Does Sentinel-1A Backscatter Capture the Spatial Variability in Canopy Gaps of Tropical Agroforests? A Proof-of-Concept in Cocoa Landscapes in Cameroon
Abstract
1. Introduction
2. Materials and Methods
2.1. Study Sites
2.2. Assessment of Canopy Cover
2.3. Relating SAR Backscatter to Canopy Gap Fraction
2.4. Predicting Canopy Gap from SAR Backscatter
2.4.1. Bootstrap Regression
2.4.2. Neural Network (NN) Prediction
- Initializing the weights and bias.
- Layout input 2D array [] and desired output 1D array [].
- Calculate the NN output 1D array [].
- Update the weights.
- Iterating back to step 2 as needed, and depending on set learning rate, or stopping the training when a set error tolerance level is reached—early stopping.
2.4.3. Random Forest Ensemble Regression
2.5. Semi-Variogram Analysis of Spatial Correlation in Canopy Gap Fraction
- : the semi-variogram function.
- : the set of all pairwise Euclidean distance .
- : the number of distinct pairs in N(h).
- and : data values at spatial location i and j, respectively.
- h: distance, in magnitude only.
3. Results
3.1. Canopy Gap Estimation from DHPs
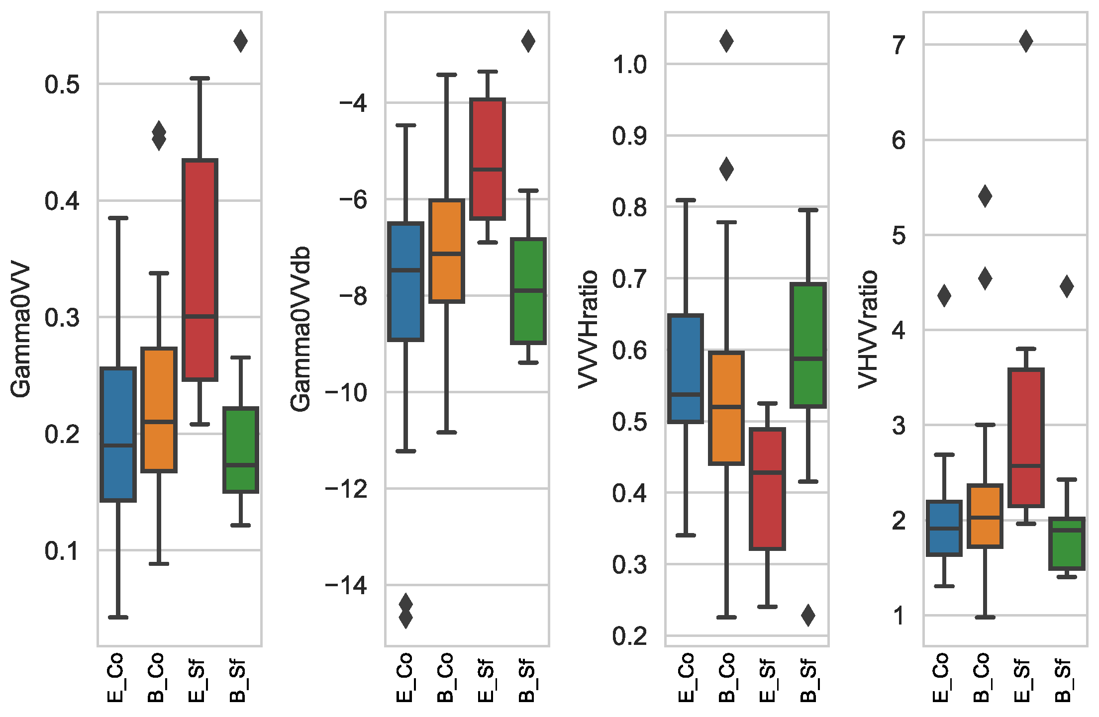
3.2. Relationship between Canopy Gap Fraction and SAR Backscatter
3.3. Spatial Prediction of Canopy Gap Distribution
3.3.1. Bootstrap Regression Prediction
3.3.2. Neural Network (NN) Prediction
3.3.3. Random Forest (RF) Prediction
4. Discussion
4.1. Sensitivity of S-1A Backscatter (VV vs. VH) to Canopy Gap Fraction
4.2. Spatial Variability in Canopy Gap Fraction
4.3. Management Considerations for Canopy Gap Distribution
5. Conclusions
Supplementary Materials
Author Contributions
Funding
Acknowledgments
Conflicts of Interest
References
- Costanza, R.; Arge, R.; Groot, R.D.; Farber, S.; Grasso, M.; Hannon, B.; Limburg, K.; Naeem, S.; Neill, R.V.O.; Paruelo, J.; et al. The value of the world’s ecosystem services and natural capital. Nature 1997, 387, 253–260. [Google Scholar] [CrossRef]
- Mortimer, R.; Saj, S.; David, C. Supporting and regulating ecosystem services in cacao agroforestry systems. Agrofor. Syst. 2018, 92, 1639–1657. [Google Scholar] [CrossRef]
- Bernard, F.; Minang, P.A. Community forestry and REDD + in Cameroon: What future ? Ecol. Soc. 2019, 24, 1–12. [Google Scholar] [CrossRef]
- Korhonen, L.; Heikkinen, J. Automated analysis of in situ canopy images for the estimation of forest canopy cover. For. Sci. 2009, 55, 323–334. [Google Scholar]
- Somarriba, E.; Orozco-Aguilar, L.; Cerda, R.; López-Sampson, A. Analysis and design of the shade canopy of cocoa-based agroforestry systems. Achiev. Sustain. Cultiv. Cocoa 2018, 469–499. [Google Scholar] [CrossRef]
- Somarriba, E.; Cerda, R.; Orozco, L.; Cifuentes, M.; Dávila, H.; Espin, T.; Mavisoy, H.; Ávila, G.; Alvarado, E.; Poveda, V.; et al. Carbon stocks and cocoa yields in agroforestry systems of Central America. Agric. Ecosyst. Environ. 2013, 173, 46–57. [Google Scholar] [CrossRef]
- FAO. FRA 2015 Terms and Definitions—The Forest Resources Assessment Programme; FAO: Roma, Italy, 2015. [Google Scholar]
- Mbile, P.; Ngaunkam, P.; Besingi, M.; Nfoumou, C.; Degrande, A.; Tsobeng, A.; Sado, T.; Menimo, T. Farmer management of cocoa agroforests in Cameroon: Impacts of decision scenarios on structure and biodiversity of indigenous tree species. Biodiversity 2009, 10, 12–19. [Google Scholar] [CrossRef]
- Alemagi, D.; Duguma, L.; Minang, P.A.; Nkeumoe, F.; Feudjio, M.; Tchoundjeu, Z. Intensification of cocoa agroforestry systems as a REDD+ strategy in Cameroon: Hurdles, motivations, and challenges. Int. J. Agric. Sustain. 2015, 13, 187–203. [Google Scholar] [CrossRef]
- Luedeling, E.; Kindt, R.; Huth, N.I.; Koenig, K. Agroforestry systems in a changing climate—Challenges in projecting future performance. Curr. Opin. Environ. Sustain. 2014, 6, 1–7. [Google Scholar] [CrossRef]
- Sonwa, D.J.; Weise, S.F.; Janssens, M.J.J.; Schroth, G.; Shapiro, H.Y. Structure of cocoa farming systems in West and Central Africa: A review. Agrofor. Syst. 2018. [Google Scholar] [CrossRef]
- Schroth, G.; Läderach, P.; Martinez-valle, A.I.; Bunn, C.; Jassogne, L. Vulnerability to climate change of cocoa in West Africa: Patterns, opportunities and limits to adaptation. Sci. Total Environ. J. 2016, 556, 231–241. [Google Scholar] [CrossRef] [PubMed]
- Gateau-rey, L.; Tanner, E.V.J.; Rapidel, B.; Marelli, P.; Royaert, S. Climate change could threaten cocoa production: Effects of 2015-16 El Niño-related drought on cocoa agroforests in Bahia, Brazil. PLoS ONE 2018, 13, e0200454. [Google Scholar] [CrossRef] [PubMed]
- Hardwick, S.R.; Toumi, R.; Pfeifer, M.; Turner, E.C.; Nilus, R.; Ewers, R.M. The relationship between leaf area index and microclimate in tropical forest and oil palm plantation: Forest disturbance drives changes in microclimate. Agric. For. Meteorol. 2015, 201, 187–195. [Google Scholar] [CrossRef] [PubMed]
- Korhonen, L.; Korhonen, K.T.; Rautiainen, M.; Stenberg, P. Estimation of forest canopy cover: A comparison of field measurement techniques. Silva Fennica Res. Artic. 2006, 40, 577–588. Available online: https://jukuri.luke.fi/handle/10024/532615 (accessed on 18 December 2020). [CrossRef]
- Fiala, A.C.S.; Garman, S.L.; Gray, A.N. Comparison of five canopy cover estimation techniques in the western Oregon Cascades. For. Ecol. Manag. 2006, 232, 188–197. [Google Scholar] [CrossRef]
- Riemann, R.; Liknes, G.; O’Neil-Dunne, J.; Toney, C.; Lister, T. Comparative assessment of methods for estimating tree canopy cover across a rural-to-urban gradient in the mid-Atlantic region of the USA. Environ. Monit. Assess. 2016, 188. [Google Scholar] [CrossRef]
- Pope, G.; Treitz, P. Leaf Area Index (LAI) estimation in boreal mixedwood forest of Ontario, Canada using Light detection and ranging (LiDAR) and worldview-2 imagery. Remote Sens. 2013, 5, 5040–5063. [Google Scholar] [CrossRef]
- Qu, Y.; Shaker, A.; Silva, C.A.; Klauberg, C.; Pinagé, E.R. Remote sensing of leaf area index from LiDAR height percentile metrics and comparison with MODIS product in a selectively logged tropical forest area in Eastern Amazonia. Remote Sens. 2018, 10, 970. [Google Scholar] [CrossRef]
- Ma, L.; Li, M.; Ma, X.; Cheng, L.; Du, P.; Liu, Y. A review of supervised object-based land-cover image classification. ISPRS J. Photogramm. Remote Sens. 2017, 130, 277–293. [Google Scholar] [CrossRef]
- Shin, P.; Sankey, T.; Moore, M.M.; Thode, A.E. Evaluating unmanned aerial vehicle images for estimating forest canopy fuels in a ponderosa pine stand. Remote Sens. 2018, 10, 1266. [Google Scholar] [CrossRef]
- Beckschäfer, P.; Fehrmann, L.; Harrison, R.D.; Xu, J.; Kleinn, C. Mapping leaf area index in subtropical upland ecosystems using rapideye imagery and the randomforest algorithm. IForest 2014, 7, 1. [Google Scholar] [CrossRef]
- Kalácska, M.; Sánchez-Azofeifa, G.A.; Rivard, B.; Calvo-Alvarado, J.C.; Journet, A.R.P.; Arroyo-Mora, J.P.; Ortiz-Ortiz, D. Leaf area index measurements in a tropical moist forest: A case study from Costa Rica. Remote Sens. Environ. 2004, 91, 134–152. [Google Scholar] [CrossRef]
- Zheng, G.; Moskal, L.M. Retrieving Leaf Area Index (LAI) Using Remote Sensing: Theories, Methods and Sensors. Sensors 2009, 9, 2719–2745. [Google Scholar] [CrossRef] [PubMed]
- Ganguly, S.; Nemani, R.R.; Zhang, G.; Hashimoto, H.; Milesi, C.; Michaelis, A.; Wang, W.; Votava, P.; Samanta, A.; Melton, F.; et al. Generating global Leaf Area Index from Landsat: Algorithm formulation and demonstration. Remote Sens. Environ. 2012, 122, 185–202. [Google Scholar] [CrossRef]
- Chianucci, F.; Cutini, A. Estimation of canopy properties in deciduous forests with digital hemispherical and cover photography. Agric. For. Meteorol. 2013, 168, 130–139. [Google Scholar] [CrossRef]
- Koedsin, W.; Yasen, K. Estimating Leaf Area Index of Rubber Tree Plantation Using Worldview-2 Imagery. J. Life Sci. Technol. 2016, 4, 1–6. [Google Scholar] [CrossRef]
- Kersten, F. Radar Polarimetry- Potential for Geosciences Microwave remote sensing and SAR. Microwaves 2006, 1–10. Available online: http://www.geo.tu-freiberg.de/oberseminar/os05_06/Franziska_Kersten.pdf (accessed on 18 December 2020).
- Tanase, M.A.; Ismail, I.; Lowell, K.; Karyanto, O.; Santoro, M. Detecting and quantifying forest change: The potential of existing C- and X-band radar datasets. PLoS ONE 2015, 10, e0131079. [Google Scholar] [CrossRef]
- Ningthoujam, R.K.; Tansey, K.; Balzter, H.; Morrison, K.; Johnson, S.C.; Gerard, F.; George, C.; Burbidge, G.; Doody, S.; Veck, N.; et al. Mapping forest cover and forest cover change with airborne S-band radar. Remote Sens. 2016, 8, 577. [Google Scholar] [CrossRef]
- Vreugdenhil, M.; Wagner, W.; Bauer-Marschallinger, B.; Pfeil, I.; Teubner, I.; Rüdiger, C.; Strauss, P. Sensitivity of Sentinel-1 Backscatter to Vegetation Dynamics: An Austrian Case Study. Remote Sens. 2018, 10, 1396. [Google Scholar] [CrossRef]
- Rüetschi, M.; Schaepman, M.E.; Small, D. Using multitemporal Sentinel-1 C-band backscatter to monitor phenology and classify deciduous and coniferous forests in Northern Switzerland. Remote Sens. 2018, 10, 55. [Google Scholar] [CrossRef]
- Rüetschi, M.; Small, D.; Waser, L.T. Rapid detection of windthrows using Sentinel-1 C-band SAR data. Remote Sens. 2019, 11, 115. [Google Scholar] [CrossRef]
- Ko, D.; Bristow, N.; Greenwood, D.; Weisberg, P. Canopy cover estimation in semiarid woodlands: Comparison of field-based and remote sensing methods. For. Sci. 2009, 55, 132–141. [Google Scholar]
- Asrat, Z.; Taddese, H.; Ørka, H.O.; Gobakken, T.; Burud, I.; Næsset, E. Estimation of Forest Area and Canopy Cover Based on Visual Interpretation of Satellite Images in Ethiopia. Land 2018, 7, 92. [Google Scholar] [CrossRef]
- Hirschmugl, M.; Sobe, C.; Deutscher, J.; Schardt, M. Combined Use of Optical and Synthetic Aperture Radar Data for REDD+ Applications in Malawi. Land 2018, 7, 116. [Google Scholar] [CrossRef]
- Dobson, M.C.; Ulaby, T.F.; Leland, P.E.; Sharik, T.L.; Bergen, K.M.; Kellndorfer, J.; Kendra, J.R.; Li, E.; Lin, Y.C.; Nashashibi, A.; et al. Estimation of Forest Biophysical Charactersitics in Northern Michigan with SIR-C_X-SAR. IEEE Trans. Geosci. Remote Sens. 1995, 33, 877–895. [Google Scholar] [CrossRef]
- Vastaranta, M.; Niemi, M.; Karjalainen, M.; Peuhkurinen, J.; Kankare, V.; Hyyppä, J.; Holopainen, M. Prediction of forest stand attributes using TerraSAR-X stereo imagery. Remote Sens. 2014, 6, 3227–3246. [Google Scholar] [CrossRef]
- Moreira, A.; Prats-iraola, P.; Younis, M.; Krieger, G.; Hajnsek, I.; Papathanassiou, K.P. A Tutorial on Synthetic Aperture Radar. IEEE Geosci. Remote Sens. Mag. 2013. [Google Scholar] [CrossRef]
- Steele-Dunne, S.; McNairn, H.; Monsivais-Huertero, A.; Judge, J.; Liu, P.W.; Papathanassiou, K. Radar Remote Sensing of Agriciltural Canopies. IEEE J. Sel. Top. Appl. Earth Obs. Remote Sens. 2017, 10, 2249–2273. [Google Scholar] [CrossRef]
- Sivasankar, T.; Kumar, D.; Srivastava, H.S.; Patel, P. Advances in Radar Remote Sensing of Agricultural Crops: A Review. Int. J. Adv. Sci. Eng. Inf. Technol. 2018, 8, 1126. [Google Scholar] [CrossRef]
- Jagoret, P.; Michel-Dounias, I.; Snoeck, D.; Ngnogué, H.T.; Malézieux, E. Afforestation of savannah with cocoa agroforestry systems: A small-farmer innovation in central Cameroon. Agrofor. Syst. 2012, 86, 493–504. [Google Scholar] [CrossRef]
- Yemefack, M.; Ngendakumana, S.; Robiglio, V.; Assah, E.; Feudjio, T.P.M.; Ewane, N.N.; Magne, A.; Anne, M.; Minang, P.A.; Gyau, A.; et al. A Feasibility Study for Emission Reduction in the Efoulan Council, South Cameroon: A Project Design Document (PDD) 2013. Available online: http://humidtropics.cgiar.org/wp-content/uploads/downloads/2014/05/PDD-for-Efoulan-Council_Yemefack_final.pdf (accessed on 18 December 2020).
- Gockowski, J.; Weise, S.; Sonwa, D.; Tchtat, M.; Ngobo, M. Conservation Because It Pays: Shaded Cocoa Agroforests in West Africa. Habitat 2004, 29. Available online: https://hdl.handle.net/10568/103294 (accessed on 18 December 2020).
- Saj, S.; Durot, C.; Mvondo Sakouma, K.; Tayo Gamo, K.; Avana-Tientcheu, M.L. Contribution of associated trees to long-term species conservation, carbon storage and sustainability: A functional analysis of tree communities in cacao plantations of Central Cameroon. Int. J. Agric. Sustain. 2017, 15, 282–302. [Google Scholar] [CrossRef]
- Jagoret, P.; Kwesseu, J.; Messie, C.; Michel-Dounias, I.; Malézieux, E. Farmers’ assessment of the use value of agrobiodiversity in complex cocoa agroforestry systems in central Cameroon. Agrofor. Syst. 2014, 88, 983–1000. [Google Scholar] [CrossRef]
- Yemefack, M.; Rossiter, D.G.; Njomgang, R. Multi-scale characterization of soil variability within an agricultural landscape mosaic system in southern Cameroon. Geoderma 2005, 125, 117–143. [Google Scholar] [CrossRef]
- Yemefack, M.; Njomgang, R.; Nounamo, L.; Rossiter, D.G. Quantified soil dynamics and spatial fragmentation within the shifting agricultural landscape in southern Cameroon. In Proceedings of the 19th World Congress of Soil Science, Soil Solutions for a Changing World, Brisbane, Australia, 1–6 August 2010; pp. 138–141. [Google Scholar]
- Zhang, Y.; Chen, J.M.; Miller, J.R. Determining digital hemispherical photograph exposure for leaf area index estimation. Agric. For. Meteorol. 2005, 133, 166–181. [Google Scholar] [CrossRef]
- Pfeifer, M.; Gonsamo, A.; Disney, M.; Pellikka, P.; Marchant, R. Leaf area index for biomes of the Eastern Arc Mountains: Landsat and SPOT observations along precipitation and altitude gradients. Remote Sens. Environ. 2012, 118, 103–115. [Google Scholar] [CrossRef]
- Pfeifer, M.; Gonsamo, A. Manual to Measure and Model Leaf Area Index and Its Spatial Varaibility on Local and Landscape Scale. 2014, pp. 1–12. Available online: https://figshare.com/articles/journal_contribution/Manual_to_measure_and_model_leaf_area_index_and_its_spatial_variability_on_local_and_landscape_scale/928254 (accessed on 18 December 2020).
- Beckschäfer, P. Hemispherical_2.0-Batch Processing Hemispherical and Canopy Photographs with ImageJ-User Manual; Georg-August-Universität Göttingen: Göttingen, Germany, 2015; pp. 1–6. [Google Scholar] [CrossRef]
- Numbisi, F.N.; Van Coillie, F.M.B.; De Wulf, R. Delineation of Cocoa Agroforests Using Multiseason Sentinel-1 SAR Images: A Low Grey Level Range Reduces Uncertainties in GLCM Texture-Based Mapping. ISPRS Int. J. Geo-Inf. 2019, 8, 179. [Google Scholar] [CrossRef]
- Small, D. Flattening Gamma: Radiometric Terrain Correction for SAR Imagery. IEEE Trans. Geosci. Remote Sens. 2011, 49, 3081–3093. [Google Scholar] [CrossRef]
- SNAP-ESA. SNAP-ESA Sentinel Application Platform. 2019. Available online: https://docplayer.net/55833385-Hemispherical_2-0-batch-processing-hemispherical-and-canopy-photographs-with-imagej-user-manual-by-philip-beckschafer-january-2015.html (accessed on 18 December 2020).
- Nasirzadehdizaji, R.; Balik Sanli, F.; Abdikan, S.; Cakir, Z.; Sekertekin, A.; Ustuner, M. Sensitivity Analysis of Multi-Temporal Sentinel-1 SAR Parameters to Crop Height and Canopy Coverage. Appl. Sci. 2019, 9, 655. [Google Scholar] [CrossRef]
- Bousbih, S.; Zribi, M.; Lili-Chabaane, Z.; Baghdadi, N.; El Hajj, M.; Gao, Q.; Mougenot, B. Potential of sentinel-1 radar data for the assessment of soil and cereal cover parameters. Sensors 2017, 17, 2617. [Google Scholar] [CrossRef] [PubMed]
- Kumar, D.; Rao, S.; Sharma, J.R. Radar Vegetation Index as an Alternative to NDVI for Monitoring of Soyabean and Cotton. Indian Cartogr. 2013, 33, 91–96. [Google Scholar]
- Haldar, D.; Dave, V.; Misra, A.; Bhattacharya, B. Radar Vegetation Index for assessing cotton crop condition using RISAT-1 data. Geocarto Int. 2020, 35, 364–375. [Google Scholar] [CrossRef]
- Szigarski, C.; Jagdhuber, T.; Baur, M.; Thiel, C.; Parrens, M.; Wigneron, J.P.; Piles, M.; Entekhabi, D. Analysis of the Radar Vegetation Index and Potential Improvements. Remote Sens. 2018, 10, 1776. [Google Scholar] [CrossRef]
- Wang, Y.; Dong, D. Retrieving forest stand parameters from SAR backscatter data using a neural network trained by a canopy backscatter model. Int. J. Remote Sens. 1997, 18, 981–989. [Google Scholar] [CrossRef]
- Linderman, M.; Liu, J.; Qi, J.; An, L.; Ouyang, Z.; Yang, J.; Tan, Y. Using artificial neural networks to map the spatial distribution of understorey bamboo from remote sensing data. Int. J. Remote Sens. 2004, 25, 1685–1700. [Google Scholar] [CrossRef]
- Upreti, D.; Huang, W.; Kong, W.; Pascucci, S.; Pignatti, S.; Zhou, X.; Ye, H.; Casa, R. A Comparison of Hybrid Machine Learning Algorithms for the Retrieval of Wheat Biophysical Variables from Sentinel-2. Remote Sens. 2019, 11, 481. [Google Scholar] [CrossRef]
- Breiman, L. Random Forests. Mach. Learn. 2001, 45, 5–32. [Google Scholar] [CrossRef]
- Hastie, T.; Tibshirani, R.; Friedman, J. The Elements of Statistical Learning: Data Mining, Inference, and Prediction, 2nd ed.; Springer: New York, NY, USA, 2009; pp. 587–603. [Google Scholar] [CrossRef]
- Zas, R.; Solla, A.; Sampedro, L. Variography and kriging allow screening Pinus pinaster resistant to Armillaria ostoyae in field conditions. For. Int. J. For. Res. 2007, 80, 201–209. Available online: https://academic.oup.com/forestry/article-pdf/80/2/201/1376637/cpl050.pdf (accessed on 18 December 2020). [CrossRef]
- Sonwa, D.J.; Weise, S.F.; Nkongmeneck, B.A.; Tchatat, M.; Janssens, M.J.J. Structure and composition of cocoa agroforests in the humid forest zone of Southern Cameroon. Agrofor. Syst. 2016, 91, 451–470. [Google Scholar] [CrossRef]
- Jagoret, P.; Snoeck, D.; Bouambi, E.; Ngnogue, H.T.; Nyassé, S.; Saj, S. Rehabilitation practices that shape cocoa agroforestry systems in Central Cameroon: Key management strategies for long-term exploitation. Agrofor. Syst. 2018, 92, 1185–1199. [Google Scholar] [CrossRef]
- Woodhouse, I.H. Introduction to Microwave Remote Sensing; Taylor & Francis Group: Abingdon, UK, 2006; p. 370. [Google Scholar]
- Ordway, E.M.; Asner, G.P.; Lambin, E.F. Deforestation risk due to commodity crop expansion in sub-Saharan Africa Deforestation risk due to commodity crop expansion in sub- Saharan Africa. Environ. Res. Lett. 2017, 12. [Google Scholar] [CrossRef]
- Omar, H.; Misman, M.A.; Kassim, A.R. Synergetic of PALSAR-2 and Sentinel-1A SAR Polarimetry for Retrieving Aboveground Biomass in Dipterocarp Forest of Malaysia. Appl. Sci. 2017, 7, 675. [Google Scholar] [CrossRef]
- Meyer, L.H.; Heurich, M.; Beudert, B.; Premier, J.; Pflugmacher, D. Comparison of Landsat-8 and Sentinel-2 Data for Estimation of Leaf Area Index in Temperate Forests. Remote Sens. 2019, 11, 1160. [Google Scholar] [CrossRef]
- Beeri, O.; Netzer, Y.; Munitz, S.; Mintz, D.F.; Pelta, R.; Shilo, T.; Horesh, A.; Mey-tal, S. Kc and LAI Estimations Using Optical and SAR Remote Sensing Imagery for Vineyards Plots. Remote Sens. 2020, 12, 3478. [Google Scholar] [CrossRef]
- Korhonen, L. Estimation of Boreal Forest Canopy Cover with Ground Measurements, Statistical Models and Remote Sensing. Diss. For. 2011, 115, 1–56. [Google Scholar] [CrossRef][Green Version]
- Korhonen, L.; Ali-Sisto, D.; Tokola, T. Tropical forest canopy cover estimation using satellite imagery and airborne lidar reference data. Silva Fenn. 2015, 49, 1405. [Google Scholar] [CrossRef]
- Saatchi, S.; Marlier, M.; Chazdon, R.L.; Clark, D.B.; Russell, A.E. Impact of spatial variability of tropical forest structure on radar estimation of aboveground biomass. Remote Sens. Environ. 2011, 115, 2836–2849, DESDynI VEG-3D Special Issue. [Google Scholar] [CrossRef]
- Schmullius, C.; Thiel, C.; Pathe, C.; Santoro, M. Radar Time Series for Land Cover and Forest Mapping. In Remote Sensing and Digital Image Processing; Kuenzer, C., Dech, S., Wagner, W., Eds.; Springer International Publishing: Cham, Switzerland, 2015; Volume 22, Chapter 16; pp. 323–356. [Google Scholar] [CrossRef]
- Van Emmerik, T.H.M. Water Stress Detection Using Radar. Ph.D. Thesis, Technische Universiteit Delft, Delft, The Netherlands, 2017. [Google Scholar]
- Borokini, T.I.; Onefeli, A.O.; Babalola, F.D. Inventory Analysis of Milicia excelsa (Welw C. C. Berg.) in Ibadan (Ibadan Metropolis and University of Ibadan), Nigeria. J. Plant Stud. 2012, 2. [Google Scholar] [CrossRef][Green Version]
- Tscharntke, T.; Clough, Y.; Bhagwat, S.A.; Buchori, D.; Faust, H.; Hertel, D.; Ho, D.; Juhrbandt, J.; Kessler, M.; Perfecto, I.; et al. Multifunctional shade-tree management in tropical agroforestry landscapes—A review. J. Appl. Ecol. 2011, 48, 619–629. [Google Scholar] [CrossRef]
- Vaast, P.; Somarriba, E. Trade-offs between crop intensification and ecosystem services: The role of agroforestry in cocoa cultivation. Agrofor. Syst. 2014, 88, 947–956. [Google Scholar] [CrossRef]
- Fonkeng, E.E. Cocoa Yield Evaluation and Some Important Yield Factors in Small Holder Theobroma cacao Agroforests in Bokito-Centre Cameroon; Universite De Dschang: Dschang, Cameroon, 2014. [Google Scholar]
- Armathé, A.J.; Mesmin, T.; Unusa, H.; Soleil, B.R.A. A comparative study of the influence of climatic elements on cocoa production in two agrosystems of bimodal rainfall: Case of Ngomedzap forest zone and the contact area of forest-savanna of Bokito. J. Cameroon Acad. Sci. 2013, 11, 28–37. [Google Scholar]
- Sonwa, D.J.; Coulibaly, O.; Weise, S.F.; Adesina, A.A.; Janssens, M.J. Management of cocoa: Constraints during acquisition and application of pesticides in the humid forest zones of southern Cameroon. Crop Prot. 2008, 27, 1159–1164. [Google Scholar] [CrossRef]
- Blaser, W.J.; Oppong, J.; Hart, S.P.; Landolt, J.; Yeboah, E.; Six, J. Climate-smart sustainable agriculture in low-to-intermediate shade agroforests. Nat. Sustain. 2018, 1, 234–239. [Google Scholar] [CrossRef]
- Korhonen, L.; Hadi; Packalen, P.; Rautiainen, M. Comparison of Sentinel-2 and Landsat 8 in the estimation of boreal forest canopy cover and leaf area index. Remote Sens. Environ. 2017, 195, 259–274. [Google Scholar] [CrossRef]













| Site | Dates of DHPs Inventory | No. Sampled Plots (20 m × 20 m) | Acquisition Dates of Matched S-1A SAR Images |
|---|---|---|---|
| B | 28 May 2016, 29 May 2016, 01 June 2016, 03 June 2016, 05 June 2016 | 17 | 31 May 2016 |
| B | 07 June 2016, 10 June 2016 | 5 | 12 June 2016 |
| B | 16 July 2016, 17 July 2016, 19 July 2016, 20 July 2016 | 6 | 18 July 2016 |
| B | 28 October 2017, 29 October 2017, 01 November 2017, 02 November 2017, 03 November 2017, 04 November 2017 | 34 | 29 October 2017 |
| B | 05 November 2017, 06 November 2017, 07 November 2017, 08 November 2017, 09 November 2017 | 30 | 10 November 2017 |
| E | 19 August 2016, 20 August 2016, 22 August 2016 | 6 | 16 August 2016 |
| E | 23 August 2016, 25 August 2016, 27 August 2016 | 7 | 28 August 2016 |
| E | 22 November 2017, 24 November 2017, 25 November 2017, 27 November 2017, 28 November 2017, 1 December 2017, 02 December 2017 | 29 | 27 November 2017 |
| Index | Photo | No of Gaps | Gap Area (Pixels) | Gap Fraction (%) |
|---|---|---|---|---|
| 1 | FRD_0856.jpg | 3566 | 387,927 | 11.48 |
| 4 | FRD_0859.jpg | 4373 | 414,596 | 12.27 |
| 7 | FRD_0862.jpg | 4896 | 450,799 | 13.34 |
| 10 | FRD_0865.jpg | 2481 | 267,422 | 7.91 |
| 13 | FRD_0868.jpg | 2902 | 337,304 | 9.98 |
| Index | Description of Feature | Used Acronym |
|---|---|---|
| 1 | VV backscatter intensity | VV Gamma0 |
| 2 | VH backscatter intensity | VH Gamma0 |
| 3 | VV Gamma0 in dB(decibels) | VVdb |
| 4 | VH Gamma0 in dB | VHdb |
| 5 | VVdb − VHdb | VV-VH |
| 6 | VHdb − VVdb | VH-VV |
| 7 | VVdb/VHdb | VVVHratio |
| 8 | VHdb/VVdb | VHVVratio |
| 9 | (VVdb − VHdb)/(VVdb + VHdb) | VV-VHnorm |
| 10 | (VHdb − VVdb)/(VVdb + VHdb) | VH-VVnorm |
| Model Parameter | Model A Statistics | Model B Statistics | ||||
|---|---|---|---|---|---|---|
| t-Test | p-Value | t-Test | p-Value | |||
| Intercept | 0.00 | −2.85 | 0.005 | 0.00 | 2.09 | 0.038 |
| VH | 0.32 | 1.92 | 0.057 | |||
| VH (db) | 1.00 | 2.51 | 0.013 | |||
| VV | 1.23 | 3.96 | 0.000 | |||
| VV (db) | −1.51 | −6.25 | 0.000 | −2.51 | −4.56 | 0.000 |
| VVVHratio (db) | −0.49 | −3.49 | 0.000 | −1.97 | 4.15 | 0.000 |
| VHVVratio (db) | −0.56 | −3.03 | 0.002 | |||
| p-Value | 0.000 | 0.000 | ||||
| F (n/df) | 13.72 (4/19) | 14.1 (4/129) | ||||
| R2 | 0.29 | 0.30 | ||||
| Adjusted R2 | 0.27 | 0.28 | ||||
| RMSE (%) | 8.64 | 8.60 | ||||
| Bootstrap Model | Model Parameters | Bootstrap Regression Statistics | Parametric Regression Statistic | |||
|---|---|---|---|---|---|---|
| t | Bias () | S.E | bca 95 % CI | 95 % CI | ||
| Model A (pixel) | Intercept | −42.13 | −0.096 (0.00) | 19.15 | −89.05, −8.87 | −71.3, −12.92 |
| VV Gamma0 | 145.13 | 7.431 (1.236) | 45.48 | 50.80, 228.40 | 73.03, 218.23 | |
| VVdb | −8.40 | −0.132 (−1.511) | 1.95 | −13.29, −5.08 | −11.06, −5.7413 | |
| VVVH ratio | −37.69 | −1.166 (−0.499) | 12.71 | −63.04, −13.36 | −59.04, −16.34 | |
| VHVV ratio | −7 | −0.875 (−0.568) | 2.94 | −13.04, −2.95 | −12.25, −2.57 | |
| Model B (polygon) | Intercept | 68.15 | −1.111 (0.0) | 39.21 | −7.07, 157.69 | 3.73, 132.58 |
| VH Gamma0 | 209.41 | 0.621 (0.328) | 174.98 | −357.2, 480.4 | −6.33, 425.15 | |
| VHdb | 5.08 | −0.108 (1.006) | 2.74 | 0.33, 11.95 | 1.24, 10.37 | |
| VVdb | −17.05 | 0.314 (−2.517) | 4.47 | −26.00, −7.22 | −24.44, −9.67 | |
| VVVH ratio | −202.61 | 3.401 (−1.971) | 56.46 | −312.4, −79.30 | −299.15, −106.08 | |
| Layers | Parameters | Neural Networks | ||
|---|---|---|---|---|
| NN1 | NN2 | NN3 | ||
| Input layer | No. input nodes | 10 | 10 | 10 |
| Hidden Layer1 | No. of nodes | 100 | 128 | 128 |
| Activation Function | ReLU | Tanh | ReLU | |
| Bias Regularizer | L2 (0.01) | L2 (0.05) | ||
| Dropout (%) | 0.2 | 0.4 | 0.8 | |
| Hidden Layer2 | No. of nodes | 5 | 64 | 64 |
| Activation Function | ReLU | Tanh | ReLU | |
| Bias Regularizer | L2 (0.01) | L2 (0.05) | ||
| Dropout (%) | 0.2 | 0.3 | 0.4 | |
| Hidden Layer3 | No. of nodes | 10 | 10 | |
| Activation Function | Tanh | ReLU | ||
| Bias Regularizer | L2 (0.01) | L2 (0.05) | ||
| Dropout (%) | 0.2 | 0.2 | ||
| Output Layer | No. of nodes | 1 | 1 | 1 |
| Loss | mse | mse | mse | |
| Optimizer | RMSprop | RMSprop | RMSprop | |
| Learning rate | 0.001 | 0.01 | 0.001 | |
| Prediction | RMSE (%) | 7.18 | 8.02 | 8.00 |
Publisher’s Note: MDPI stays neutral with regard to jurisdictional claims in published maps and institutional affiliations. |
© 2020 by the authors. Licensee MDPI, Basel, Switzerland. This article is an open access article distributed under the terms and conditions of the Creative Commons Attribution (CC BY) license (http://creativecommons.org/licenses/by/4.0/).
Share and Cite
Numbisi, F.N.; Van Coillie, F. Does Sentinel-1A Backscatter Capture the Spatial Variability in Canopy Gaps of Tropical Agroforests? A Proof-of-Concept in Cocoa Landscapes in Cameroon. Remote Sens. 2020, 12, 4163. https://doi.org/10.3390/rs12244163
Numbisi FN, Van Coillie F. Does Sentinel-1A Backscatter Capture the Spatial Variability in Canopy Gaps of Tropical Agroforests? A Proof-of-Concept in Cocoa Landscapes in Cameroon. Remote Sensing. 2020; 12(24):4163. https://doi.org/10.3390/rs12244163
Chicago/Turabian StyleNumbisi, Frederick N., and Frieke Van Coillie. 2020. "Does Sentinel-1A Backscatter Capture the Spatial Variability in Canopy Gaps of Tropical Agroforests? A Proof-of-Concept in Cocoa Landscapes in Cameroon" Remote Sensing 12, no. 24: 4163. https://doi.org/10.3390/rs12244163
APA StyleNumbisi, F. N., & Van Coillie, F. (2020). Does Sentinel-1A Backscatter Capture the Spatial Variability in Canopy Gaps of Tropical Agroforests? A Proof-of-Concept in Cocoa Landscapes in Cameroon. Remote Sensing, 12(24), 4163. https://doi.org/10.3390/rs12244163

