Monitoring Woody Cover Dynamics in Tropical Dry Forest Ecosystems Using Sentinel-2 Satellite Imagery
Abstract
1. Introduction
2. Materials and Methods
2.1. Study Site
2.2. In-Situ Data Collection
2.3. Remotely Sensed Data Pre-Processing
2.4. Woody Cover Estimation
2.5. Monitoring Reforestation Efforts
3. Results
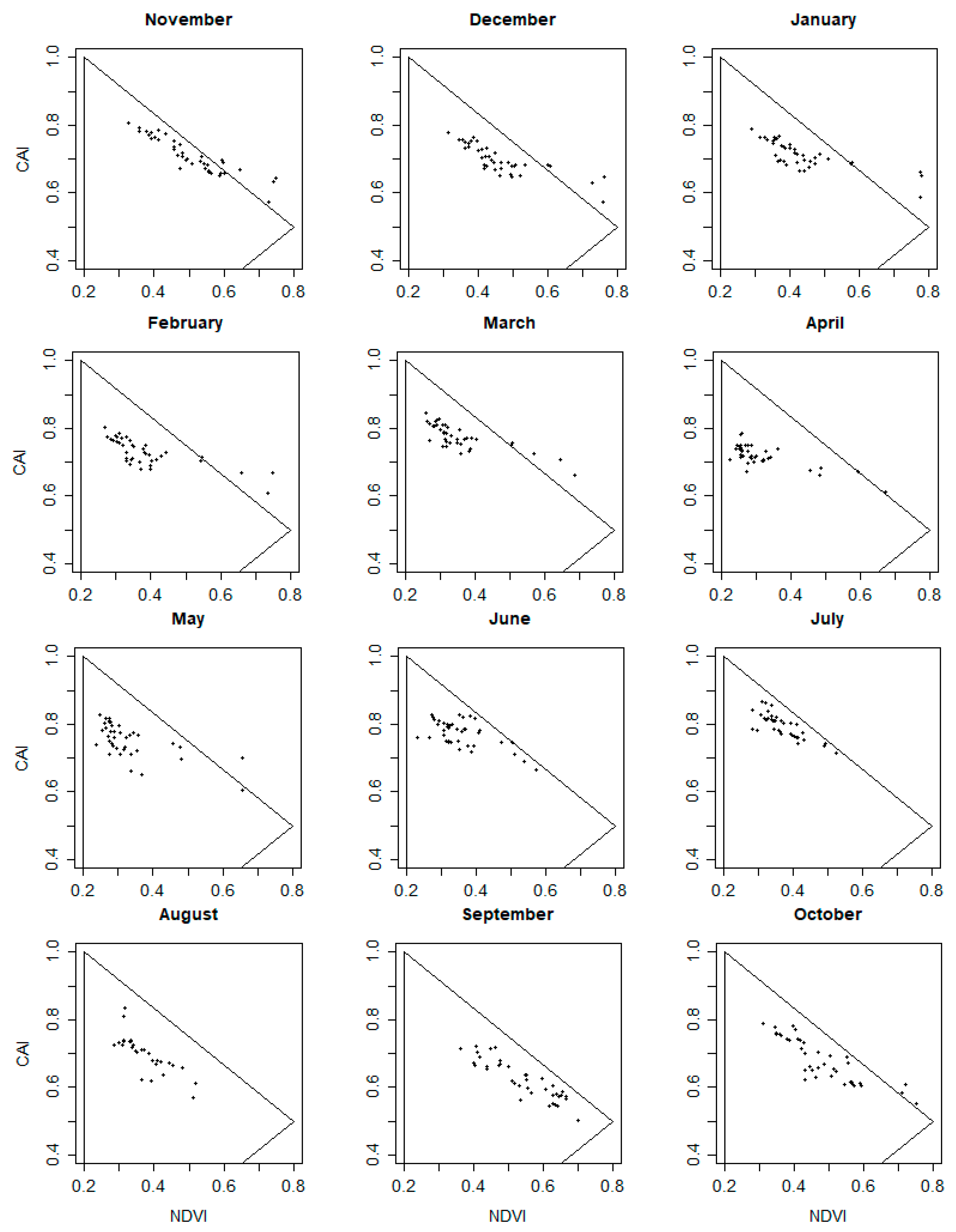
3.1. Training and Testing Retrieval Methods with Data from the Same Study Site (Scenario 1)
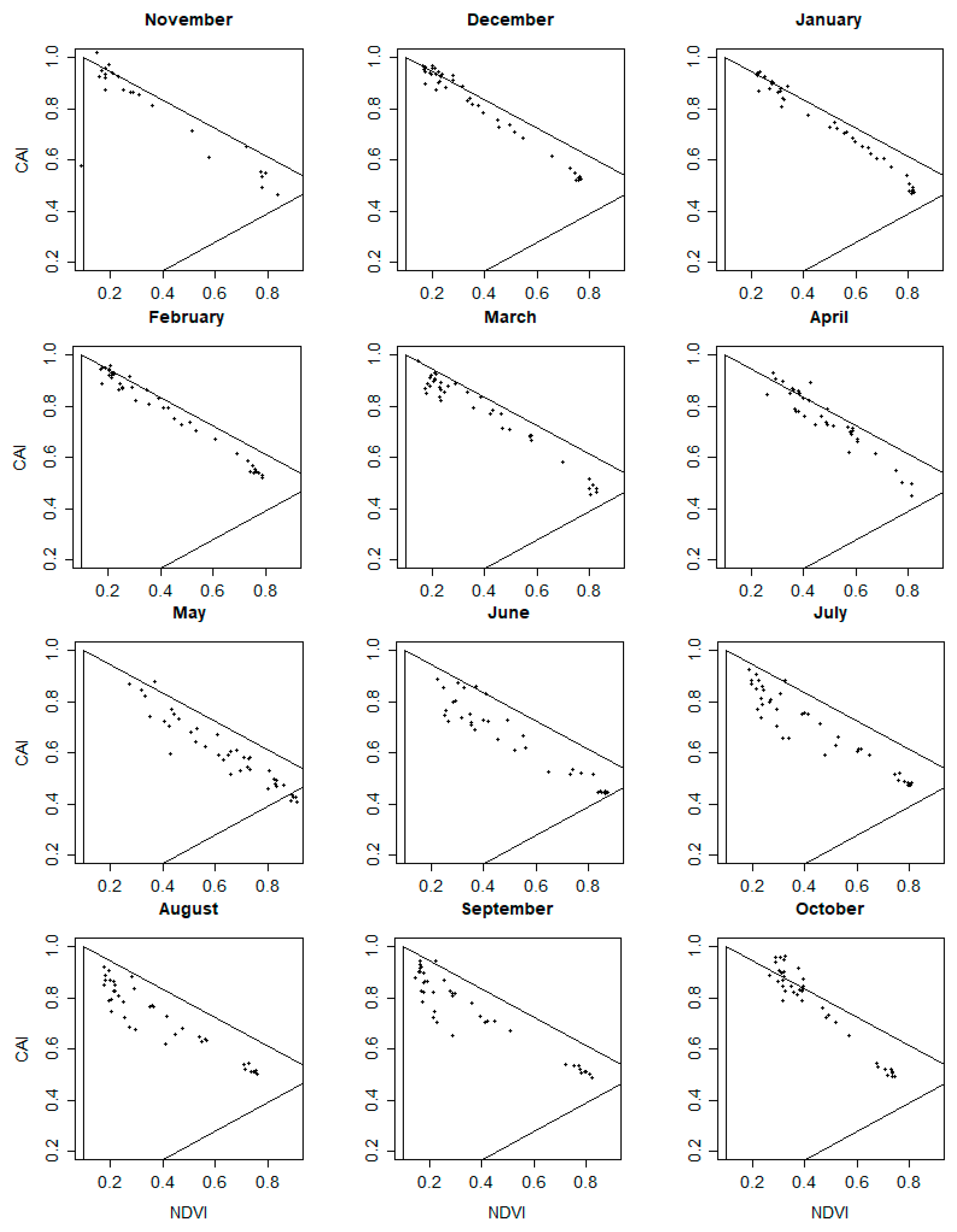
3.2. Training Retrieval Methods with Data from One Site and Testing It Using the Other Site (Scenario 2)
3.3. Training and Testing Retrieval Methods with Data Drawn from Both Sites (Scenario 3)
3.4. Monitoring Reforestation Efforts
4. Discussion
4.1. Method Performance Comparison
4.2. Effect of a Multi-Temporal Approach
4.3. Spatial Transferability of Methods
4.4. Monitoring of Reforestation Efforts
5. Conclusions
Author Contributions
Funding
Acknowledgments
Conflicts of Interest
Appendix A



| Sentinel-2 Data Included | NDVI E → T | NDVI T → E | ||
|---|---|---|---|---|
| R2 | RMSE (%) | R2 | RMSE (%) | |
| Dry month 1 | 0.81 | 10.36 | 0.74 | 5.86 |
| Dry month 2 | 0.87 | 8.32 | 0.67 | 6.98 |
| Dry month 3 | 0.87 | 13.95 | 0.56 | 14.74 |
| Rainy month | 0.37 | 18.55 | 0.13 | 11.29 |
| All-year | 0.86 | 10.15 | 0.72 | 6.96 |
| PLSR Model | E → T | T → E | ||||||
|---|---|---|---|---|---|---|---|---|
| Bands | Bands + NDVI | Bands | Bands + NDVI | |||||
| R2 | RMSE (%) | R2 | RMSE (%) | R2 | RMSE (%) | R2 | RMSE (%) | |
| Dry month 1 | 0.83 | 14.70 | 0.81 | 11.68 | 0.69 | 7.15 | 0.73 | 6.25 |
| Dry month 2 | 0.88 | 10.82 | 0.85 | 9.64 | 0.56 | 7.94 | 0.59 | 7.58 |
| Dry month 3 | 0.83 | 18.94 | 0.45 | 20.85 | 0.34 | 9.71 | 0.41 | 13.00 |
| Rainy month | 0.26 | 48.04 | 0.28 | 32.23 | 0.10 | 15.79 | 0.18 | 15.06 |
| All-year NDVI | 0.86 | 9.00 | 0.63 | 7.27 | ||||
| Random Forest Regression Model | E → T | T → E | ||||||
|---|---|---|---|---|---|---|---|---|
| Bands | Bands + NDVI | Bands | Bands + NDVI | |||||
| R2 | RMSE (%) | R2 | RMSE (%) | R2 | RMSE (%) | R2 | RMSE (%) | |
| Dry month 1 | 0.36 | 20.41 | 0.72 | 13.65 | 0.30 | 9.56 | 0.55 | 7.71 |
| Dry month 2 | 0.38 | 18.50 | 0.74 | 13.85 | 0.42 | 10.08 | 0.44 | 12.25 |
| Dry month 3 | 0.81 | 13.19 | 0.71 | 17.91 | 0.13 | 13.57 | 0.26 | 18.46 |
| Rainy month | 0.00 | 23.14 | 0.02 | 21.74 | 0.33 | 9.75 | 0.38 | 8.98 |
| All-year NDVI | 0.80 | 10.66 | 0.67 | 8.10 | ||||
| Sentinel-2 Data Included | NDVI | |
|---|---|---|
| R2 | RMSE (%) | |
| Dry month 1 | 0.68 | 4.17 |
| Dry month 2 | 0.63 | 4.96 |
| Dry month 3 | 0.06 | 8.25 |
| Rainy month | 0.04 | 15.64 |
| All-year | 0.61 | 4.65 |
| Regression Model | PLSR | Random Forest Regression | ||||||
|---|---|---|---|---|---|---|---|---|
| Bands | Bands + NDVI | Bands | Bands + NDVI | |||||
| R2 | RMSE (%) | R2 | RMSE (%) | R2 | RMSE (%) | R2 | RMSE (%) | |
| Dry month 1 | 0.55 | 7.33 | 0.65 | 4.36 | 0.26 | 12.71 | 0.47 | 8.39 |
| Dry month 2 | 0.57 | 7.16 | 0.59 | 5.25 | 0.54 | 6.74 | 0.51 | 7.95 |
| Dry month 3 | 0.52 | 5.14 | 0.10 | 7.33 | 0.25 | 6.45 | 0.10 | 7.70 |
| Rainy month | 0.04 | 14.47 | 0.11 | 12.64 | 0.04 | 13.30 | 0.09 | 13.91 |
| All-year NDVI | 0.70 | 4.12 | 0.59 | 4.73 | ||||
| Name Exclosure | Mean Predicted Woody Cover in 2017 (%) | Mean Predicted Woody Cover in 2019 (%) | P-Value Of One-Sided t-Test |
|---|---|---|---|
| Adi Amik | 10.29 | 8.18 | 1.00 |
| Adi Meles | 13.38 | 15.06 | 0.00 |
| May Hibo | 21.52 | 20.42 | 1.00 |
| May Getnet | 12.12 | 13.22 | 0.00 |
| Gereb Endaboy Hailu | 18.22 | 16.48 | 1.00 |
| Daero Hidag | 19.88 | 20.66 | 0.00 |
| Afedena | 10.94 | 10.16 | 1.00 |
| Aynmbrkekin | 14.61 | 14.01 | 1.00 |
| Selam | 13.48 | 14.74 | 0.00 |
| Seret | 12.90 | 11.41 | 1.00 |
| Adi Lethsi | 17.08 | 17.45 | 0.00 |
| Meam Atali | 21.66 | 21.70 | 0.24 |
| Chelako | 22.83 | 21.05 | 1.00 |
| Gemgema | 17.97 | 14.86 | 1.00 |
| May Baati | 17.77 | 13.34 | 1.00 |
| Qatina Ruba | 9.43 | 8.93 | 1.00 |
| Taakuro | 17.81 | 19.74 | 0.00 |
| Church forests | 26.03 | 25.02 | 1.00 |




References
- FAO. Global Forest Resources Assessment 2015; FAO: Rome, Italy, 2015; ISBN 9789251092835. [Google Scholar]
- Perera, A.H.; Perterson, U.; Pastur, G.M.; Iverson, L.R. Ecosystem Services from Forest Landscapes; Springer: Cham, Switzerland, 2018; ISBN 9783319745145. [Google Scholar]
- Dieng, C.; Katerere, Y.; Kojwang, H.; Laverdière, M.; Minang, P.A.; Mulimo, P.; Mwangi, E.; Oteng-Yeboah, A.; Sedashonga, C.; Swallow, B.; et al. Making Sub-Saharan African Forests Work for People and Nature; Katerere, Y., Minang, P.A., Vanhanen, H., Eds.; IUFRO’s Special Project on World Forests, Society and Environment (WFSE); IUFRO: Vienna, Austria, 2009; ISBN 9789290592563. [Google Scholar]
- IPCC. Climate Change 2014: Impacts, Adaptation and Vulnerability; Cambridge University Press: Cambridge, UK, 2014; ISBN 9781107641655. [Google Scholar]
- Pennington, R.T.; Lehmann, C.E.R.; Rowland, L.M. Tropical savannas and dry forests. Curr. Biol. 2018, 28, R541–R545. [Google Scholar] [CrossRef] [PubMed]
- Gonsamo, A.; D’Odorico, P.; Pellikka, P. Measuring fractional forest canopy element cover and openness—Definitions and methodologies revisited. Oikos 2013, 122, 1283–1291. [Google Scholar] [CrossRef]
- Naidoo, L.; Mathieu, R.; Main, R.; Kleynhans, W.; Wessels, K.; Asner, G.; Leblon, B. Savannah woody structure modelling and mapping using multi-frequency (X-, C- and L-band) Synthetic Aperture Radar data. ISPRS J. Photogramm. Remote Sens. 2015, 105, 234–250. [Google Scholar] [CrossRef]
- Madonsela, S.; Azong, M.; Ramoelo, A.; Mutanga, O. Estimating tree species diversity in the savannah using NDVI and woody canopy cover. Int. J. Appl. Earth Obs. Geoinf. 2018, 66, 106–115. [Google Scholar] [CrossRef]
- Mathieu, R.; Naidoo, L.; Cho, M.A.; Leblon, B.; Main, R.; Wessels, K.; Asner, G.P.; Buckley, J.; Van Aardt, J.; Erasmus, B.F.N.; et al. Toward structural assessment of semi-arid African savannahs and woodlands: The potential of multitemporal polarimetric RADARSAT-2 fine beam images. Remote Sens. Environ. 2013, 138, 215–231. [Google Scholar] [CrossRef]
- Brandt, M.; Hiernaux, P.; Tagesson, T.; Verger, A.; Rasmussen, K.; Aziz, A.; Mbow, C.; Mougin, E.; Fensholt, R. Woody plant cover estimation in drylands from Earth Observation based seasonal metrics. Remote Sens. Environ. 2016, 172, 28–38. [Google Scholar] [CrossRef]
- Guerschman, P.J.; Hill, M.J.; Renzullo, L.J.; Barrett, D.J.; Marks, A.S.; Botha, E.J. Estimating fractional cover of photosynthetic vegetation, non-photosynthetic vegetation and bare soil in the Australian tropical savanna region upscaling the EO-1 Hyperion and MODIS sensors. Remote Sens. Environ. 2009, 113, 928–945. [Google Scholar] [CrossRef]
- Wu, W. Derivation of tree canopy cover by multiscale remote sensing approach. ISPRS Work. Geospat. Data Infrastruct. 2009, 142–149. [Google Scholar] [CrossRef]
- Lu, D. The potential and challenge of remote sensing-based biomass estimation. Int. J. Remote Sens. 2006, 27, 1297–1328. [Google Scholar] [CrossRef]
- Wolter, P.T.; Townsend, P.A.; Sturtevant, B.R. Estimation of forest structural parameters using 5 and 10 meter SPOT-5 satellite data. Remote Sens. Environ. 2009, 113, 2019–2036. [Google Scholar] [CrossRef]
- Gessner, U.; Machwitz, M.; Conrad, C.; Dech, S. Estimating the fractional cover of growth forms and bare surface in savannas. A multi-resolution approach based on regression tree ensembles. Remote Sens. Environ. 2013, 129, 90–102. [Google Scholar] [CrossRef]
- Ludwig, M.; Morgenthal, T.; Detsch, F.; Higginbottom, T.P.; Lezama Valdes, M.; Nauss, T.; Meyer, H. Machine learning and multi-sensor based modelling of woody vegetation in the Molopo Area, South Africa. Remote Sens. Environ. 2019, 222, 195–203. [Google Scholar] [CrossRef]
- Hill, M.J. Vegetation index suites as indicators of vegetation state in grassland and savanna: An analysis with simulated SENTINEL 2 data for a North American transect. Remote Sens. Environ. 2013, 137, 94–111. [Google Scholar] [CrossRef]
- Herrmann, S.M.; Wickhorst, A.J.; Marsh, S.E. Estimation of tree cover in an agricultural parkland of senegal using rule-based regression tree modeling. Remote Sens. 2013, 5, 4900–4918. [Google Scholar] [CrossRef]
- Hill, M.J.; Renzullo, L.J.; Guerschman, J.; Marks, A.S.; Barrett, D.J. Use of vegetation index “fingerprints” from hyperion data to characterize vegetation states within land cover/land use types in an australian tropical savanna. IEEE J. Sel. Top. Appl. Earth Obs. Remote Sens. 2013, 6, 309–319. [Google Scholar] [CrossRef]
- Ali, I.; Cawkwell, F.; Dwyer, E.; Barrett, B.; Green, S. Satellite remote sensing of grasslands: From observation to management. J. Plant Ecol. 2016, 9, 649–671. [Google Scholar] [CrossRef]
- Mougin, E.; Demarez, V.; Diawara, M.; Hiernaux, P.; Soumaguel, N.; Berg, A. Estimation of LAI, fAPAR and fCover of Sahel rangelands (Gourma, Mali). Agric. For. Meteorol. 2014, 198, 155–167. [Google Scholar] [CrossRef]
- Mayr, M.J.; Samimi, C. Comparing the dry season in-situ Leaf Area Index (LAI) derived from high-resolution RapidEye imagery with MODIS LAI in a Namibian savanna. Remote Sens. 2015, 7, 4834–4857. [Google Scholar] [CrossRef]
- Huete, A.R. A soil-adjusted vegetation index (SAVI). Remote Sens. Environ. 1988, 25, 295–309. [Google Scholar] [CrossRef]
- Kamusoko, C.; Gamba, J.; Murakami, H. Mapping woodland cover in the miombo ecosystem: A comparison of machine learning classifiers. Land 2014, 3, 524–540. [Google Scholar] [CrossRef]
- Cutler, M.E.J.; Boyd, D.S.; Foody, G.M.; Vetrivel, A. Estimating tropical forest biomass with a combination of SAR image texture and Landsat TM data: An assessment of predictions between regions. ISPRS J. Photogramm. Remote Sens. 2012, 70, 66–77. [Google Scholar] [CrossRef]
- Jin, S.; Su, Y.; Gao, S.; Hu, T.; Liu, J.; Guo, Q. The transferability of Random Forest in canopy height estimation from multi-source remote sensing data. Remote Sens. 2018, 10, 1183. [Google Scholar] [CrossRef]
- Korhonen, L.; Hadi; Packalen, P.; Rautiainen, M. Comparison of Sentinel-2 and Landsat 8 in the estimation of boreal forest canopy cover and leaf area index. Remote Sens. Environ. 2017, 195, 259–274. [Google Scholar] [CrossRef]
- BOS+. Available online: https://www.bosplus.be/nl/wat-we-doen (accessed on 16 April 2020).
- FDRE. Ethiopia’s Climate-Resilient Green Economy: Green Economy Strategy; Federal Democratic Republic of Ethiopia: Addis Ababa, Ethiopia, 2011; pp. 1–200. [Google Scholar]
- BOS+. Tanzania Programme. In Het meerjarenplan 2017-2021 van BOS+ tropen vzw. 2017; pp. 255–296. Available online: https://www.bosplus.be/l/library/download/urn:uuid:a67686d9-fbf8-4861-ab21-1bc34cd04977/beleidsplan+2017-2021_bos%2B+vlaanderen.pdf?&ext=.pdf (accessed on 16 April 2020).
- Babulo, B.; Muys, B.; Haregeweyn, N.; Descheemaeker, K.; Deckers, J.; Poesen, J.; Nyssen, J.; Mathijs, E. Cost-benefit analysis of soil and water conservation measure: The case of exclosures in northern Ethiopia. For. Policy Econ. 2012, 15, 27–36. [Google Scholar]
- Descheemaeker, K.; Muys, B.; Nyssen, J.; Poesen, J.; Raes, D.; Haile, M.; Deckers, J. Litter production and organic matter accumulation in exclosures of the Tigray highlands, Ethiopia. For. Ecol. Manag. 2006, 233, 21–35. [Google Scholar] [CrossRef]
- Babulo, B. Economic valuation and management of common-pool resources: The case of exclosures in the highlands of Tigray, Northern Ethiopia. Ph.D. Thesis, Katholieke Universiteit, Leuven, Belgium, 18 October 2007. [Google Scholar]
- Gebrehiwot, T.; van der Veen, A. Climate change vulnerability in Ethiopia: Disaggregation of Tigray Region. J. East. Afr. Stud. 2013, 7, 607–629. [Google Scholar] [CrossRef]
- Aerts, R. Church forests in Ethiopia. Front. Ecol. Environ. 2007, 5, 66–69. [Google Scholar]
- Klepeis, P.; Orlowska, I.A.; Kent, E.F.; Cardelús, C.L.; Scull, P.; Wassie Eshete, A.; Woods, C. Ethiopian church forests: A hybrid model of protection. Hum. Ecol. 2016, 44, 715–730. [Google Scholar] [CrossRef]
- Chorowicz, J. The East African rift system. J. Afr. Earth Sci. 2005, 43, 379–410. [Google Scholar] [CrossRef]
- ADF. African Development Fund (ADF) Monduli District Water Project 2003; ADF: Tunis, Tunis, 2003. [Google Scholar]
- Olson, D.M.; Dinerstein, E.; Wikramanayake, E.D.; Burgess, N.D.; Powell, G.V.N.; Underwood, E.C.; Kassem, K.R. Terrestrial ecoregions of the world: A new map of life on earth. Bioscience 2001, 51, 933–938. [Google Scholar] [CrossRef]
- ESA; Copernicus. European Commission Copernicus Open Access Hub. Available online: https://scihub.copernicus.eu/dhus/#/home (accessed on 2 January 2019).
- ESA Sentinel-2. Available online: https://sentinel.esa.int/web/sentinel/missions/sentinel-2 (accessed on 11 December 2018).
- ESA Sen2Cor. Available online: http://step.esa.int/main/third-party-plugins-2/sen2cor/ (accessed on 2 January 2019).
- ESA. Sentinel-2. Sen2Cor Configuration and User Manual. 2019. Available online: http://step.esa.int/main/third-party-plugins-2/sen2cor/sen2cor_v2-8/ (accessed on 16 April 2020).
- Rouse, J.; Haas, R.; Schell, J.; Deering, D.; Harlan, J. Monitoring the Vernal Advancement of Retrogradation of Natural Vegetation, type III; NASA/GSFC: Greenbelt, MD, USA, 1974. [Google Scholar]
- Næsset, E.; Bollandsås, O.M.; Gobakken, T. Comparing regression methods in estimation of biophysical properties of forest stands from two different inventories using laser scanner data. Remote Sens. Environ. 2005, 94, 541–553. [Google Scholar] [CrossRef]
- Breiman, L. Random forests. Mach. Learn. 2001, 45, 5–32. [Google Scholar] [CrossRef]
- Tsalyuk, M.; Kelly, M.; Getz, W.M. Improving the prediction of African savanna vegetation variables using time series of MODIS products. ISPRS J. Photogramm. Remote Sens. 2017, 131, 77–91. [Google Scholar] [CrossRef] [PubMed]
- Karlson, M.; Ostwald, M.; Reese, H.; Sanou, J.; Tankoana, B.; Mattson, E. Mapping tree canopy cover and aboveground biomass in sudano-sahelian woodlands using landsat 8 and random forest. Remote Sens. 2015, 7, 10017–10041. [Google Scholar] [CrossRef]
- MORAN, P.A.P. Notes on continuous stochastic phenomena. Biometrika 1950, 37, 17–23. [Google Scholar] [CrossRef] [PubMed]
- Anderson-Sprecher, R. Model comparisons and R2. Am. Stat. 1994, 48, 113–117. [Google Scholar]
- Aerts, R.; Lerouge, F.; November, E. Birds of forests and open woodlands in the highlands of Dogu’a Tembien. In Geo-Trekking in Ethiopia’s Tropical Mountains; Nyssen, J., Jacob, M., Frankl, A., Eds.; Springer: Berlin/Heidelberg, Germany, 2019; pp. 261–277. ISBN 978-3-030-04954-6. [Google Scholar]
- Zenebe, A.; Girma, A.; Guyassa, E.; Ashafa, T.G.; Munro, R.N.; Haile, M.; Poesen, J.; Deckers, J.; Nyssen, J. Land use and suitability for rainfed agriculture. In Geotrekking in Ethiopia’s Tropical Mountains; Nyssen, J., Jacob, M., Frankl, A., Eds.; Springer: Berlin/Heidelberg, Germany, 2019; pp. 373–386. ISBN 978-3-030-04954-6. [Google Scholar]
- USGS EarthExplorer—Home. Available online: https://earthexplorer.usgs.gov/ (accessed on 24 February 2020).
- Glenn, E.P.; Huete, A.R.; Nagler, P.L.; Nelson, S.G. Relationship between remotely-sensed vegetation indices, canopy attributes and plant physiological processes: What vegetation indices can and cannot tell us about the landscape. Sensors 2008, 8, 2136–2160. [Google Scholar] [CrossRef]
- Ahmed, O.S.; Franklin, S.E.; Wulder, M.A.; White, J.C. Characterizing stand-level forest canopy cover and height using Landsat time series, samples of airborne LiDAR, and the Random Forest algorithm. ISPRS J. Photogramm. Remote Sens. 2015, 101, 89–101. [Google Scholar] [CrossRef]
- Verrelst, J.; Camps-valls, G.; Muñoz-marí, J.; Pablo, J.; Veroustraete, F.; Clevers, J.G.P.W.; Moreno, J. Optical remote sensing and the retrieval of terrestrial vegetation bio-geophysical properties—A review. ISPRS J. Photogramm. Remote Sens. 2015, 108, 273–290. [Google Scholar] [CrossRef]
- Descheemaeker, K.; Nyssen, J.; Rossi, J.; Poesen, J.; Haile, M.; Raes, D.; Muys, B.; Moeyersons, J.; Deckers, S. Sediment deposition and pedogenesis in exclosures in the Tigray highlands, Ethiopia. Geoderma 2006, 132, 291–314. [Google Scholar] [CrossRef]
- Macedo, F.L.; Sousa, A.M.O.; Gonçalves, A.C.; José, R.; Silva, M.; Mesquita, P.A.; Rodrigues, R.A.F.; Macedo, F.L.; Sousa, A.M.O.; Gonçalves, A.C. Above-ground biomass estimation for Quercus rotundifolia using vegetation indices derived from high spatial resolution satellite images. Eur. J. Remote Sens. 2018, 51, 932–944. [Google Scholar] [CrossRef]
- Higginbottom, T.P.; Symeonakis, E.; Meyer, H.; van der Linden, S. Mapping fractional woody cover in semi-arid savannahs using multi-seasonal composites from Landsat data. ISPRS J. Photogramm. Remote Sens. 2018, 139, 88–102. [Google Scholar] [CrossRef]
- Urbazaev, M.; Thiel, C.; Mathieu, R.; Naidoo, L.; Levick, S.R.; Smit, I.P.J.; Asner, G.P.; Schmullius, C. Assessment of the mapping of fractional woody cover in southern African savannas using multi-temporal and polarimetric ALOS PALSAR L-band images. Remote Sens. Environ. 2015, 166, 138–153. [Google Scholar] [CrossRef]
- Heiskanen, J.; Kivinen, S. Assessment of multispectral, -temporal and -angular MODIS data for tree cover mapping in the tundra-taiga transition zone. Remote Sens. Environ. 2008, 112, 2367–2380. [Google Scholar] [CrossRef]
- Foody, G.M.; Boyd, D.S.; Cutler, M.E.J. Predictive relations of tropical forest biomass from Landsat TM data and their transferability between regions. Remote Sens. Environ. 2003, 85, 463–474. [Google Scholar] [CrossRef]
- Fernández-Guisuraga, J.M.; Calvo, L.; Fernández-García, V.; Marcos-Porras, E.; Taboada, Á.; Suárez-Seoane, S. Efficiency of remote sensing tools for post-fire management along a climatic gradient. For. Ecol. Manag. 2019, 433, 553–562. [Google Scholar] [CrossRef]
- Lu, D.; Batistella, M.; Moran, E.; Hetrick, S.; Alves, D.; Brondizio, E. Fractional forest cover mapping in the Brazilian Amazon with a combination of MODIS and TM images. Int. J. Remote Sens. 2011, 32, 7131–7149. [Google Scholar] [CrossRef]
- Liu, X.; Liu, H.; Qiu, S.; Wu, X.; Tian, Y.; Hao, Q. An improved estimation of regional fractional woody/herbaceous cover using combined satellite data and high-quality training samples. Remote Sens. 2017, 9, 32. [Google Scholar] [CrossRef]
- Pandit, S.; Tsuyuki, S.; Dube, T. Estimating above-ground biomass in sub-tropical buffer zone community forests, Nepal, using Sentinel 2 data. Remote Sens. 2018, 10, 601. [Google Scholar] [CrossRef]
- Lambert, J.; Drenou, C.; Denux, J.P.; Balent, G.; Cheret, V. Monitoring forest decline through remote sensing time series analysis. GIScience Remote Sens. 2013, 50, 437–457. [Google Scholar] [CrossRef]
- Woldu, G.; Solomon, N.; Hishe, H.; Gebrewahid, H.; Gebremedhin, M.A.; Birhane, E. Topographic variables to determine the diversity of woody species in the exclosure of Northern Ethiopia. Heliyon 2020, 6, 1–6. [Google Scholar] [CrossRef] [PubMed]
- Jacob, M.; Lanckriet, S.; Descheemaeker, K. Exclosures as primary option for reforestation in Dogu’a Tembien. In Geo-Trekking in Ethiopia’s Tropical Mountains; Nyssen, J., Jacob, M., Frankl, A., Eds.; Springer: Berlin/Heidelberg, Germany, 2019; pp. 251–260. ISBN 978-3-030-04954-6. [Google Scholar]



| Model Name | Predictor Variables Included |
|---|---|
| ‘Month’—bands | All Sentinel-2 bands from one month. |
| ‘Month’—bands + Normalised Difference Vegetation Index (NDVI) | All Sentinel-2 bands and NDVI value from one month. |
| All-year NDVI | All monthly NDVI values from November 2017 until October 2018. |
| Month Included | Ethiopia | Tanzania |
|---|---|---|
| Dry month 1 | April | August |
| Dry month 2 | May | September |
| Dry month 3 | June | October |
| Rainy month | September | May |
| Retrieval Method | RS Input Data | Scenario: Training Site—Testing Site | ||
|---|---|---|---|---|
| 1. Linear regression | 1. Single date | Scenario 1: Ethiopia—Ethiopia | ||
| 2. PLSR | 2. Multi-temporal | Scenario 1: Tanzania—Tanzania | ||
| 3. Random Forest regression | Scenario 2: Ethiopia—Tanzania | |||
| Scenario 2: Tanzania—Ethiopia | ||||
| Scenario 3: Ethiopia & Tanzania—Ethiopia & Tanzania |
| Sentinel-2 Data Included | NDVI Ethiopia | NDVI Tanzania | ||
|---|---|---|---|---|
| R2 | RMSE (%) | R2 | RMSE (%) | |
| Nov 2017 | 0.89 | 6.97 | - | - |
| Dec 2017 | 0.86 | 5.91 | 0.69 | 7.60 |
| Jan 2018 | 0.91 | 5.48 | 0.44 | 18.84 |
| Feb 2018 | 0.92 | 5.84 | 0.74 | 10.87 |
| Mar 2018 | 0.96 | 5.36 | 0.72 | 13.24 |
| Apr 2018 | 0.96 | 4.79 | - | - |
| May 2018 | - | - | 0.10 | 15.25 |
| Jun 2018 | 0.93 | 8.14 | - | - |
| Jul 2018 | 0.93 | 10.20 | 0.58 | 11.60 |
| Aug 2018 | - | - | 0.61 | 10.22 |
| Sep 2018 | 0.81 | 11.15 | 0.67 | 5.60 |
| Oct 2018 | 0.87 | 9.91 | 0.78 | 5.27 |
| All-year | 0.95 | 5.57 | 0.69 | 9.55 |
| PLSR Model | Ethiopia | Tanzania | ||||||
|---|---|---|---|---|---|---|---|---|
| Bands | Bands + NDVI | Bands | Bands + NDVI | |||||
| R2 | RMSE (%) | R2 | RMSE (%) | R2 | RMSE (%) | R2 | RMSE (%) | |
| Nov 2017 | 0.77 | 7.58 | 0.75 | 6.54 | - | - | - | - |
| Dec 2017 | 0.78 | 7.81 | 0.78 | 6.08 | 0.65 | 6.50 | 0.69 | 7.17 |
| Jan 2018 | 0.82 | 8.28 | 0.88 | 5.25 | 0.43 | 15.73 | 0.44 | 18.16 |
| Feb 2018 | 0.84 | 8.56 | 0.91 | 5.76 | 0.72 | 6.60 | 0.75 | 10.20 |
| Mar 2018 | 0.88 | 8.51 | 0.93 | 5.91 | 0.27 | 9.35 | 0.34 | 8.56 |
| Apr 2018 | 0.82 | 8.71 | 0.95 | 5.21 | - | - | - | - |
| May 2018 | - | - | - | - | 0.43 | 29.24 | 0.34 | 12.83 |
| Jun 2018 | 0.75 | 9.72 | 0.89 | 7.69 | - | - | - | - |
| Jul 2018 | 0.75 | 11.31 | 0.92 | 10.05 | 0.51 | 12.45 | 0.58 | 11.65 |
| Aug 2018 | - | - | - | - | 0.57 | 8.41 | 0.62 | 10.51 |
| Sep 2018 | 0.65 | 8.03 | 0.65 | 8.03 | 0.64 | 7.04 | 0.69 | 5.57 |
| Oct 2018 | 0.63 | 7.91 | 0.70 | 7.25 | 0.80 | 6.39 | 0.83 | 7.77 |
| All-year NDVI | 0.96 | 5.45 | 0.75 | 7.99 | ||||
| Random Forest Regression Model | Ethiopia | Tanzania | ||||||
|---|---|---|---|---|---|---|---|---|
| Bands | Bands + NDVI | Bands | Bands + NDVI | |||||
| R2 | RMSE (%) | R2 | RMSE (%) | R2 | RMSE (%) | R2 | RMSE (%) | |
| Nov 2017 | 0.85 | 5.81 | 0.84 | 6.01 | - | - | - | - |
| Dec 2017 | 0.90 | 4.92 | 0.92 | 5.01 | 0.49 | 8.06 | 0.42 | 8.38 |
| Jan 2018 | 0.72 | 7.34 | 0.78 | 6.83 | 0.72 | 10.14 | 0.68 | 10.57 |
| Feb 2018 | 0.57 | 8.53 | 0.83 | 4.82 | 0.68 | 8.73 | 0.67 | 8.33 |
| Mar 2018 | 0.85 | 7.96 | 0.74 | 9.60 | 0.56 | 6.24 | 0.49 | 6.44 |
| Apr 2018 | 0.39 | 11.08 | 0.52 | 10.32 | - | - | - | - |
| May 2018 | - | - | - | - | 0.24 | 10.24 | 0.44 | 9.55 |
| Jun 2018 | 0.03 | 13.57 | 0.66 | 11.44 | - | - | - | - |
| Jul 2018 | 0.25 | 12.68 | 0.87 | 9.61 | 0.68 | 7.59 | 0.63 | 7.22 |
| Aug 2018 | - | - | - | - | 0.67 | 6.59 | 0.69 | 5.95 |
| Sep 2018 | 0.66 | 7.10 | 0.66 | 7.41 | 0.56 | 6.68 | 0.55 | 5.80 |
| Oct 2018 | 0.69 | 7.91 | 0.71 | 7.29 | 0.52 | 8.25 | 0.56 | 7.62 |
| All-year NDVI | 0.85 | 5.49 | 0.68 | 6.61 | ||||
| Regression Model Using All-Year NDVI | E → T | T → E | E + T | |||
|---|---|---|---|---|---|---|
| R2 | RMSE (%) | R2 | RMSE (%) | R2 | RMSE (%) | |
| Linear regression | 0.86 | 10.15 | 0.72 | 6.96 | 0.61 | 4.65 |
| PLSR | 0.86 | 9.00 | 0.63 | 7.27 | 0.70 | 4.12 |
| Random Forest regression | 0.80 | 10.66 | 0.67 | 8.10 | 0.59 | 4.73 |
© 2020 by the authors. Licensee MDPI, Basel, Switzerland. This article is an open access article distributed under the terms and conditions of the Creative Commons Attribution (CC BY) license (http://creativecommons.org/licenses/by/4.0/).
Share and Cite
Van Passel, J.; De Keersmaecker, W.; Somers, B. Monitoring Woody Cover Dynamics in Tropical Dry Forest Ecosystems Using Sentinel-2 Satellite Imagery. Remote Sens. 2020, 12, 1276. https://doi.org/10.3390/rs12081276
Van Passel J, De Keersmaecker W, Somers B. Monitoring Woody Cover Dynamics in Tropical Dry Forest Ecosystems Using Sentinel-2 Satellite Imagery. Remote Sensing. 2020; 12(8):1276. https://doi.org/10.3390/rs12081276
Chicago/Turabian StyleVan Passel, Johanna, Wanda De Keersmaecker, and Ben Somers. 2020. "Monitoring Woody Cover Dynamics in Tropical Dry Forest Ecosystems Using Sentinel-2 Satellite Imagery" Remote Sensing 12, no. 8: 1276. https://doi.org/10.3390/rs12081276
APA StyleVan Passel, J., De Keersmaecker, W., & Somers, B. (2020). Monitoring Woody Cover Dynamics in Tropical Dry Forest Ecosystems Using Sentinel-2 Satellite Imagery. Remote Sensing, 12(8), 1276. https://doi.org/10.3390/rs12081276

