Relationship between TIR and NIR-SWIR as Indicator of Vegetation Water Availability
Abstract
:1. Introduction
2. Materials and Methods
2.1. Study Area
2.2. Field Data
2.2.1. Leaf and Canopy Spectral/Thermal Measurements
2.2.2. Vegetation Water Content
2.2.3. Soil Moisture
2.3. Relationship between NIR-SWIR/LST in 2D Space from Satellite Data
3. Results and Discussion
3.1. Relationship between NIR-SWIR, LST and Leaf Water Content at Field Scale
3.2. Parameters and Spatial Variability of TIDI
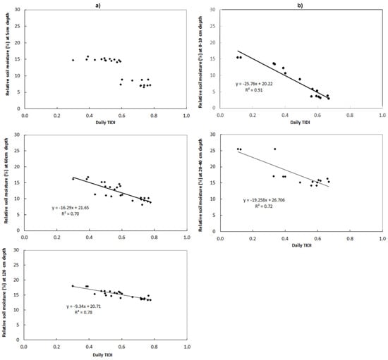
3.3. The TIDI Sensitivity with Soil Moisture
4. Conclusions
Author Contributions
Funding
Institutional Review Board Statement
Informed Consent Statement
Data Availability Statement
Acknowledgments
Conflicts of Interest
References
- Bolton, D.K.; Friedl, M.A. Forecasting crop yield using remotely sensed vegetation indices and crop phenology metrics. Agric. For. Meteorol. 2013, 173, 74–84. [Google Scholar] [CrossRef]
- Pasqualotto, N.; Delegido, J.; Van Wittenberghe, S.; Verrelst, J.; Rivera, J.P.; Moreno, J. Retrieval of canopy water content of different crop types with two new hyperspectral indices: Water absorption area index and depth water index. Int. J. Appl. Earth Obs. Geoinf. 2018, 67, 69–78. [Google Scholar] [CrossRef]
- Zhang, C.; Liu, J.; Shang, J.; Cai, H. Capability of crop water content for revealing variability of winter wheat grain yield and soil moisture under limited irrigation. Sci. Total Environ. 2018, 631–632, 677–687. [Google Scholar] [CrossRef]
- Roberto, C.; Lorenzo, B.; Michele, M.; Micol, R.; Cinzia, P. Optical remote sensing of vegetation water content. In Remote Sensing of Vegetation. Hyperspectral Indices and Image Classifications for Agriculture and Vegetation; Thenkabail, P.S., Lyon, J.G., Huete, A., Eds.; CRC Press: Boca Raton, FL, USA, 2018; pp. 183–200. ISBN 9781138066038. [Google Scholar]
- Fensholt, R.; Huber, S.; Proud, S.R.; Mbow, C. Detecting canopy water status using Shortwave Infrared reflectance data from polar orbiting and geostationary platforms. IEEE J. Sel. Top. Appl. Earth Obs. Remote Sens. 2010, 3, 271–285. [Google Scholar] [CrossRef]
- Levitt, J. Responses of Plants to Environmental Stresses; Academic Press: New York, NY, USA, 1980. [Google Scholar]
- O’Toole, J.; Cruz, R. Response of leaf water potential, stomatal resistance and leaf rolling to water stress. Plant Physiol. 1980, 65, 428–432. [Google Scholar] [CrossRef] [PubMed]
- Chen, D.; Huang, J.; Jackson, T.J. Vegetation water content estimation for corn and soybeans using spectral indices derived from MODIS Near- and Short-Wave Infrared bands. Remote Sens. Environ. 2005, 98, 225–236. [Google Scholar] [CrossRef]
- Jackson, T.J.; Chen, D.; Cosh, M.; Li, F.; Anderson, M.; Walthall, C.; Doriaswamy, P.; Hunt, E.R. Vegetation water content mapping using Landsat data derived Normalized Difference Water Index for corn and soybeans. Remote Sens. Environ. 2004, 92, 475–482. [Google Scholar] [CrossRef]
- Anderson, M.C.; Neale, C.M.U.; Li, F.; Norman, J.M.; Kustas, W.P.; Jayanthi, H.; Chavez, J. Upscaling ground observations of vegetation water content, canopy height, and Leaf Area Index during SMEX02 using aircraft and Landsat imagery. Remote Sens. Environ. 2004, 92, 447–464. [Google Scholar] [CrossRef]
- Yilmaz, M.T.; Hunt, E.R.; Goins, L.D.; Ustin, S.L.; Vanderbilt, V.C.; Jackson, T.J. Vegetation water content during SMEX04 from ground data and Landsat 5 Thematic Mapper imagery. Remote Sens. Environ. 2008, 112, 350–362. [Google Scholar] [CrossRef] [Green Version]
- Rhee, J.; Im, J.; Carbone, G.J. Monitoring agricultural drought for arid and humid regions using multi-sensor remote sensing data. Remote Sens. Environ. 2010, 114, 2875–2887. [Google Scholar] [CrossRef]
- Ullah, S.; Skidmore, A.K.; Ramoelo, A.; Groen, T.A.; Naeem, M.; Ali, A. Retrieval of leaf water content spanning the Visible to Thermal Infrared spectra. ISPRS J. Photogramm. Remote Sens. 2014, 93, 56–64. [Google Scholar] [CrossRef]
- Datt, B. Remote sensing of water content in eucalyptus leaves. Aust. J. Bot. 1999, 47, 909–923. [Google Scholar] [CrossRef]
- Ceccato, P.; Gobron, N.; Flasse, S.; Pinty, B.; Tarantola, S. Designing a spectral index to estimate vegetation water content from remote sensing data: Part 2. Validation and Applications. Remote Sens. Environ. 2002, 82, 198–207. [Google Scholar] [CrossRef]
- Ghulam, A.; Li, Z.L.; Qin, Q.; Yimit, H.; Wang, J. Estimating crop water stress with ETM+ NIR and SWIR data. Agric. For. Meteorol. 2008, 148, 1679–1695. [Google Scholar] [CrossRef]
- Ceccato, P.; Flasse, S.; Tarantola, S.; Jacquemoud, S.; Grégoire, J.M. Detecting vegetation leaf water content using reflectance in the optical domain. Remote Sens. Environ. 2001, 77, 22–33. [Google Scholar] [CrossRef]
- Fensholt, R.; Sandholt, I. Derivation of a Shortwave Infrared Water Stress Index from MODIS Near- and Shortwave Infrared data in a Semiarid Environment. Remote Sens. Environ. 2003, 87, 111–121. [Google Scholar] [CrossRef]
- Ceccato, P.; Gobron, N.; Flasse, S.; Pinty, B.; Tarantola, S. Designing a spectral index to estimate vegetation water content from remote sensing data: Part 1: Theoretical Approach. Remote Sens. Environ. 2002, 82, 188–197. [Google Scholar] [CrossRef]
- Bowyer, P.; Danson, F.M. Sensitivity of spectral reflectance to variation in live fuel moisture content at leaf and canopy Level. Remote Sens. Environ. 2004, 92, 297–308. [Google Scholar] [CrossRef]
- Danson, F.M.; Bowyer, P. Estimating live fuel moisture content from remotely sensed reflectance. Remote Sens. Environ. 2004, 92, 309–321. [Google Scholar] [CrossRef]
- Kramer, P.J.; Boyer, J.S. Water Relations of Plants and Soils; Academic Press: San Diego, CA, USA, 1995; ISBN 0124250602. [Google Scholar]
- Chaves, M.M.; Pereira, J.S.; Maroco, J.; Rodriguez, M.L.; Ricardo, C.P.P.; Osório, M.L.; Carvalho, I.; Faria, T.; Pinheiro, C. How plants cope with water stress in the field. Photosynthesis and Growth. Ann. Bot. 2002, 89, 907–916. [Google Scholar] [CrossRef] [Green Version]
- Porporato, A.; Laio, F.; Ridol, L.; Rodriguez-iturbe, I. Plants in water-controlled ecosystems: Active role in hydrologic processes and response to water stress III. Vegetation water stress. Adv. Water Resour. 2001, 24, 725–744. [Google Scholar] [CrossRef]
- Holzman, M.E.; Carmona, F.; Rivas, R.; Niclòs, R. Early assessment of crop yield from remotely sensed water stress and solar radiation data. ISPRS J. Photogramm. Remote Sens. 2018, 145, 297–308. [Google Scholar] [CrossRef]
- Holzman, M.E.; Rivas, R.; Bayala, M. Subsurface soil moisture estimation by VI-LST method. IEEE Geosci. Remote Sens. Lett. 2014, 11, 1951–1955. [Google Scholar] [CrossRef]
- Nutini, F.; Stroppiana, D.; Busetto, L.; Bellingeri, D.; Corbari, C.; Mancini, M.; Zini, E.; Brivio, P.A.; Boschetti, M. A weekly indicator of surface moisture status from satellite data for operational monitoring of crop conditions. Sensors 2017, 17, 1338. [Google Scholar] [CrossRef] [Green Version]
- Holzman, M.E.; Rivas, R.; Piccolo, M.C. Estimating soil moisture and the relationship with crop yield using surface temperature and vegetation index. Int. J. Appl. Earth Obs. Geoinf. 2014, 28, 181–192. [Google Scholar] [CrossRef]
- Holzman, M.E.; Rivas, R. Early maize yield forecasting from remotely sensed temperature/vegetation index measurements. IEEE J. Sel. Top. Appl. Earth Obs. Remote Sens. 2016, 9, 507–519. [Google Scholar] [CrossRef]
- Fabre, S.; Lesaignoux, A.; Olioso, A.; Briottet, X. Influence of water content on spectral reflectance of leaves in the 3–15 µm Domain. IEEE Geosci. Remote Sens. Lett. 2011, 8, 143–147. [Google Scholar] [CrossRef]
- Buitrago, M.F.; Groen, T.A.; Hecker, C.A.; Skidmore, A.K. Changes in Thermal Infrared spectra of plants caused by temperature and water stress. ISPRS J. Photogramm. Remote Sens. 2016, 111, 22–31. [Google Scholar] [CrossRef]
- Sánchez-Ruiz, S.; Piles, M.; Sánchez, N.; Martínez-fernández, J.; Vall-llossera, M. Combining SMOS with Visible and near/Shortwave/Thermal Infrared satellite data for high resolution soil moisture estimates. J. Hydrol. 2014, 516, 273–283. [Google Scholar] [CrossRef]
- Sadeghi, M.; Babaeian, E.; Tuller, M.; Jones, S.B. The optical trapezoid model: A novel approach to remote sensing of soil moisture applied to Sentinel-2 and Landsat-8 observations. Remote Sens. Environ. 2017, 198, 52–68. [Google Scholar] [CrossRef] [Green Version]
- Sadeghi, M.; Jones, S.B.; Philpot, W.D. A linear physically-based model for remote sensing of soil moisture using Short Wave Infrared bands. Remote Sens. Environ. 2015, 164, 66–76. [Google Scholar] [CrossRef]
- Holzman, M.; Rivas, R.; Bayala, M.; Pasapera, J. Measuring land surface temperature, near-infrared and short-wave infrared reflectance for estimation of water availability in vegetation. MethodsX 2021, 8, 101172. [Google Scholar] [CrossRef]
- Holzman, M.; Rivas, R.; Carmona, F.; Niclòs, R. A method for soil moisture probes calibration and validation of satellite estimates. MethodsX 2017, 4, 243–249. [Google Scholar] [CrossRef]
- Niclos, R.; Rivas, R.; Garcia-Santos, V.; Dona, C.; Valor, E.; Holzman, M.; Bayala, M.; Carmona, F.; Ocampo, D.; Soldano, A.; et al. SMOS Level-2 soil moisture product evaluation in rain-fed croplands of the pampean region of Argentina. IEEE Trans. Geosci. Remote Sens. 2016, 54, 499–512. [Google Scholar] [CrossRef]
- Gao, B.C.; Goetz, A.F.H. Retrieval of equivalent water thickness and information related to biochemical components of vegetation canopies from AVIRIS data. Remote Sens. Environ. 1994, 4, 155–162. [Google Scholar] [CrossRef]
- Larcher, W. Physiological Plant Ecology: Ecophysiology and Stress Physiology of Functional Groups; Springer Science & Business Media: Berlin, Germany, 2003; ISBN 9783540435167. [Google Scholar]
- Tian, J.; Philpot, W.D. Spectral reflectance features with varied soil properties during drying process. In Proceedings of the 2016 IEEE International Geoscience and Remote Sensing Symposium (IGARSS), Beijing, China, 10–15 July 2016; pp. 3106–3109. [Google Scholar] [CrossRef]
- Tian, J.; Philpot, W. Spectral transmittance of a translucent sand sample with directional illumination. IEEE Trans. Geosci. Remote Sens. 2018, 56, 4307–4317. [Google Scholar] [CrossRef]
- Bayala, M.I.; Rivas, R.E. Enhanced sharpening procedures on edge difference and water stress index basis over heterogeneous landscape of sub-humid region. Egypt. J. Remote Sens. Sp. Sci. 2014, 17, 17–27. [Google Scholar] [CrossRef] [Green Version]
- Galvao, L.S.; Neves Epiphanio, J.C.; Breuning, F.M.; Formaggio, A.R. Crop type discrimination using hyperspectral data. In Hyperspectral Remote Sensing of Vegetation; Thenkabail, P.S., Lyon, J.G., Huete, A., Eds.; CRC Press: Boca Raton, FL, USA, 2012; pp. 397–422. [Google Scholar]
- Wang, L.; Qu, J.J.; Xiong, X.; Hao, X.; Member, S.; Xie, Y.; Che, N. A new method for retrieving band 6 of Aqua MODIS. IEEE Geosci. Remote Sens. Lett. 2006, 3, 1–5. [Google Scholar] [CrossRef]
- Bohn, V.; Rivas, R.; Varni, M.; Piccolo, C. Using SPEI in predicting water table dynamics in Argentinian plains. Environ. Earth Sci. J. 2020, 79, 1–16. [Google Scholar] [CrossRef]
- Ares, M.G.; Holzman, M.; Entraigas, I.; Varni, M.; Fajardo, L.; Vercelli, N. Surface moisture area during rainfall–runoff events to understand the hydrological dynamics of a basin in a plain region. Hydrol. Process. 2018, 32, 1351–1362. [Google Scholar] [CrossRef]
- Chang, T.-Y.; Wang, Y.-C.; Feng, C.-C.; Ziegler, A.D.; Giambelluca, T.W.; Liou, Y.-A. Estimation of root zone soil moisture using apparent thermal inertia with MODIS imagery over a tropical catchment in Northern Thailand. IEEE J. Sel. Top. Appl. Earth Obs. Remote Sens. 2012, 5, 752–761. [Google Scholar] [CrossRef]
- Liu, S.; Roberts, D.A.; Chadwick, O.A.; Still, C.J. Spectral responses to plant available soil moisture in a Californian grassland. Int. J. Appl. Earth Obs. Geoinf. 2012, 19, 31–44. [Google Scholar] [CrossRef]
- Santos, W.J.R.; Silva, B.M.; Oliveira, G.S.; Volpato, M.M.L.; Lima, J.M.; Curi, N.; Marques, J.J. Soil moisture in the root zone and its relation to plant vigor assessed by remote sensing at management scale. Geoderma 2014, 221–222, 91–95. [Google Scholar] [CrossRef]
- Wang, X.; Xie, H. Different responses of MODIS-derived NDVI to root-zone soil moisture in semi-arid and humid regions. J. Hydrol. 2007, 340, 12–24. [Google Scholar] [CrossRef]
- Ares, M.G.; Bongiorno, F.; Holzman, M.; Chagas, C.; Varni, M.; Entraigas, I. Water erosion and connectivity analysis during a year with high precipitations in a watershed of Argentina. Hydrol. Res. 2016, 47, 1239–1252. [Google Scholar] [CrossRef]
- Brady, N.C.; Weil, R.R. Soil architecture and physical properties. In The Nature and Properties of Soils; Englewood, C., Ed.; Prentice-Hall: Hoboken, NJ, USA, 2008; pp. 148–157. [Google Scholar]
- Whiteley, G.M.; Dexter, A.R. Elastic response of the roots of field crops. Physiol. Plant. 1981, 51, 407–417. [Google Scholar] [CrossRef]
- Sun, H. Two-Stage trapezoid: A new interpretation of the land surface temperature and fractional vegetation coverage space. IEEE J. Sel. Top. Appl. Earth Obs. Remote Sens. 2016, 9, 336–346. [Google Scholar] [CrossRef]
- Mallick, K.; Bhattacharya, B.K.; Patel, N.K. Estimating volumetric surface moisture content for cropped soils using a soil wetness index based on surface temperature and NDVI. Agric. For. Meteorol. 2009, 149, 1327–1342. [Google Scholar] [CrossRef]
- Sandholt, I.; Rasmussen, K.; Andersen, J. A simple interpretation of the surface Temperature/Vegetation Index space for the assessment of surface moisture stress. Remote Sens. Environ. 2002, 79, 213–224. [Google Scholar] [CrossRef]











Publisher’s Note: MDPI stays neutral with regard to jurisdictional claims in published maps and institutional affiliations. |
© 2021 by the authors. Licensee MDPI, Basel, Switzerland. This article is an open access article distributed under the terms and conditions of the Creative Commons Attribution (CC BY) license (https://creativecommons.org/licenses/by/4.0/).
Share and Cite
Holzman, M.E.; Rivas, R.E.; Bayala, M.I. Relationship between TIR and NIR-SWIR as Indicator of Vegetation Water Availability. Remote Sens. 2021, 13, 3371. https://doi.org/10.3390/rs13173371
Holzman ME, Rivas RE, Bayala MI. Relationship between TIR and NIR-SWIR as Indicator of Vegetation Water Availability. Remote Sensing. 2021; 13(17):3371. https://doi.org/10.3390/rs13173371
Chicago/Turabian StyleHolzman, Mauro Ezequiel, Raúl Eduardo Rivas, and Martín Ignacio Bayala. 2021. "Relationship between TIR and NIR-SWIR as Indicator of Vegetation Water Availability" Remote Sensing 13, no. 17: 3371. https://doi.org/10.3390/rs13173371
APA StyleHolzman, M. E., Rivas, R. E., & Bayala, M. I. (2021). Relationship between TIR and NIR-SWIR as Indicator of Vegetation Water Availability. Remote Sensing, 13(17), 3371. https://doi.org/10.3390/rs13173371

