SST Comparison of AVHRR and MODIS Time Series in the Western Mediterranean Sea
Abstract
1. Introduction
2. Materials and Methods
2.1. AVHRR SST Data
2.2. MODIS SST Data
2.3. Study Area and Analysis of Data
3. Results
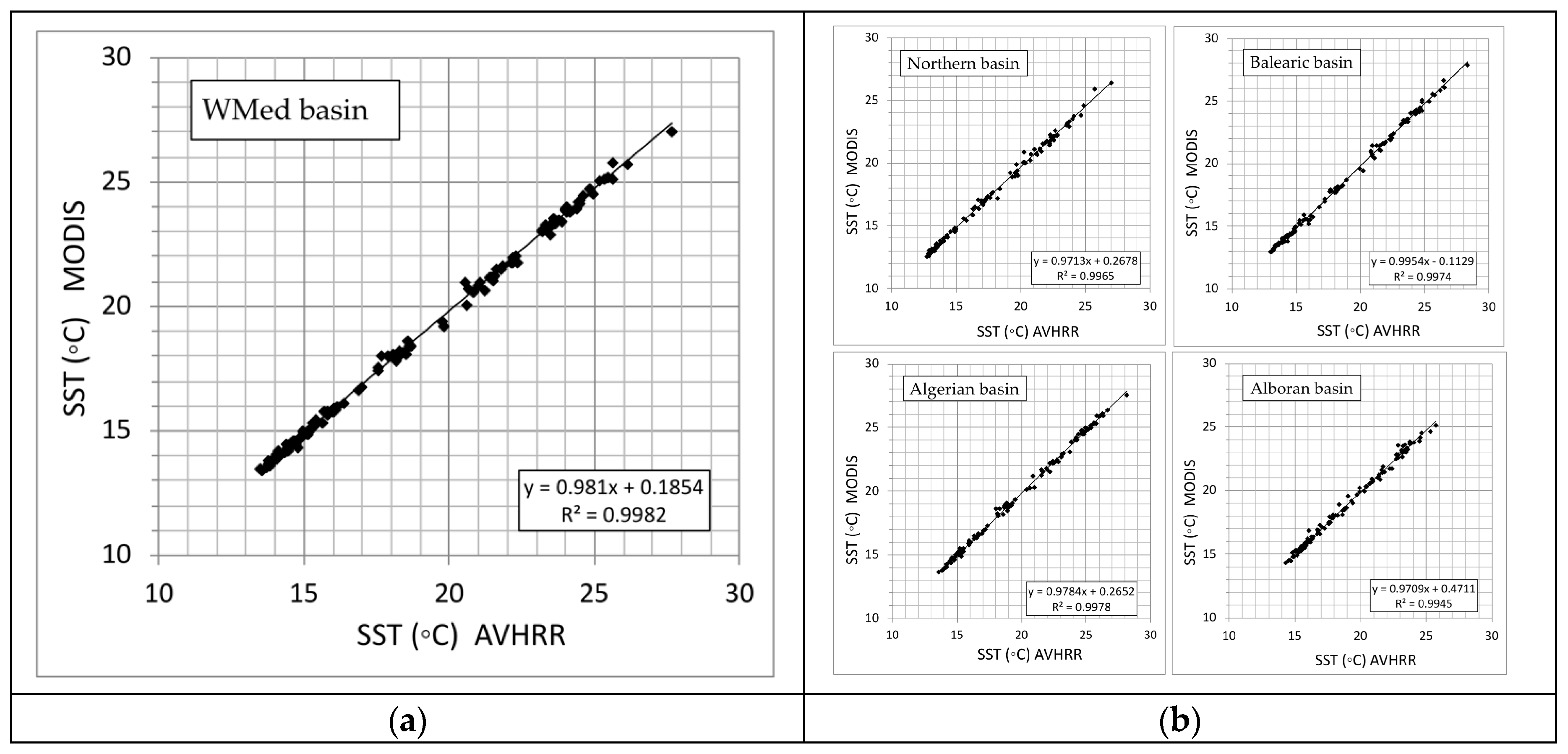
3.1. Regional Analysis
3.2. Seasonal Analysis
3.3. Analysis of Time Series
4. Discussion
5. Conclusions
Funding
Acknowledgments
Conflicts of Interest
References
- Emery, W.J.; Castro, S.; Wick, G.A.; Schlüssel, P.; Donlon, C. Estimating Sea Surface Temperature from Infrared Satellite and In Situ Temperature Data. Bull. Am. Meteorol. Soc. 2001, 82, 2773–2785. [Google Scholar] [CrossRef]
- Minnett, P.J.; Alvera-Azcárate, A.; Chin, T.; Corlett, G.; Gentemann, C.; Karagali, I.; Li, X.; Marsouin, A.; Marullo, S.; Maturi, E.; et al. Half a century of satellite remote sensing of sea-surface temperature. Remote Sens. Environ. 2019, 233, 111366. [Google Scholar] [CrossRef]
- Deschamps, P.Y.; Phulpin, T. Atmospheric correction of infrared measurements of sea surface temperature using channels at 3.7, 11 and 12 Mm. Boundary-Layer Meteorol. 1980, 18, 131–143. [Google Scholar] [CrossRef]
- McMillin, L.M.; Crosby, D.S. Theory and validation of the multiple window sea surface temperature technique. J. Geophys. Res. Space Phys. 1984, 89, 3655. [Google Scholar] [CrossRef]
- McClain, E.P.; Pichel, W.G.; Walton, C.C. Comparative performance of AVHRR-based multichannel sea surface temperatures. J. Geophys. Res. Space Phys. 1985, 90, 11587. [Google Scholar] [CrossRef]
- Casey, K.S.; Brandon, T.B.; Cornillon, P.; Evans, R. The Past, Present, and Future of the AVHRR Pathfinder SST Program. In Oceanography from Space; Springer Science and Business Media LLC: New York, NY, USA, 2010; pp. 273–287. [Google Scholar]
- Minnett, P.; Evans, R.; Kearns, E.; Brown, O. Sea-surface temperature measured by the Moderate Resolution Imaging Spectroradiometer (MODIS). In Proceedings of the IEEE International Geoscience and Remote Sensing Symposium, Toronto, ON, Canada, 24–28 June 2002; Volume 2, pp. 1177–1179. [Google Scholar]
- Hosoda, K.; Murakami, H.; Sakaida, F.; Kawamura, H. Algorithm and validation of sea surface temperature observation using MODIS sensors aboard terra and aqua in the western North Pacific. J. Oceanogr. 2007, 63, 267–280. [Google Scholar] [CrossRef]
- Kilpatrick, K.; Podestá, G.; Walsh, S.; Williams, E.; Halliwell, V.; Szczodrak, M.; Brown, O.; Minnett, P.J.; Evans, R. A decade of sea surface temperature from MODIS. Remote Sens. Environ. 2015, 165, 27–41. [Google Scholar] [CrossRef]
- Stocker, T.F.; Qin, D.; Plattner, G.K.; Tignor, M.M.B.; Allen, S.K.; Boschung, J.; Nauels, A.; Xia, Y.; Bex, V.; Midgley, P.M. Climate Change 2013: The Physical Science Basis. Contribution of Working Group I to the Fifth Assessment Report of the Intergovernmental Panel on Climate Change; Cambridge University Press: Cambridge, UK; New York, NY, USA, 2013; ISBN 978-1-107-05799-1. [Google Scholar]
- Giorgi, F. Climate change hot-spots. Geophys. Res. Lett. 2006, 33, 08707. [Google Scholar] [CrossRef]
- Lionello, P.; Malanotte-Rizzoli, P.; Boscolo, R.; Alpert, P.; Artale, V.; Li, L.; Luterbacher, J.; May, W.; Trigo, R.M.; Tsimplis, M.; et al. The Mediterranean climate: An overview of the main characteristics and issues. In Mediterranean Climate Variability; Elsevier BV: Amsterdam, The Netherlands, 2006; Volume 4, pp. 1–26. [Google Scholar]
- Giorgi, F.; Lionello, P. Climate change projections for the Mediterranean region. Glob. Planet. Chang. 2008, 63, 90–104. [Google Scholar] [CrossRef]
- Lejeusne, C.; Chevaldonné, P.; Pergent-Martini, C.; Boudouresque, C.F.; Perez, T. Climate change effects on a miniature ocean: The highly diverse, highly impacted Mediterranean Sea. Trends Ecol. Evol. 2010, 25, 250–260. [Google Scholar] [CrossRef]
- Trenberth, K.E.; Jones, P.D.; Ambenje, P.; Bojariu, R.; Easterling, D.; Klein Tank, A.; Parker, D.; Rahimzadeh, F.; Renwick, J.A.; Rusticucci, M.; et al. Observations. Surface and Atmospheric Climate Change. In Climate Change 2007: The Physical Science Basis; Solomon, S., Qin, D., Manning, M., Marquis, M., Averyt, K.B., Tignor, M., Miller, H.L., Chen, Z., Eds.; Contribution of Working Group I to the Fourth Assessment Report of the Intergovernmental Panel on Climate Change, Chapter 3; Cambridge University Press: Cambridge, UK, 2007; pp. 235–336. [Google Scholar]
- Belkin, I.M. Rapid warming of Large Marine Ecosystems. Prog. Oceanogr. 2009, 81, 207–213. [Google Scholar] [CrossRef]
- Von Schuckmann, K.; Le Traon, P.-Y.; Smith, N.; Pascual, A.; Brasseur, P.; Fennel, K.; Djavidnia, S.; Aaboe, S.; Fanjul, E.A.; Autret, E.; et al. Copernicus Marine Service Ocean State Report. J. Oper. Oceanogr. 2018, 11, S1–S142. [Google Scholar] [CrossRef]
- Millot, C. Some features of the Algerian Current. J. Geophys. Res. Oceans 1985, 90, 7169–7176. [Google Scholar] [CrossRef]
- La Violette, P.E.; Tintore, J.; Font, J. The surface circulation of the Balearic Sea. J. Geophys. Res. Oceans 1990, 95, 1559. [Google Scholar] [CrossRef]
- López García, M.J.; Millot, C.; Font, J.; García-Ladona, E. Surface circulation variability in the Balearic Basin. J. Geophys. Res. Oceans 1994, 99, 3285. [Google Scholar] [CrossRef]
- Millot, C.; Taupier-Letage, I.; Le Borgne, P.; López-García, M.J.; Wald, L. Dynamical Oceanography Studies from Infrared Remote Sensing in the Western Mediterranean Sea. Mém. l’Inst. Océanograph. Monaco 1994, 18, 1–11. [Google Scholar]
- Santoleri, R.; Bohm, E.; Schiano, M.E. The sea surface temperature of the western Mediterranean Sea: Historical satellite thermal data. Coast. Estuar. Stud. 1994, 46, 155–176. [Google Scholar] [CrossRef]
- Marullo, S.; Santoleri, R.; Malanotte-Rizzoli, P.; Bergamasco, A. The sea surface temperature field in the Eastern Mediterranean from advanced very high resolution radiometer (AVHRR) data. J. Mar. Syst. 1999, 20, 63–81. [Google Scholar] [CrossRef]
- Nykjaer, L. Mediterranean Sea surface warming 1985–2006. Clim. Res. 2009, 39, 11–17. [Google Scholar] [CrossRef]
- López García, M.J.; Camarasa-Belmonte, A.M. Recent trends of SST in the Western Mediterranean basins from AVHRR Pathfinder data (1985–2007). Glob. Planet. Chang. 2011, 78, 127–136. [Google Scholar] [CrossRef]
- Skliris, N.; Sofianos, S.; Gkanasos, A.; Mantziafou, A.; Vervatis, V.; Axaopoulos, P.; Lascaratos, A. Decadal scale variability of sea surface temperature in the Mediterranean Sea in relation to atmospheric variability. Ocean Dyn. 2011, 62, 13–30. [Google Scholar] [CrossRef]
- Shaltout, M.; Omstedt, A. Recent sea surface temperature trends and future scenarios for the Mediterranean Sea. Oceanologia 2014, 56, 411–443. [Google Scholar] [CrossRef]
- López García, M.J. Recent warming in the Balearic Sea and Spanish Mediterranean coast. Towards an earlier and longer summer. Atmósfera 2015, 28, 149–160. [Google Scholar] [CrossRef]
- Pastor, F.; Valiente, J.A.; Palau, J.L. Sea Surface Temperature in the Mediterranean: Trends and Spatial Patterns (1982–2016). Pageoph Top. Vol. 2019, 175, 297–309. [Google Scholar] [CrossRef]
- Mohamed, B.; Abdallah, A.M.; Alam El-Din, K.; NagyiD, H.; Shaltout, M.; Mohamed, A. Inter-Annual Variability and Trends of Sea Level and Sea Surface Temperature in the Mediterranean Sea over the Last 25 Years. Pure Appl. Geophys. PAGEOPH 2019, 176, 3787–3810. [Google Scholar] [CrossRef]
- Pisano, A.; Marullo, S.; Artale, V.; Falcini, F.; Yang, C.; Leonelli, F.E.; Santoleri, R.; Nardelli, B.B. New Evidence of Mediterranean Climate Change and Variability from Sea Surface Temperature Observations. Remote Sens. 2020, 12, 132. [Google Scholar] [CrossRef]
- Salat, J.; Pascual, J.; Flexas, M.; Chin, T.M.; Vazquez-Cuervo, J. Forty-five years of oceanographic and meteorological observations at a coastal station in the NW Mediterranean: A ground truth for satellite observations. Ocean Dyn. 2019, 69, 1067–1084. [Google Scholar] [CrossRef]
- D’Ortenzio, F.; Marullo, S.; Santoleri, R. Validation of AVHRR Pathfinder SST’s over the Mediterranean Sea. Geophys. Res. Lett. 2000, 27, 241–244. [Google Scholar] [CrossRef]
- Kilpatrick, K.; Podestá, G.; Evans, R. Overview of the NOAA/NASA advanced very high resolution radiometer Pathfinder algorithm for sea surface temperature and associated matchup database. J. Geophys. Res. Space Phys. 2001, 106, 9179–9197. [Google Scholar] [CrossRef]
- Marullo, S.; Nardelli, B.B.; Guarracino, M.; Santoleri, R. Observing the Mediterranean Sea from space: 21 years of Pathfinder-AVHRR sea surface temperatures (1985 to 2005): Re-analysis and validation. Ocean Sci. 2007, 3, 299–310. [Google Scholar] [CrossRef]
- Oesch, D.C.; Jaquet, J.-M.; Hauser, A.; Wunderle, S. Lake surface water temperature retrieval using advanced very high resolution radiometer and Moderate Resolution Imaging Spectroradiometer data: Validation and feasibility study. J. Geophys. Res. Oceans 2005. [Google Scholar] [CrossRef]
- Qin, H.; Chen, G.; Wang, W.; Wang, D.; Wang, D. Validation and application of MODIS-derived SST in the South China Sea. Int. J. Remote Sens. 2014, 35, 4315–4328. [Google Scholar] [CrossRef]
- Ghanea, M.; Moradi, M.; Kabiri, K.; Mehdinia, A. Investigation and validation of MODIS SST in the northern Persian Gulf. Adv. Space Res. 2016, 57, 127–136. [Google Scholar] [CrossRef]
- Narayanan, M.; Vasan, D.T.; Bharadwaj, A.K.; Thanabalan, P.; Dhileeban, N. Comparison and validation of sea surface temperature (SST) using MODIS and AVHHRR sensor data. Int. J. Remote Sens. Geosci. 2013, 2, 2319–3484. [Google Scholar]
- Robles-González, C.; López Gordillo, N.; Fernández Renau, A.; García-Sevilla, A.; Santana-Suárez, J. Comparación de la temperatura de la superficie del mar calculada a partir de datos AVHRR y MODIS. Rev. Teledetec. 2011, 35, 5–16. Available online: http://www.aet.org.es/revistas/revista35/Numero35_01.pdf (accessed on 29 May 2020).
- Allega, L.; Cozzolino, E.; Pisoni, J.P.; Piccolo, M.C. Comparación de los productos de TSM L3 generados a partir de los sensores AVHRR y MODIS frente al Golfo San Jorge, Argentina. Rev. Teledetec. 2017, 50, 17–26. [Google Scholar] [CrossRef]
- Deschamps, P.Y.; Frouin, R. Large Diurnal Heating of the Sea Surface Observed by the HCMR Experiment. J. Phys. Oceanogr. 1984, 14, 177–184. [Google Scholar] [CrossRef][Green Version]
- Philippe, M.; Harang, L. Surface Temperature Fronts in the Mediterranean Sea from Infrared Satellite Imagery. In Polynyas: Windows to the World; Elsevier BV: Amsterdam, The Netherlands, 1982; Volume 34, pp. 91–128. [Google Scholar]
- Millot, C.; Wald, L. Infra-red remote sensing in the Gulf of Lions. In Oceanography from Space; Marine Science; Springer: Boston, MA, USA, 1981; Volume 13, pp. 183–187. [Google Scholar]
- Vázquez, J.; Perry, K.; Kilpatrick, K. NOAA/NASA AVHRR Oceans Pathfinder Sea Surface Temperature Data Set User’s Reference Manual, Version 4.0; Technical Report for JPL Publication D-14070; Jet Propulsion Laboratory: Pasadena, CA, USA, 1998. [Google Scholar]
- OBPG. MODIS Terra Level 3 SST Thermal IR Monthly 4km Nighttime v2014.0. Ver. 2014.0. PO.DAAC, CA, USA. 2015. Available online: https://doi.org/10.5067/MODST-MO4N4 (accessed on 29 May 2020).
- López García, M.J. La temperatura del Mar. Balear a partir de imágenes de satélite; Universitat de València: Valencia, Spain, 1990. [Google Scholar]
- Millot, C. Circulation in the Western Mediterranean Sea. J. Mar. Syst. 1999, 20, 423–442. [Google Scholar] [CrossRef]
- LópezGarcía, M.J. What is the temperature rise in the Mediterranean? Metode Sci. Stud. J. 2020. under review. [Google Scholar]
- Millot, C.; Taupier-Letage, I.; Benzohra, M. The Algerian eddies. Earth-Science Rev. 1990, 27, 203–219. [Google Scholar] [CrossRef]
- Bryden, H.L.; Kinder, T.H. Recent Progress in Strait Dynamics. Rev. Geophys. 1991, 29, 617–631. [Google Scholar] [CrossRef]
- Candela, J. The Gibraltar Strait and its role in the dynamics of the Mediterranean Sea. Dyn. Atmos. Oceans 1991, 15, 267–299. [Google Scholar] [CrossRef]
- Riffler, M.; Lieberherr, G.; Wunderle, S. Lake surface water temperatures of European Alpine lakes (1989–2013) based on the Advanced Very High Resolution Radiometer (AVHRR) 1 km data set. Earth Syst. Sci. Data 2015, 7, 1–17. [Google Scholar] [CrossRef]






| Basins | Correlation Coefficient (R2) | Average Difference 1 AVHRR-MODIS (°C) | Range of the Differences (min/max) (°C) | Positive Differences over the Total Cases (%) |
|---|---|---|---|---|
| Northern | 0.99 | 0.24 ± 0.25 | −0.65/1.03 | 87 |
| Balearic | 0.99 | 0.20 ± 0.22 | −0.45/0.82 | 84 |
| Algerian | 0.99 | 0.16 ± 0.22 | −0.54/0.76 | 76 |
| Alboran | 0.99 | 0.08 ± 0.26 | −0.82/0.70 | 66 |
| WMed | 0.99 | 0.18 ± 0.19 | −0.42/0.63 | 86 |
© 2020 by the author. Licensee MDPI, Basel, Switzerland. This article is an open access article distributed under the terms and conditions of the Creative Commons Attribution (CC BY) license (http://creativecommons.org/licenses/by/4.0/).
Share and Cite
López García, M.J. SST Comparison of AVHRR and MODIS Time Series in the Western Mediterranean Sea. Remote Sens. 2020, 12, 2241. https://doi.org/10.3390/rs12142241
López García MJ. SST Comparison of AVHRR and MODIS Time Series in the Western Mediterranean Sea. Remote Sensing. 2020; 12(14):2241. https://doi.org/10.3390/rs12142241
Chicago/Turabian StyleLópez García, María José. 2020. "SST Comparison of AVHRR and MODIS Time Series in the Western Mediterranean Sea" Remote Sensing 12, no. 14: 2241. https://doi.org/10.3390/rs12142241
APA StyleLópez García, M. J. (2020). SST Comparison of AVHRR and MODIS Time Series in the Western Mediterranean Sea. Remote Sensing, 12(14), 2241. https://doi.org/10.3390/rs12142241
