Challenges of the Polarimetric Update on Operational Radars in China—Ground Clutter Contamination of Weather Radar Observations
Abstract
1. Introduction
2. Data and Methodology
3. Polarimetric Characteristics of Ground Clutter Contamination and Quantitative Assessment
3.1. Polarimetric Characteristics of Ground Clutter Contamination
3.2. Spatiotemporal Distribution of Ground Clutter Contamination
3.3. Quantitative Description of Ground Clutter Contamination
3.4. Influence of Ground Clutter Contamination under Different Rainfall Intensities
4. Impact of Ground Clutter Contamination on Polarimetric Algorithms
4.1. Performance Uncertainty of the Hydrometeor Classification Algorithm Caused by Ground Clutter Contamination
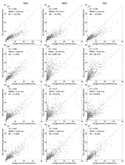
4.2. Extra Error of the Quantitative Precipitation Estimation Algorithm Caused by Ground Clutter Contamination
5. Summary
Author Contributions
Funding
Institutional Review Board Statement
Informed Consent Statement
Data Availability Statement
Conflicts of Interest
References
- Doviak, R.J.; Zrnic, D.S. Doppler Radar and Weather Observations, 2nd ed.; Dover Publications: New York, NY, USA, 1984; p. 592. [Google Scholar]
- Fabry, F. Radar Meteorology: Principles and Practice, 1st ed.; Cambridge University Press: Cambridge, UK, 2015; p. 86. [Google Scholar]
- Siggia, A.; Passarelli, J.R. Gaussian model adaptive processing (GMAP) for improved ground clutter cancellation and moment calculation. In Proceedings of the Third European Conference on Radar in Meteorology and Hydrology, Visby, Gotland, Sweden, 6–10 September 2004; pp. 67–73. [Google Scholar]
- Hubbert, J.C.; Dixon, M.; Ellis, S.M.; Meymaris, G. Weather radar ground clutter. Part I: Identification, modeling, and simulation. J. Atmos. Ocean. Technol. 2009, 26, 1165–1180. [Google Scholar] [CrossRef]
- Hubbert, J.C.; Dixon, M.; Ellis, S.M. Weather radar ground clutter. Part II: Real-Time identification and filtering. J. Atmos. Ocean. Technol. 2009, 26, 1181–1197. [Google Scholar] [CrossRef]
- Torres, S.M.; Warde, D.A. Ground clutter mitigation for weather radars using the autocorrelation spectral density. J. Atmos. Oceanic Technol. 2014, 31, 2049–2066. [Google Scholar] [CrossRef]
- Li, Y.; Zhang, G.; Doviak, R.J.; Lei, L.; Cao, Q. A new approach to detect ground clutter mixed with weather signals. IEEE Trans. Geosci. Remote Sens. 2013, 51, 2373–2387. [Google Scholar] [CrossRef]
- Golbon-Haghighi, M.-H.; Zhang, G. Detection of ground clutter for dual-polarization weather radar using a novel 3D discri-minant function. J. Atmos. Ocean. Technol. 2019, 36, 1285–1296. [Google Scholar] [CrossRef]
- Junyent, F.; Chandrasekar, V. An examination of precipitation using CSU–CHILL dual-wavelength, dual-polarization radar observations. J. Atmos. Ocean. Technol. 2016, 33, 313–329. [Google Scholar] [CrossRef]
- Gourley, J.J.; Tabary, P.; Chatelet, P. A fuzzy logic algorithm for the separation of precipitating from nonprecipitating echoes using polarimetric radar observations. J. Atmos. Oceanic Technol. 2007, 24, 1439–1451. [Google Scholar] [CrossRef]
- Germann, U.; Galli, G.; Boscacci, M.; Bolliger, M. Radar precipitation measurement in a mountainous region. Q. J. R. Meteorol. Soc. 2006, 132, 1669–1692. [Google Scholar] [CrossRef]
- Gabella, M.; Notarpietro, R. Ground clutter characterization and elimination in mountainous terrain. In Proceedings of the Second European Conference on Radar meteorology, Delft, The Netherlands, 18–22 November 2002; pp. 305–311. [Google Scholar]
- Park, H.; Ryzhkov, A.V.; Zrnic, D.S.; Kim, K.-E. The hydrometeor classification algorithm for the polarimetric WSR-88D: De-scription and application to an MCS. Weather Forecast. 2009, 24, 730–748. [Google Scholar] [CrossRef]
- Elmore, K.L. The NSSL hydrometeor classification algorithm in winter surface precipitation: Evaluation and future development. Weather Forecast. 2011, 26, 756–765. [Google Scholar] [CrossRef]
- Snyder, J.C.; Ryzhkov, A.V. Automated detection of polarimetric tornadic debris signatures using a hydrometeor classification algorithm. J. Appl. Meteor. Climatol. 2015, 54, 1861–1870. [Google Scholar] [CrossRef]
- Lim, S.; Cifelli, R.; Chandrasekar, V.; Matrosov, S.Y. Precipitation Classification and Quantification Using X-Band Du-al-Polarization Weather Radar: Application in the Hydrometeorology Testbed. J. Atmos. Ocean. Technol. 2013, 30, 2108–2120. [Google Scholar] [CrossRef]
- Wang, Y.; Chandrasekar, V. Algorithm for estimation of the specific differential phase. J. Atmos. Oceanic Technol. 2009, 26, 2565–2578. [Google Scholar] [CrossRef]
- Wang, Y.; Zhang, J.; Ryzhkov, A.V.; Tang, L. C-band polarimetric radar QPEs based on specific differential propagation phase for extreme typhoon rainfall. J. Atmos. Oceanic Technol. 2013, 30, 1354–1370. [Google Scholar] [CrossRef]
- Wang, Y.; Cocks, S.; Tang, L.; Ruzhkov, A.; Zhang, P.; Zhang, J.; Howard, K. A prototype quantitative precipitation esti-mation algorithm for operational S-Band polarimetric radar utilizing specific attenuation and specific differential phase. Part I: Algorithm description. J. Hydrometeor. 2019, 20, 985–997. [Google Scholar] [CrossRef]
- Ma, Y.; Chandrasekar, V. A Hierarchical Bayesian Approach for Bias Correction of NEXRAD Dual-Polarization Rainfall Esti-mates: Case Study on Hurricane Irma in Florida. IEEE Geoence Remote Sens. Lett. 2020, 99, 1–5. [Google Scholar]
- Ma, Y.; Chandrasekar, V.; Biswas, S.K. A Bayesian correction approach for improving Dual-frequency Precipitation Radar rainfall rate estimates. J. Meteor. Soc. Jpn. 2020, 98, 511–525. [Google Scholar] [CrossRef]
- Chen, H.; Cifelli, R.; Chandrasekar, V.; Ma, Y. A Flexible Bayesian Approach to Bias Correction of Radar-Derived Precipitation Estimates over Complex Terrain: Model Design and Initial Verification. J. Hydrometeor. 2019, 20, 2367–2382. [Google Scholar] [CrossRef]
- Cifelli, R.; Chandrasekar, V.; Chen, H.; Johnson, L.E. High Resolution Radar Quantitative Precipitation Estimation in the San Francisco Bay Area: Rainfall Monitoring for the Urban Environment. J. Meteorol. Soc. Jpn. 2018, 96A, 141–155. [Google Scholar] [CrossRef]
- Chen, H.; Cifelli, R.; White, A. Improving operational radar rainfall estimates using profiler observations over complex terrain in Northern California. IEEE Trans. Geosci. Remote Sens. 2019, 58, 1821–1832. [Google Scholar] [CrossRef]
- Pulkkinen, S.; Koistinen, J.; Kuitunen, T.; Harri, A.-M. Probabilistic radar-gauge merging by multivariate spatiotemporal tech-niques. J. Hydrol. 2016, 542, 662–678. [Google Scholar] [CrossRef]
- Gou, Y.; Ma, Y.; Chen, H.; Yin, J. Utilization of a C-band polarimetric radar for severe rainfall event analysis in complex terrain over Eastern China. Remote Sens. 2019, 11, 22. [Google Scholar] [CrossRef]
- Chen, H.; Chandrasekar, V. An improved dual-polarization radar rainfall algorithm (DROPS2.0): Application in NASA IFloods field campaign. J. Hydrometeor. 2017, 18, 917–937. [Google Scholar] [CrossRef]
- Pulkkinen, S.; Chandrasekar, V.; Harri, A. Nowcasting of precipitation in the high-resolution Dallas–Fort Worth (DFW) urban radar remote sensing network. IEEE J. Sel. Top. Appl. Earth Obs. Remote Sens. 2018, 11, 2773–2787. [Google Scholar] [CrossRef]
- Pulkkinen, S.; Chandrasekar, V.; Harri, A. Stochastic Spectral Method for Radar-Based Probabilistic Precipitation Nowcasting. J. Atmos. Oceanic Technol. 2019, 36, 971–985. [Google Scholar] [CrossRef]
- Wang, S.D.; Pei, C.; Guo, Z.M.; Shao, N. Evaluations on chinese next generation radars coverage and terrain blockage based on SRTM data. Climatic. Environ. Res. 2011, 16, 459–468. (In Chinese) [Google Scholar]
- Shi, B.L.; Wang, H.Y.; Liu, L.P. Coverage capacity of hail detection for Yunnan Doppler weather radar network. J. Appl. Meteor. Sci. 2018, 29, 270–281. (In Chinese) [Google Scholar]
- Wang, H.Y.; Wang, G.L.; Liu, L.P. Climatological beam propagation conditions for China’s weather radar network. J. Appl. Meteor. 2017, 57, 3–14. [Google Scholar] [CrossRef]
- Ma, Y.; Tang, G.; Long, D.; Yong, B.; Zhong, L.; Wan, W.; Hong, Y. Similarity and error intercomparison of the GPM and its predecessor-TRMM multisatellite precipitation analysis using the best available hourly gauge network over the Tibetan Plateau. Remote Sens. 2016, 8, 569. [Google Scholar] [CrossRef]
- Ma, Y.; Yang, Y.; Han, Z.; Tang, G.; Maguire, L.; Chu, Z.; Hong, Y. Comprehensive evaluation of Ensemble Multi-Satellite Precipitation Dataset using the Dynamic Bayesian Model Averaging scheme over the Tibetan plateau. J. Hydrol. 2018, 556, 634–644. [Google Scholar] [CrossRef]
- Ma, Y.; Hong, Y.; Chen, Y.; Yang, Y.; Tang, G.; Yao, Y.; Long, D.; Li, C.; Han, Z.; Liu, R. Performance of optimally merged multisatellite precipitation products using the dynamic Bayesian model averaging scheme over the Tibetan Plateau. J. Geophys. Res. Atmos. 2018, 123, 814–834. [Google Scholar] [CrossRef]
- Ma, Y.; Lu, M.; Chen, H.; Pan, M.; Hong, Y. Atmospheric moisture transport versus precipitation across the Tibetan Plateau: A mini-review and current challenges. Atmos. Res. 2018, 209, 50–58. [Google Scholar] [CrossRef]
- Chen, H.; Chandrasekar, V.; Tan, H.; Cifelli, R. Rainfall Estimation from Ground Radar and TRMM Precipitation Radar Using Hybrid Deep Neural Networks. Geophys. Res. Lett. 2019, 46, 10669–10678. [Google Scholar] [CrossRef]
- Chen, H.; Chandrasekar, V.; Cifelli, R.; Xie, P. A machine learning system for precipitation estimation using satellite and ground radar network observations. IEEE Trans. Geosci. Remote Sens. 2020, 58, 982–994. [Google Scholar] [CrossRef]
- Luo, Y.; Zhang, R.; Wan, Q.; Wang, B.; Wong, W.K.; Hu, Z.; Jou, B.J.; Lin, Y.; Johnson, R.H.; Chang, C.P.; et al. The Southern China Monsoon Rainfall Experiment (SCMREX). Bull. Am. Meteorol. Soc. 2017, 98, 999–1013. [Google Scholar] [CrossRef]
- Seliga, T.A.; Bringi, V.N. Potential use of radar differential reflectivity measurements at orthogonal polarizations for measuring precipitation. J. Appl. Meteorol. 1976, 15, 69–76. [Google Scholar] [CrossRef]
- Testud, J.; Bouar, E.L.; Obligis, E.; Ali-Mehenni, M. The rain profiling algorithm applied to polarimetric weather radar. J. Atmos. Oceanic Technol. 2000, 17, 332–356. [Google Scholar] [CrossRef]
- Giangrande, S.E.; Ryzhkov, A.V. Estimation of rainfall based on the results of polarimetric echo classification. J. Appl. Meteorol. Climatol. 2008, 47, 2445–2462. [Google Scholar] [CrossRef]
- Chen, H.; Chandrasekar, V. Estimation of light rainfall using Ku-band dual-polarization radar. IEEE Trans. Geosci. Remote Sens. 2015, 53, 5197–5208. [Google Scholar] [CrossRef]
- Cocks, S.; Wang, Y.; Tang, L.; Ryzhkov, A.; Zhang, P.; Zhang, J.; Howard, K. A prototype quantitative precipitation estimation algorithm for operational S-band polarimetric radar utilizing specific attenuation and specific differential phase: Part II–Case study analysis and performance verification. J. Hydrometeorol. 2019, 20, 999–1014. [Google Scholar] [CrossRef]












| ΔZH (dB) | NGC | 1.0–2.0 | 7.5–8.5 | 9.0–10.0 | 27.0–28.0 | 30.5–31.5 | 50.0–51.0 |
|---|---|---|---|---|---|---|---|
| PRA (ZDR) in the MGC region | 0.97 | 0.71 | 0.44 | 0.69 | 0.32 | 0.43 | 0.26 |
| PRA(ρhv) in the MGC region | 0.99 | 0.54 | 0.17 | 0.64 | 0.13 | 0.35 | 0.07 |
| PRA (SDΦ) in the MGC region | 0.98 | 0.54 | 0.38 | 0.38 | 0.14 | 0.11 | 0.01 |
| ρhv | NGC | 0.98–1.00 | 0.90–0.92 | 0.80–0.82 | 0.70–0.72 | 0.60–0.62 | 0.40–0.42 |
| PRA (ZDR) in the SGC region | 0.97 | 0.95 | 0.80 | 0.54 | 0.41 | 0.32 | 0.24 |
| PRA (SDΦ) in the SGC region | 0.98 | 0.76 | 0.55 | 0.43 | 0.34 | 0.25 | 0.12 |
Publisher’s Note: MDPI stays neutral with regard to jurisdictional claims in published maps and institutional affiliations. |
© 2021 by the authors. Licensee MDPI, Basel, Switzerland. This article is an open access article distributed under the terms and conditions of the Creative Commons Attribution (CC BY) license (http://creativecommons.org/licenses/by/4.0/).
Share and Cite
Wu, C.; Liu, L.; Chen, C.; Zhang, C.; He, G.; Li, J. Challenges of the Polarimetric Update on Operational Radars in China—Ground Clutter Contamination of Weather Radar Observations. Remote Sens. 2021, 13, 217. https://doi.org/10.3390/rs13020217
Wu C, Liu L, Chen C, Zhang C, He G, Li J. Challenges of the Polarimetric Update on Operational Radars in China—Ground Clutter Contamination of Weather Radar Observations. Remote Sensing. 2021; 13(2):217. https://doi.org/10.3390/rs13020217
Chicago/Turabian StyleWu, Chong, Liping Liu, Chao Chen, Chian Zhang, Guangxin He, and Juan Li. 2021. "Challenges of the Polarimetric Update on Operational Radars in China—Ground Clutter Contamination of Weather Radar Observations" Remote Sensing 13, no. 2: 217. https://doi.org/10.3390/rs13020217
APA StyleWu, C., Liu, L., Chen, C., Zhang, C., He, G., & Li, J. (2021). Challenges of the Polarimetric Update on Operational Radars in China—Ground Clutter Contamination of Weather Radar Observations. Remote Sensing, 13(2), 217. https://doi.org/10.3390/rs13020217

