Hyperspectral Image Recovery Using Non-Convex Low-Rank Tensor Approximation
Abstract
1. Introduction
2. Notations and Preliminaries
3. Proposed Methods
3.1. Non-Convex Low-Rank Relaxation
- (i)
- ,iff
- (ii)
- increases by γ.
- (iii)
- is a concave function of
- (iv)
- is orthogonal unitary invariant, i.e.,where, are orthogonal.
- (i)
- Since , and is the sum of , we have . If , then , that means . On the other hand, means , that is , so we have
- (ii)
- Because is increasing with respect to , and is the sum of , according to the properties of , we have is increasing with respect to
- (iii)
- Because is concave over , and is the sum of , by regarding as , we know is concave over
- (iv)
- Since has t-SVD , then P*X*QT = P*U*S*VT*QT. Because is f-diagonal, we only need to verify that and are orthogonal.
3.2. Non-Convex Soft Shrinkage Operator of Tensor
3.3. Tensor γ-Norm in HSI Recovery
3.3.1. Non-Convex Low-Rank Tensor Completion
| Algorithm 1 Solve NCTNN (7) by ADMM |
| Input: observed image , parameters . Initialize: , , , , . while not converged do
end while |
3.3.2. Non-Convex Tensor Robust Principle Component Analysis
| Algorithm 2 Solve NCTRPCA (10) by ADMM |
| Input: observed image , parameter , . Initialize: , , , , , while not converged do
end while |
4. Experimental Results and Analysis
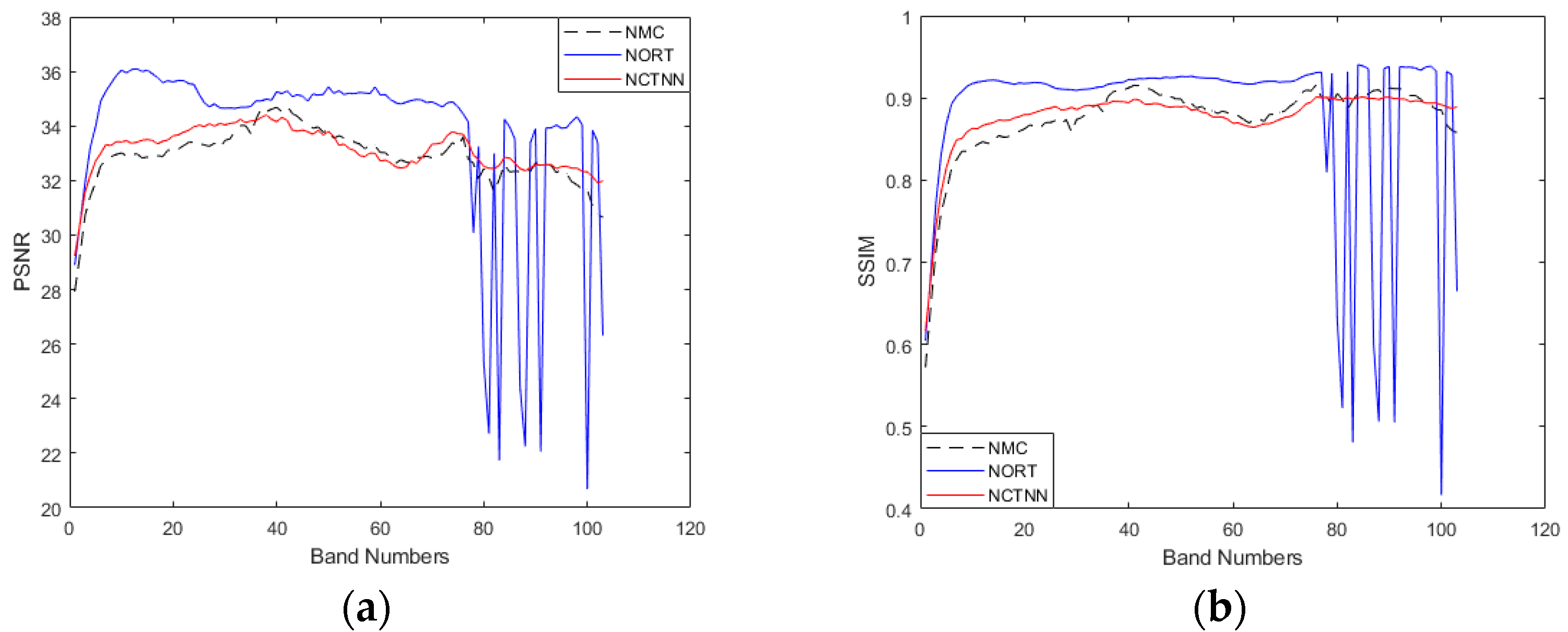
4.1. Experiment 1: Comparative Experiments for NCTNN
4.1.1. Non-Convex Methods Comparative Experiments
4.1.2. Convex Methods Comparative Experiments
4.1.3. Parameter Analysis
4.2. Experiment 2: Comparative Experiments for NCTRPCA
4.2.1. Comparative Experiments
4.2.2. Parameter Analysis
5. Conclusions
Author Contributions
Funding
Conflicts of Interest
References
- Chang, Y.; Yan, L.X.; Wu, T.; Zhong, S. Remote sensing image stripe noise Removal: From image decomposition perspective. IEEE Trans. Geosci. Remote Sens. 2016, 54, 7018–7031. [Google Scholar] [CrossRef]
- Huang, Z.H.; Li, S.T.; Hu, F. Hyperspectral image denoising with multiscale low-rank matrix recovery. In Proceedings of the 2017 IEEE International Geoscience and Remote Sensing Symposium, Fort Worth, TX, USA, 23–28 July 2017; pp. 5442–5445. [Google Scholar]
- Garzelli, A. A review of image fusion algorithms based on the super-resolution paradigm. Remote Sens. 2016, 8, 797. [Google Scholar] [CrossRef]
- Zhang, X.; Li, C.; Zhang, J.; Chen, Q.; Feng, J.; Jiao, L.; Zhou, H. Hyperspectral unmixing via low-rank representation with space consistency constraint and spectral library pruning. Remote Sens. 2018, 10, 339. [Google Scholar] [CrossRef]
- He, W.; Zhang, H.; Zhang, L.; Shen, H. Total-variation-regularized low-rank matrix factorization for hyperspectral image restoration. IEEE Trans. Geosci. Remote Sens. 2016, 54, 178–188. [Google Scholar] [CrossRef]
- Liu, H.Y.; Sun, P.P.; Du, Q.; Wu, Z.B.; Wei, Z.H. Hyperspectral image restoration based on low-rank recovery with a local neighborhood weighted spectral-spatial total variation model. IEEE Trans. Geosci. Remote Sens. 2019, 57, 1409–1422. [Google Scholar] [CrossRef]
- Candes, E.J.; Li, X.D.; Ma, Y.; Wright, J. Robust principal component analysis? J. ACM 2011, 58, 1–37. [Google Scholar] [CrossRef]
- Gu, S.H.; Zhang, L.; Zuo, W.M.; Feng, X.C. Weighted nuclear norm minimization with application to image denoising. In Proceedings of the 2014 IEEE Conference on Computer Vision and Pattern Recognition, Columbus, OH, USA, 24–27 June 2014; pp. 2862–2869. [Google Scholar]
- Liu, L.; Huang, W.; Chen, D.R. Exact minimum rank approximation via Schatten p-norm minimization. J. Comput. Appl. Math 2014, 267, 218–227. [Google Scholar] [CrossRef]
- Xie, Y.; Gu, S.H.; Liu, Y.; Zuo, W.M.; Zhang, W.S.; Zhang, L. Weighted schatten p-norm minimization for image denoising and background subtraction. IEEE Trans. Image Process. 2016, 25, 4842–4857. [Google Scholar] [CrossRef]
- Zhang, C.H. Nearly unbiased variable selection under minimax concave penalty. Ann. Stat. 2010, 38, 894–942. [Google Scholar] [CrossRef]
- Wang, S.; Liu, D.; Zhang, Z. Nonconvex relaxation approaches to robust matrix recovery. In Proceedings of the Twenty-Third International Joint Conference on Artificial Intelligence, Barcelona, Spain, 16–22 July 2011. [Google Scholar]
- Li, H.Y.; Sun, P.P.; Liu, H.Y.; Wu, Z.B.; Wei, Z.H. Non-convex low-rank approximation for hypersectral image recovery with weighted total variation regularization. In Proceedings of the 2018 IEEE International Geoscience and Remote Sensing Symposium, Valencia, Spain, 22–27 July 2018; pp. 2733–2736. [Google Scholar]
- Wen, F.; Ying, R.; Liu, P.; Truong, T.-K. Matrix completion via nonconvex regularization: Convergence of the proximal gradient algorithm. arXiv 2019, arXiv:1903.00702. [Google Scholar]
- Lu, C.Y.; Tang, J.H.; Yan, S.C.; Lin, Z.C. Generalized nonconvex nonsmooth low-rank minimization. In Proceedings of the 2014 IEEE Conference on Computer Vision and Pattern Recognition, Columbus, OH, USA, 24–27 June 2014; pp. 4130–4137. [Google Scholar]
- Kolda, T.G.; Bader, B.W. Tensor decompositions and applications. Siam Rev. 2009, 51, 455–500. [Google Scholar] [CrossRef]
- Liu, J.; Musialski, P.; Wonka, P.; Ye, J.P. Tensor completion for estimating missing values in visual data. IEEE Trans. Pattern Anal. Mach. Intell. 2013, 35, 208–220. [Google Scholar] [CrossRef] [PubMed]
- Deng, Y.J.; Li, H.C.; Fu, K.; Du, Q.; Emery, W.J. Tensor low-rank discriminant embedding for hyperspectral image dimensionality reduction. IEEE Trans. Geosci. Remote Sens. 2018, 56, 7183–7194. [Google Scholar] [CrossRef]
- Fan, H.Y.; Chen, Y.J.; Guo, Y.L.; Zhang, H.Y.; Kuang, G.Y. Hyperspectral image restoration using low-rank tensor recovery. IEEE J. Sel. Topics Appl. Earth Obs. Remote Sens. 2017, 10, 4589–4604. [Google Scholar] [CrossRef]
- Gandy, S.; Recht, B.; Yamada, I. Tensor completion and low-n-rank tensor recovery via convex optimization. Inverse Probl. 2011, 27, 2–025010. [Google Scholar] [CrossRef]
- Kilmer, M.E.; Martin, C.D. Factorization strategies for third-order tensors. Linear Algebra Appl. 2011, 435, 641–658. [Google Scholar] [CrossRef]
- Xu, Y.Y.; Hao, R.R.; Yin, W.T.; Su, Z.X. Parallel matrix factorization for low-rank tensor completion. Inverse Probl. Imaging 2015, 9, 601–624. [Google Scholar] [CrossRef]
- Ng, M.K.P.; Yuan, Q.Q.; Yan, L.; Sun, J. An adaptive weighted tensor completion method for the recovery of remote sensing images with missing data. IEEE Trans. Geosci. Remote Sens. 2017, 55, 3367–3381. [Google Scholar] [CrossRef]
- Kilmer, M.E.; Braman, K.; Hao, N.; Hoover, R.C. Third-order tensors as operatorson matrices: A theoretical and computional framework with applications in imaging. Siam J. Matrix Anal. Appl. 2013, 34, 148–172. [Google Scholar] [CrossRef]
- Xie, Q.; Zhao, Q.; Meng, D.Y.; Xu, Z.B. Kronecker-basis-representation based tensor sparsity and its applications to tensor recovery. IEEE Trans. Pattern Anal. Mach. Intell. 2018, 40, 1888–1902. [Google Scholar] [CrossRef]
- Lu, C.Y.; Feng, J.S.; Chen, Y.D.; Liu, W.; Lin, Z.C.; Yan, S.C. Tensor robust principal component analysis: Exact recovery of corrupted low-rank tensors via convex optimization. In Proceedings of the 2016 IEEE Conference on Computer Vision and Pattern Recognition, Las Vegas, NV, USA, 26 June–1 July 2016; pp. 5249–5257. [Google Scholar]
- Zhao, L.; Xu, Y.; Wei, Z.H.; Yu, R.P.; Qian, L. Hyperspectral image denoising via coupled spectral-spatial tensor representation. In Proceedings of the 2018 IEEE International Geoscience and Remote Sensing Symposium, Valencia, Spain, 22–27 July 2018; pp. 4784–4787. [Google Scholar]
- Liu, Y.Y.; Shang, F.H. An Efficient matrix factorization method for tensor completion. IEEE Signal Process. Lett. 2013, 20, 307–310. [Google Scholar] [CrossRef]
- Goldfarb, D.; Qin, Z. Robust low-rank tensor recovery: Models and algorithms. Siam J. Matrix Anal. Appl. 2014, 35, 225–253. [Google Scholar] [CrossRef]
- Zhang, Z.M.; Aeron, S. Exact tensor completion using t-SVD. IEEE Trans. Signal Process. 2017, 65, 1511–1526. [Google Scholar] [CrossRef]
- Zhang, Z.M.; Ely, G.; Aeron, S.; Hao, N.; Kilmer, M. Novel methods for multilinear data completion and de-noising based on tensor-SVD. In Proceedings of the 2014 IEEE Conference on Computer Vision and Pattern Recognition, Columbus, OH, USA, 24–27 June 2014; pp. 3842–3849. [Google Scholar]
- Hu, W.; Tao, D.; Zhang, W.; Xie, Y.; Yang, Y. The twist tensor nuclear norm for video completion. IEEE Trans. Neural Netw. Learn. Syst. 2016, 28, 2961–2973. [Google Scholar] [CrossRef] [PubMed]
- Zhou, P.; Feng, J. Outlier-robust tensor PCA. In Proceedings of the 2017 IEEE Conference on Computer Vision and Pattern Recognition, Honolulu, HI, USA, 21–21 July 2017; pp. 2263–2271. [Google Scholar]
- Zhou, P.; Lu, C.; Lin, Z.; Zhang, C. Tensor factorization for low-rank tensor completion. IEEE Trans. Image Process. 2017, 27, 1152–1163. [Google Scholar] [CrossRef] [PubMed]
- Jiang, T.-X.; Huang, T.-Z.; Zhao, X.-L.; Deng, L.-J. A novel nonconvex approach to recover the low-tubal-rank tensor data: When t-SVD meets PSSV. arXiv 2017, arXiv:1712.05870. [Google Scholar]
- Cao, W.F.; Wang, Y.; Yang, C.; Chang, X.Y.; Han, Z.; Xu, Z.B. Folded-concave penalization approaches to tensor completion. Neurocomputing 2015, 152, 261–273. [Google Scholar] [CrossRef]
- Ji, T.Y.; Huang, T.Z.; Zhao, X.L.; Ma, T.H.; Deng, L.J. A non-convex tensor rank approximation for tensor completion. Appl. Math. Model. 2017, 48, 410–422. [Google Scholar] [CrossRef]
- Li, H.; Liu, H.; Zhang, J.; Wu, Z.; Wei, Z. Non-convex relaxation low-rank tensor completion for hyperspectral image recovery. In Proceedings of the IGARSS 2019–2019 IEEE International Geoscience and Remote Sensing Symposium, Yokohama, Japan, 28 July–2 August 2019; pp. 1935–1938. [Google Scholar]
- Zhang, X.J. A nonconvex relaxation approach to low-rank tensor completion. IEEE Trans. Neural Netw. Learn. Syst. 2019, 30, 1659–1671. [Google Scholar] [CrossRef]
- Cai, S.T.; Luo, Q.L.; Yang, M.; Li, W.; Xiao, M.Q. Tensor robust principal component analysis via non-convex low rank approximation. Appl. Sci. 2019, 9, 1411. [Google Scholar] [CrossRef]
- Yao, Q.; Kwok, J.T.-Y.; Han, B. Efficient nonconvex regularized tensor completion with structure-aware proximal iterations. In Proceedings of the International Conference on Machine Learning, Long Beach, CA, USA, 9–15 June 2019; pp. 7035–7044. [Google Scholar]
- Li, T.; Ma, J. Non-convex penalty for tensor completion and robust PCA. arXiv 2019, arXiv:1904.10165. [Google Scholar]
- Gui, H.; Gu, Q. Towards faster rates and oracle property for low-rank matrix estimation. arXiv 2015, arXiv:1505.04780. [Google Scholar]
- Gu, S.; Xie, Q.; Meng, D.; Zuo, W.; Feng, X.; Zhang, L. Weighted nuclear norm minimization and its applications to low level vision. Int. J. Comput. Vis. 2017, 121, 183–208. [Google Scholar] [CrossRef]
- Boyd, S.; Parikh, N.; Chu, E.; Peleato, B.; Eckstein, J. Distributed optimization and statistical learning via the alternating direction method of multipliers. Found. Trends Mach. Learn. 2011, 3, 1–122. [Google Scholar] [CrossRef]














| SR | Index | NMC | NORT | NCTNN |
|---|---|---|---|---|
| RSE | 0.1715 | 0.1498 | 0.1311 | |
| 10% | MPSNR | 29.9454 | 31.0101 | 32.0785 |
| MSSIM | 0.8010 | 0.8179 | 0.8480 | |
| MSAD | 10.7925 | 7.6400 | 7.4383 | |
| RSE | 0.1249 | 0.1061 | 0.1024 | |
| 50% | MPSNR | 32.9078 | 33.1604 | 33.7900 |
| MSSIM | 0.8749 | 0.8773 | 0.8832 | |
| MSAD | 7.7770 | 6.1126 | 5.5622 | |
| RSE | 0.0504 | 0.0490 | 0.0466 | |
| 70% | MPSNR | 39.6411 | 39.9678 | 40.5303 |
| MSSIM | 0.9653 | 0.9699 | 0.9704 | |
| MSAD | 3.2117 | 2.8011 | 2.6770 |
| SR | Index | TMac | LRTC | TNN | NCTNN |
|---|---|---|---|---|---|
| RSE | 0.1778 | 0.2549 | 0.1098 | 0.1085 | |
| 10% | MPSNR | 36.4864 | 34.5769 | 34.8567 | 34.8649 |
| MSSIM | 0.8092 | 0.7499 | 0.8354 | 0.8378 | |
| MSAD | 10.6298 | 10.4791 | 6.1192 | 6.1147 | |
| RSE | 0.0796 | 0.1247 | 0.0528 | 0.0519 | |
| 30% | MPSNR | 38.2925 | 38.6530 | 39.9691 | 40.6430 |
| MSSIM | 0.9284 | 0.9239 | 0.9428 | 0.9360 | |
| MSAD | 5.1722 | 5.6094 | 3.1803 | 3.0635 | |
| RSE | 0.1423 | 0.075 | 0.0508 | 0.0405 | |
| 50% | MPSNR | 39.5542 | 38.9234 | 40.1398 | 40.8033 |
| MSSIM | 0.9284 | 0.9099 | 0.9380 | 0.9361 | |
| MSAD | 6.5591 | 3.7911 | 3.1894 | 2.7657 | |
| RSE | 0.0637 | 0.0645 | 0.0613 | 0.0404 | |
| 80% | MPSNR | 42.1434 | 41.4434 | 40.5245 | 41.1576 |
| MSSIM | 0.9268 | 0.9232 | 0.9316 | 0.9443 | |
| MSAD | 4.0437 | 3.6204 | 3.9243 | 2.6206 |
| Dataset | Noise Level | Index | IRNN | NRLRWTV | RPCA | TRPCA | NCTRPCA |
|---|---|---|---|---|---|---|---|
| Washington DC | RSE | 0.0829 | 0.0556 | 0.2210 | 0.0439 | 0.0402 | |
| G = 0.025 | MPSNR | 40.8370 | 42.7526 | 26.9754 | 44.6603 | 45.9740 | |
| P = 0.05 | MSSIM | 0.9000 | 0.9323 | 0.5710 | 0.9774 | 0.9796 | |
| MSAD | 3.7665 | 2.2682 | 10.8807 | 2.2678 | 2.2237 | ||
| RSE | 0.0800 | 0.0601 | 0.3466 | 0.0764 | 0.0599 | ||
| G = 0.05 | MPSNR | 35.5132 | 38.0533 | 22.6086 | 43.3904 | 42.0658 | |
| P = 0.1 | MSSIM | 0.7973 | 0.8511 | 0.3902 | 0.9542 | 0.9599 | |
| MSAD | 5.3607 | 4.3987 | 18.7847 | 3.9803 | 3.9644 | ||
| RSE | 0.1293 | 0.0860 | 0.1670 | 0.1401 | 0.1293 | ||
| G = 0.075 | MPSNR | 32.3048 | 34.8965 | 35.5580 | 40.1497 | 39.7160 | |
| P = 0.15 | MSSIM | 0.7283 | 0.8013 | 0.8147 | 0.8775 | 0.9266 | |
| MSAD | 7.7141 | 6.3412 | 9.5087 | 5.4784 | 5.4685 | ||
| RSE | 0.2085 | 0.1150 | 0.2041 | 0.1504 | 0.2085 | ||
| G = 0.1 | MPSNR | 30.0710 | 32.8250 | 34.0711 | 37.7062 | 37.6901 | |
| P = 0.2 | MSSIM | 0.6736 | 0.7707 | 0.7965 | 0.8716 | 0.8979 | |
| MSAD | 9.7615 | 6.8418 | 12.0437 | 7.6575 | 6.8022 | ||
| Pavia University | RSE | 0.0688 | 0.0503 | 0.2233 | 0.0488 | 0.0469 | |
| G = 0.025 | MPSNR | 37.5136 | 39.6694 | 26.4945 | 40.0122 | 40.4803 | |
| P = 0.05 | MSSIM | 0.9490 | 0.9701 | 0.6772 | 0.9655 | 0.9701 | |
| MSAD | 3.5643 | 2.7967 | 8.0692 | 3.2130 | 2.7195 | ||
| RSE | 0.1398 | 0.0811 | 0.2762 | 0.0752 | 0.0724 | ||
| G = 0.05 | MPSNR | 34.0721 | 36.3067 | 24.4730 | 35.9387 | 36.5155 | |
| P = 0.1 | MSSIM | 0.8890 | 0.9314 | 0.6277 | 0.9266 | 0.9320 | |
| MSAD | 8.0235 | 4.8143 | 10.5837 | 4.7153 | 4.7020 | ||
| RSE | 0.2242 | 0.1303 | 0.3670 | 0.1022 | 0.1068 | ||
| G = 0.075 | MPSNR | 31.9070 | 32.8567 | 22.0202 | 33.1871 | 33.7116 | |
| P = 0.15 | MSSIM | 0.8314 | 0.8752 | 0.5017 | 0.8774 | 0.8823 | |
| MSAD | 11.8662 | 8.1859 | 14.4344 | 6.1167 | 5.6251 | ||
| RSE | 0.2871 | 0.1702 | 0.4830 | 0.1309 | 0.1149 | ||
| G = 0.1 | MPSNR | 29.6851 | 29.9220 | 19.6690 | 31.0240 | 32.0927 | |
| P = 0.2 | MSSIM | 0.7588 | 0.8004 | 0.3573 | 0.8197 | 0.8487 | |
| MSAD | 15.6410 | 10.7094 | 18.5420 | 7.4184 | 6.8022 |
| Dataset | Index | IRNN | NRLRWTV | RPCA | TRPCA | NCTRPCA |
|---|---|---|---|---|---|---|
| HYDICE Urban | MSAD | 11.1242 | 8.8584 | 14.7328 | 8.1838 | 7.5465 |
© 2020 by the authors. Licensee MDPI, Basel, Switzerland. This article is an open access article distributed under the terms and conditions of the Creative Commons Attribution (CC BY) license (http://creativecommons.org/licenses/by/4.0/).
Share and Cite
Liu, H.; Li, H.; Wu, Z.; Wei, Z. Hyperspectral Image Recovery Using Non-Convex Low-Rank Tensor Approximation. Remote Sens. 2020, 12, 2264. https://doi.org/10.3390/rs12142264
Liu H, Li H, Wu Z, Wei Z. Hyperspectral Image Recovery Using Non-Convex Low-Rank Tensor Approximation. Remote Sensing. 2020; 12(14):2264. https://doi.org/10.3390/rs12142264
Chicago/Turabian StyleLiu, Hongyi, Hanyang Li, Zebin Wu, and Zhihui Wei. 2020. "Hyperspectral Image Recovery Using Non-Convex Low-Rank Tensor Approximation" Remote Sensing 12, no. 14: 2264. https://doi.org/10.3390/rs12142264
APA StyleLiu, H., Li, H., Wu, Z., & Wei, Z. (2020). Hyperspectral Image Recovery Using Non-Convex Low-Rank Tensor Approximation. Remote Sensing, 12(14), 2264. https://doi.org/10.3390/rs12142264

