. A Convex Formulation for Hyperspectral Image Superresolution via Subspace-Based Regularization. IEEE Trans. Geosci. Remote Sens. 2015, 53, 3373–3388. [Google Scholar] [CrossRef] [Green Version]
 - Li, S.; Dian, R.; Fang, L.; Bioucas-Dias, J. Fusing Hyperspectral and Multispectral Images via Coupled Sparse Tensor Factorization. IEEE Trans. Image Process. 2018, 27, 4118–4130. [Google Scholar] [CrossRef]
 - Eismann, M.T. Resolution Enhancement of Hyperspectral Imagery Using Maximum a Posteriori Estimation with a Stochastic Mixing Model. Ph.D. Thesis, University of Dayton, Dayton, OH, USA, 2004. [Google Scholar]
 - Wei, Q.; Bioucas-Dias, J.; Dobigeon, N.; Tourneret, J.-Y. Hyperspectral and Multispectral Image Fusion Based on a Sparse Representation. IEEE Trans. Geosci. Remote Sens. 2015, 53, 3658–3668. [Google Scholar] [CrossRef] [Green Version]
 - Wei, Q.; Dobigeon, N.; Tourneret, J.-Y. Fast Fusion of Multi-Band Images Based on Solving a Sylvester Equation. IEEE Trans. Image Process. 2015, 24, 4109–4121. [Google Scholar] [CrossRef] [Green Version]
 - Ren, X.; Lu, L.; Chanussot, J. Toward Super-Resolution ImageConstruction Based on Joint Tensor Decomposition. Remote Sens. 2020, 12, 2535. [Google Scholar] [CrossRef]
 - Lu, X.; Yang, D.; Zhang, J.; Jia, F. Hyperspectral Image Super-Resolution Based on Spatial Correlation-Regularized Unmixing Convolutional Neural Network. Remote Sens. 2021, 13, 4074. [Google Scholar] [CrossRef]
 - Zhang, L.; Nie, J.; Wei, W.; Li, Y.; Zhang, Y. Deep Blind Hyperspectral Image Super-Resolution. IEEE Trans. Neural Netw. Learn. Syst. 2021, 32, 2388–2400. [Google Scholar] [CrossRef] [PubMed]
 - Bedini, E.; Van Der Meer, F.; van Ruitenbeek, F. Use of HyMap imaging spectrometer data to map mineralogy in the Rodalquilar caldera, southeast Spain. Int. J. Remote Sens. 2008, 30, 327–348. [Google Scholar] [CrossRef]
 
















| Dataset | Year | Original Sensor | Spectral Range (µm) | Spatial Resolution (m) | Bands | 
|---|---|---|---|---|---|
| Pavia University | 2003 | ROSIS-3 | 0.43–0.84 | 1.3 | 103 | 
| Chikusei | 2014 | Hyperspec | 0.36–1.02 | 2.5 | 128 | 
| HyMap Rodalquilar | 2003 | HyMap | 0.4–2.5 | 10 | 167 | 
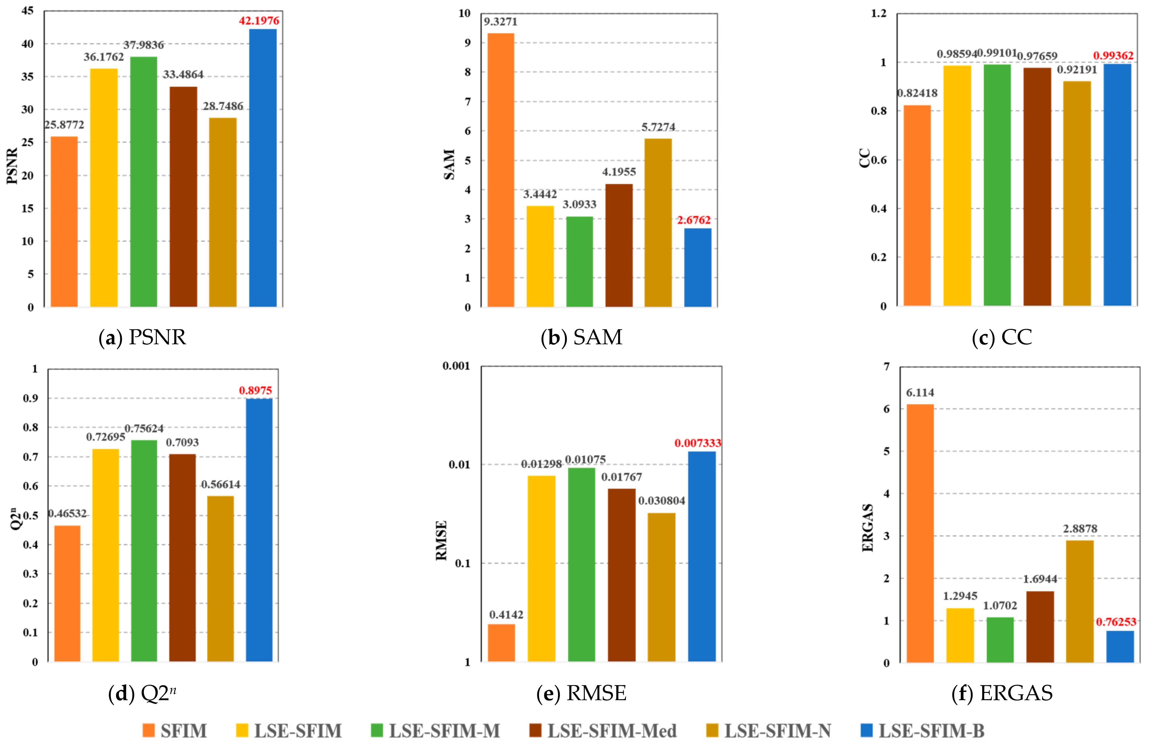
| Evaluation Index | SFIM | LSE-SFIM | LSE-SFIM-M | LSE-SFIM-Med | LSE-SFIM-N | LSE-SFIM-B | 
|---|---|---|---|---|---|---|
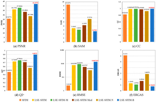
| PSNR | 25.8772 | 36.1762 | 37.9836 | 33.4864 | 28.7486 | 42.1976 | 
| SAM | 9.3271 | 3.4442 | 3.0933 | 4.1955 | 5.7274 | 2.6762 | 
| CC | 0.82418 | 0.98594 | 0.99101 | 0.97659 | 0.92191 | 0.99362 | 
| Q2n | 0.46532 | 0.72695 | 0.75624 | 0.7093 | 0.56614 | 0.8975 | 
| RMSE | 0.4142 | 0.01298 | 0.01075 | 0.01767 | 0.030804 | 0.007333 | 
| ERGAS | 6.1140 | 1.2945 | 1.0702 | 1.6944 | 2.8878 | 0.76253 | 
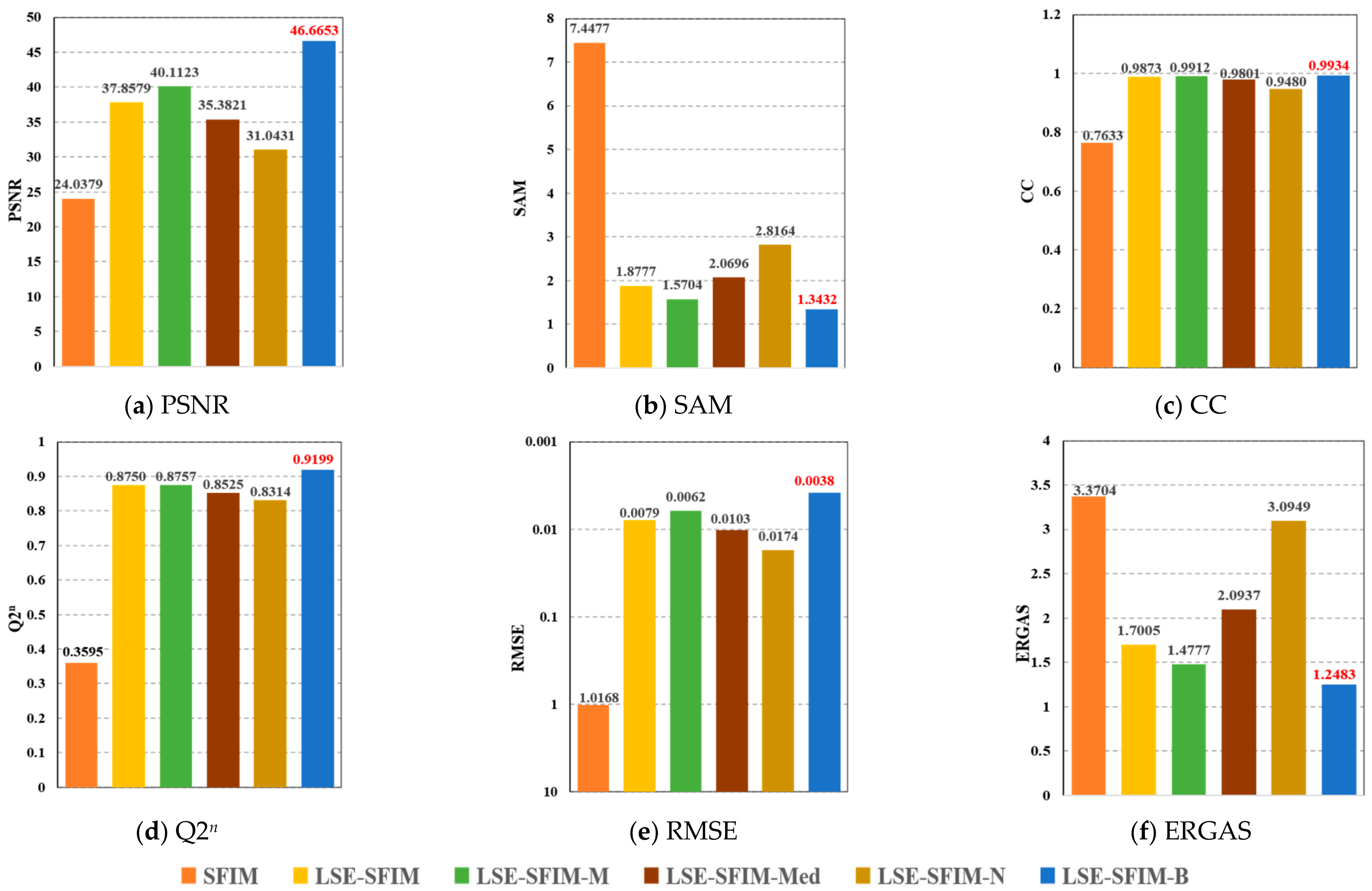
| Evaluation Index | SFIM | LSE-SFIM | LSE-SFIM-M | LSE-SFIM-Med | LSE-SFIM-N | LSE-SFIM-B | 
|---|---|---|---|---|---|---|
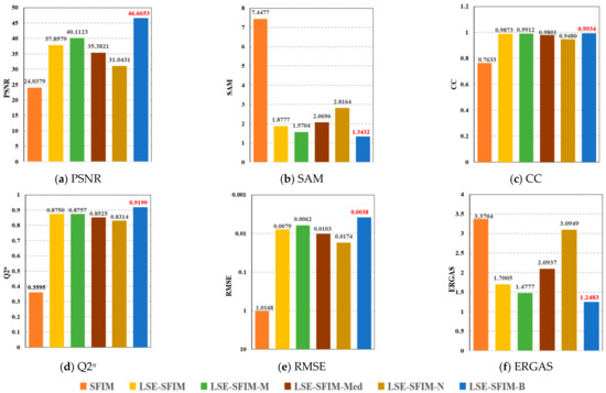
| PSNR | 24.0379 | 37.8579 | 40.1123 | 35.3821 | 31.0431 | 46.6653 | 
| SAM | 7.4477 | 1.8777 | 1.5704 | 2.0696 | 2.8164 | 1.3432 | 
| CC | 0.76329 | 0.9873 | 0.99117 | 0.98013 | 0.94795 | 0.99341 | 
| Q2n | 0.35951 | 0.87498 | 0.87572 | 0.85253 | 0.83137 | 0.91992 | 
| RMSE | 0.4142 | 0.0078549 | 0.0061514 | 0.010291 | 0.017394 | 0.0037586 | 
| ERGAS | 6.1140 | 1.7005 | 1.4777 | 2.0937 | 3.0949 | 1.2483 | 
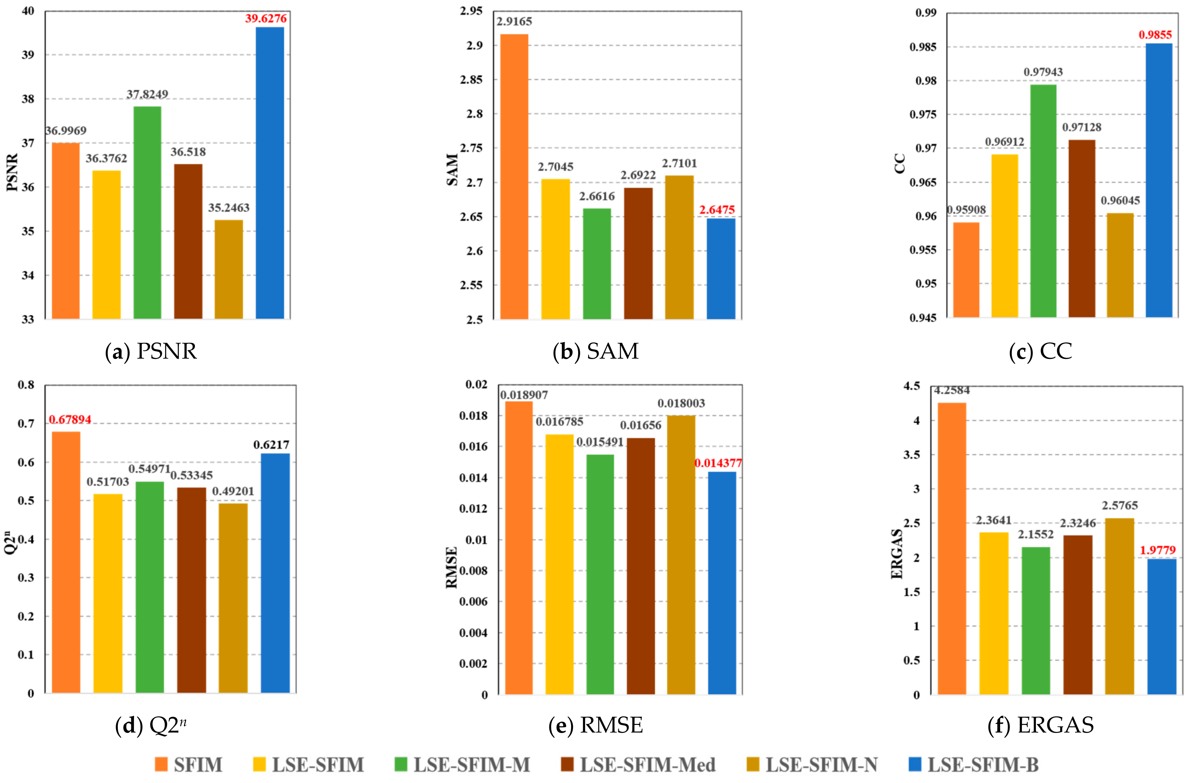
| Evaluation Index | SFIM | LSE-SFIM | LSE-SFIM-M | LSE-SFIM-Med | LSE-SFIM-N | LSE-SFIM-B | 
|---|---|---|---|---|---|---|
| PSNR | 36.9969 | 36.3762 | 37.8249 | 36.518 | 35.2463 | 39.6276 | 
| SAM | 2.9165 | 2.7045 | 2.6616 | 2.6922 | 2.7101 | 2.6475 | 
| CC | 0.95908 | 0.96912 | 0.97943 | 0.97128 | 0.96045 | 0.9855 | 
| Q2n | 0.67894 | 0.51703 | 0.54971 | 0.53345 | 0.49201 | 0.6217 | 
| RMSE | 0.018907 | 0.016785 | 0.015491 | 0.01656 | 0.018003 | 0.014377 | 
| ERGAS | 4.2584 | 2.3641 | 2.1552 | 2.3246 | 2.5765 | 1.9779 | 
| Indexes/Spatial Scales | 2 | 4 | 8 | 
|---|---|---|---|
| PSNR | 44.1518 | 43.2708 | 42.1976 | 
| SAM | 2.1803 | 2.4104 | 2.6762 | 
| CC | 0.99553 | 0.99458 | 0.99362 | 
| Q2n | 0.93804 | 0.93213 | 0.8975 | 
| RMSE | 0.005912 | 0.006572 | 0.007333 | 
| ERGAS | 2.5732 | 1.4025 | 0.76253 | 
| Evaluation Index | SFIM | LSE-SFIM-B | CNMF | HySure | FUSE | 
|---|---|---|---|---|---|
| PSNR | 24.0379 | 46.6653 | 46.1716 | 47.3149 | 45.4159 | 
| SAM | 7.4477 | 1.3432 | 1.2497 | 1.1544 | 1.4699 | 
| CC | 0.76329 | 0.99341 | 0.98988 | 0.99093 | 0.98855 | 
| Q2n | 0.35951 | 0.91992 | 0.9485 | 0.9606 | 0.91975 | 
| RMSE | 0.4142 | 0.0037586 | 0.0035002 | 0.0032553 | 0.0044402 | 
| ERGAS | 6.1140 | 1.2483 | 1.5456 | 1.4725 | 1.6222 | 
| Algorithms | LSE-SFIM-B | CNMF | HySure | FUSE | 
|---|---|---|---|---|
| Computing time/second | 0.77 | 32.36 | 317.43 | 3.00 | 
| speed-up ratio/times | -- | 42.03 | 412.25 | 3.40 | 
Publisher’s Note: MDPI stays neutral with regard to jurisdictional claims in published maps and institutional affiliations.  | 
© 2021 by the authors. Licensee MDPI, Basel, Switzerland. This article is an open access article distributed under the terms and conditions of the Creative Commons Attribution (CC BY) license (https://creativecommons.org/licenses/by/4.0/).
Share and Cite
Wang, Y.; Zhu, Q.; Shi, Y.; Song, M.; Yu, C. A Spatial-Enhanced LSE-SFIM Algorithm for Hyperspectral and Multispectral Images Fusion. Remote Sens. 2021, 13, 4967. https://doi.org/10.3390/rs13244967
Wang Y, Zhu Q, Shi Y, Song M, Yu C. A Spatial-Enhanced LSE-SFIM Algorithm for Hyperspectral and Multispectral Images Fusion. Remote Sensing. 2021; 13(24):4967. https://doi.org/10.3390/rs13244967
Chicago/Turabian StyleWang, Yulei, Qingyu Zhu, Yao Shi, Meiping Song, and Chunyan Yu. 2021. "A Spatial-Enhanced LSE-SFIM Algorithm for Hyperspectral and Multispectral Images Fusion" Remote Sensing 13, no. 24: 4967. https://doi.org/10.3390/rs13244967
APA StyleWang, Y., Zhu, Q., Shi, Y., Song, M., & Yu, C. (2021). A Spatial-Enhanced LSE-SFIM Algorithm for Hyperspectral and Multispectral Images Fusion. Remote Sensing, 13(24), 4967. https://doi.org/10.3390/rs13244967
        
                                                
