Data Fusion of XRF and Vis-NIR Using Outer Product Analysis, Granger–Ramanathan, and Least Squares for Prediction of Key Soil Attributes
Abstract
1. Introduction
2. Materials and Methods
2.1. Spectroscopy Analysis
2.2. Partial Least Squares (PLS) Regression
2.3. Least Squares (LS) Fusion
2.4. Outer Product Analysis (OPA)
2.5. Study Sites and Soil Sampling
2.6. Laboratory Soil Measurement
2.6.1. Measurement by X-ray Fluorescence (XRF) Spectrometer
2.6.2. Measurement by Visible and Near-Infrared (vis-NIR) Spectrometer
2.7. Chemical Analysis in Laboratory
2.8. Spectra Pre-Processing
2.9. Single-Sensor Modeling
2.10. Fusion Models
2.10.1. OPA-Based Fusion
- OPA-FS in which the full spectral ranges of vis-NIR and XRF were used. In other words, the OP operator was applied on the full spectral ranges.
- OPA-SS in which just the selected spectral ranges of the vis-NIR and XRF spectra, obtained during the calibration of the single-sensor models, were used.
2.10.2. LS-Based Fusion
2.10.3. Noise Modification
2.11. Evaluation Criteria
3. Results and Discussions
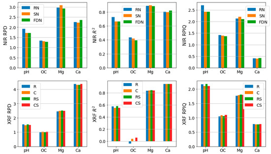
3.1. Assessment of Vis-NIR and XRF Individual Models
3.2. Assessment of OPA-Based Fusion Methods
3.3. Assessment of LS
4. Conclusions
Author Contributions
Funding
Institutional Review Board Statement
Informed Consent Statement
Data Availability Statement
Conflicts of Interest
References
- Mouazen, A.M.; Maleki, M.R.; De Baerdemaeker, J.; Ramon, H. Monitoring. In Agricultural Internet of Things and Decision Support for Precision Smart Farming; Castrignanò, A., Buttafuoco, G., Khosla, R., Mouazen, A., Moshou, D., Naud, O., Eds.; Academic Press: Cambridge, MA, USA, 2019; pp. 36–138. [Google Scholar]
- Stenberg, B.; Rossel, R.A.V.; Mouazen, A.M.; Wetterlind, J. Chapter Five—Visible and Near Infrared Spectroscopy. In Soil Science; Sparks, D.L., Ed.; Academic Press: Cambridge, MA, USA, 2010; pp. 163–215. [Google Scholar]
- Guzmán, J.A.Q.; Rivard, B.; Sánchez-Azofeifa, G.A. Discrimination of liana and tree leaves from a Neotropical Dry Forest using visible-near infrared and longwave infrared reflectance spectra. Remote Sens. Environ. 2018, 219, 135–144. [Google Scholar] [CrossRef]
- Ben-Dor, E.; Banin, A. Visible and near-infrared (0.4–1.1 μm) analysis of arid and semiarid soils. Remote Sens. Environ. 1994, 48, 261–274. [Google Scholar] [CrossRef]
- Mouazen, A.; De Baerdemaeker, J.; Ramon, H. Effect of wavelength range on the measurement accuracy of some selected soil constituents using visual-near infrared spectroscopy. J. Near Infrared Spectrosc. 2006, 14, 189–199. [Google Scholar] [CrossRef]
- Marín-González, O.; Kuang, B.; Quraishi, M.Z.; Munóz-García, M. Ángel; Mouazen, A.M. Online measurement of soil properties without direct spectral response in near infrared spectral range. Soil Tillage Res. 2013, 132, 21–29. [Google Scholar] [CrossRef]
- Munnaf, M.A.; Nawar, S.; Mouazen, A.M. Estimation of secondary soil properties by fusion of laboratory and online measured Vis–NIR spectra. Remote Sens. 2019, 11, 2819. [Google Scholar] [CrossRef]
- Chang, C.-W.; Laird, D.A.; Mausbach, M.J.; Hurburgh, C.R. Near-infrared reflectance spectroscopy-principal components regression analyses of soil properties. Soil Sci. Soc. Am. J. 2001, 65, 480–490. [Google Scholar] [CrossRef]
- Wang, D.; Chakraborty, S.; Weindorf, D.C.; Li, B.; Sharma, A.; Paul, S.; Ali, N. Synthesized use of VisNIR DRS and PXRF for soil characterization: Total carbon and total nitrogen. Geoderma 2015, 243–244, 157–167. [Google Scholar] [CrossRef]
- Kaniu, M.; Angeyo, K.; Mwala, A.; Mwangi, F. Energy dispersive X-ray fluorescence and scattering assessment of soil quality via partial least squares and artificial neural networks analytical modeling approaches. Talanta 2012, 98, 236–240. [Google Scholar] [CrossRef] [PubMed]
- Nawar, S.; Delbecque, N.; Declercq, Y.; De Smedt, P.; Finke, P.; Verdoodt, A.; Van Meirvenne, M.; Mouazen, A.M. Can spectral analyses improve measurement of key soil fertility parameters with X-ray fluorescence spectrometry? Geoderma 2019, 350, 29–39. [Google Scholar] [CrossRef]
- Granger, C.W.J.; Ramanathan, R. Improved methods of combining forecasts. J. Forecast. 1984, 3, 197–204. [Google Scholar] [CrossRef]
- O’Rourke, S.; Stockmann, U.; Holden, N.; McBratney, A.; Minasny, B. An assessment of model averaging to improve predictive power of portable vis-NIR and XRF for the determination of agronomic soil properties. Geoderma 2016, 279, 31–44. [Google Scholar] [CrossRef]
- Papoulis, A.; Pillai, S.U. Probability, Random Variables and Stochastic Processes, 4th ed.; McGraw-Hill: New York, NY, USA, 2002. [Google Scholar]
- Tavares, T.R.; Molin, J.P.; Javadi, S.H.; De Carvalho, H.W.P.; Mouazen, A.M. Combined use of vis-NIR and XRF sensors for tropical soil fertility analysis: Assessing different data fusion approaches. Sensors 2020, 21, 148. [Google Scholar] [CrossRef]
- Javadi, S.H.; Munnaf, M.A.; Mouazen, A.M. Fusion of Vis-NIR and XRF spectra for estimation of key soil attributes. Geoderma 2021, 385, 114851. [Google Scholar] [CrossRef]
- Xu, D.; Chen, S.; Rossel, R.V.; Biswas, A.; Li, S.; Zhou, Y.; Shi, Z. X-ray fluorescence and visible near infrared sensor fusion for predicting soil chromium content. Geoderma 2019, 352, 61–69. [Google Scholar] [CrossRef]
- Zude, M. Optical Monitoring of Fresh and Processed Agricultural Crops; CRC Press: Boca Raton, FL, USA, 2009. [Google Scholar]
- Tavares, T.R.; Molin, J.P.; Nunes, L.C.; Alves, E.E.N.; Melquiades, F.L.; De Carvalho, H.W.P.; Mouazen, A.M. Effect of X-Ray Tube Configuration on Measurement of Key Soil Fertility Attributes with XRF. Remote. Sens. 2020, 12, 963. [Google Scholar] [CrossRef]
- Mouazen, A.M.; Kuang, B. On-line visible and near infrared spectroscopy for in-field phosphorous management. Soil Tillage Res. 2016, 155, 471–477. [Google Scholar] [CrossRef]
- Gholizadeh, A.; Borůvka, L.; Saberioon, M.; Vašát, R. A memory-based learning approach as compared to other data mining algorithms for the prediction of soil texture using diffuse reflectance spectra. Remote Sens. 2016, 8, 341. [Google Scholar] [CrossRef]
- Nawar, S.; Cipullo, S.; Douglas, R.K.; Coulon, F.; Mouazen, A.M. The applicability of spectroscopy methods for estimating potentially toxic elements in soils: State-of-the-art and future trends. Appl. Spectrosc. Rev. 2020, 55, 525–557. [Google Scholar] [CrossRef]
- Casa, R.; Castaldi, F.; Pascucci, S.; Basso, B.; Pignatti, S. Geophysical and hyperspectral data fusion techniques for in-field estimation of soil properties. Vadose Zone J. 2013, 12, 201. [Google Scholar] [CrossRef]
- Bar-Shalom, Y.; Li, X.-R.; Kirubarajan, T. Estimation with Applications to Tracking and Navigation; John Wiley & Sons, Inc.: New York, NY, USA, 2001. [Google Scholar]
- Terra, F.S.; Rossel, R.A.V.; Demattê, J.A. Spectral fusion by Outer Product Analysis (OPA) to improve predictions of soil organic C. Geoderma 2019, 335, 35–46. [Google Scholar] [CrossRef]
- Barros, A.S.; Safar, M.; Devaux, M.F.; Robert, P.; Bertrand, D.; Rutledge, D.N. Relations between Mid-Infrared and Near-Infrared Spectra Detected by Analysis of Variance of an Intervariable Data Matrix. Appl. Spectrosc. 1997, 51, 1384–1393. [Google Scholar] [CrossRef]
- Jaillais, B.; Pinto, R.; Barros, A.; Rutledge, D. Outer-product analysis (OPA) using PCA to study the influence of temperature on NIR spectra of water. Vib. Spectrosc. 2005, 39, 50–58. [Google Scholar] [CrossRef]
- Barros, A.; Pinto, R.; Bouveresse, D.J.-R.; Rutledge, D. Principal component transform—Outer product analysis in the PCA context. Chemom. Intell. Lab. Syst. 2008, 93, 43–48. [Google Scholar] [CrossRef]
- Mukhopadhyay, S.; Maiti, S.K. Techniques for Quantative Evaluation of Mine Site Reclamation Success: Case Study; Elsevier: Amsterdam, The Netherlands, 2018; pp. 415–438. [Google Scholar]
- Mouazen, A.; Saeys, W.; Xing, J.; De Baerdemaeker, J.; Ramon, H. Near Infrared Spectroscopy for Agricultural Materials: An Instrument Comparison. J. Near Infrared Spectrosc. 2005, 13, 87–97. [Google Scholar] [CrossRef]
- Moura-Bueno, J.M.; Dalmolin, R.S.D.; Caten, A.T.; Dotto, A.C.; Demattê, J.A. Stratification of a local VIS-NIR-SWIR spectral library by homogeneity criteria yields more accurate soil organic carbon predictions. Geoderma 2019, 337, 565–581. [Google Scholar] [CrossRef]
- Rinnan, Å.; Berg, F.V.D.; Engelsen, S.B. Review of the most common pre-processing techniques for near-infrared spectra. TrAC Trends Anal. Chem. 2009, 28, 1201–1222. [Google Scholar] [CrossRef]
- Mouazen, A.; Maleki, M.; Cockx, L.; Van Meirvenne, M.; Van Holm, L.; Merckx, R.; De Baerdemaeker, J.; Ramon, H. Optimum three-point linkage set up for improving the quality of soil spectra and the accuracy of soil phosphorus measured using an on-line visible and near infrared sensor. Soil Tillage Res. 2009, 103, 144–152. [Google Scholar] [CrossRef]
- Barnes, R.J.; Dhanoa, M.S.; Lister, S.J. Standard normal variate transformation and de-trending of near-infrared diffuse reflectance spectra. Appl. Spectrosc. 1989, 43, 772–777. [Google Scholar] [CrossRef]
- Savitzky, A.; Golay, M.J.E. Smoothing and differentiation of data by simplified least squares procedures. Anal. Chem. 1964, 36, 1627–1639. [Google Scholar] [CrossRef]
- De Maesschalck, R.; Jouan-Rimbaud, D.; Massart, D.L. The Mahalanobis distance. Chemom. Intell. Lab. Syst. 2000, 50, 1–18. [Google Scholar] [CrossRef]
- Nawar, S.; Mouazen, A.M. Optimal sample selection for measurement of soil organic carbon using on-line vis-NIR spectroscopy. Comput. Electron. Agric. 2018, 151, 469–477. [Google Scholar] [CrossRef]
- Bellon-Maurel, V.; Fernandez-Ahumada, E.; Palagos, B.; Roger, J.-M.; McBratney, A. Critical review of chemometric indicators commonly used for assessing the quality of the prediction of soil attributes by NIR spectroscopy. TrAC Trends Anal. Chem. 2010, 29, 1073–1081. [Google Scholar] [CrossRef]
- Pedregosa, F.; Varoquaux, G.; Gramfort, A.; Michel, V.; Thirion, B.; Grisel, O.; Duchesnay, E.; Vanderplas, J.; Passos, A.; Cournapeau, D.; et al. Scikit-learn: Machine learning in python. J. Mach. Learn. Res. 2011, 12, 2825–2830. [Google Scholar]
- Hu, L.; Yin, C.; Ma, S.; Liu, Z. Rapid detection of three quality parameters and classification of wine based on Vis-NIR spectroscopy with wavelength selection by ACO and CARS algorithms. Spectrochim. Acta Part A Mol. Biomol. Spectrosc. 2018, 205, 574–581. [Google Scholar] [CrossRef] [PubMed]
- Mouazen, A.; Kuang, B.; De Baerdemaeker, J.; Ramon, H. Comparison among principal component, partial least squares and back propagation neural network analyses for accuracy of measurement of selected soil properties with visible and near infrared spectroscopy. Geoderma 2010, 158, 23–31. [Google Scholar] [CrossRef]
- Teixeira, A.F.D.S.; Weindorf, D.C.; Silva, S.H.G.; Guilherme, L.R.G.; Curi, N. Portable X-ray fluorescence (pXRF) spectrometry applied to the prediction of chemical attributes in Inceptisols under different land uses. Ciência e Agrotecnologia 2018, 42, 501–512. [Google Scholar] [CrossRef]
- Silva, S.H.G.; Teixeira, A.F.D.S.; De Menezes, M.D.; Guilherme, L.R.G.; Moreira, F.M.D.S.; Curi, N. Multiple linear regression and random forest to predict and map soil properties using data from portable X-ray fluorescence spectrometer (pXRF). Ciência e Agrotecnologia 2017, 41, 648–664. [Google Scholar] [CrossRef]
- Russ, J.C. Fundamentals of Energy Dispersive X-ray Analysis. In Fundamentals of Energy Dispersive X-ray Analysis; Elsevier: Amsterdam, The Netherlands, 1984; pp. 208–219. [Google Scholar]
- Soodan, R.K.; Pakade, Y.B.; Nagpal, A.; Katnoria, J.K. Analytical techniques for estimation of heavy metals in soil ecosystem: A tabulated review. Talanta 2014, 125, 405–410. [Google Scholar] [CrossRef] [PubMed]
- Javadi, S.H. Detection over sensor networks: A tutorial. IEEE Aerosp. Electron. Syst. Mag. 2016, 31, 2–18. [Google Scholar] [CrossRef]
- Javadi, S.H.; Farina, A. Radar networks: A review of features and challenges. Inf. Fusion 2020, 61, 48–55. [Google Scholar] [CrossRef]
- Chang, N.-B.; Bai, K. Multisensor Data Fusion and Machine Learning for Environmental Remote Sensing; CRC Press: Boca Raton, FL, USA, 2018. [Google Scholar]















| Field Name | Location | Date of Sampling (2018) | No. of Samples | Crop Type | Soil Texture | Average MC * (%) | Average OC ** (%) | 
|---|---|---|---|---|---|---|---|
| Bottelare | Melle | Nov. | 23 | Maize | Light loam to light clay | 14.64 | 1.60 | 
| Thierry | Moeskroen | Aug. | 13 | Wheat | Light sandy to sandy loam | 15.56 | 1.66 | 
| Watermachine | Veurne | Aug. | 19 | Wheat | Heavy clay | 19.86 | 1.35 | 
| Beers | Veurne | Aug. | 38 | Oil seed rape | Heavy clay | 19.30 | 1.29 | 
| Kouter | Huldenberg | Jul./Aug. | 40 | Burley | Silt to silt loam | 3.63 | 1.10 | 
| Gingelomse | Landen | Dec. | 37 | Barley | Light to heavy loam | 22.79 | 1.34 | 
| Dal | Landen | Dec. | 21 | Sugar beet | Light to heavy loam | 23.02 | 1.38 | 
| Kattestraat | Landen | Aug. | 19 | Barley | Light to heavy loam | 8.75 | 1.47 | 
| Grootland | Landen | Oct. | 57 | Wheat | Light to heavy loam | 19.67 | 1.16 | 
| Attribute | Validation Fields | 
|---|---|
| pH | Grootland, Gingelomse, Thierry | 
| OC | Grootland, Kattestraat, Thierry | 
| Mg | Grootland, Watermachine, Thierry | 
| Ca | Kouter, Dal, Watermachine | 
| Vis-NIR | XRF | OPA-FS | OPA-SS | ||||||
|---|---|---|---|---|---|---|---|---|---|
| Pre-Processing | R | S | FD | R | C | RS | CS | ||
| pH | 2 | 2 | 4 | 6 | 2 | 6 | 2 | 2 | 2 | 
| OC | 4 | 4 | 3 | 5 | 5 | 5 | 5 | 2 | 3 | 
| Mg | 6 | 7 | 4 | 3 | 4 | 3 | 4 | 3 | 2 | 
| Ca | 7 | 9 | 4 | 5 | 6 | 5 | 6 | 2 | 3 | 
| pH | OC | Mg | Ca | |
|---|---|---|---|---|
| ρ | 0.34 | 0.38 | 0.17 | −0.2 | 
| Publisher’s Note: MDPI stays neutral with regard to jurisdictional claims in published maps and institutional affiliations. | 
© 2021 by the authors. Licensee MDPI, Basel, Switzerland. This article is an open access article distributed under the terms and conditions of the Creative Commons Attribution (CC BY) license (https://creativecommons.org/licenses/by/4.0/).
Share and Cite
Javadi, S.H.; Mouazen, A.M. Data Fusion of XRF and Vis-NIR Using Outer Product Analysis, Granger–Ramanathan, and Least Squares for Prediction of Key Soil Attributes. Remote Sens. 2021, 13, 2023. https://doi.org/10.3390/rs13112023
Javadi SH, Mouazen AM. Data Fusion of XRF and Vis-NIR Using Outer Product Analysis, Granger–Ramanathan, and Least Squares for Prediction of Key Soil Attributes. Remote Sensing. 2021; 13(11):2023. https://doi.org/10.3390/rs13112023
Chicago/Turabian StyleJavadi, S. Hamed, and Abdul M. Mouazen. 2021. "Data Fusion of XRF and Vis-NIR Using Outer Product Analysis, Granger–Ramanathan, and Least Squares for Prediction of Key Soil Attributes" Remote Sensing 13, no. 11: 2023. https://doi.org/10.3390/rs13112023
APA StyleJavadi, S. H., & Mouazen, A. M. (2021). Data Fusion of XRF and Vis-NIR Using Outer Product Analysis, Granger–Ramanathan, and Least Squares for Prediction of Key Soil Attributes. Remote Sensing, 13(11), 2023. https://doi.org/10.3390/rs13112023
 
         
                                                


 
                         
       