Combining Satellite Multispectral Imagery and Topographic Data for the Detection and Mapping of Fluvial Avulsion Processes in Lowland Areas
Abstract
1. Introduction
2. Study Area
3. Materials and Methods
3.1. Preliminary Inspection
3.2. Topographic Analysis of the Microrelief
3.3. Multispectral Satellite Imagery Analysis
4. Results
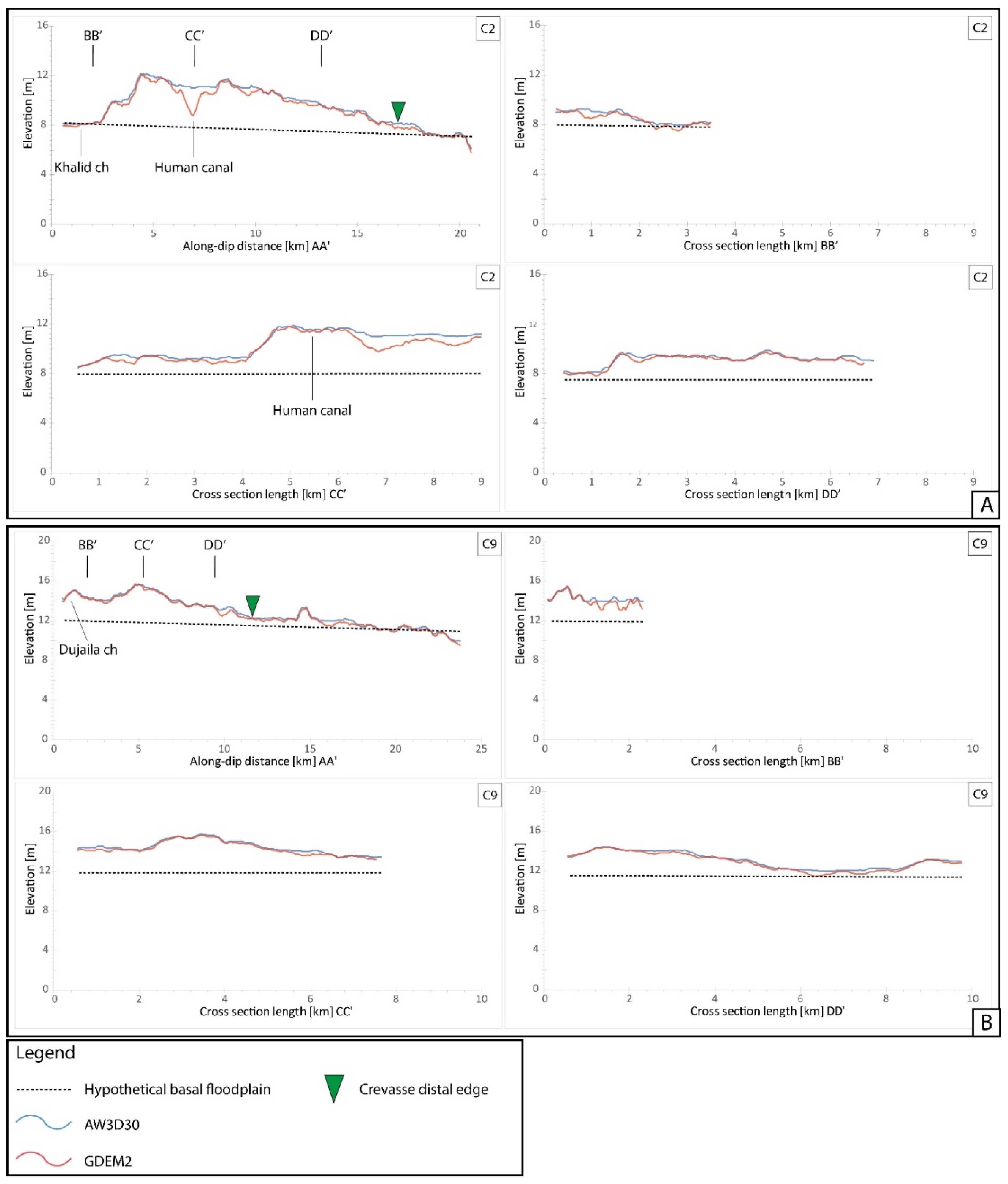
4.1. Preliminary Inspection and Topographic Analysis of the Microrelief
4.2. Multispectral Satellite Imagery Analysis
4.2.1. NDVI and CR
4.2.2. Supervised Classification
5. Discussion
6. Conclusions
- The spatial distribution of the crevasse deposit in the active landforms is generally controlled by the occurrence of vegetation, and the latter generally occurs in the proximal sector, favouring the transport of silt and clay up to the distal sector. The vegetation fixes the crevasse levees, favouring the channelized flow mainly in the proximal and middle sectors.
- The maximum convexity of the along-dip altimetric profile shifts from the proximal-middle sectors of the active crevasse splays to the middle sector of the abandoned ones.
- The CR can be used for a change detection of crevasse channels aimed at recognizing which step of a flood event we are observing, and thus for determining the state of activity of a crevasse splay as well as the NDVI.
- The topographic analysis of the microrelief and the multispectral analysis are useful tools for discerning crevasse channels, levees, and deposits, improving their delimitation and mapping, especially for the active landforms.
- Maximum Likelihood proved to be the best classification method, whereas the SAM method proved unsuitable for detecting and mapping the crevasse features in the context of this work.
Author Contributions
Funding
Conflicts of Interest
References
- Allen, J.R.L. A review of the origin and characteristics of recent alluvial sediments. Sedimentology 1965, 5, 89–191. [Google Scholar] [CrossRef]
- Bridge, J.S.; Leeder, M.R. A simulation model of alluvial stratigraphy. Sedimentology 1979, 26, 617–644. [Google Scholar] [CrossRef]
- Jones, L.S.; Schumm, S.A. Causes of avulsion: An overview. In Fluvial Sedimentology VI; Smith, N.D., Rogers, J., Eds.; Blackwells: Oxford, UK, 1999; pp. 171–178. [Google Scholar]
- Bridge, J.S. Rivers and Floodplains: Forms, Processes, and Sedimentary Record; Blackwells: Oxford, UK, 2003. [Google Scholar]
- Slingerland, R.L.; Smith, N.D. River avulsions and their deposits. Annu. Rev. Earth Planet Sci. 2004, 32, 255–283. [Google Scholar] [CrossRef]
- Bridge, J.; Demicco, R. Earth Surface Processes, Landforms, and Sediment Deposits; Cambridge University Press: New York, NY, USA, 2008. [Google Scholar]
- Leeder, M. Sedimentology and Sedimentary Basins, 2nd ed.; Wiley-Blacvkwell: Oxford, UK, 2011. [Google Scholar]
- Bristow, C.; Skelly, R.; Ethridge, F. Crevasse splays from the rapidly aggrading, sand-bed, Niobrara River, Nebraska: Effect of base-level rise. Sedimentology 1999, 46, 1029–1048. [Google Scholar] [CrossRef]
- Smith, N.D.; Cross, T.A.; Dufficy, J.P.; Clough, S.R. Anatomy of an avulsion. Sedimentology 1989, 36, 1–23. [Google Scholar] [CrossRef]
- Smith, N.D.; Pérez-Arlucea, M. Fine-grained splay deposition in the avulsion belt of the lower Saskatchewan River, Canada. J. Sediment. Res. 1994, 64, 159–168. [Google Scholar]
- Buehler, H.A.; Weissmann, G.S.; Scuderi, L.A.; Hartley, A.J. Spatial and temporal evolution of an avulsion on the Taquari River distributive fluvial system from satellite image analysis. J. Sediment. Res. 2011, 81, 630–640. [Google Scholar] [CrossRef]
- Hajek, E.A.; Wolinsky, M.A. Simplified process modeling of river avulsion and alluvial architecture: Connecting models and field data. Sediment. Geol. 2012, 257–260, 1–30. [Google Scholar] [CrossRef]
- Bernal, C.; Christophoul, F.; Darrozes, J.; Laraque, A.; Bourrel, L.; Soula, J.C.; Guyot, J.L.; Baby, P. Crevassing and capture by floodplain drains as a cause of partial avulsion and anastomosis (lower Rio Pastaza, Peru). J. S. Am. Earth Sci. 2013, 44, 63–74. [Google Scholar] [CrossRef]
- Kleinhans, M.G.; Ferguson, R.I.; Lane, S.N.; Hardy, R.J. Splitting rivers at their seams: Bifurcations and avulsion. Earth Surf. Proc. Land. 2013, 38, 47–61. [Google Scholar] [CrossRef]
- Yuill, B.T.; Khadka, A.K.; Pereira, J.; Allison, M.A.; Meselhe, E.A. Morphodynamics of the erosional phase of crevasse-splay evolution and implications for river sediment diversion function. Geomorphology 2016, 259, 12–29. [Google Scholar] [CrossRef]
- Goudie, A.S. Encyclopedia of Geomorphology, 1st ed.; Routledge: London, UK, 2004; pp. 19–21, 381–384. ISBN 0–415–32737–7. [Google Scholar]
- Miall, A.D. The Geology of Fluvial Deposits, 4th ed.; Springer: Berlin/Heidelberg, Germany, 2006; pp. 172–176. ISBN 978-3-540-59186-3. [Google Scholar]
- Burns, C.; Mountney, N.P.; Hodgson, D.M.; Colombera, L. Anatomy and dimensions of fluvial crevasse-splay deposits: Examples from the Cretaceous Castlegate Sandstone and Neslen Formation, Utah, USA. Sediment. Geol. 2017, 351, 21–35. [Google Scholar] [CrossRef]
- Van Toorenenburg, K.A.; Donselaar, M.E.; Weltje, G.J. The life cycle of crevasse splays as a key mechanism in the aggradation of alluvial ridges and river avulsion. Earth Surf. Proc. Land. 2018, 43, 2409–2420. [Google Scholar] [CrossRef]
- Gulliford, A.R.; Flint, S.S.; Hodgson, D.M. Crevasse splay processes and deposits in an ancient distributive fluvial system: The lower Beaufort Group, South Africa. Sediment. Geol. 2017, 358, 1–18. [Google Scholar] [CrossRef]
- Millard, C.; Hajek, E.A.; Edmonds, D.A. Evaluating controls on crevasse-splay size: Implications for floodplain-basin filling. J. Sediment. Res. 2017, 87, 722–739. [Google Scholar] [CrossRef]
- Roberts, N. The Holocene: An Environmental History, 3rd ed.; Wiley-Blackweel: Oxford, UK, 2014. [Google Scholar]
- Walstra, J.; Heyvaert, V.M.A.; Verkinderen, P. Remote sensing for the study of fluvial landscapes in Lower Khuzestan, SW Iran. In Proceedings of the RSPSoc Annual Conference 2009, Leicester, UK, 8–11 September 2009. [Google Scholar]
- D’Arcy, M.; Masonc, P.J.; Roda-Boludab, D.C.; Whittakerc, A.C.; Lewisc, J.M.T.; Najorkad, J. Alluvial fan surface ages recorded by Landsat-8 imagery in Owens Valley, California. Remote Sens. Environ. 2018, 216, 401–414. [Google Scholar] [CrossRef]
- Borie, C.; Parcero-Obiῆa, C.; Kwon, Y.; Salazar, D.; Flores, C.; Olguìn, L.; Andrade, A. Beyond site detection: The role of satellite remote sensing in analysing archaeological problems. A case study in lithic resource procurement in the Atacama Desert, Northern Chile. Remote Sens. 2019, 11, 869. [Google Scholar] [CrossRef]
- Mihu-Pintilie, A.; Nicu, I.C. GIS-based landform classification of eneolithic archaeological sites in the plateau-plain transition zone (NE Romania): Habitation practices vs. flood hazard perception. Remote Sens. 2019, 11, 915. [Google Scholar] [CrossRef]
- Guyot, A.; Lennon, M.; Thomas, N.; Gueguen, S.; Petit, T.; Lorho, T.; Cassen, S.; Hubert-Moy, L. Airborne hyperspectral imaging for submerged archaeological mapping in shallow water environments. Remote Sens. 2019, 11, 2237. [Google Scholar] [CrossRef]
- Hill, A.C.; Laugier, E.J.; Casana, J. Archaeological remote sensing using multi-temporal, drone-acquired thermal and Near Infrared (NIR) Imagery: A case study at the Enfield Shaker Village, New Hampshire. Remote Sens. 2020, 12, 690. [Google Scholar] [CrossRef]
- Capolupo, A.; Monterisi, C.; Tarantino, E. Landsat Images Classification Algorithm (LICA) to automatically extract land cover information in Google Earth Engine environment. Remote Sens. 2020, 12, 1201. [Google Scholar] [CrossRef]
- Orengo, H.A.; Petrie, C.A. Large-scale, multi-temporal remote sensing of Palaeo-River Networks: A case study from Northwest India and its implications for the Indus civilisation. Remote Sens. 2017, 9, 735. [Google Scholar] [CrossRef]
- Morozova, G.S. A review of holocene avulsions of the Tigris and Euphrates rivers and possible effects on the evolution of civilizations in Lower Mesopotamia. Geoarchaeology 2005, 20, 401–423. [Google Scholar] [CrossRef]
- Wilkinson, T.J.; Rayne, L.; Jotheri, J. Hydraulic landscapes in Mesopotamia: The role of human niche construction. Water Hist. 2015, 7, 397–418. [Google Scholar] [CrossRef]
- Jotheri, J. Holocene Avulsion History of the Euphrates and Tigris Rivers in the Mesopotamian Floodplain. Ph.D. Thesis, Durham University, Durham, UK, June 2016. [Google Scholar]
- Yacoub, S.Y. Geomorphology of the Mesopotamia plain. Iraqi Bull. Geol. Min. 2011, 4, 7–32. [Google Scholar]
- Al-Ameri, I.D.S.; Briant, R.M. A late Holocene molluscan-based palaeoenvironmental reconstruction from southern Mesopotamia: Implications for the palaeogeographic evolution of the Arabo-Persian Gulf. J. Afr. Earth Sci. 2019, 152, 1–9. [Google Scholar] [CrossRef]
- Jotheri, J.; Allen, M.B.; Wilkinson, T.J. Holocene avulsions of the Euphrates river in the Najaf area of Western Mesopotamia: Impacts on human settlement patterns. Geoarchaeol. Int. J. 2016, 31, 175–193. [Google Scholar] [CrossRef]
- Engel, M.; Brückner, H. Holocene climate variability of Mesopotamia and its impact on the history of civilisation. EarthArXiv 2018. [Google Scholar] [CrossRef]
- Heyvaert, V.M.A.; Walstra, J. The role of long-term human impact on avulsion and fan development. Earth Surf. Proc. Land. 2016, 41, 2137–2152. [Google Scholar] [CrossRef]
- Garzanti, E.; Al-Juboury, A.I.; Zoleikhaei, Y.; Vermeesch, P.; Jotheri, J.; Akkoca, D.B.; Obaid, A.K.; Allen, M.B.; Andó, S.; Limonta, M.; et al. The Euphrates-Tigris-Karun river system: Provenance, recycling and dispersal of quartz-poor foreland-basin sediments in arid climate. Earth Sci. Rev. 2016, 162, 107–128. [Google Scholar] [CrossRef]
- Yacoub, S.Y.; Roffa, S.H.; Tawfiq, J.M. The Geology Al-Amara, Al-Nasiriya, Al-Basrah Area; International Report no. 1386; GEOSURV: Baghdad, Iraq, 1985. [Google Scholar]
- Aqrawi, A.A.M.; Evans, G. Sedimentation in the lake and marshes (Ahwar) of the Tigris and Euphrates delta. Sedimentology 1994, 41, 755–776. [Google Scholar] [CrossRef]
- Yacoub, S.Y. Stratigraphy of the Mesopotamia Plain. Iraqi Bull. Geol. Min. 2011, 4, 47–82. [Google Scholar]
- Lees, G.M.; Falcon, N.L. The geographical history of the Mesopotamian plains. Geogr. J. 1952, 118, 24–39. [Google Scholar] [CrossRef]
- Lambeck, K. Shoreline reconstructions for the Persian Gulf since the last glacial maximum. Earth Planet. Sci. Lett. 1996, 142, 43–57. [Google Scholar] [CrossRef]
- Aqrawi, A.A.M. Stratigraphic signatures of climatic change during the Holocene evolution of the Tigris–Euphrates delta, lower Mesopotamia. Glob. Planet. Chang. 2001, 28, 267–283. [Google Scholar] [CrossRef]
- Kennett, D.J.; Kennett, J.P. Early state formation in Southern Mesopotamia: Sea levels, shorelines, and climate change. J. Isl. Coast. Archaeol. 2006, 1, 67–69. [Google Scholar] [CrossRef]
- Milli, S.; Forti, L. Geology and palaeoenvironment of Nasiriyah area/southern Mesopotamia. In Abu Tbeirah Excavations I. Area 1, 1st ed.; Romano, L., D’Agostino, F., Eds.; Sapienza Università Editrice: Roma, Italy, 2019; pp. 19–33. ISBN 978-88-9377-108-5. [Google Scholar]
- Sissakian, V.K.; Adamo, N.; Al-Ansari, N.; Abdullah, M.; Laue, J. Sea level changes in the Mesopotamian Plain and limits of the Arabian Gulf: A critical review. J. Earth Sci. Geotech. Eng. 2020, 10, 87–110. [Google Scholar]
- Bogemans, F.; Janssens, R.; Baeteman, C. Depositional evolution of the Lower Khuzestan plain (SW Iran) since the end of the Late Pleistocene. Quat. Sci. Rev. 2017, 171, 154–165. [Google Scholar] [CrossRef]
- Bogemans, F.; Boudin, M.; Janssens, R.; Baeteman, C. New data on the sedimentary processes and timing of the initial inundation of Lower Khuzestan (SW Iran) by the Persian Gulf. Holocene 2017, 27, 613–620. [Google Scholar] [CrossRef]
- Pournelle, J.R. Marshland of Cities: Deltaic Landscapes and the Evolution of Early Mesopotamian Civilization. Ph.D. Thesis, Univeristy of California, San Diego, CA, USA, 2003; p. 314. [Google Scholar]
- Pournelle, J.R. Physical geography. In The Sumerian World; Crawford, H., Ed.; Routledge Taylor & Francis Group: London, UK; New York, NY, USA, 2013; pp. 13–32. [Google Scholar]
- Jotheri, J.; Altaweel, M.; Tuji, A.; Anma, R.; Pennington, B.; Rost, S.; Watanabe, C. Holocene fluvial and anthropogenic processes in the region of Uruk in southern Mesopotamia. Quat. Int. 2018, 483, 57–69. [Google Scholar] [CrossRef]
- Heyvaert, V.M.A.; Walstra, J.; Verkinderen, P.; Weerts, H.J.T.; Ooghe, B. The role of human interference on the channel shifting of the Karkheh River in the Lower Khuzestan plain (Mesopotamia, SW Iran). Quat. Int. 2012, 251, 52–63. [Google Scholar] [CrossRef]
- Macklin, M.G.; Lewin, J. The rivers of civilization. Quat. Sci. Rev. 2015, 114, 228–244. [Google Scholar] [CrossRef]
- Jotheri, J. Recognition criteria for canals and rivers in the Mesopotamian floodplain. In Water Societies and Technologies from the Past and Present, 1st ed.; Zhuang, Y., Altaweel, M., Eds.; UCL Press: London, UK, 2018; pp. 111–126. ISBN 978-1-911576-69-3. [Google Scholar]
- Waterman, R. ArcGIS Blog. Available online: https://www.esri.com/arcgis-blog/products/arcgis-living-atlas/imagery/whats-new-in-world-imagery-basemap-july-2017-through-june-2018/ (accessed on 4 April 2020).
- World Imagery. Available online: https://www.arcgis.com/home/item.html?id=10df2279f9684e4a9f6a7f08febac2a9 (accessed on 4 April 2020).
- Mudd, S.M. Topographic data from satellites. In Remote Sensing of Geomorphology; Developments in Earth Surface Processes; Tarolli, P., Mudd, S.M., Eds.; Elsevier: Amsterdam, The Netherlands, 2020; Volume 23, pp. 91–128. [Google Scholar]
- Santillan, J.R.; Makinano-Santillan, M.; Makinano, R.M. Vertical accuracy assessment of ALOS World 3D-30M Digital Elevation Model over northeastern Mindanao, Philippines. In Proceedings of the 2016 IEEE International Geoscience and Remote Sensing Symposium (IGARSS), Beijing, China, 10–15 July 2016; pp. 5374–5377. [Google Scholar]
- Tachikawa, T.; Kaku, M.; Iwasaki, A.; Gesch, D.; Oimoen, M.; Zhang, Z.; Danielson, J.; Krieger, T.; Curtis, B.; Haase, J.; et al. ASTER Global Digital Elevation Model Version 2—Summary of Validation Results. Available online: https://ssl.jspacesystems.or.jp/ersdac/GDEM/ver2Validation/Summary_GDEM2_validation_report_final.pdf (accessed on 19 April 2020).
- Kahle, A.B.; Shumate, M.S.; Nash, D.B. Active airborne infrared laser system for identification of surface rock and minerals. Geophys. Res. Lett. 1984, 11, 1149–1152. [Google Scholar] [CrossRef]
- Gillespie, A.R. Spectral mixture analysis of multispectral thermal infrared images. Remote Sens. Environ. 1992, 42, 137–145. [Google Scholar] [CrossRef]
- Bull, W.B. Geomorphic Responses to Climatic Change; Oxford University Press: New York, NY, USA, 1991; ISBN 978-1932846218. [Google Scholar]
- Roy, D.P.; Wulder, M.A.; Loveland, T.R.; Woodcock, E.; Allen, R.G.; Anderson, M.C.; Helder, D.; Irons, J.R.; Johnson, D.M.; Kennedy, R.; et al. Landsat-8: Science and product vision for terrestrial global change research. Remote Sens. Environ. 2014, 145, 154–172. [Google Scholar] [CrossRef]
- Sekandari, M.; Masoumi, I.; Pour, A.B.; Muslim, A.M.; Rahmani, O.; Hashim, M.; Zoheir, B.; Pradhan, B.; Misra, A.; Aminpour, S.M. Application of Landsat-8, Sentinel-2, ASTER and WorldView-3 spectral imagery for exploration of carbonate-hosted Pb-Zn deposits in the CENTRAL IRANIAN TERRANE (CIT). Remote Sens. 2020, 12, 1239. [Google Scholar] [CrossRef]
- USGS Landsat Missions. Available online: https://www.usgs.gov/land-resources/nli/landsat/landsat-8?qt-science_support_page_related_con=0#qt-science_support_page_related_con (accessed on 20 May 2020).
- Dawson, H.F. Water flow and the vegetation of running waters. In Vegetation of Inland Waters, 1st ed.; Symoens, J.J., Ed.; Kluwer Academic Publishers: Dordrecht, The Netherlands, 1988; Volume 15-1, pp. 283–309. ISBN 978-94-010-7887-0. [Google Scholar]
- Hiatt, M.; Passalacqua, P. What controls the transition from confined to unconfined flow? Analysis of hydraulics in a coastal river delta. J. Hydraul. Eng. 2017, 143. [Google Scholar] [CrossRef]
- L3 Harris Geospatial. Classification. Available online: https://www.harrisgeospatial.com/docs/Classification.html#ClassSupervised (accessed on 19 April 2020).
- Liu, J.G.; Mason, P.J. Image classification. In Essential Image Processing and GIS for Remote Sensing, 1st ed.; Wiley-Blackwell: Oxford, UK, 2009; pp. 91–103. ISBN 978-0-470-51032-2. [Google Scholar]
- Pontius, R.G., Jr.; Millones, M. Death to Kappa: Birth of quantity disagreement and allocation disagreement for accuracy assessment. Int. J. Remote Sens. 2011, 32, 4407–4429. [Google Scholar] [CrossRef]
- L3 Harris Geospatial. Calculate Confusion Matrices. Available online: https://www.harrisgeospatial.com/docs/CalculatingConfusionMatrices.html (accessed on 2 March 2020).
- Humboldt State University. Accuracy Metrics. Available online: http://gis.humboldt.edu/OLM/Courses/GSP_216_Online/lesson6-2/metrics.html (accessed on 3 March 2020).
- Banko, G. A Review of Assessing the Accuracy of Classifications of Remotely Sensed Data and of Methods Including Remote Sensing Data in Forest Inventory; Interim Report IR-98-081; University of Agricultural Sciences: Wien, Austria, 1998. [Google Scholar]
- Jotheri, J.; de Gruchy, M.W.; Almaliki, R.; Feadha, M. Remote sensing the archaeological traces of boat movement in the marshes of Southern Mesopotamia. Remote Sens. 2019, 11, 2474. [Google Scholar] [CrossRef]















| Driest Period | |||||
|---|---|---|---|---|---|
| Active Channel | Active Levee | Active Deposit | Abandoned Channel | Abandoned Deposit | |
| Mahalanobis (Maximum distance error) | 3000 | 2000 | 2000 | 2000 | 2000 |
| Maximum Likelihood (Probability threshold) | 0.30 | 0.70 | 0.30 | 0.30 | 0.30 |
| Minimum distance (Standard deviation from mean) | 4.00 | 1.50 | 3.00 | 1.50 | 3.00 |
| SAM (Maximum spectral angle) | 0.10 | 0.04 | 0.05 | 0.008 | 0.008 |
| Wettest period | |||||
| Mahalanobis (Maximum distance error) | 3000 | 1500 | 1500 | 1000 | 1000 |
| Maximum Likelihood (Probability threshold) | 0.20 | 0.60 | 0.40 | 0.60 | 0.30 |
| Minimum Distance (Standard deviation from mean) | 3.00 | 2.00 | 2.00 | 1.50 | 1.30 |
| SAM (Maximum spectral angle) | 0.10 | 0.03 | 0.03 | 0.01 | 0.015 |
| Driest Period | Wettest Period | ||||
| OA (%) | K | OA (%) | K | ||
| Mahalanobis | 66.0026 | 0.5148 | 67.9402 | 0.5755 | |
| Maximum Likelihood | 69.1801 | 0.5636 | 67.7534 | 0.5925 | |
| Minimum Distance | 62.0184 | 0.4607 | 58.4480 | 0.4841 | |
| SAM | 61.2776 | 0.3676 | 63.9497 | 0.4655 | |
| Driest Period | Wettest Period | ||||
| PA (%) | UA (%) | PA (%) | UA (%) | ||
| Mahalanobis | Active channel | 69.18 | 90.88 | 76.73 | 70.07 |
| Active levee | 54.24 | 17.49 | 24.42 | 35.15 | |
| Active deposit | 67.55 | 98.05 | 68.29 | 94.92 | |
| Abandoned channel | 54.22 | 73.83 | 46.17 | 68.20 | |
| Abandoned deposit | 72.26 | 57.31 | 84.92 | 73.18 | |
| Maximum Likelihood | Active channel | 79.92 | 99.74 | 79.65 | 99.09 |
| Active levee | 23.73 | 46.67 | 37.68 | 60.47 | |
| Active deposit | 71.17 | 98.97 | 66.42 | 96.71 | |
| Abandoned channel | 63.91 | 96.24 | 52.63 | 88.71 | |
| Abandoned deposit | 73.29 | 78.49 | 74.40 | 98.85 | |
| Minimum Distance | Active channel | 70.56 | 83.15 | 88.56 | 79.29 |
| Active levee | 34.75 | 14.49 | 47.79 | 29.75 | |
| Active deposit | 66.46 | 96.46 | 45.80 | 91.24 | |
| Abandoned channel | 28.91 | 87.29 | 66.51 | 89.39 | |
| Abandoned deposit | 69.36 | 76.48 | 46.42 | 95.96 | |
| SAM | Active channel | 71.82 | 58.48 | 75.00 | 77.37 |
| Active levee | 27.97 | 19.88 | 11.37 | 41.22 | |
| Active deposit | 76.00 | 79.76 | 84.82 | 64.04 | |
| Abandoned channel | 7.50 | 24.24 | 54.55 | 79.17 | |
| Abandoned deposit | 25.05 | 26.02 | 19.09 | 97.78 | |
© 2020 by the authors. Licensee MDPI, Basel, Switzerland. This article is an open access article distributed under the terms and conditions of the Creative Commons Attribution (CC BY) license (http://creativecommons.org/licenses/by/4.0/).
Share and Cite
Iacobucci, G.; Troiani, F.; Milli, S.; Mazzanti, P.; Piacentini, D.; Zocchi, M.; Nadali, D. Combining Satellite Multispectral Imagery and Topographic Data for the Detection and Mapping of Fluvial Avulsion Processes in Lowland Areas. Remote Sens. 2020, 12, 2243. https://doi.org/10.3390/rs12142243
Iacobucci G, Troiani F, Milli S, Mazzanti P, Piacentini D, Zocchi M, Nadali D. Combining Satellite Multispectral Imagery and Topographic Data for the Detection and Mapping of Fluvial Avulsion Processes in Lowland Areas. Remote Sensing. 2020; 12(14):2243. https://doi.org/10.3390/rs12142243
Chicago/Turabian StyleIacobucci, Giulia, Francesco Troiani, Salvatore Milli, Paolo Mazzanti, Daniela Piacentini, Marta Zocchi, and Davide Nadali. 2020. "Combining Satellite Multispectral Imagery and Topographic Data for the Detection and Mapping of Fluvial Avulsion Processes in Lowland Areas" Remote Sensing 12, no. 14: 2243. https://doi.org/10.3390/rs12142243
APA StyleIacobucci, G., Troiani, F., Milli, S., Mazzanti, P., Piacentini, D., Zocchi, M., & Nadali, D. (2020). Combining Satellite Multispectral Imagery and Topographic Data for the Detection and Mapping of Fluvial Avulsion Processes in Lowland Areas. Remote Sensing, 12(14), 2243. https://doi.org/10.3390/rs12142243

