Combining Genetic Analysis and Multivariate Modeling to Evaluate Spectral Reflectance Indices as Indirect Selection Tools in Wheat Breeding under Water Deficit Stress Conditions
Abstract
1. Introduction
2. Materials and Methods
2.1. Plant Materials and Field Experiment
2.2. Measurements of Plant Traits
2.3. Spectral Reflectance Measurements
2.4. Data Analysis
3. Results
3.1. Phenotypic Variability of Different Destructively Measured Traits and Spectral Reflectance Indices Across Genotypes
3.2. Phenotypic Correlation between Different Measured Traits and SRIs
3.3. Estimation of Genetic Parameters for Different Measured Traits and SRIs
3.4. PCA of Different Destructively Measured Traits and SRIs
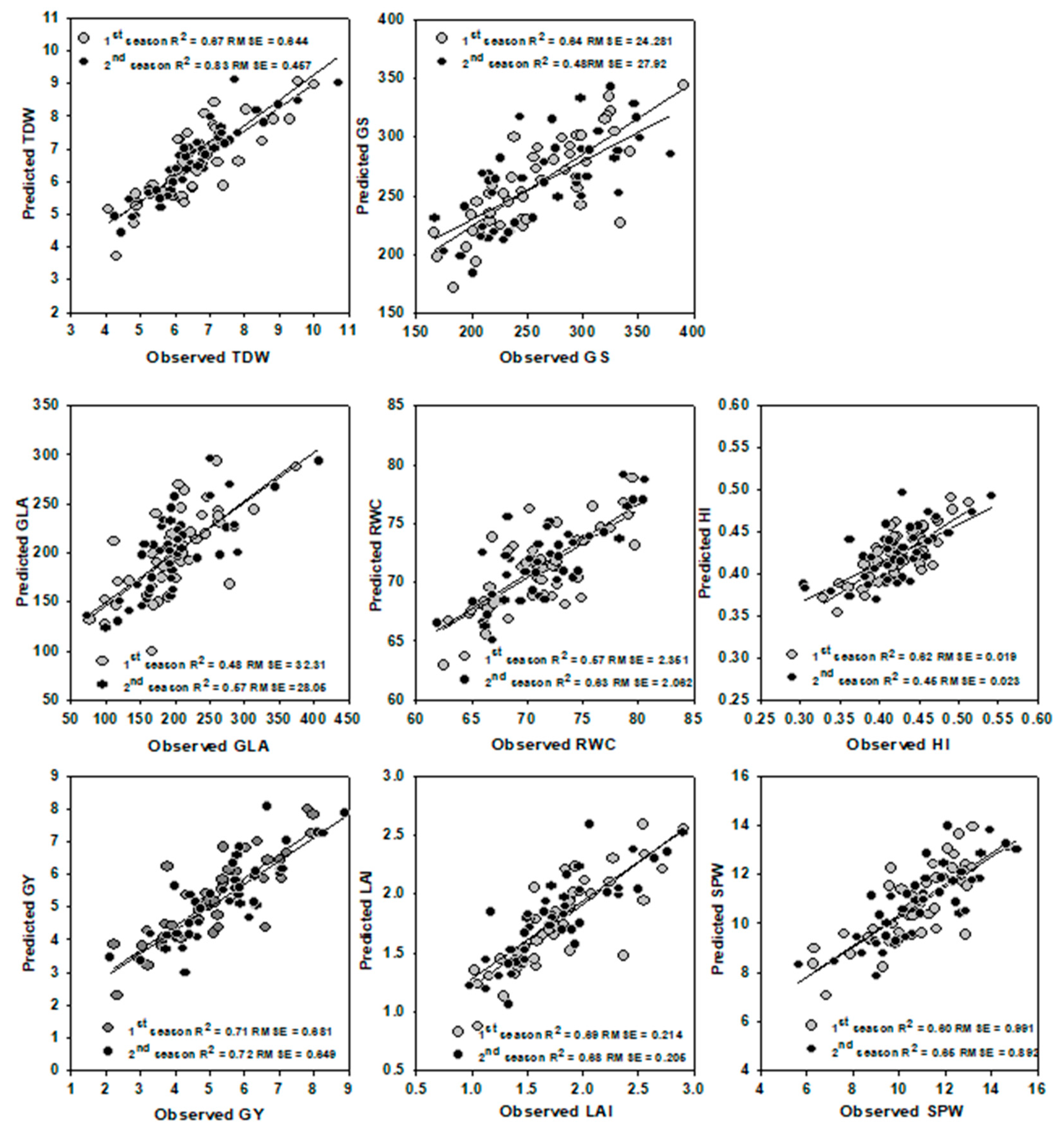
3.5. Multivariate Statistical Analysis to Estimate Different Destructively Measured Traits
4. Discussion
4.1. Ability of Different SRIs as Alternative Indirect Selection Tools for GY and Intermediate Traits
4.2. Multivariate Statistical Analysis to Predict the Different Destructively Measured Traits
5. Conclusions
- The results of genetic analysis for destructively measured intermediate traits indicated that these traits could be used as direct traits to improve wheat production under water shortage conditions.
- Based on the genetic basis for the different SRIs, it seemed probable that rapid genetic progress could be obtained through the use of several SRIs as indirect alternative breeding/selection tools for destructively measured intermediate traits in plant breeding trials.
- The PLSR models based on all SRIs as a single index could be used for assessing the different intermediate traits that are used widely as direct screening criteria in plant breeding programs aiming to improve the drought tolerance of wheat genotypes.
- The SMLR model identified NDVI, GNDVI, NPQ, and MCARI from vegetation-SRIs and NDWI1240, DMCI-D, and NDLI from water-SRIs as the most influential SRIs that explained the most variability in the different destructively measured traits among genotypes.
- Based on all genetic parameters and multivariate analysis, the different SRIs could be incorporated into wheat breeding programs as effective indirect selection tools to enhance the genetic gains of drought tolerance in spring wheat.
Supplementary Materials
Author Contributions
Funding
Acknowledgments
Conflicts of Interest
References
- Fereres, F.; Soriano, M.A. Deficit irrigation for reducing agricultural water use. J. Exp. Bot. 2007, 58, 147–159. [Google Scholar] [CrossRef] [PubMed]
- El-Hendawy, S.E.; Schmidhalter, U. Optimal coupling combinations between irrigation frequency and rate for drip-irrigated maize grown on sandy soil. Agric. Water Manage. 2010, 97, 439–448. [Google Scholar] [CrossRef]
- Houle, D.; Govindaraju, D.R.; Omholt, S. Phenomics: the next challenge. Nat. Rev. Genet. 2010, 11, 855–866. [Google Scholar] [CrossRef] [PubMed]
- El-Hendawy, S.E.; Al-Suhaibani, N.; Al-Gaadi, K.; Ur Rehman, S. Capability of multiple selection criteria to evaluate contrasting spring wheat germplasms under arid conditions. Pak. J. Bot. 2015, 47, 2093–2105. [Google Scholar]
- Lobos, G.A.; Escobar-Opazo, A.; Estrada, F.; Romero-Bravo, S.; Garriga, M.; del Pozo, A.; Poblete-Echeverría, C.; Gonzalez-Talice, J.; González-Martinez, L.; Caligari, P. Spectral reflectance modeling by wavelength selection: studying the scope for blueberry physiological breeding under contrasting water supply and heat conditions. Remote Sens. 2019, 11, 329. [Google Scholar] [CrossRef]
- Sanad, M.N.M.E.; Smertenko, A.; Garland-Campbell, K.A. Differential dynamic changes of reduced trait model for analyzing the plastic response to drought phases: A case study in spring wheat. Front. Plant Sci. 2019, 10, 504. [Google Scholar] [CrossRef]
- Lobos, G.A.; Camargo, A.; del Pozo, A.; Araus, J.L.; Ortiz, R.; Doonan, J.H. Editorial: Plant phenotyping and phenomics for plant breeding. Front. Plant Sci. 2017, 8, 2181. [Google Scholar] [CrossRef]
- Potgieter, A.B.; George-Jaeggli, B.; Chapman, S.C.; Laws, K.; Suárez Cadavid, L.A.; Wixted, J.; Wason, J.; Eldridge, M.; Jordan, D.R.; Hammer, G.L. Multi-spectral imaging from an unmanned aerial vehicle enables the assessment of seasonal leaf area dynamics of sorghum breeding lines. Front. Plant Sci. 2017, 8, 1532. [Google Scholar] [CrossRef]
- El-Hendawy, S.E.; Alotaibi, M.; Al-Suhaibani, N.; Al-Gaadi, K.; Hassan, W.; Dewir, Y.H.; Emam, M.A.E.-G.; Elsayed, S.; Schmidhalter, U. Comparative performance of spectral reflectance indices and multivariate modeling for assessing agronomic parameters in advanced spring wheat lines under two contrasting irrigation regimes. Front. Plant Sci. 2019a, 10, 1537. [Google Scholar] [CrossRef]
- Furbank, R.T.; Jimenez-Berni, J.A.; George-Jaeggli, B.; Potgieter, A.B.; Deery, D.M. Field crop phenomics: enabling breeding for radiation use efficiency and biomass in cereal crops. New Phytol. 2019, 223, 1714–1727. [Google Scholar] [CrossRef]
- Fu, Y.; Yang, G.; Wang, J.; Song, X.; Feng, H. Winter wheat biomass estimation based on spectral indices, band depth analysis and partial least squares regression using hyperspectral measurements. Comput. Electron. Agric. 2014, 100, 51–59. [Google Scholar] [CrossRef]
- Li, X.; Zhang, Y.; Bao, Y.; Luo, J.; Jin, X.; Xu, X.; Song, X.; Yang, G. Exploring the best hyperspectral features for LAI estimation using partial least squares regression. Remote Sens. 2014, 6, 6221–6241. [Google Scholar] [CrossRef]
- Atzberger, C.; Darvishzadeh, R.; Immitzer, M.; Schlerf, M.; Skidmore, A.; le Maire, G. Comparative analysis of different retrieval methods for mapping grassland leaf area index using airborne imaging spectroscopy. Int. J. Appl. Earth Obs. Geoinf. 2015, 43, 19–31. [Google Scholar] [CrossRef]
- Graeff, S.; Claupein, W. Identification and discrimination of water stress in wheat leaves (Triticum aestivum L.) by means of reflectance measurements. Irrigation Sci. 2007, 26, 61–70. [Google Scholar]
- Tilling, A.K.; O’Leary, G.J.; Ferwerda, J.G.; Jones, S.D.; Fitzgerald, G.J.; Rodriquez, D.; Belford, R. Remote sensing of nitrogen and water stress in wheat. Field Crops Res. 2007, 104, 77–85. [Google Scholar] [CrossRef]
- Winterhalter, L.; Mistele, B.; Jampatong, S.; Schmidhalter, U. High throughput phenotyping of canopy water mass and canopy temperature in well-watered and drought stressed tropical maize hybrids in the vegetative stage. Eur. J. Agron. 2011, 35, 22–32. [Google Scholar] [CrossRef]
- Cochavi, A.; Rapaport, T.; Gendler, T.; Karnieli, A.; Eizenberg, H.; Rachmilevitch, S.; Ephrath, J.E. Recognition of Orobanche cumana below-ground parasitism through physiological and hyperspectral measurements in sunflower (Helianthus annuus L.). Front. Plant Sci. 2017, 8, 909. [Google Scholar] [CrossRef]
- Cheng, T.; Rivard, B.; Sánchez-Azofeifa, A. Spectroscopic determination of leaf water content using continuous wavelet analysis. Remote Sens. Environ. 2010, 115, 659–670. [Google Scholar] [CrossRef]
- Zhang, L.; Zhou, Z.; Zhang, G.; Meng, Y.; Chen, B.; Wang, Y. Monitoring the leaf water content and specific leaf weight of cotton (Gossypium hirsutum L.) in saline soil using leaf spectral reflectance. Eur. J. Agron. 2012, 41, 103–117. [Google Scholar] [CrossRef]
- Yao, X.; Jia, W.; Si, H.; Guo, Z.; Tian, Y.; Liu, X.; Cao, W.; Zhu, Y. Exploring novel bands and key index for evaluating leaf equivalent water thickness in wheat using hyperspectra influenced by nitrogen. PLoS ONE 2014, 9, e96352. [Google Scholar] [CrossRef]
- Bayat, B.; van der Tol, C.; Verhoef, W. Remote sensing of grass response to drought stress using spectroscopic techniques and canopy reflectance model inversion. Remote Sens. 2016, 8, 557–581. [Google Scholar] [CrossRef]
- Elsayed, S.; Elhewity, M.; Ibrahim, H.H.; Dewir, Y.H.; Migdadi, H.M.; Schmidhalter, U. Thermal imaging and passive reflectance sensing to estimate the water status and grain yield of wheat under different irrigation regimes. Agric. Water Manage. 2017, 189, 98–110. [Google Scholar] [CrossRef]
- El-Hendawy, S.E.; Al-Suhaibani, N.; Elsayed, S.; Hassan, W.M.; Dewir, Y.H.; Refay, Y.; Abdella, K.A. Potential of the existing and novel spectral reflectance indices for estimating the leaf water status and grain yield of spring wheat exposed to different irrigation rates. Agric. Water Manage. 2019b, 217, 356–373. [Google Scholar] [CrossRef]
- Prasad, B.; Carver, B.F.; Stone, M.L.; Babar, M.A.; Raun, W.R.; Klatt, A.R. Genetic analysis of indirect selection for winter wheat grain yield using spectral reflectance indices. Crop Sci. 2007, 47, 1416–1425. [Google Scholar] [CrossRef]
- Erdle, K.; Mistele, B.; Schmidhalter, U. Spectral high-throughput assessments of phenotypic differences in biomass and nitrogen partitioning during grain filling of wheat under high yielding Western European conditions. Field Crops Res. 2013, 141, 16–26. [Google Scholar] [CrossRef]
- Lobos, G.A.; Poblete-Echeverría, C.; Ahumada, L.; Zúñiga, M.; Romero, S.; Escobar, A.; Caligari, P.D.S. Fast and non-destructive prediction of gas exchange in olive orchards (Olea europaea L.) under different soil water conditions. Acta Hortic. 2014, 1057, 329–334. [Google Scholar]
- Yue, J.; Feng, H.; Yang, G.; Li, Z. A Comparison of regression techniques for estimation of above-ground winter wheat biomass using near-surface spectroscopy. Remote Sens. 2018, 10, 66. [Google Scholar] [CrossRef]
- Garriga, M.; Romero-Bravo, S.; Estrada, F.; Escobar, A.; Matus, I.A.; del Pozo, A.; Astudillo, C.A.; Lobos, G.A. Assessing wheat traits by spectral reflectance: do we really need to focus on predicted trait-values or directly identify the elite genotypes group? Front. Plant Sci. 2017, 8, 280. [Google Scholar] [CrossRef]
- Kawamura, K.; Ikeura, H.; Phongchanmaixay, S.; Khanthavong, P. Canopy hyperspectral sensing of paddy fields at the booting stage and PLS regression can assess grain yield. Remote Sens. 2018, 10, 1249. [Google Scholar] [CrossRef]
- El-Hendawy, S.E.; Al-Suhaibani, N.; Elsayed, S.; Refay, Y.; Alotaibi, M.; Dewir, Y.H.; Hassan, W.M.; Schmidhalter, U. Combining biophysical parameters, spectral indices and multivariate hyperspectral models for estimating yield and water productivity of spring wheat across different agronomic practices. PloS ONE 2019c, 14, e0212294. [Google Scholar] [CrossRef]
- Rondeaux, G.; Steven, M.; Baret, F. Optimization of soil-adjusted vegetation indices. Remote Sens. Environ. 1996, 55, 95–107. [Google Scholar] [CrossRef]
- Jiang, Z.; Huete, A.R.; Didan, K.; Miura, T. Development of a two-band enhanced vegetation index without a blue band. Remote Sens. Environ. 2008, 112, 3833–3845. [Google Scholar] [CrossRef]
- Haboudane, D.; Miller, J.R.; Pattey, E.; Zarco-Tejada, P.J.; Strachan, I.B. Hyperspectral vegetation indices and novel algorithms for predicting green LAI of crop canopies: Modeling and validation in the context of precision agriculture. Remote Sens. Environ. 2004, 90, 337–352. [Google Scholar] [CrossRef]
- Wu, C.; Niu, Z.; Tang, Q.; Huang, W. Estimating chlorophyll content from hyperspectral vegetation indices: Modeling and validation. Agric. For. Meteorol. 2008, 148, 1230–1241. [Google Scholar] [CrossRef]
- Babar, M.A.; van Ginkel, M.; Reynolds, M.P.; Prasad, B.; Klatt, A.R. Heritability, correlated response, and indirect selection involving spectral reflectance indices and grain yield in wheat. Aust. J. Agric. Res. 2007, 58, 432–442. [Google Scholar] [CrossRef]
- Gutierrez, M.; Reynolds, M.P.; Raun, W.R.; Stone, M.L.; Klatt, A.R. Spectral water indices for assessing yield in elite bread wheat genotypes in well irrigated, water stressed, and high temperature conditions. Crop Sci. 2010, 50, 197–214. [Google Scholar] [CrossRef]
- Li, F.; Mistele, B.; Hu, Y.; Chen, X.; Schmidhalter, U. Reflectance estimation of canopy nitrogen content in winter wheat using optimized hyperspectral spectral indices and partial least squares regression. Euro. J. Agron. 2014, 52, 198–209. [Google Scholar] [CrossRef]
- Elsayed, S.; Rischbeck, P.; Schmidhalter, U. Comparing the performance of active and passive reflectance sensors to assess the normalized relative canopy temperature and grain yield of drought-stressed barley cultivars. Field Crops Res. 2015, 177, 148–160. [Google Scholar] [CrossRef]
- Hernandez, J.; Lobos, G.A.; Matus, I.; del Pozo, A.; Silva, P.; Galleguillos, M. Using ridge regression models to estimate grain yield from field spectral data in bread wheat (Triticum aestivum L.) grown under three water regimes. Remote Sens. 2015, 7, 2109–2126. [Google Scholar] [CrossRef]
- Rischbeck, P.; Elsayed, S.; Mistele, B.; Barmeier, G.; Heil, K.; Schmidhalter, U. Data fusion of spectral, thermal and canopy height parameters for improved yield prediction of drought stressed spring barley. Euro. J. Agron. 2016, 78, 44–59. [Google Scholar] [CrossRef]
- Feng, M.; Guo, X.; Wang, C.; Yang, W.; Shi, C.; Ding, G.; Zhang, X.; Xiao, L.; Zhang, M.; Song, X. Monitoring and evaluation in freeze stress of winter wheat (Triticum aestivum L.) through canopy hyper-spectrum reflectance and multiple statistical analysis. Ecol. Indicat. 2018, 84, 290–297. [Google Scholar] [CrossRef]
- Allen, R.; Pereira, L.; Raes, D.; Smith, M. Crop Evapotranspiration. Guidelines for Computing Crop Water Requirements; FAO Irrigation and Drainage: Rome, Italy, 1998; 300p. [Google Scholar]
- Zadoks, J.C.; Chang, T.T.; Konzak, C.F. A decimal code for the growth stages of cereals. Weeds Res. 1974, 14, 412–415. [Google Scholar] [CrossRef]
- Gitelson, A.; Merzlyak, M.N. Spectral reflectance changes associated with autumn senescence of Aesculus hippocastanum L. and Acer platanoides L. leaves. Spectral features and relation to chlorophyll estimation. J. Plant Physiol. 1994, 143, 286–292. [Google Scholar] [CrossRef]
- Gitelson, A.A.; Kaufman, Y.J.; Merzlyak, M.N. Use of a green channel in remote sensing of global vegetation from EOS-MODIS. Remote Sens. Environ. 1996, 58, 289–298. [Google Scholar] [CrossRef]
- Raun, W.R.; Solie, J.B.; Johnson, G.V.; Stone, M.L.; Lukina, E.V.; Thomson, W.E.; Schepers, J.S. In-season prediction of potential grain yield in winter wheat using canopy reflectance. Agron. J. 2001, 93, 131–138. [Google Scholar] [CrossRef]
- Gamon, J.A.; Peñuelas, J.; Field, C.B. A narrow-waveband spectral index that tracks diurnal changes in photosynthetic efficiency. Remote Sens. Environ. 1992, 41, 35–44. [Google Scholar] [CrossRef]
- Gitelson, A.A.; Vina, A.; Ciganda, V.; Rundquist, D.C.; Arkebauer, T.J. Remote estimation of canopy chlorophyll content in crops. Geophys. Res. Lett. 2005, 32. [Google Scholar] [CrossRef]
- Barnes, J.D.; Balaguer, L.; Manrique, E.; Elvira, S.; Davison, A.W. A reappraisal of the use of DMSO for the extraction and determination of chlorophylls a and b in lichens and higher plants. Environ. Exp. Bot. 1992, 32, 85–100. [Google Scholar] [CrossRef]
- Peñuelas, J.; Baret, F.; Filella, I. Semi-empirical indices to assess carotenoids/chlorophyll a ratio from leaf spectral reflectance. Photosynthetica 1995, 31, 221–230. [Google Scholar]
- Daughtry, C.S.T.; Walthall, C.L.; Kim, M.S.; De Colstoun, E.B.; McMurtrey, J.E. Estimating corn leaf chlorophyll concentration from leaf and canopy reflectance. Remote Sens. Environ. 2000, 74, 229–239. [Google Scholar] [CrossRef]
- Broge, N.H.; Leblanc, E. Comparing prediction power and stability of broadband and hyperspectral vegetation indices for estimation of green leaf area index and canopy chlorophyll density. Remote Sens. Environ. 2001, 76, 156–172. [Google Scholar] [CrossRef]
- Guyot, G.; Baret, F.; Major, D. High spectral resolution: Determination of spectral shifts between the red and the near infrared. Int. Arch. Photogramm. Remote Sens. 1988, 11, 750–760. [Google Scholar]
- Penuelas, J.; Pinol, J.; Ogaya, R.; Filella, I. Estimation of plant water concentration by the reflectance Water Index WI (R900/R970). Int. J. Remote Sens. 1997, 18, 2869–2875. [Google Scholar] [CrossRef]
- Elsayed, M.E.S.; Mistele, B.; Schmidhalter, U. Can changes in leaf water potential be assessed spectrally? Funct. Plant Biol. 2011, 38, 523–533. [Google Scholar] [CrossRef]
- Babar, M.A.; Reynolds, M.P.; van Ginkel, M.; Klatt, A.R.; Raun, W.R.; Stone, M.L. Spectral reflectance indices as a potential indirect selection criteria for wheat yield under irrigation. Crop Sci. 2006a, 46, 578–588. [Google Scholar] [CrossRef]
- Lozano, F.J.; Suárez-Seoane, S.; de Luis, E. Assessment of several spectral indices derived from multi-temporal Landsat data for fire occurrence probability modeling. Remote Sens. Environ. 2007, 107, 533–544. [Google Scholar] [CrossRef]
- Wang, L.; Qu, J.J. NMDI: A normalized multi-band drought index for monitoring soil and vegetation moisture with satellite remote sensing. Geophys. Res. Lett. 2007, 34. Available online: https://agupubs.onlinelibrary.wiley.com/doi/full/10.1029/2007GL031021 (accessed on 23 October 2007). [CrossRef]
- El-Hendawy, S.E.; Al-Suhaibani, N.; Dewir, Y.H.; El-Sayed, S.; Alotaibi, M.; Hassan, W.M.; Refay, Y.; Tahir, M.U. Ability of modified spectral reflectance indices for estimating growth and photosynthetic efficiency of wheat under saline field conditions/agronomy9010035. Agronomy 2019d, 9, 35. [Google Scholar] [CrossRef]
- Gao, B.C. NDWI—A normalized difference water index for remote sensing of vegetation liquid water from space. Remote Sens. Environ. 1996, 58, 257–266. [Google Scholar] [CrossRef]
- Hardisky, M.A.; Klemas, V.; Smart, R.M. The influence of soil salinity, growth form, and leaf moisture on the spectral radiance of Spartina alterniflora canopies. Photogramm. Eng. Remote Sens. 1983, 49, 77–83. [Google Scholar]
- Zhang, L.; Zhou, Z.; Zhang, G.; Meng, Y.; Chen, B.; Wang, Y. Monitoring cotton (Gossypium hirsutum L.) leaf ion content and leaf water content in saline soil with hyperspectral reflectance. Eur. J. Agron. 2014, 47, 593–610. [Google Scholar] [CrossRef]
- Nagler, P.L.; Daughtry, C.S.T.; Goward, S.N. Plant litter and soil reflectance. Remote Sens. Environ. 2000, 71, 207–215. [Google Scholar] [CrossRef]
- Serrano, L.; Peñuelas, J.; Ustin, S.L. Remote sensing of nitrogen and lignin in Mediterranean vegetation from AVIRIS data: Decomposing biochemical from structural signals. Remote Sens. Environ. 2002, 81, 355–364. [Google Scholar] [CrossRef]
- Daughtry, C.S.T.; Hunt, E.R.; Doraiswamy, P.C.; McMurtrey, J.E. Remote sensing the spatial distribution of crop residues. Agron. J. 2005, 97, 864–871. [Google Scholar] [CrossRef]
- Singh, R.K.; Chaudhary, B.D. Biometrical Methods in Quantitative Genetic Analysis; Kalyani publication: New Delhi, India, 1979; p. 120. [Google Scholar]
- Fehr, W. Principle of Cultivar Development. Theory and Technique; MacMillan Pub. Co.: New York, NY, USA, 1987; Volume I. [Google Scholar]
- Wold, S.; Sjöström, M.; Eriksson, L. PLS-regression: A basic tool of chemometrics. Chemom. Intell. Lab. Syst. 2001, 58, 109–130. [Google Scholar] [CrossRef]
- Haenlein, M.; Kaplan, A.M. A beginner’s guide to partial least squares analysis. Underst. Stat. 2004, 3, 283–297. [Google Scholar] [CrossRef]
- Chen, S.; Hong, X.; Harris, C.J.; Sharkey, P.M. Sparse modeling using orthogonal forward regression with PRESS statistic and regularization. IEEE Trans. Syst. Man Cybernetic Part B: Cybernetics 2004, 34, 898–911. [Google Scholar] [CrossRef]
- Venables, W.N.; Ripley, B.D. Modern Applied Statistics with S, 4th ed.; Springer: New York, NY, USA, 2002. [Google Scholar]
- Vasques, G.M.; Grunwald, S.; Sickman, J.O. Comparison of multivariate methods for inferential modeling of soil carbon using visible/near-infrared spectra. Geoderma. 2008, 146, 14–25. [Google Scholar] [CrossRef]
- Sorrells, M.E. Genomic selection in plants: empirical results and implications for wheat breeding BT—advances in wheat genetics: From genome to field. In Proceedings of the 12th International Wheat Genetics Symposium; Springer: Tokyo, Japan, 2015; pp. 401–409. [Google Scholar] [CrossRef]
- Mathew, I.; Shimelis, H.; Mwadzingeni, L.; Zengeni, R.; Mutema, M.; Chaplot, V. Variance components and heritability of traits related to root: shoot biomass allocation and drought tolerance in wheat. Euphytica 2018, 214, 225. [Google Scholar] [CrossRef]
- Chapman, S.C.; Edmeades, G.O. Selection improves drought tolerance in tropical maize populations. Crop Sci. 2010, 39, 1315. [Google Scholar] [CrossRef]
- Bustos-Korts, D.; Boer, M.P.; Malosetti, M.; Chapman, S.; Chenu, K.; Zheng, B.; van Eeuwijk, F.A. Combining crop growth modeling and statistical genetic modeling to evaluate phenotyping strategies. Front. Plant Sci. 2019, 10, 1491. [Google Scholar] [CrossRef] [PubMed]
- Lopes, M.; Reynolds, R. Stay-green in spring wheat can be determined by spectral reflectance measurements (normalized difference vegetation index) independently from phenology. J. Exp. Bot. 2012, 63, 3789–3798. [Google Scholar] [CrossRef] [PubMed]
- Zerner, M.C.; Rebetzke, G.J.; Gill, G.S. Genotypic stability of weed competitive ability for bread wheat (Triticum aestivum) genotypes in multiple environments. Crop Pasture Sci. 2016, 67, 695–702. [Google Scholar] [CrossRef]
- Walter, J.D.C.; Edwards, J.; McDonald, G.; Kuchel, H. Estimating biomass and canopy height with LiDAR for field crop breeding. Front. Plant Sci. 2019, 10, 1145. [Google Scholar] [CrossRef]
- Acreche, M.M.; Slafer, G.A. Grain weight radiation interception and use efficiency as affected by sink-strength in Mediterranean wheat released from 1940 to 2005. Field Crops Res. 2009, 110, 98–105. [Google Scholar] [CrossRef]
- Reynolds, M.; Foulkes, M.J.; Slafer, G.A.; Berry, P.; Parry, M.A.J.; Snape, J.W.; Angus, W.J. Raising yield potential in wheat. J. Exp. Bot. 2009, 60, 1899–1918. [Google Scholar] [CrossRef]
- Medrano, H.; Escalona, J.M.; Bota, J.; Gulías, J.; Flexas, J. Regulation of photosynthesis of C3 plants in response to progressive drought: Stomatal conductance as a reference parameter. Ann. Bot. 2002, 89, 895–905. [Google Scholar] [CrossRef]
- Flexas, J.; Bota, J.; Loreto, F.; Cornic, G.; Sharkey, T.D. Diffusive and metabolic limitations to photosynthesis under drought and salinity in C3 plants. Plant Biol. 2004, 6, 269–279. [Google Scholar] [CrossRef]
- Falconer, D.S. Introduction to Quantitative Genetics, 3rd ed.; Longman Scientific and Technical: New York, NY, USA, 1989. [Google Scholar]
- Trachsel, S.; Burgueno, J.; Suarez, E.A.; San Vicente, F.M.; Rodriguez, C.S.; Dhliwayo, T. Interrelations among early vigor, flowering time, physiological maturity, and grain yield in tropical maize (Zea mays L.) under multiple abiotic stresses. Crop Sci. 2017, 57, 229–242. [Google Scholar] [CrossRef]
- Maimaitiyiming, M.; Ghulam, A.; Bozzolo, A.; Wilkins, J.L.; Kwasniewski, M.T. Early detection of plant physiological responses to different levels of water stress using reflectance spectroscopy. Remote Sens. 2017, 9, 745. [Google Scholar] [CrossRef]
- Kim, D.M.; Zhang, H.; Zhou, H.; Du, T.; Wu, Q.; Mockler, T.C.; Berezin, M.Y. Highly sensitive image-derived indices of water- stressed plants using hyperspectral imaging in SWIR and histogram analysis. Sci. Rep. 2015, 5, 15919. [Google Scholar] [CrossRef] [PubMed]
- Kovar, M.; Brestic, M.; Sytar, O.; Barek, V.; Hauptvogel, P.; Zivcak, M. Evaluation of hyperspectral reflectance parameters to assess the leaf water content in soybean. Water 2019, 11, 443. [Google Scholar] [CrossRef]
- Christenson, B.S.; Schapaugh, W.T.; Nan, J.R.; Price, K.P.; Prasad, V.; Fritz, A.K. Predicting soybean relative maturity and seed yield using canopy reflectance. Crop Sci. 2016, 56, 625–643. [Google Scholar] [CrossRef]
- Delegido, J.; Verrelst, J.; Meza, C.M.; Rivera, J.P.; Alonso, L.; Moreno, J. A red-edge spectral index for remote sensing estimation of green LAI over agro-ecosystems. Eur. J. Agron. 2013, 46, 42–52. [Google Scholar] [CrossRef]
- Babar, M.A.; Reynolds, M.P.; van Ginkel, M.; Klatt, A.R.; Raun, W.R.; Stone, M.L. Spectral reflectance to estimate genetic variation for in-season biomass, leaf chlorophyll, and canopy temperature in wheat. Crop Sci. 2006, 46, 1046–1057. [Google Scholar] [CrossRef]
- Romero, A.; Aguado, I.; Yebra, M. Estimation of dry matter content in leaves using normalized indexes and PROSPECT model inversion. Int. J. Remote Sens. 2012, 33, 396–414. [Google Scholar] [CrossRef]
- Rapaport, T.; Hochberg, U.; Cochavi, A.; Karnieli, A.; Rachmilevitch, S. The potential of the spectral ‘water balance index’ (WABI) for crop irrigation scheduling. New Phytolog. 2017, 216, 741–757. [Google Scholar] [CrossRef]
- Wang, C.; Feng, M.; Yang, W.; Ding, G.; Xiao, L.; Li, G.; Liu, T. Extraction of sensitive bands for monitoring the winter wheat (Triticum aestivum) growth status and yields based on the spectral reflectance. PloS ONE 2017, 12, e0167679. [Google Scholar] [CrossRef][Green Version]



| Vegetation-SRIs | Algorithm | Ref. |
|---|---|---|
| Normalized difference vegetation index (NDVI) | (R750 − R705)/(R750 + R705) | [44] |
| Green normalized difference vegetation index (GNDVI) | (R780 − R550)/(R780 + R550) | [45] |
| Red normalized difference vegetation index (RNDVI) | (R780 − R670)/(R780 + R670) | [46] |
| Photochemical reflectance index (PRI) | (R531 − R570)/(R531 + R570) | [47] |
| Green chlorophyll index (GCI) | (R800/R550) − 1 | [48] |
| Normalized phaeophytization index (NPQ) | (R415 − R435)/(R415 + R435 ) | [49] |
| Red-edge model index (RM) | (R750/R720) − 1 | [48] |
| Simple ratio pigment index (SRPI) | (R430/R680) | [50] |
| Modified chlorophyll absorption ratio index (MCARI) | [(R700 − R670) − 0.2 × (R700 − R550)] × (R700/R670) | [51] |
| Transformed vegetation index (TVI) | 0.5 × [120 × (R750 − R550) − 200 × (R670 − R550)] | [52] |
| Modified transformed vegetation index (MTVI) | 1.2 × [(1.2 × (R800 − R550) − 2.5 × (R670 − R550)] | [33] |
| Optimized soil adjusted vegetation index (OSAVI) | 1.16 × (R800 − R670)/(R800 + R670 + 0.16) | [31] |
| Red edge inflection point (REIP) | 700 + 40 × [(R670 + R780)/2 − R700]/(R740 − R700) | [53] |
| Structure insensitive pigment index (SIPI) | (R800 − R445 )/(R800 + R680) | [50] |
| Enhanced vegetation index-2 (EVI-2) | 2.5 [(R800 − R660)/(1 + R800 + 2.4 × R660)] | [32] |
| Water-SRIs | ||
| Water index (WI) | (R900/R970) | [54] |
| Ratio of reflectance between 1000 and 1100 nm (R1000/1100) (R1000/R1100) | (R1000/R1100) | [55] |
| Normalized water index-1 (NWI-1) | (R970 − R900)/(R970+R900) | [56] |
| Normalized difference moisture index (NDMI-1) | (R2200 − R1100)/(R2200 + R1100) | [57] |
| Normalized difference moisture index (NDMI-2) | 860 − (R1640 − R2130) / 860 + (R1640 − R2130) | [58] |
| Normalized difference moisture index-D (NDMI-D) | (R1742 − R1660)/(R1742 + R1660) | [59] |
| Normalized difference water index-1240 (NDWI1240) | (R860 − R1240)/(R860 + R1240) | [60] |
| Normalized difference water index-D (NDWI-D) | (R860 − R2270)/(R860 + R2270) | [59] |
| Shortwave infrared water index (SWWI) | (R850 − R1650)/(R850 + R1650) | [61] |
| Normalized difference spectral index (NRWC) | (R1222 − R2264)/(R1222 + R2264) | [62] |
| Development water balance index (WBI-D) | (R1640 − R482)/(R1640 + R482) | [59] |
| Dry matter content index-D (DMCI-D) | (R2305 − R1550)/(R2305 + R1550) | [59] |
| Cellulose absorption index (CAI) | 0.5 × (R2031 − R2211) − R2101 | [63] |
| Normalized difference lignin index (NDLI) | [log (1/R1754) − log (1/R1680)]/[log (1/R1754) + log (1/R1680)] | [64] |
| Ligno-cellulose absorption index (LCA) | 2 R2205 − (R2165 + R2330) | [65] |
| Traits. | Season (S) | Genotypes(G) | G*S | Traits | Season (S) | Genotypes(G) | G*S |
|---|---|---|---|---|---|---|---|
| DF | 1 | 44 | 44 | 1 | 44 | 44 | |
| GY | 7.85 ns | 12.00 *** | 0.630 ns | OSAVI | 0.005 ns | 0.038 *** | 0.008 ns |
| GLA | 1555.2 ns | 20807.8 *** | 676.8 *** | REIP | 1280.4 ns | 6143.2 ns | 2717.9 ns |
| TDW | 0.015 ns | 9.87 *** | 0.318 ns | SIPI | 0.005 ns | 0.108 ns | 0.047 ns |
| LAI | 0.024 ns | 1.20 *** | 0.006 ns | EVI2 | 0.008 ns | 0.053 *** | 0.009 ns |
| RWC | 0.003 ns | 116.7 *** | 2.89 ns | WI | 0.0003 ns | 0.001 * | 0.0005 ns |
| GS | 1912.0 * | 14871.8 *** | 1581.2 *** | R1000/1100 | 0.0001 ns | 0.0008 * | 0.0002 ns |
| SPW | 4.00 ns | 20.51 *** | 1.58 ns | NWI-1 | 0.0001 ns | 0.0002 * | 0.0001 ns |
| HI | 0.001 ns | 0.010 *** | 0.001 * | NDMI-1 | 0.002 ns | 0.011 ns | 0.003 ns |
| NDVI | 0.002 ns | 0.038 *** | 0.005 ns | NDMI-2 | 0.0001 ns | 0.001 * | 0.0005 ns |
| GNDVI | 0.002 ns | 0.015 *** | 0.002 ns | NDMI-D | 0.0001 ns | 0.0001 * | 0.0001 ns |
| RNDVI | 0.006 ns | 0.045 *** | 0.009 ns | NDWI1240 | 0.0001 ns | 0.001 ns | 0.0008 ns |
| PRI | 0.0002 ns | 0.003 ** | 0.0008 ns | NDWI-D | 0.001 ns | 0.013 ns | 0.005 ns |
| GCI | 0.255 ns | 1.68 *** | 0.328 ns | SWWI | 0.0002 ns | 0.006 ns | 0.003 ns |
| NPQI | 0.0003 ns | 0.001 ** | 0.0005 ns | NRWC | 0.002 ns | 0.009 ns | 0.003 ns |
| RM | 0.007 ns | 0.149 *** | 0.023 ns | WBI-D | 0.002 ns | 0.013 ** | 0.005 ns |
| SRPI | 0.015 ns | 0.086 ** | 0.022 ns | DMCI-D | 0.0006 ns | 0.003 ns | 0.0008 ns |
| MCARI | 0.047 ns | 0.424 *** | 0.057 ns | CAI | 0.0001 ns | 0.009 ns | 0.004 ns |
| TVI | 9.21 ns | 323.8 * | 139.3 ns | NDLI | 0.0001 ns | 0.0001 ** | 0.0001 ns |
| MTVI | 0.006 ns | 0.076 * | 0.022 ns | LCA | 0.0001 ns | 0.0002 ns | 0.0001 ns |
| Traits | Minimum | Maximum | Mean (±SE) | Traits | Minimum | Maximum | Mean (±SE) |
|---|---|---|---|---|---|---|---|
| GY | 2.55 | 8.44 | 5.26 ± 0.21 | OSAVI | 0.457 | 0.793 | 0.658 ± 0.012 |
| GLA | 86.41 | 390.97 | 199.67 ± 8.78 | REIP | 738.68 | 858.21 | 769.57 ± 4.77 |
| TDW | 4.18 | 10.37 | 6.61 ± 0.19 | SIPI | 0.987 | 1.497 | 1.113 ± 0.020 |
| LAI | 1.02 | 2.91 | 1.76 ± 0.07 | EVI2 | 0.491 | 0.883 | 0.711 ± 0.014 |
| RWC | 62.41 | 80.10 | 71.39 ± 0.66 | WI | 1.021 | 1.076 | 1.050 ± 0.002 |
| GS | 170.67 | 361.10 | 261.14 ± 7.42 | R1000/1100 | 0.961 | 1.013 | 0.980 ± 0.002 |
| SPW | 5.98 | 14.00 | 10.79 ± 0.28 | NWI-1 | −0.036 | −0.010 | −0.024 ± 0.001 |
| HI | 0.319 | 0.528 | 0.423 ± 0.006 | NDMI-1 | −0.564 | −0.386 | −0.492 ± 0.006 |
| NDVI | 0.251 | 0.574 | 0.425 ± 0.012 | NDMI-2 | 0.546 | 0.597 | 0.571 ± 0.002 |
| GNDVI | 0.456 | 0.671 | 0.562 ± 0.007 | NDMI-D | −0.052 | −0.034 | −0.045 ± 0.001 |
| RNDVI | 0.448 | 0.809 | 0.665 ± 0.013 | NDWI1240 | 0.037 | 0.098 | 0.068 ± 0.002 |
| PRI | −0.057 | 0.045 | 0.0002 ± 0.003 | NDWI-D | −0.614 | −0.428 | −0.539 ± 0.007 |
| GCI | 1.869 | 4.150 | 2.800 ± 0.079 | SWWI | 0.180 | 0.299 | 0.253 ± 0.005 |
| NPQI | −0.095 | −0.031 | −0.065 ± 0.002 | NRWC | 0.391 | 0.549 | 0.481 ± 0.006 |
| RM | 0.343 | 0.977 | 0.659 ± 0.023 | WBI-D | 0.460 | 0.651 | 0.556 ± 0.007 |
| SRPI | 0.611 | 1.076 | 0.850 ± 0.018 | DMCI-D | −0.334 | −0.239 | −0.286 ± 0.003 |
| MCARI | 0.389 | 1.518 | 0.908 ± 0.040 | CAI | −0.369 | −0.220 | −0.273 ± 0.006 |
| TVI | 20.54 | 49.36 | 39.80 ± 1.10 | NDLI | 0.057 | 0.075 | 0.065 ± 0.001 |
| MTVI | 0.649 | 1.102 | 0.922 ± 0.017 | LCA | 0.059 | 0.082 | 0.071 ± 0.001 |
| Traits | h2 | GCV | PCV | GA | GG | Traits | h2 | GCV | PCV | GA | GG |
|---|---|---|---|---|---|---|---|---|---|---|---|
| GY | 77.2 | 21.23 | 24.17 | 2.02 | 38.42 | OSAVI | 79.6 | 10.87 | 12.19 | 0.13 | 19.97 |
| GLA | 96.7 | 29.01 | 29.49 | 117.37 | 58.78 | REIP | 53.2 | 3.08 | 4.22 | 35.57 | 4.62 |
| TDW | 96.8 | 19.09 | 19.40 | 2.56 | 38.68 | SIPI | 53.5 | 8.92 | 12.20 | 0.15 | 13.43 |
| LAI | 99.5 | 25.32 | 25.39 | 0.92 | 52.03 | EVI2 | 81.8 | 11.98 | 13.25 | 0.16 | 22.32 |
| RWC | 97.5 | 6.10 | 6.18 | 8.86 | 12.41 | WI | 47.7 | 0.86 | 1.25 | 0.01 | 1.23 |
| GS | 89.4 | 18.02 | 19.06 | 91.66 | 35.10 | R1000/1100 | 71.9 | 1.00 | 1.18 | 0.02 | 1.75 |
| SPW | 92.3 | 16.47 | 17.14 | 3.52 | 32.59 | NWI-1 | 48.6 | −8.26 | −6.19 | 0.01 | −6.21 |
| HI | 89.9 | 9.18 | 9.68 | 0.08 | 17.93 | NDMI-1 | 68.9 | −7.32 | −8.82 | 0.06 | −2.52 |
| NDVI | 85.9 | 17.28 | 18.65 | 0.14 | 32.99 | NDMI-2 | 57.6 | 1.88 | 2.48 | 0.02 | 2.94 |
| GNDVI | 84.5 | 8.13 | 8.85 | 0.09 | 15.40 | NDMI-D | 76.3 | −8.08 | −9.25 | 0.01 | −4.53 |
| RNDVI | 79.0 | 11.56 | 13.01 | 0.14 | 21.16 | NDWI1240 | 40.9 | 14.26 | 22.30 | 0.01 | 18.79 |
| PRI | 73.1 | 45.93 | 49.79 | 0.04 | 53.19 | NDWI-D | 63.5 | −6.86 | −8.61 | 0.06 | −1.27 |
| GCI | 80.6 | 16.99 | 18.93 | 0.88 | 31.43 | SWWI | 52.5 | 9.22 | 12.72 | 0.04 | 13.76 |
| NPQI | 55.5 | −5.91 | −1.36 | 0.02 | −24.40 | NRWC | 67.9 | 6.58 | 7.99 | 0.05 | 11.17 |
| RM | 84.4 | 21.96 | 23.90 | 0.27 | 41.57 | WBI-D | 58.5 | 6.38 | 8.35 | 0.06 | 10.05 |
| SRPI | 73.6 | 12.10 | 14.10 | 0.18 | 21.40 | DMCI-D | 71.3 | −6.42 | −7.60 | 0.03 | −1.16 |
| MCARI | 86.5 | 27.25 | 29.30 | 0.47 | 52.20 | CAI | 51.8 | −0.17 | −4.13 | 0.04 | −5.09 |
| TVI | 54.4 | 13.68 | 18.55 | 8.27 | 20.79 | NDLI | 24.9 | 3.25 | 6.52 | 0.002 | 3.34 |
| MTVI | 68.2 | 10.08 | 12.21 | 0.16 | 17.15 | LCA | 37.0 | 4.42 | 7.27 | 0.004 | 5.54 |
| Calibration dataset | Validation dataset | |||||
|---|---|---|---|---|---|---|
| R2cal | RMSEcal | RPDcal (%) | R2val | RMSEval | RPDval (%) | |
| GY | 0.71 | 0.781 | 1.87 | 0.69 | 0.815 | 1.78 |
| GLA | 0.54 | 40.96 | 1.45 | 0.46 | 44.03 | 1.35 |
| TDW | 0.75 | 0.643 | 2.00 | 0.72 | 0.698 | 1.86 |
| LAI | 0.68 | 0.252 | 1.78 | 0.65 | 0.264 | 1.69 |
| RWC | 0.61 | 2.759 | 1.58 | 0.53 | 3.035 | 1.45 |
| GS | 0.57 | 35.251 | 1.54 | 0.51 | 37.11 | 1.40 |
| SPW | 0.63 | 1.160 | 1.63 | 0.60 | 1.248 | 1.53 |
| HI | 0.53 | 0.029 | 1.48 | 0.47 | 0.032 | 1.34 |
| Equation | R2 | RMSE |
|---|---|---|
| vegetation-SRIs | ||
| GY = 0.882 + 4.83(MCARI) | 0.83 | 0.598 |
| GLA = 661.7 − 978.8 (GNDVI) + 2249.9 (NPQI) + 257.8 (MCARI) | 0.70 | 33.41 |
| TDW = 5.34 + 26.84(NPQI) + 3.31(MCARI) | 0.86 | 0.598 |
| LAI = 0.417 + 1.48 (MCARI) | 0.78 | 0.214 |
| RWC = 70.19 (NPQI) + 9.13(MCARI) | 0.71 | 2.440 |
| GS = 49.09 + 498.73(NDVI) | 0.63 | 30.587 |
| SPW = 2.219 + 20.16 (NDVI) | 0.75 | 0.941 |
| HI = 0.248 + 0.411(NDVI) | 0.63 | 0.025 |
| water-SRIs | ||
| GY = −1.81 + 85.95 (NDWI-1240) + 21.64 (WBI-D) + 63.50 (DMCI-D) + 103.64(LCA) | 0.78 | 0.702 |
| GLA = −210.26 − 9159.25 (NDMI-D) | 0.41 | 45.818 |
| TDW = −7.69 − 117.02 (NDMI-D) + 12.75 (SWWI) + 10.51 (WBI-D) | 0.78 | 0.618 |
| LAI = −12.85 + 14.14 (NDMI-2) − 76.39 (NDMI-D) + 5.60 (WBI-D) | 0.66 | 0.270 |
| RWC = −79.81 + 152.86(NDMI-2) − 727.91(NDMI-D) + 56.34(WBI-D) | 0.60 | 2.890 |
| GS = −1273.55 + 1539.82 (NDMI-2) − 7205.09(NDMI-D) + 598.64(WBI-D) | 0.50 | 36.631 |
| SPW = −63.59 − 452.06(NDMI-D) − 151.23(NDWI-D) + 29.39(WBI-D) + 152.79(DMCI-D) | 0.77 | 0.937 |
| HI = 0.108 − 7.0372(NDMI-D) | 0.50 | 0.029 |
| All SRIs | ||
| GY = 7.46(MCARI) + 14.15(DMCI-D) − 60.80(NDLI) | 0.86 | 0.554 |
| GLA = 661.68 − 978.8(GNDVI) + 2249.9(NPQI) + 257.76(MCARI) | 0.70 | 33.411 |
| TDW = 5.34 + 26.84(NPQI) + 3.31(MCARI) | 0.86 | 0.497 |
| LAI = 0.417 + 1.48(MCARI) | 0.78 | 0.214 |
| RWC = 85.0 + 123.61(NPQI) + 12.54(MCARI) + 59.39(DMCI-D) | 0.73 | 2.355 |
| GS = 296.05 + 804.66 (NDVI) + 1318.16(DMCI-D) | 0.72 | 26.935 |
| SPW = 10.45 + 28.23(NDVI) + 25.87(NDWI-1240) + 46.92(DMCI-D) | 0.82 | 0.807 |
| HI = 0.248 + 0.411(NDVI) | 0.63 | 0.025 |
© 2020 by the authors. Licensee MDPI, Basel, Switzerland. This article is an open access article distributed under the terms and conditions of the Creative Commons Attribution (CC BY) license (http://creativecommons.org/licenses/by/4.0/).
Share and Cite
El-Hendawy, S.; Al-Suhaibani, N.; Al-Ashkar, I.; Alotaibi, M.; Tahir, M.U.; Solieman, T.; Hassan, W.M. Combining Genetic Analysis and Multivariate Modeling to Evaluate Spectral Reflectance Indices as Indirect Selection Tools in Wheat Breeding under Water Deficit Stress Conditions. Remote Sens. 2020, 12, 1480. https://doi.org/10.3390/rs12091480
El-Hendawy S, Al-Suhaibani N, Al-Ashkar I, Alotaibi M, Tahir MU, Solieman T, Hassan WM. Combining Genetic Analysis and Multivariate Modeling to Evaluate Spectral Reflectance Indices as Indirect Selection Tools in Wheat Breeding under Water Deficit Stress Conditions. Remote Sensing. 2020; 12(9):1480. https://doi.org/10.3390/rs12091480
Chicago/Turabian StyleEl-Hendawy, Salah, Nasser Al-Suhaibani, Ibrahim Al-Ashkar, Majed Alotaibi, Muhammad Usman Tahir, Talaat Solieman, and Wael M. Hassan. 2020. "Combining Genetic Analysis and Multivariate Modeling to Evaluate Spectral Reflectance Indices as Indirect Selection Tools in Wheat Breeding under Water Deficit Stress Conditions" Remote Sensing 12, no. 9: 1480. https://doi.org/10.3390/rs12091480
APA StyleEl-Hendawy, S., Al-Suhaibani, N., Al-Ashkar, I., Alotaibi, M., Tahir, M. U., Solieman, T., & Hassan, W. M. (2020). Combining Genetic Analysis and Multivariate Modeling to Evaluate Spectral Reflectance Indices as Indirect Selection Tools in Wheat Breeding under Water Deficit Stress Conditions. Remote Sensing, 12(9), 1480. https://doi.org/10.3390/rs12091480

