Joint Use of PROSAIL and DART for Fast LUT Building: Application to Gap Fraction and Leaf Biochemistry Estimations over Sparse Oak Stands
Abstract
1. Introduction
2. Materials and Methods
2.1. Study Site
2.2. Field Data
2.2.1. Gap Fraction
2.2.2. Equivalent Water Thickness, Leaf Mass Per Area, and Leaf Biochemistry Measurements
2.2.3. Trunk Reflectances
2.2.4. Airborne Hyperspectral Remote Sensing Data
2.3. PROSAIL2DART
2.3.1. Methodology
2.3.2. RTM Parametrization
DART
- illumination using a single wavelength,
- no radiative transfer in the atmosphere,
- SKYL (atmospheric scattering of sun radiance) set to 1,
- number of iterations set to 0, and
- smaller mesh size of irradiance sources set to 0.005 m
PROSAIL
PROSPECT
2.3.3. Error Assessment
2.4. Fine Lut Building
2.5. Lut-Based Inversions
2.6. Validation Metrics
3. Results
3.1. Comparison between Aviris-C and Dart Reflectances
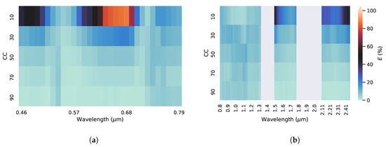
3.2. PROSAIL2DART Errors
3.3. PROSAIL2DART Fine Lut Generation
3.4. Estimation Performances
3.5. Estimation Plots
4. Discussion
4.1. PROSAIL2DART Performances
4.2. Gap Fraction Estimations
4.3. Pigment Estimations
4.4. LMA and EWT Estimations
5. Conclusions
Author Contributions
Funding
Acknowledgments
Conflicts of Interest
References
- Pereira, H.M.; Ferrier, S.; Walters, M.; Geller, G.N.; Jongman, R.H.; Scholes, R.J.; Bruford, M.W.; Brummitt, N.; Butchart, S.H.; Cardoso, A.C.; et al. Essential biodiversity variables. Science 2013, 339, 277–278. [Google Scholar] [CrossRef] [PubMed]
- Paz-Kagan, T.; Asner, G.P. Drivers of woody canopy water content responses to drought in a Mediterranean-type ecosystem. Ecol. Appl. 2017, 27, 2220–2233. [Google Scholar] [CrossRef] [PubMed]
- Féret, J.B.; le Maire, G.; Jay, S.; Berveiller, D.; Bendoula, R.; Hmimina, G.; Cheraiet, A.; Oliveira, J.C.; Ponzoni, F.J.; Solanki, T.; et al. Estimating leaf mass per area and equivalent water thickness based on leaf optical properties: Potential and limitations of physical modeling and machine learning. Remote Sens. Environ. 2018, 231, 110959. [Google Scholar] [CrossRef]
- Jetz, W.; McGeoch, M.A.; Guralnick, R.; Ferrier, S.; Beck, J.; Costello, M.J.; Fernandez, M.; Geller, G.N.; Keil, P.; Merow, C.; et al. Essential biodiversity variables for mapping and monitoring species populations. Nat. Ecol. Evol. 2019, 3, 539–551. [Google Scholar] [CrossRef]
- Xu, L.; Baldocchi, D.D. Seasonal trends in photosynthetic parameters and stomatal conductance of blue oak (Quercus douglasii) under prolonged summer drought and high temperature. Tree Physiol. 2003, 23, 865–877. [Google Scholar] [CrossRef]
- Krinner, G.; Viovy, N.; de Noblet-Ducoudré, N.; Ogée, J.; Polcher, J.; Friedlingstein, P.; Ciais, P.; Sitch, S.; Prentice, I.C. A dynamic global vegetation model for studies of the coupled atmosphere-biosphere system. Glob. Biogeochem. Cycles 2005, 19, 1–33. [Google Scholar] [CrossRef]
- Ma, S.; Baldocchi, D.D.; Mambelli, S.; Dawson, T.E. Are temporal variations of leaf traits responsible for seasonal and inter-annual variability in ecosystem CO2 exchange? Funct. Ecol. 2011, 25, 258–270. [Google Scholar] [CrossRef]
- Ustin, S.L.; Roberts, D.A.; Gamon, J.A.; Asner, G.P.; Green, R.O. Using Imaging Spectroscopy to Study Ecosystem Processes and Properties. BioScience 2004, 54, 523. [Google Scholar] [CrossRef]
- Cheng, Y.B.; Zarco-Tejada, P.J.; Riaño, D.; Rueda, C.A.; Ustin, S.L. Estimating vegetation water content with hyperspectral data for different canopy scenarios: Relationships between AVIRIS and MODIS indexes. Remote Sens. Environ. 2006. [Google Scholar] [CrossRef]
- Zarco-Tejada, P.J.; Hornero, A.; Beck, P.S.; Kattenborn, T.; Kempeneers, P.; Hernández-Clemente, R. Chlorophyll content estimation in an open-canopy conifer forest with Sentinel-2A and hyperspectral imagery in the context of forest decline. Remote Sens. Environ. 2019, 223, 320–335. [Google Scholar] [CrossRef]
- Baret, F.; Buis, S. Estimating Canopy Characteristics from Remote Sensing Observations: Review of Methods and Associated Problems. In Advances in Land Remote Sensing: System, Modeling, Inversion and Application; Liang, S., Ed.; Springer: Dordrecht, The Netherlands, 2008; pp. 173–201. [Google Scholar] [CrossRef]
- Verrelst, J.; Camps-Valls, G.; Muñoz-Marí, J.; Rivera, J.P.; Veroustraete, F.; Clevers, J.G.; Moreno, J. Optical remote sensing and the retrieval of terrestrial vegetation bio-geophysical properties—A review. ISPRS J. Photogramm. Remote Sens. 2015, 108, 273–290. [Google Scholar] [CrossRef]
- Pinty, B.; Gobron, N.; Widlowski, J.L.; Gerstl, S.A.; Verstraete, M.M.; Antunes, M.; Bacour, C.; Gascon, F.; Gastellu, J.P.; Goel, N.; et al. Radiation transfer model intercomparison (RAMI) exercise. J. Geophys. Res. Atmos. 2001, 106, 11937–11956. [Google Scholar] [CrossRef]
- Pinty, B.; Widlowski, J.L.; Taberner, M.; Gobron, N.; Verstraete, M.M.; Disney, M.; Gascon, F.; Gastellu, J.P.; Jiang, L.; Kuusk, A.; et al. Radiation Transfer Model Intercomparison (RAMI) exercise: Results from the second phase. J. Geophys. Res. Atmos. 2004, 109. [Google Scholar] [CrossRef]
- Widlowski, J.L.; Taberner, M.; Pinty, B.; Bruniquel-Pinel, V.; Disney, M.; Fernandes, R.; Gastellu-Etchegorry, J.P.; Gobron, N.; Kuusk, A.; Lavergne, T.; et al. Third Radiation Transfer Model Intercomparison (RAMI) exercise: Documenting progress in canopy reflectance models. J. Geophys. Res. Atmos. 2007, 112. [Google Scholar] [CrossRef]
- Widlowski, J.L.; Pinty, B.; Lopatka, M.; Atzberger, C.; Buzica, D.; Chelle, M.; Disney, M.; Gastellu-Etchegorry, J.P.; Gerboles, M.; Gobron, N.; et al. The fourth radiation transfer model intercomparison (RAMI-IV): Proficiency testing of canopy reflectance models with ISO-13528. J. Geophys. Res. Atmos. 2013, 118, 6869–6890. [Google Scholar] [CrossRef]
- Hanan, N.; Hill, M.J. Savannas in a Changing Earth System: The NASA Terrestrial Ecology Tree-Grass Project; Earth Science Division: Washington, DC, USA, 2012; p. 56. [Google Scholar]
- Ali, A.M.; Darvishzadeh, R.; Skidmore, A.K.; Duren, I.V. Effects of Canopy Structural Variables on Retrieval of Leaf Dry Matter Content and Specific Leaf Area from Remotely Sensed Data. IEEE J. Sel. Top. Appl. Earth Obs. Remote Sens. 2016. [Google Scholar] [CrossRef]
- Atzberger, C. Development of an invertible forest reflectance model: The INFORM-Model. In A Decade of Trans-European Remote Sensing Cooperation, Proceedings of the 20th EARSeL Symposium, Dresden, Germany, 14–16 June 2000; Buchrointher, M.F., Ed.; CRC Press: Boca Raton, FL, USA, 2000; pp. 39–44. [Google Scholar]
- Weiss, M.; Baret, F.; Myneni, R.B.; Pragnère, A.; Knyazikhin, Y. Investigation of a model inversion technique to estimate canopy biophysical variables from spectral and directional reflectance data. Agronomie 2000. [Google Scholar] [CrossRef]
- Ali, A.M.; Skidmore, A.K.; Darvishzadeh, R.; van Duren, I.; Holzwarth, S.; Mueller, J. Retrieval of forest leaf functional traits from HySpex imagery using radiative transfer models and continuous wavelet analysis. ISPRS J. Photogramm. Remote Sens. 2016. [Google Scholar] [CrossRef]
- Hernández-Clemente, R.; Navarro-Cerrillo, R.M.; Zarco-Tejada, P.J. Carotenoid content estimation in a heterogeneous conifer forest using narrow-band indices and PROSPECT+DART simulations. Remote Sens. Environ. 2012. [Google Scholar] [CrossRef]
- Gastellu-Etchegorry, J.P.; Yin, T.; Lauret, N.; Cajgfinger, T.; Gregoire, T.; Grau, E.; Feret, J.B.; Lopes, M.; Guilleux, J.; Dedieu, G.; et al. Discrete anisotropic radiative transfer (DART 5) for modeling airborne and satellite spectroradiometer and LIDAR acquisitions of natural and urban landscapes. Remote Sens. 2015. [Google Scholar] [CrossRef]
- Jacquemoud, S.; Verhoef, W.; Baret, F.; Bacour, C.; Zarco-Tejada, P.J.; Asner, G.P.; François, C.; Ustin, S.L. PROSPECT + SAIL models: A review of use for vegetation characterization. Remote Sens. Environ. 2009, 113. [Google Scholar] [CrossRef]
- Baldocchi, D.D.; Xu, L.; Kiang, N. How plant functional-type, weather, seasonal drought, and soil physical properties alter water and energy fluxes of an oak-grass savanna and an annual grassland. Agric. For. Meteorol. 2004, 123, 13–39. [Google Scholar] [CrossRef]
- Chen, Q.; Baldocchi, D.; Gong, P.; Dawson, T. Modeling radiation and photosynthesis of a heterogeneous savanna woodland landscape with a hierarchy of model complexities. Agric. For. Meteorol. 2008, 148, 1005–1020. [Google Scholar] [CrossRef]
- Ma, S.; Baldocchi, D.D.; Xu, L.; Hehn, T. Inter-annual variability in carbon dioxide exchange of an oak/grass savanna and open grassland in California. Agric. For. Meteorol. 2007, 147, 157–171. [Google Scholar] [CrossRef]
- Janoutová, R.; Homolová, L.; Malenovskỳ, Z.; Hanuš, J.; Lauret, N.; Gastellu-Etchegorry, J.P. Influence of 3D spruce tree representation on accuracy of airborne and satellite forest reflectance simulated in DART. Forests 2019, 10, 292. [Google Scholar] [CrossRef]
- Weiss, M.; Baret, F.; Smith, G.J.; Jonckheere, I.; Coppin, P. Review of methods for in situ leaf area index (LAI) determination Part II. Estimation of LAI, errors and sampling. Agric. For. Meteorol. 2004, 121, 37–53. [Google Scholar] [CrossRef]
- Miraglio, T.; Adeline, K.; Huesca, M.; Ustin, S.; Briottet, X. Monitoring LAI, Chlorophylls, and Carotenoids Content of a Woodland Savanna Using Hyperspectral Imagery and 3D Radiative Transfer Modeling. Remote Sens. 2019, 12, 28. [Google Scholar] [CrossRef]
- Gao, B.C.; Goetz, A.F. Column atmospheric water vapor and vegetation liquid water retrievals from airborne imaging spectrometer data. J. Geophys. Res. 1990, 95, 3549–3564. [Google Scholar] [CrossRef]
- Gastellu-Etchegorry, J.P.; Demarez, V.; Pinel, V.; Zagolski, F. Modeling radiative transfer in heterogeneous 3-D vegetation canopies. Remote Sens. Environ. 1996, 58, 131–156. [Google Scholar] [CrossRef]
- Berger, K.; Atzberger, C.; Danner, M.; D’Urso, G.; Mauser, W.; Vuolo, F.; Hank, T. Evaluation of the PROSAIL model capabilities for future hyperspectral model environments: A review study. Remote Sens. 2018, 10, 85. [Google Scholar] [CrossRef]
- Féret, J.B.; Gitelson, A.A.; Noble, S.D.; Jacquemoud, S. PROSPECT-D: Towards modeling leaf optical properties through a complete lifecycle. Remote Sens. Environ. 2017. [Google Scholar] [CrossRef]
- Tucker, C.J. Red and photographic infrared linear combinations for monitoring vegetation. Remote Sens. Environ. 1979, 8, 127–150. [Google Scholar] [CrossRef]
- Qi, J.; Chehbouni, A.; Huete, A.R.; Kerr, Y.H.; Sorooshian, S. A modified soil adjusted vegetation index. Remote Sens. Environ. 1994, 48, 119–126. [Google Scholar] [CrossRef]
- Haboudane, D.; Miller, J.R.; Tremblay, N.; Zarco-Tejada, P.J.; Dextraze, L. Integrated narrow-band vegetation indices for prediction of crop chlorophyll content for application to precision agriculture. Remote Sens. Environ. 2002. [Google Scholar] [CrossRef]
- Maccioni, A.; Agati, G.; Mazzinghi, P. New vegetation indices for remote measurement of chlorophylls based on leaf directional reflectance spectra. J. Photochem. Photobiol. B Biol. 2001, 61, 52–61. [Google Scholar] [CrossRef]
- Smith, R.C.G.; Adams, J.; Stephens, D.J.; Hick, P.T. Forecasting wheat yield in a Mediterranean-type environment from the NOAA satellite. Aust. J. Agric. Res. 1995, 46, 113–125. [Google Scholar] [CrossRef]
- Gitelson, A.; Merzlyak, M.N. Spectral Reflectance Changes Associated with Autumn Senescence of Aesculus hippocastanum L. and Acer platanoides L. Leaves. Spectral Features and Relation to Chlorophyll Estimation. J. Plant Physiol. 1994. [Google Scholar] [CrossRef]
- Haboudane, D.; Miller, J.R.; Pattey, E.; Zarco-Tejada, P.J.; Strachan, I.B. Hyperspectral vegetation indices and novel algorithms for predicting green LAI of crop canopies: Modeling and validation in the context of precision agriculture. Remote Sens. Environ. 2004. [Google Scholar] [CrossRef]
- Gitelson, A.A.; Viña, A.; Verma, S.B.; Rundquist, D.C.; Arkebauer, T.J.; Keydan, G.; Leavitt, B.; Ciganda, V.; Burba, G.G.; Suyker, A.E. Relationship between gross primary production and chlorophyll content in crops: Implications for the synoptic monitoring of vegetation productivity. J. Geophys. Res. Atmos. 2006, 111. [Google Scholar] [CrossRef]
- le Maire, G.; François, C.; Soudani, K.; Berveiller, D.; Pontailler, J.Y.; Bréda, N.; Genet, H.; Davi, H.; Dufrêne, E. Calibration and validation of hyperspectral indices for the estimation of broadleaved forest leaf chlorophyll content, leaf mass per area, leaf area index and leaf canopy biomass. Remote Sens. Environ. 2008. [Google Scholar] [CrossRef]
- Serrano, L.; Peñuelas, J.; Ustin, S.L. Remote sensing of nitrogen and lignin in Mediterranean vegetation from AVIRIS data. Remote Sens. Environ. 2002, 81, 355–364. [Google Scholar] [CrossRef]
- Huete, A.; Didan, K.; Miura, T.; Rodriguez, E.; Gao, X.; Ferreira, L. Overview of the radiometric and biophysical performance of the MODIS vegetation indices. Remote Sens. Environ. 2002, 83, 195–213. [Google Scholar] [CrossRef]
- Gao, B.C. NDWI-A Normalized Difference Water Index for Remote Sensing of Vegetation Liquid Water From Space. Remote Sens. Environ. 1996, 7212, 257–266. [Google Scholar] [CrossRef]
- Fensholt, R.; Sandholt, I. Derivation of a shortwave infrared water stress index from MODIS near- and shortwave infrared data in a semiarid environment. Remote Sens. Environ. 2003, 87, 111–121. [Google Scholar] [CrossRef]
- Trombetti, M.; Riaño, D.; Rubio, M.A.; Cheng, Y.B.; Ustin, S.L. Multi-temporal vegetation canopy water content retrieval and interpretation using artificial neural networks for the continental USA. Remote Sens. Environ. 2008, 112, 203–215. [Google Scholar] [CrossRef]
- Hardisky, M.A.; Klemas, V.; Smart, R.M. The influence of soil salinity, growth form, and leaf moisture on the spectral radiance of Spartina alterniflora canopies. Photogramm. Eng. Remote Sens. 1983, 49, 77–83. [Google Scholar]
- Zarco-Tejada, P.J.; Rueda, C.A.; Ustin, S.L. Water content estimation in vegetation with MODIS reflectance data and model inversion methods. Remote Sens. Environ. 2003. [Google Scholar] [CrossRef]
- Hunt, E.R.; Rock, B.N. Detection of changes in leaf water content using Near- and Middle-Infrared reflectances. Remote Sens. Environ. 1989, 30, 43–54. [Google Scholar] [CrossRef]
- Penuelas, J.; Filella, I.; Biel, C.; Serrano, L.; Save, R. The reflectance at the 950-970 nm region as an indicator of plant water status. Int. J. Remote Sens. 1993, 14, 1887–1905. [Google Scholar] [CrossRef]
- Willmott, C.J. On the validation of models. Phys. Geogr. 1981, 2, 184–194. [Google Scholar] [CrossRef]
- Willmott, C.J.; Robeson, S.M.; Matsuura, K. A refined index of model performance. Int. J. Climatol. 2012, 32, 2088–2094. [Google Scholar] [CrossRef]
- Darvishzadeh, R.; Atzberger, C.; Skidmore, A.; Schlerf, M. Mapping grassland leaf area index with airborne hyperspectral imagery: A comparison study of statistical approaches and inversion of radiative transfer models. ISPRS J. Photogramm. Remote Sens. 2011. [Google Scholar] [CrossRef]
- Malenovsky, Z.; Milla, R.Z.; Homolova, L.; Martin, E.; Schaepman, M.; Gastellu-Etchegory, J.; Pokorny, R.; Clevers, J. Retrieval of coniferous canopy chlorophyll content from high spatial resolution hyperspectral data. In Proceedings of the 10th International Symposium on Physical Measurements and Spectral Signatures in Remote Sensing (ISPMSRS’07), Heidelberg, Germany, 12–14 September 2007; Volume XXXVI, pp. 108–113. [Google Scholar]
- Leonenko, G.; Los, S.O.; North, P.R. Statistical distances and their applications to biophysical parameter estimation: Information measures, m-estimates, and minimum contrast methods. Remote Sens. 2013, 5, 1355–1388. [Google Scholar] [CrossRef]
- Richter, K.; Atzberger, C.; Vuolo, F.; D’Urso, G. Evaluation of Sentinel-2 Spectral Sampling for Radiative Transfer Model Based LAI Estimation of Wheat, Sugar Beet, and Maize. IEEE J. Sel. Top. Appl. Earth Obs. Remote Sens. 2011, 4, 458–464. [Google Scholar] [CrossRef]
- Verrelst, J.; Rivera, G.P.; Leonenko, G.; Alonso, L.; Moreno, J. Optimizing LUT-based radiative transfer model inversion for retrieval of biophysical parameters using hyperspectral data. In Proceedings of the International Geoscience and Remote Sensing Symposium (IGARSS), Munich, Germany, 22–27 July 2012. [Google Scholar] [CrossRef]
- Fang, H.; Baret, F.; Plummer, S.; Schaepman-Strub, G. An Overview of Global Leaf Area Index (LAI): Methods, Products, Validation, and Applications. Rev. Geophys. 2019, 57, 739–799. [Google Scholar] [CrossRef]
- Zarco-Tejada, P.J.; Miller, J.R.; Morales, A.; Berjón, A.; Agüera, J. Hyperspectral indices and model simulation for chlorophyll estimation in open-canopy tree crops. Remote Sens. Environ. 2004. [Google Scholar] [CrossRef]
- Darvishzadeh, R.; Skidmore, A.; Abdullah, H.; Cherenet, E.; Ali, A.; Wang, T.; Nieuwenhuis, W.; Heurich, M.; Vrieling, A.; O’Connor, B.; et al. Mapping leaf chlorophyll content from Sentinel-2 and RapidEye data in spruce stands using the invertible forest reflectance model. Int. J. Appl. Earth Obs. Geoinf. 2019, 79, 58–70. [Google Scholar] [CrossRef]
- Zarco-Tejada, P.J.; Guillén-Climent, M.L.; Hernández-Clemente, R.; Catalina, A.; González, M.R.; Martín, P. Estimating leaf carotenoid content in vineyards using high resolution hyperspectral imagery acquired from an unmanned aerial vehicle (UAV). Agric. For. Meteorol. 2013. [Google Scholar] [CrossRef]
- Huang, W.; Zhou, X.; Kong, W.; Ye, H. Monitoring Crop Carotenoids Concentration by Remote Sensing. In Progress in Carotenoid Research; IntechOpen: London, UK, 2018. [Google Scholar] [CrossRef]
- Xiao, Y.; Zhao, W.; Zhou, D.; Gong, H. Sensitivity Analysis of Vegetation Reflectance to Biochemical and Biophysical Variables at Leaf, Canopy, and Regional Scales. IEEE Trans. Geosci. Remote Sens. 2013. [Google Scholar] [CrossRef]
- Melendo-Vega, J.R.; Martín, M.P.; Pacheco-Labrador, J.; González-Cascón, R.; Moreno, G.; Pérez, F.; Migliavacca, M.; García, M.; North, P.; Riaño, D. Improving the performance of 3-D radiative transfer model FLIGHT to simulate optical properties of a tree-grass ecosystem. Remote Sens. 2018, 10, 2061. [Google Scholar] [CrossRef]









| Date | Field Data | |
|---|---|---|
| Gap Fraction Plots | Biochemistry Trees | |
| June 2013 | 3 | |
| September 2013 | 2 | 5 |
| April 2014 | 5 | |
| June 2014 | 8 | 5 |
| October 2014 | 5 | |
| June 2016 | 7 | |
| Validation data | 17 | 13 |
| Year | Date (DOY 1) | Time (PDT 2) |
|---|---|---|
| 2013 | 4 June (155) | 12h30 p.m. |
| 19 September (262) | 12h40 p.m. | |
| 2014 | 2 June (153) | 12h00 p.m. |
| 2016 | 9 June (161) | 12h30 p.m. |
| Parameter | Value |
|---|---|
| Voxel size x, y, z (m) | 0.4, 0.4, 0.4 |
| Tree height (m) | 9.4 |
| Crown shape | ellipsoidal |
| Crown diameter (m) | 5.8 |
| Crown height (m) | 7.5 |
| Trunk height (m) | 6.63 |
| Trunk dbh (m) | 0.26 |
| LAD | spherical |
| Sun zenith/azimut | according to acquisition date |
| Parameter | Values/Range | Step | ||
|---|---|---|---|---|
| CC (%) | 10–90 | 10–90 | 20 | |
| LAI (m2/m2) | 0.1–1.9 | 0.25–1.75 | 0.3 | |
| (g/cm2) | 10–60 | 15–55 | 10 | |
| Car (g/cm2) | 2–14 | 4–12 | 4 | |
| LMA (g/cm2) | 7–16 × 10−3 | 8.5–14.5 × 10−3 | 3× 10−3 | |
| EWT (cm) | 5–17 × 10−3 | 7–15 × 10−3 | 4 × 10−3 | |
| (g/cm2) | 0(0–2) | 0 | 0(2) | 0 |
| Ground Reflec. | mean, mean ± Std | June 2016 mean | ||
| VI Source | VI | |||
|---|---|---|---|---|
| DART | P2D fine LUT | |||
| Gap fraction | ||||
| RMSE INT GAP | 0.75 | 0.75 | ||
| SAM INT GAP | 0.76 | 0.76 | ||
| Tucker [35] | 0.96 | 0.78 | 0.77 | |
| Qi et al. [36] | 0.9 | 0.76 | 0.74 | |
| RMSE INT CAB | 0.49 | 0.31 | ||
| SAM INT CAB | 0.12 | 0.23 | ||
| Haboudane et al. [37] | 0.81 | 0.25 | 0.23 | |
| Maccioni et al. [38] | 0.91 | 0.57 | 0.69 | |
| Smith et al. [39] | 0.76 | 0.65 | 0.75 | |
| Gitelson and Merzlyak [40] | 0.6 | 0.65 | 0.77 | |
| Haboudane et al. [41] | 0.01 | |||
| Car | ||||
| RMSE INT CAR | −0.08 | 0.2 | ||
| SAM INT CAR | −0.37 | 0.53 | ||
| Hernández-Clemente et al. [22] | 0.29 | |||
| Gitelson et al. [42] | 0.09 | |||
| Haboudane et al. [37] | 0.72 | 0.04 | 0.27 | |
| Maccioni et al. [38] | 0.81 | 0.12 | 0.59 | |
| Smith et al. [39] | 0.68 | 0.11 | 0.64 | |
| Gitelson and Merzlyak [40] | 0.61 | 0.34 | 0.65 | |
| Haboudane et al. [41] | 0.01 | |||
| LMA | ||||
| RMSE INT LMA | 0.03 | 0.19 | ||
| SAM INT LMA | 0.29 | 0.24 | ||
| le Maire et al. [43] | 0 | |||
| le Maire et al. [43] | 0.5 | −0.34 | 0.1 | |
| Serrano et al. [44] | 0 | |||
| Serrano et al. [44] | 0 | |||
| EWT | ||||
| RMSE INT EWT | −0.32 | 0.04 | ||
| SAM INT EWT | −0.49 | 0.29 | ||
| Huete et al. [45] | 0 | |||
| Gao [46] | 0.01 | |||
| Fensholt and Sandholt [47] | 0.02 | |||
| Trombetti et al. [48] | 0.01 | |||
| Hardisky et al. [49] | 0 | |||
| Zarco-Tejada et al. [50] | 0.01 | |||
| Hunt and Rock [51] | 0 | |||
| Trombetti et al. [48] | 0.01 | |||
| Penuelas et al. [52] | 0.01 | |||
| CC | Maximum E (%) | Wavelength (m) | ||
|---|---|---|---|---|
| VIS | NIR | VIS | NIR | |
| 10 | 87 | 46 | 0.68 | 1.49 |
| 30 | 21 | 21 | 0.68 | 2.45 |
| 50 | 9 | 13 | 0.73 | 1.13 |
| 70 | 8 | 10 | 0.73 | 1.10 |
| 90 | 6 | 8 | 0.76 | 0.88 |
© 2020 by the authors. Licensee MDPI, Basel, Switzerland. This article is an open access article distributed under the terms and conditions of the Creative Commons Attribution (CC BY) license (http://creativecommons.org/licenses/by/4.0/).
Share and Cite
Miraglio, T.; Adeline, K.; Huesca, M.; Ustin, S.; Briottet, X. Joint Use of PROSAIL and DART for Fast LUT Building: Application to Gap Fraction and Leaf Biochemistry Estimations over Sparse Oak Stands. Remote Sens. 2020, 12, 2925. https://doi.org/10.3390/rs12182925
Miraglio T, Adeline K, Huesca M, Ustin S, Briottet X. Joint Use of PROSAIL and DART for Fast LUT Building: Application to Gap Fraction and Leaf Biochemistry Estimations over Sparse Oak Stands. Remote Sensing. 2020; 12(18):2925. https://doi.org/10.3390/rs12182925
Chicago/Turabian StyleMiraglio, Thomas, Karine Adeline, Margarita Huesca, Susan Ustin, and Xavier Briottet. 2020. "Joint Use of PROSAIL and DART for Fast LUT Building: Application to Gap Fraction and Leaf Biochemistry Estimations over Sparse Oak Stands" Remote Sensing 12, no. 18: 2925. https://doi.org/10.3390/rs12182925
APA StyleMiraglio, T., Adeline, K., Huesca, M., Ustin, S., & Briottet, X. (2020). Joint Use of PROSAIL and DART for Fast LUT Building: Application to Gap Fraction and Leaf Biochemistry Estimations over Sparse Oak Stands. Remote Sensing, 12(18), 2925. https://doi.org/10.3390/rs12182925

