Evaluating Stereo Digital Terrain Model Quality at Mars Rover Landing Sites with HRSC, CTX, and HiRISE Images
Abstract
1. Introduction
2. Materials and Methods
2.1. Source Data
2.1.1. Gale Crater
2.1.2. Jezero Crater
2.2. Mapping Methodologies
2.2.1. DLR HRSC Team Pipeline
2.2.2. SOCET SET
2.2.3. Ames Stereo Pipeline
2.2.4. Photoclinometry
2.2.5. Quality Assessment
3. Results
3.1. Comparing Reference and Target DTMs
3.2. Photoclinometry
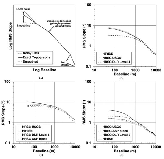
3.3. Slopes as a Function of Baseline
3.4. Qualitative and Semiquantitative Assessments
4. Discussion
5. Conclusions
- A reminder that resolution is not the same as pixel size (GSD) is always in order. The distinction is even more important for DTMs than for images.
- Those who design cameras and investigations to address scientific questions should be aware of not only the ranges of resolution and precision that can be expected for DTMs made from stereopairs of a given GSD, but the combinations of resolution and precision that are achievable simultaneously. The value of 4–5 pixels squared for the product of DTM resolution and matching error is a useful rule of thumb.
- For producers of stereo DTMs, 3–5 image pixels is still a good rule of thumb for selecting the post spacing. Our results indicate that following this guideline is almost certain to oversample the data.
- Because our investigation showed only fractional differences in the combined figure of merit (the product of resolution and error) among several matching approaches, stereo DTM producers may want to concentrate on achieving their desired tradeoff between resolution and error rather than searching for the matcher that produces the best product of the two. Additional research is nevertheless needed into developing and improving matching algorithms or into assessing the resolution, error, and the product of these for additional types of matchers.
- Multiple approaches to smoothing the output of the NGATE matcher gave nearly identical results. We recommend that SOCET SET/GXP users use either an AATE pass or a 5 × 5 lowpass boxcar filter, either of which yields near-optimal resolution-error product and resolution-slope accuracy tradeoff. Although greater smoothing may be desired for some applications, this can easily be applied after the fact.
- For ASP users, block matching with a 13 pixel subpixel refinement kernel is recommended as likely to be near-optimal. The normalized cross-correlation kernel needs to be “big enough” to minimize blunders. The minimum acceptable NCC kernel size likely depends on details of the images used, so some experimentation with this parameter may be needed. The SGM/MGM algorithms did not offer significant advantages over block matching for our images, but they might in other situations. In particular, using these methods with the ternary census model (cost mode 4) did result in the lowest errors on the Jezero crater floor and might be preferred for mapping very smooth terrains.
- Including the HRSC nadir channel image improved DTM resolution and precision in SOCET SET but not to a significant degree in ASP. Nevertheless, we recommend using all three images even in ASP because doing so reduced the occurrence of interpolated holes in the matching point cloud. Computing the intersection of more than two image rays has been found to have beneficial effects on both reducing and estimating (through the intersection error map) DTM errors in the HRSC stereo pipeline at DLR [21]. The ASP manual [33] states that the multi-view intersection capability “somewhat experimental, and not used widely. We have obtained higher quality results by doing pairwise stereo and merging the result ….” It may therefore be appropriate to reexamine the performance of ASP with multiple images when the multi-view capability has matured.
- Photoclinometry should be considered as a viable method for improving DTMs beyond the resolution and error achievable by stereo matching alone. DTMs produced ab initio by photoclinometry (i.e., not starting with a stereo product) formed an important component of Mars landing site selection before the availability of HiRISE images for this reason [27,32]. For single-image photoclinometry [39] to be useful, the image should not contain albedo variations visible to the eye. Albedo variations at scales resolved by the stereo DTM can be corrected by straightforward image processing [10,11]. The true resolution of the DTM provides a guide to how many iterations should be performed before stopping the photoclinometry algorithm. The stopping point should in the range of 2–4-fold the ratio of the DTM resolution to the GSD of the image being processed. Because we tested the use of photoclinometry by using an orthoimage at the same pixel spacing as the stereo DTM, we used the GSD of the DTM (and our orthoimage) in this calculation. If an orthoimage with a smaller GSD (e.g., matching the raw image) is used, more iterations would be needed.
- Users of DTMs produced in SOCET SET should be especially careful in interpreting DTM resolution estimates, which at best are averages over complex behavior. The DTMs can be expected to contain bumps and hollows at a range of sizes larger and smaller than the resolution estimated by comparison to a reference DTM (if one is available), and these will be a mixture of real features and artifacts. Estimating resolution based on the appearance of DTM or shaded relief is difficult. Resolution and precision will vary within a given DTM as a function of surface slopes, and depend on the smoothing applied when the DTM was produced. If the smoothing recommended above (AATE or 5 × 5 lowpass filter) was used, slopes are likely to be within a few degrees of the correct value at all baselines. If avoiding misinterpreting small artifacts as surface features is more important than slope accuracy, users should smooth DTMs with a lowpass filter before use.
Future Work
Author Contributions
Funding
Data Availability Statement
Acknowledgments
Conflicts of Interest
References
- Heipke, C.; Oberst, J.; Albertz, J.; Attwenger, M.; Dorninger, P.; Dorrer, E.; Ewe, M.; Gehrke, S.; Gwinner, K.; Hirschmüller, H.; et al. Evaluating planetary digital terrain models—The HRSC DTM test. Planet. Space Sci. 2007, 55, 2173–2191. [Google Scholar] [CrossRef]
- Smith, D.E.; Zuber, M.T.; Frey, H.V.; Garvin, J.B.; Head, J.W.; Muhleman, D.O.; Pettengill, G.H.; Phillips, R.J.; Solomon, S.C.; Zwally, H.J.; et al. Mars Orbiter Laser Altimeter: Experiment summary after the first year of global mapping of Mars. J. Geophys. Res. 2001, 106, 23689–23722. [Google Scholar] [CrossRef]
- Neukum, G.; Jaumann, R. HRSC: The High Resolution Stereo Camera of Mars Express. In Mars Express: The Scientific Payload (ESA SP-1240); ESA Publications Division, ESTEC: Noordwijk, The Netherlands, 2004; pp. 17–35. [Google Scholar]
- Craft, K.L.; Barnouin, O.S.; Gaskell, R.; Palmer, E.; Weirich, J.; Perry, M.; Bierhaus, B.; Norman, C.; Huish, D.; Olds, R.; et al. Assessing stereophotoclinometry by modeling a physical wall representing asteroid Bennu. Planet. Space Sci. 2020, 193, 105077. [Google Scholar] [CrossRef]
- Kirk, R.L.; Howington-Kraus, E.; Hare, T.M.; Jorda, L. The effect of illumination on stereo DTM quality: Simulations in support of Europa exploration. ISPRS Ann. Photogramm. Remote Sens. Spat. Inf. Sci. 2016, III-4, 103–110. [Google Scholar] [CrossRef]
- McEwen, A.S.; Eliason, E.M.; Bergstrom, J.W.; Bridges, N.T.; Hansen, C.J.; Delamere, W.A.; Grant, J.A.; Gulick, V.C.; Herkenhoff, K.E.; Keszthelyi, L.; et al. Mars Reconnaissance Orbiter’s High Resolution Imaging Science Experiment (HiRISE). J. Geophys. Res. 2007, 112. [Google Scholar] [CrossRef]
- Malin, M.C.; Bell, J.F.; Cantor, B.A.; Caplinger, M.A.; Calvin, W.M.; Clancy, R.T.; Edgett, K.S.; Edwards, L.; Haberle, R.M.; James, P.B.; et al. Context Camera Investigation on board the Mars Reconnaissance Orbiter. J. Geophys. Res. 2007, 112. [Google Scholar] [CrossRef]
- Golombek, M.; Grant, J.; Kipp, D.; Vasavada, A.; Kirk, R.L.; Fergason, R.; Bellutta, P.; Calef, F.; Larsen, K.; Katayama, Y.; et al. Selection of the Mars Science Laboratory Landing Site. Space Sci. Rev. 2012, 170, 641–737. [Google Scholar] [CrossRef]
- Kirk, R.L.; Howington-Kraus, E.; Galuszka, D.; Redding, B.; Antonsen, J.; Coker, K.; Foster, E.; Hopkins, M.; Licht, A.; Fennema, A.; et al. Near-complete 1-m topographic models of the MSL candidate landing sites: Site safety and quality evaluation. Eur. Planet. Sci. Conf. 2011, 6, EPSC-DPS2011–1465. [Google Scholar]
- Kirk, R.L.; Howington-Kraus, E.; Edmundson, K.; Redding, B.; Galuszka, D.; Hare, T.; Gwinner, K. Community tools for cartographic and photogrammetric processing of Mars Express HRSC images. Int. Arch. Photogramm. Remote Sens. Spat. Inf. Sci. 2017, 42, 69–76. [Google Scholar] [CrossRef]
- Kirk, R.L.; Howington-Kraus, E.; Edmundson, K.; Redding, B.; Galszka, D.; Gwinner, K. Community tools for cartographic and photogrammetric processing of Mars Express HRSC images. In Planetary Remote Sensing and Mapping; Wu, B., Di, K., Oberst, J., Karachevtseva, I.P., Eds.; Taylor & Francis: Abingdon, UK, 2018; pp. 107–124. [Google Scholar]
- Fergason, R.L.; Hare, T.M.; Mayer, D.P.; Galuszka, D.M.; Redding, B.L.; Cheng, Y.; Otero, R.E. Mars 2020 Terrain Relative Navigation support: Digital terrain model generation and mosaicking process improvement. In Proceedings of the 4th Planetary Data Workshop, Flagstaff, AZ, USA, 18–20 June 2019; LPI Contribution 2151. p. 7047. [Google Scholar]
- Fergason, R.L.; Hare, T.M.; Mayer, D.P.; Galuszka, D.M.; Redding, B.L.; Smith, E.D.; Shinaman, J.R.; Cheng, Y.; Otero, R.E. Mars 2020 Terrain Relative Navigation flight product generation: Digital terrain model and orthorectified image mosaic. Lunar Planet. Sci. 2020, 51, 2020. [Google Scholar]
- Kirk, R.L.; Fergason, R.L.; Redding, B.; Galuszka, D.; Smith, E.; Mayer, D.; Hare, T.M.; Gwinner, K. Evaluating stereo DTM quality at Jezero crater, Mars with HRSC, CTX, and HIRISE images. Int. Arch. Photogramm. Remote Sens. Spat. Inf. Sci. 2020, 43, 1129–1136. [Google Scholar] [CrossRef]
- Kirk, R.L.; Mayer, D.; Redding, B.L.; Galuszka, D.M.; Fergason, R.L.; Hare, T.M.; Gwinner, K. Further adventures in Mars DTM quality: Smoothing errors, sharpening details. Int. Arch. Photogramm. Remote Sens. Spat. Inf. Sci. 2021, 43, 659–666. [Google Scholar] [CrossRef]
- Beyer, R.A.; Alexandrov, O.; McMichael, S. The Ames Stereo Pipeline: NASA’s open source software for deriving and processing terrain data. Earth Space Sci. 2018, 5, 537–548. [Google Scholar] [CrossRef]
- Gwinner, K.; Oberst, J.; Jaumann, R.; Neukum, G. Regional HRSC multi-orbit digital terrain models for the Mars Science Laboratory candidate landing sites. Lunar Planet. Sci. 2010, 41, 2727. [Google Scholar]
- Gwinner, K.; Jaumann, R.; Hauber, E.; Hoffmann, H.; Heipke, C.; Oberst, J.; Neukum, G.; Ansan, V.; Bostelmann, J.; Dumke, A.; et al. The High Resolution Stereo Camera (HRSC) of Mars Express and its approach to science analysis and mapping for Mars and its satellites. Planet. Space Sci. 2016, 126, 93–138. [Google Scholar] [CrossRef]
- Kersten, E.; Gwinner, K.; Michael, G.; Dumke, A.; Jaumann, R. Topographic mapping of the Mars MC quadrangles using HRSC data. EGU Gen. Assem. 2021, 23, EGU21–2745. [Google Scholar]
- Gwinner, K.; Scholten, F.; Preusker, F.; Elgner, S.; Roatsch, T.; Spiegel, M.; Schmidt, R.; Oberst, J.; Jaumann, R.; Heipke, C. Topography of Mars from global mapping by HRSC high-resolution digital terrain models and orthoimages: Characteristics and performance. Earth Planet. Sci. Lett. 2010, 294, 506–519. [Google Scholar] [CrossRef]
- Gwinner, K.; Scholten, F.; Spiegel, M.; Schmidt, R.; Giese, B.; Oberst, J.; Heipke, C.; Jauman, R.; Neukum, G. Derivation and validation of high-resolution digital terrain models from Mars Express HRSC-data. Photogramm. Eng. Remote Sens. 2009, 75, 1127–1142. [Google Scholar] [CrossRef]
- Sides, S.C.; Becker, T.L.; Becker, K.J.; Edmundson, K.L.; Backer, J.W.; Wilson, T.J.; Weller, L.A.; Humphrey, I.R.; Berry, K.L.; Shepherd, M.R.; et al. The USGS Integrated Software for Imagers and Spectrometers (ISIS 3) instrumentsupport, new capabilities, and releases. Lunar Planet. Sci. 2017, 48, 2739. [Google Scholar]
- USGS-Astrogeology/ISIS3. Available online: https://github.com/USGS-Astrogeology/ISIS3 (accessed on 1 July 2021).
- Miller, S.B.; Walker, A.S. Further developments of Leica digital photogrammetric systems by Helava. ACSM/ASPRS Annu. Conv. Expo. Tech. Pap. 1993, 3, 256–263. [Google Scholar]
- Miller, S.B.; Walker, A.S. Die Entwicklung der digitalen photogrammetrischen Systeme von Leica und Helava. Z. Photogramm. Fernerkund. 1995, 63, 4–16. [Google Scholar]
- USGS-Astrogeology/Socet_Set. Available online: https://github.com/USGS-Astrogeology/socet_set (accessed on 1 July 2021).
- Kirk, R.L.; Howington-Kraus, E.; Rosiek, M.R.; Anderson, J.A.; Archinal, B.A.; Becker, K.J.; Cook, D.A.; Galuszka, D.M.; Geissler, P.E.; Hare, T.M.; et al. Ultrahigh resolution topographic mapping of Mars with MRO HiRISE stereo images: Meter-scale slopes of candidate Phoenix landing sites. J. Geophys. Res. 2008, 113. [Google Scholar] [CrossRef]
- Zhang, B. Towards a higher level of automation in softcopy photogrammetry: NGATE and LIDAR processing in SOCET SET. In Proceedings of the Geocue Corporation 2nd Annual Technical Exchange Conference, Nashville, TN, USA, 26–27 September 2006. [Google Scholar]
- Zhang, B.; Miller, S.B.; DeVenecia, K.; Walker, A.S. Automatic terrain extraction using multiple image pair and back matching. In Proceedings of the ASPRS 2006 Annual Conference, Reno, NV, USA, 1–5 May 2006. [Google Scholar]
- Zhang, B.; Miller, S.B. Adaptive Automatic Terrain Extraction. In Proceedings of the SPIE 3072, Integrating Photogrammetric Techniques with Scene Analysis and Machine Vision III, Orlando, FL, USA, 21–25 April 1997; pp. 27–36. [Google Scholar] [CrossRef]
- Mayer, D.P. An Improved Workflow for Producing Digital Terrain Models of Mars from CTX Stereo Data Using the NASA Ames Stereo Pipeline. Lunar Planet. Sci. 2018, 49, 1604. [Google Scholar]
- Kirk, R.L.; Howington-Kraus, E.; Redding, B.; Galuszka, D.; Hare, T.M.; Archinal, B.A.; Soderblom, L.A.; Barrett, J.M. High-resolution topomapping of candidate MER landing sites with Mars Orbiter Camera narrow-angle images. J. Geophys. Res. 2003, 108, 8088. [Google Scholar] [CrossRef]
- Beyer, R.; Alexandrov, O.; Scott, M.; Broxton, M.; Lundy, M.; Husmann, K.; Edwards, L.; Nefian, A.; Smith, B.; Shean, D.; et al. NeoGeographyToolkit/StereoPipeline 2.7.0. 2020. Available online: https://zenodo.org/record/3963341#.YTW1398RVPZ (accessed on 3 September 2021). [CrossRef]
- Hirschmüller, H. Stereo processing by semiglobal matching and mutual information. IEEE Trans. Pattern Anal. Mach. Intell. 2008, 30, 328–341. [Google Scholar] [CrossRef] [PubMed]
- Hirschmüller, H.; Meyer, H.; Neukum, G. Stereo processing of HRSC Mars Express images by semi-global matching. Int. Arch. Photogramm. Remote Sens. Spat. Inf. Sci. 2006, 36, 305–310. [Google Scholar]
- Facciolo, G.; De Franchis, C.; Meinhard, E. A significantly more global matching for stereovision. In Proceedings of the British Machine Vision Conf. (BMVC); BMVA Press: London, UK, 2015; pp. 90–101. [Google Scholar]
- Zabih, R.; Woodfill, J. Non-parametric local transforms for computing visual correspondence. In Computer Vision—ECCV ’94; Eklundh, J.O., Ed.; Lecture Notes in Computer Science; Springer: Berlin/Heidelberg, Germany, 1994; Volume 801, pp. 151–158. [Google Scholar] [CrossRef]
- Hua, H.; Chen, C.; Wu, B.; Yang, X.; Zhu, Q.; DIng, Y. Texture-aware dense image matching using ternary census transform. ISPRS Ann. Photogramm. Remote Sens. Spat. Inf. Sci. 2016, III-4, 59–66. [Google Scholar] [CrossRef]
- Kirk, R.L.; Barrett, J.M.; Soderblom, L.A. Photoclinometry made simple…? In Proceedings of the ISPRS Working Group IV/9 Workshop “Advances in Planetary Mapping 2003”, Houston, TX, USA, 22 March 2003; Available online: https://astropedia.astrogeology.usgs.gov/download/Research/ISPRS/Kirk_isprs_mar03.pdf (accessed on 1 September 2021).
- Kirk, R.L.; Howington-Kraus, E.; Galuszka, D.; Redding, B.; Hare, T.M. Topomapping of Mars with HRSC images, ISIS, and a commercial stereo workstation. Int. Arch. Photogramm. Remote Sens. Spat. Inf. Sci. 2006, XXXVI-4, 487. [Google Scholar]
- Becker, K.J.; Archinal, B.A.; Hare, T.H.; Kirk, R.L.; Howington-Kraus, E.; Robinson, M.S.; Rosiek, M.R. Criteria for automated identification of stereo image pairs. Lunar Planet. Sci. 2015, 46, 2703. [Google Scholar]
- Golombek, M.; Grant, J.; Parker, T.; Kass, D.; Crisp, J.; Squyres, S.; Adler, M.; Haldemann, A.; Carr, M.; Arvidson, R.; et al. Mars Exploration Rover Landing Site Selection. J. Geophys. Res. 2003, 108, 8072. [Google Scholar] [CrossRef]
- Prasad, A.; Adrian, R.; Landreth, C.; Offutt, P. Effect of resolution on the speed and accuracy of particle image velocimetry interrogation. Exp. Fluids 1992, 13, 105–116. [Google Scholar] [CrossRef]
- Bland, M.T.; Galuszka, D.; Mayer, D.P.; Beyer, R.A.; Kirk, R.L.; Schenk, P.M.; Fergason, R.L. How well do we know Europa’s topography? Assessing variability in digital terrain models. Lunar Planet. Sci. 2018, 49, 2193. [Google Scholar]
- Cook, A.C.; Oberst, J.; Roatsch, T.; Jaumann, R.; Acton, C. Clementine imagery: Selenographic coverage for cartographic and scientific use. Planet. Space Sci. 1996, 44, 1135–1148. [Google Scholar] [CrossRef]
- Kirk, R.L.; Howington-Kraus, E.; Hare, T.; Dorrer, E.; Cook, D.; Becker, K.; Thompson, K.; Redding, B.; Blue, J.; Galuszka, D.; et al. Digital photogrammetric analysis of the IMP camera images: Mapping the Mars Pathfinder landing site in three dimensions. J. Geophys. Res. 1999, 104, 8868–8888. [Google Scholar] [CrossRef][Green Version]
- Wolf, P.R.; Johnson, S.D.; Keating, T.J.; Kerr, W.E.; Mezera, D.F.; Pimentel, L.P.; Sieker, F.A. Definitions of terms and symbols used in photogrammetry. In Manual of Photogrammetry, 4th ed.; Slama, C.C., Theurer, C., Henriksen, S.W., Eds.; American Society of Photogrammetry: Falls Church, VA, USA, 1980; pp. 995–1048. [Google Scholar]
- Zhang, B. Automatic Spatial Modeler (ASM): Elevation by Innovation. BAE Systems White Paper. Available online: https://www.geospatialexploitationproducts.com/wp-content/uploads/2019/06/sgxp_automatic-spatial-modeler.pdf (accessed on 1 July 2021).
- Tao, Y.; Muller, J.-P.; Sidiropoulos, P.; Xiong, S.-T.; Putri, A.R.D.; Walter, S.H.G.; Veitch-Michaelis, J.; Yershov, V. Massive stereo-based DTM production for Mars on cloud computers. Planet. Space Sci. 2018, 154, 30–58. [Google Scholar] [CrossRef]
- Shin, D.; Muller, J.-P. Progressively weighted affine adaptive correlation matching for quasi-dense 3D reconstruction. Pattern Recogn. 2012, 45, 3795–3809. [Google Scholar] [CrossRef]
- Robinson, M.S.; Brylow, S.M.; Tschimmel, M.; Humm, D.; Lawrence, S.J.; Thomas, P.C.; Denevi, B.W.; Bowman-Cisneros, E.; Zerr, J.; Ravine, M.A.; et al. Lunar Reconnaissance Orbiter Camera (LROC) instrument overview. Space Sci. Rev. 2010, 150, 81–124. [Google Scholar] [CrossRef]
- Henriksen, M.R.; Manheim, M.R.; Robinson, M.S. LROC NAC Digital Terrain Models: Production and availability. In Proceedings of the Lunar Surace Science Workshop, virtual meeting, 28–29 May 2020; LPI Contribution 2241. p. 5084. [Google Scholar]
- Turtle, E.P.; McEwen, A.S.; Collins, G.C.; Daubar, I.J.; Ernst, C.M.; Fletcher, L.; Hansen, C.J.; Hawkins, S.E.; Hayes, A.G.; Humm, D.; et al. The Europa Imaging System (EIS): High-resolution, 3-D insight into Europa’s geology, iceshell, and potential for current activity. Lunar Planet. Sci. 2019, 50, 3065. [Google Scholar]
- Alexandrov, O.; Beyer, R.A. Multiview shape-from-shading for planetary images. Earth Space Sci. 2018, 5, 652–666. [Google Scholar] [CrossRef]















| Site | Data | Image GSD (m/pixel) | Processing | DTM GSD (m/post) | Best-Fit Filter Width (DTM Posts) | Best-Fit Filter Width (m) | RMS Vertical Error (EP, m) | Best-Fit Filter Width (Pixels) | RMS Matching Error (ρ, Pixels) |
|---|---|---|---|---|---|---|---|---|---|
| Gale (Aeolis Mons) | HRSC | 32.4 | DLR Lev 4 | 50 | 14.0 | 699 | 11.3 | 21.6 | 0.239 |
| USGS | 50 | 6.88 | 344 | 13.2 | 10.6 | 0.281 | |||
| Jezero | HRSC | 26.9 | DLR Lev 5 | 50 | 11.3 | 563 | 9.48 | 20.9 | 0.242 |
| USGS | 50 | 7.18 | 359 | 12.8 | 13.5 | 0.326 | |||
| CTX | 5.72 | USGS | 20 | 5.26 | 105 | 3.55 | 18.4 | 0.266 |
Dataset | Parameter | East | Region All | West | d log Param d log Slope |
|---|---|---|---|---|---|
| HiRISE 50 m | RMS slope | 3.38 | 7.09 | 11.29 | |
| Resolution | 20.58 | 20.92 | 20.84 | 0.010 | |
| HRSC DLR | Match error | 0.229 | 0.242 | 0.255 | 0.090 |
| Product | 4.71 | 5.06 | 5.32 | 0.100 | |
| Resolution | 16.20 | 11.34 | 13.30 | −0.299 | |
| HRSC USGS | Match error | 0.289 | 0.326 | 0.395 | 0.261 |
| Product | 4.68 | 4.35 | 4.47 | −0.038 | |
| HiRISE 20 m | RMS slope | 3.95 | 7.40 | 11.30 | |
| Resolution | 18.34 | 18.40 | 18.46 | 0.006 | |
| CTX | Match error | 0.201 | 0.266 | 0.345 | 0.515 |
| Product | 3.68 | 4.89 | 6.37 | 0.522 |
| Method | Images | Resolution | Match Error | Product |
|---|---|---|---|---|
| USGS NGATE + AATE | Pair | 15.99 | 0.3623 | 5.795 |
| Triplet | 13.34 | 0.3264 | 4.354 | |
| Ratio | 0.83 | 0.9000 | 0.750 | |
| ASP Block (orthos at stereo GSD) | Pair | 18.10 | 0.2630 | 4.760 |
| Triplet | 18.14 | 0.2537 | 4.601 | |
| Ratio | 1.00 | 0.9600 | 0.970 | |
| ASP Block (orthos at nadir GSD) | Pair | 15.88 | 0.3355 | 5.327 |
| Triplet | 15.38 | 0.3183 | 4.896 | |
| Ratio | 0.97 | 0.9500 | 0.920 |
| DTM | RMS Elevation Difference (m) | Correlation Coefficient | Resolution (m) | RMS Vertical Error (EP, m) | EP/RMS Difference |
|---|---|---|---|---|---|
| DLR Level 5 | 8.76 | 0.568 | 563 | 9.48 | 1.08 |
| NGATE 11x11 LPF | 550 | 9.37 | 1.07 | ||
| ASP Block matcher | 9.31 | 0.576 | 488 | 9.94 | 1.07 |
| NGATE 9 × 9 LPF | 470 | 10.27 | 1.10 | ||
| ASP MGM cost 4 | 11.28 | 0.372 | 549 | 9.12 | 0.81 |
| NGATE 9 × 9 LPF | 470 | 10.27 | 0.91 |
| Normalized Resolution * Error | |||
|---|---|---|---|
| Method | East (Smooth) | Full Area | West (Rough) |
| NGATE+5 × 5 LPF | 1.02 | 1.00 | 1.00 |
| NGATE+AATE (“USGS” processing) | 1.12 | 1.04 | 1.00 |
| NGATE | 1.19 | 1.08 | 1.02 |
| ASP Block, Bayes affine SP (27 m orthos) | 1.10 | 1.10 | 1.19 |
| ASP MGM, cost mode 4 | 1.02 | 1.14 | 1.31 |
| ASP Block, Bayes affine SP (13 m orthos) | 1.24 | 1.18 | 1.21 |
| ASP MGM, cost mode 3 | 1.23 | 1.21 | 1.20 |
| DLR Level 5 | 1.13 | 1.21 | 1.28 |
| ASP, interpolated SP | 1.20 | 1.24 | 1.30 |
| ASP Block, Bayes affine SP (13 m orthos, pair) | 1.36 | 1.28 | 1.31 |
| NGATE+AATE (pair) | 1.33 | 1.39 | 1.46 |
| ASP Block, no SP | 1.12 | 1.43 | 1.50 |
Publisher’s Note: MDPI stays neutral with regard to jurisdictional claims in published maps and institutional affiliations. |
© 2021 by the authors. Licensee MDPI, Basel, Switzerland. This article is an open access article distributed under the terms and conditions of the Creative Commons Attribution (CC BY) license (https://creativecommons.org/licenses/by/4.0/).
Share and Cite
Kirk, R.L.; Mayer, D.P.; Fergason, R.L.; Redding, B.L.; Galuszka, D.M.; Hare, T.M.; Gwinner, K. Evaluating Stereo Digital Terrain Model Quality at Mars Rover Landing Sites with HRSC, CTX, and HiRISE Images. Remote Sens. 2021, 13, 3511. https://doi.org/10.3390/rs13173511
Kirk RL, Mayer DP, Fergason RL, Redding BL, Galuszka DM, Hare TM, Gwinner K. Evaluating Stereo Digital Terrain Model Quality at Mars Rover Landing Sites with HRSC, CTX, and HiRISE Images. Remote Sensing. 2021; 13(17):3511. https://doi.org/10.3390/rs13173511
Chicago/Turabian StyleKirk, Randolph L., David P. Mayer, Robin L. Fergason, Bonnie L. Redding, Donna M. Galuszka, Trent M. Hare, and Klaus Gwinner. 2021. "Evaluating Stereo Digital Terrain Model Quality at Mars Rover Landing Sites with HRSC, CTX, and HiRISE Images" Remote Sensing 13, no. 17: 3511. https://doi.org/10.3390/rs13173511
APA StyleKirk, R. L., Mayer, D. P., Fergason, R. L., Redding, B. L., Galuszka, D. M., Hare, T. M., & Gwinner, K. (2021). Evaluating Stereo Digital Terrain Model Quality at Mars Rover Landing Sites with HRSC, CTX, and HiRISE Images. Remote Sensing, 13(17), 3511. https://doi.org/10.3390/rs13173511

