Field-Scale Crop Seeding Date Estimation from MODIS Data and Growing Degree Days in Manitoba, Canada
Abstract
1. Introduction
2. Materials and Methods
2.1. Study Area
2.2. Air Temperature Data
2.3. Observed Seeding Date
2.4. MODIS Data
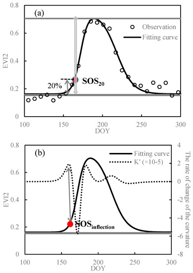
2.5. Extraction of SOS from EVI2
2.6. Model for Estimating Seeding Date from SOS
2.7. Performance Evaluation
3. Results and Analysis
3.1. Statistical Characteristics of Observed Seeding Date and Estimated SOS
3.2. Relationships between Observed Seeding Date and SOS
3.3. Accumulated Growing Degree Days
3.4. Accuracy of Estimated Seeding Date
4. Discussion
4.1. Benefit of the Proposed Method
4.2. Limitations of the Study
5. Conclusions
Author Contributions
Funding
Acknowledgments
Conflicts of Interest
Appendix A

References
- Araya, A.; Stroosnijder, L.; Habtu, S.; Keesstra, S.D.; Berhe, M.; Hadgu, K.M. Risk assessment by sowing date for barley (hordeum vulgare) in northern ethiopia. Argic. For. Meterol. 2012, 154–155, 30–37. [Google Scholar] [CrossRef]
- May, W.E.; Mohr, R.M.; Lafond, G.P.; Johnston, A.M.; Stevenson, F.C. Early seeding dates improve oat yield and quality in the eastern prairies. Can. J. Plan. Sci. 2004, 84, 431–442. [Google Scholar] [CrossRef]
- Sacks, W.J.; Deryng, D.; Foley, J.A.; Ramankutty, N. Crop planting dates: An analysis of global patterns. Globa. Ecol. Biogeo. 2010, 19, 607–620. [Google Scholar] [CrossRef]
- Soler, C.M.T.; Sentelhas, P.C.; Hoogenboom, G. Application of the csm-ceres-maize model for planting date evaluation and yield forecasting for maize grown off-season in a subtropical environment. Euro. J. Agron. 2007, 27, 165–177. [Google Scholar] [CrossRef]
- Chang, K.-H.; Warland, J.S.; Bartlett, P.A.; Arain, A.M.; Yuan, F. A simple crop phenology algorithm in the land surface model cn-class. Agron. J. 2014, 106, 297–308. [Google Scholar] [CrossRef]
- Dobor, L.; Barcza, Z.; Hlásny, T.; Árendás, T.; Spitkó, T.; Fodor, N. Crop planting date matters: Estimation methods and effect on future yields. Argic. For. Meterol. 2016, 223, 103–115. [Google Scholar] [CrossRef]
- Urban, D.; Guan, K.; Jain, M. Estimating sowing dates from satellite data over the U.S. Midwest: A comparison of multiple sensors and metrics. Remote Sens. Environ. 2018, 211, 400–412. [Google Scholar] [CrossRef]
- Manfron, G.; Delmotte, S.; Busetto, L.; Hossard, L.; Ranghetti, L.; Brivio, P.A.; Boschetti, M. Estimating inter-annual variability in winter wheat sowing dates from satellite time series in camargue, france. Int. J. App. Earth Obs. Geoinf. 2017, 57, 190–201. [Google Scholar] [CrossRef]
- Canisius, F.; Shang, J.; Liu, J.; Huang, X.; Ma, B.; Jiao, X.; Geng, X.; Kovacs, J.M.; Walters, D. Tracking crop phenological development using multi-temporal polarimetric radarsat-2 data. Remote Sens. Environ. 2018, 210, 508–518. [Google Scholar] [CrossRef]
- Song, C.; Chen, J.M.; Hwang, T.; Gonsamo, A.; Croft, H.; Zhang, Q.; Dannenberg, M.; Zhang, Y.; Hakkenberg, C.; Li, J. Ecological characterization of vegetation using multisensor remote sensing in the solar reflective spectrum. Land Res. Monitor. Model. Map. Remote Sens. 2015, 2, 533–575. [Google Scholar]
- Zhang, X.; Friedl, M.A.; Schaaf, C.B.; Strahler, A.H.; Hodges, J.C.; Gao, F.; Reed, B.C.; Huete, A. Monitoring vegetation phenology using modis. Remote Sens. Environ. 2003, 84, 471–475. [Google Scholar] [CrossRef]
- Marinho, E.; Vancutsem, C.; Fasbender, D.; Kayitakire, F.; Pini, G.; Pekel, J.-F. From remotely sensed vegetation onset to sowing dates: Aggregating pixel-level detections into village-level sowing probabilities. Remote Sens. 2014, 6, 10947–10965. [Google Scholar] [CrossRef]
- Lobell, D.B.; Ortiz-Monasterio, J.I.; Sibley, A.M.; Sohu, V.S. Satellite detection of earlier wheat sowing in india and implications for yield trends. Agric. Sys. 2013, 115, 137–143. [Google Scholar] [CrossRef]
- Liu, L.; Zhang, X.; Yu, Y.; Guo, W. Real-time and short-term predictions of spring phenology in north america from viirs data. Remote Sens. Environ. 2017, 194, 89–99. [Google Scholar] [CrossRef]
- Shang, R.; Liu, R.; Xu, M.; Liu, Y.; Zuo, L.; Ge, Q. The relationship between threshold-based and inflexion-based approaches for extraction of land surface phenology. Remote Sens. Environ. 2017, 199, 167–170. [Google Scholar] [CrossRef]
- Ren, J.; Campbell, J.B.; Shao, Y. Estimation of sos and eos for midwestern us corn and soybean crops. Remote Sens. 2017, 9. [Google Scholar] [CrossRef]
- Sakamoto, T.; Wardlow, B.D.; Gitelson, A.A.; Verma, S.B.; Suyker, A.E.; Arkebauer, T.J. A two-step filtering approach for detecting maize and soybean phenology with time-series modis data. Remote Sens. Environ. 2010, 114, 2146–2159. [Google Scholar] [CrossRef]
- Kotsuki, S.; Tanaka, K. Sacra – a method for the estimation of global high-resolution crop calendars from a satellite-sensed ndvi. Hydrol. Earth Syst. Sci. 2015, 19, 4441–4461. [Google Scholar] [CrossRef]
- Zeng, L.; Wardlow, B.D.; Wang, R.; Shan, J.; Tadesse, T.; Hayes, M.J.; Li, D. A hybrid approach for detecting corn and soybean phenology with time-series modis data. Remote Sens. Environ. 2016, 181, 237–250. [Google Scholar] [CrossRef]
- Duchemin, B.; Fieuzal, R.; Rivera, M.A.; Ezzahar, J.; Jarlan, L.; Rodriguez, J.C.; Hagolle, O.; Watts, C. Impact of sowing date on yield and water use efficiency of wheat analyzed through spatial modeling and formosat-2 images. Remote Sens. 2015, 7, 5951–5979. [Google Scholar] [CrossRef]
- Vyas, S.; Nigam, R.; Patel, N.; Panigrahy, S. Extracting regional pattern of wheat sowing dates using multispectral and high temporal observations from indian geostationary satellite. J. India. Soc. Remote Sens. 2013, 41, 855–864. [Google Scholar] [CrossRef]
- Miller, P.; Lanier, W.; Brandt, S. Using growing degree days to predict plant stages; Montana State University-Bozeman: Bozeman, MO, USA, 2001. [Google Scholar]
- Wang, E.; Engel, T. Simulation of phenological development of wheat crops. Agric. Sys. 1998, 58, 1–24. [Google Scholar] [CrossRef]
- Sacks, W.J.; Kucharik, C.J. Crop management and phenology trends in the us corn belt: Impacts on yields, evapotranspiration and energy balance. Argic. For. Meterol. 2011, 151, 882–894. [Google Scholar] [CrossRef]
- Anandhi, A. Growing degree days – ecosystem indicator for changing diurnal temperatures and their impact on corn growth stages in kansas. Ecolog. Indica. 2016, 61, 149–158. [Google Scholar] [CrossRef]
- Ortiz-Monasterio, J.I.; Lobell, D.B. Remote sensing assessment of regional yield losses due to sub-optimal planting dates and fallow period weed management. Field Crop. Res. 2007, 101, 80–87. [Google Scholar] [CrossRef]
- Akyuz, F.A.; Kandel, H.; Morlock, D. Developing a growing degree day model for north dakota and northern minnesota soybean. Argic. For. Meterol. 2017, 239, 134–140. [Google Scholar] [CrossRef]
- Forcella, F.; Benech Arnold, R.L.; Sanchez, R.; Ghersa, C.M. Modeling seedling emergence. Field Crop. Res. 2000, 67, 123–139. [Google Scholar] [CrossRef]
- McMaster, G.S.; Wilhelm, W. Growing degree-days: One equation, two interpretations. Argic. For. Meterol. 1997, 87, 291–300. [Google Scholar] [CrossRef]
- Qian, B.; De Jong, R.; Warren, R.; Chipanshi, A.; Hill, H. Statistical spring wheat yield forecasting for the canadian prairie provinces. Argic. For. Meterol. 2009, 149, 1022–1031. [Google Scholar] [CrossRef]
- Saiyed, I.M.; Bullock, P.R.; Sapirstein, H.D.; Finlay, G.J.; Jarvis, C.K. Thermal time models for estimating wheat phenological development and weather-based relationships to wheat quality. Can. J. Plant Sci. 2009, 89, 429–439. [Google Scholar] [CrossRef]
- Mkhabela, M.; Ash, G.; Grenier, M.; Bullock, P. Testing the suitability of thermal time models for forecasting spring wheat phenological development in western canada. Can. J. Plant Sci. 2016, 96, 765–775. [Google Scholar] [CrossRef]
- Waha, K.; Van Bussel, L.; Müller, C.; Bondeau, A. Climate-driven simulation of global crop sowing dates. Glob. Ecol. Biogeogr. 2012, 21, 247–259. [Google Scholar] [CrossRef]
- Srivastava, A.K.; Mboh, C.M.; Gaiser, T.; Webber, H.; Ewert, F. Effect of sowing date distributions on simulation of maize yields at regional scale – a case study in central ghana, west africa. Agric. Syst. 2016, 147, 10–23. [Google Scholar] [CrossRef]
- Skakun, S.; Franch, B.; Vermote, E.; Roger, J.-C.; Becker-Reshef, I.; Justice, C.; Kussul, N. Early season large-area winter crop mapping using modis ndvi data, growing degree days information and a gaussian mixture model. Remote Sens. Environ. 2017, 195, 244–258. [Google Scholar] [CrossRef]
- Zhong, L.; Gong, P.; Biging, G.S. Efficient corn and soybean mapping with temporal extendability: A multi-year experiment using landsat imagery. Remote Sens. Environ. 2014, 140, 1–13. [Google Scholar] [CrossRef]
- Franch, B.; Vermote, E.F.; Becker-Reshef, I.; Claverie, M.; Huang, J.; Zhang, J.; Justice, C.; Sobrino, J.A. Improving the timeliness of winter wheat production forecast in the united states of america, ukraine and china using modis data and ncar growing degree day information. Remote Sens. Environ. 2015, 161, 131–148. [Google Scholar] [CrossRef]
- Soil Classification Working Group. The canadian system of soil classification. Agric. Agri-Food Canada Publ. 1998, 187. Available online: https://www.nrcresearchpress.com/doi/abs/10.1139/9780660174044#.XTqkLXERXIU (accessed on 15 July 2019).
- Armstrong, R.N.; Pomeroy, J.W.; Martz, L.W. Variability in evaporation across the canadian prairie region during drought and non-drought periods. J. Hydrol. 2015, 521, 182–195. [Google Scholar] [CrossRef]
- Thornton, P.E.; Thornton, M.M.; Mayer, B.W.; Wei, Y.; Devarakonda, R.; Vose, R.S.; Cook., R.B. Daymet: Daily Surface Weather Data on a 1-km Grid for North America, Version 3; ORNL DAAC: Oak Ridge, TN, USA, 2017.
- Shang, J.; Liu, J.; Ma, B.; Zhao, T.; Jiao, X.; Geng, X.; Huffman, T.; Kovacs, J.M.; Walters, D. Mapping spatial variability of crop growth conditions using rapideye data in Northern Ontario, Canada. Remote Sens. Environ. 2015, 168, 113–125. [Google Scholar] [CrossRef]
- Dong, T.; Liu, J.; Shang, J.; Qian, B.; Ma, B.; Kovacs, J.M.; Walters, D.; Jiao, X.; Geng, X.; Shi, Y. Assessment of red-edge vegetation indices for crop leaf area index estimation. Remote Sens. Environ. 2019, 222, 133–143. [Google Scholar] [CrossRef]
- Jiang, Z.; Huete, A.R.; Didan, K.; Miura, T. Development of a two-band enhanced vegetation index without a blue band. Remote Sens. Environ. 2008, 112, 3833–3845. [Google Scholar] [CrossRef]
- Zhang, X.; Wang, J.; Gao, F.; Liu, Y.; Schaaf, C.; Friedl, M.; Yu, Y.; Jayavelu, S.; Gray, J.; Liu, L. Exploration of scaling effects on coarse resolution land surface phenology. Remote Sens. Environ. 2017, 190, 318–330. [Google Scholar] [CrossRef]
- Dong, T.; Liu, J.; Shang, J.; Qian, B.; Huffman, T.; Zhang, Y.; Champagne, C.; Daneshfar, B. Assessing the impact of climate variability on cropland productivity in the canadian prairies using time series modis fapar. Remote Sens. 2016, 8. [Google Scholar] [CrossRef]
- Markwardt, C.B. Non-linear least squares fitting in idl with mpfit. arXiv 2009, arXiv:0902.2850. [Google Scholar]
- de Beurs, K.M.; Henebry, G.M. Spatio-temporal statistical methods for modelling land surface phenology. In Phenological Research; Springer: Dordrecht, the Netherlands, 2010; pp. 177–208. [Google Scholar]
- You, X.; Meng, J.; Zhang, M.; Dong, T. Remote sensing based detection of crop phenology for agricultural zones in china using a new threshold method. Remote Sens. 2013, 5. [Google Scholar] [CrossRef]
- White, M.A.; Thornton, P.E.; Running, S.W. A continental phenology model for monitoring vegetation responses to interannual climatic variability. Glob. Biogeochem. Cycles 1997, 11, 217–234. [Google Scholar] [CrossRef]
- Cao, R.; Chen, J.; Shen, M.; Tang, Y. An improved logistic method for detecting spring vegetation phenology in grasslands from modis evi time-series data. Argic. For. Meterol. 2015, 200, 9–20. [Google Scholar] [CrossRef]
- Yang, Y.; Wilson, L.T.; Wang, J. A spatially explicit crop planting initiation and progression model for the conterminous united states. European J. Agron. 2017, 90, 184–197. [Google Scholar] [CrossRef]
- Duveiller, G.; Lopez-Lozano, R.; Cescatti, A. Exploiting the multi-angularity of the modis temporal signal to identify spatially homogeneous vegetation cover: A demonstration for agricultural monitoring applications. Remote Sens. Environ. 2015, 166, 61–77. [Google Scholar] [CrossRef]
- Dwyer, L.M.; Hayhoe, H.N.; Culley, J.L.B. Prediction of soil temperature from air temperature for estimating corn emergence. Can. J. Plant Sci. 1990, 70, 619–628. [Google Scholar] [CrossRef]
- Chow, G.C. Tests of equality between sets of coefficients in two linear regressions. Econo. J. Econ. Soc. 1960, 591–605. [Google Scholar] [CrossRef]
- Chen, J.M.; Deng, F.; Chen, M. Locally adjusted cubic-spline capping for reconstructing seasonal trajectories of a satellite-derived surface parameter. IEEE Trans. Geosci. Remote Sens. 2006, 44, 2230–2238. [Google Scholar] [CrossRef]
- Jönsson, P.; Eklundh, L. Timesat. A program for analyzing time-series of satellite sensor data. Com. Geosci. 2004, 30, 833–845. [Google Scholar] [CrossRef]
- Beck, P.S.A.; Atzberger, C.; Høgda, K.A.; Johansen, B.; Skidmore, A.K. Improved monitoring of vegetation dynamics at very high latitudes: A new method using modis ndvi. Remote Sens. Environ. 2006, 100, 321–334. [Google Scholar] [CrossRef]
- Liu, R. Compositing the minimum ndvi for modis data. IEEE Trans. Geosci. Remote Sens. 2017, 55, 1396–1406. [Google Scholar] [CrossRef]
- Studer, S.; Stöckli, R.; Appenzeller, C.; Vidale, P.L. A comparative study of satellite and ground-based phenology. Int. J. Bimetero. 2007, 51, 405–414. [Google Scholar] [CrossRef] [PubMed]
- Wang, C.; Chen, J.; Wu, J.; Tang, Y.; Shi, P.; Black, T.A.; Zhu, K. A snow-free vegetation index for improved monitoring of vegetation spring green-up date in deciduous ecosystems. Remote Sens. Environ. 2017, 196, 1–12. [Google Scholar] [CrossRef]
- Liao, C.; Wang, J.; Dong, T.; Shang, J.; Liu, J.; Song, Y. Using spatio-temporal fusion of landsat-8 and modis data to derive phenology, biomass and yield estimates for corn and soybean. Sci. Total. Environ. 2019, 650, 1707–1721. [Google Scholar] [CrossRef]
- Dong, T.; Liu, J.; Qian, B.; Zhao, T.; Jing, Q.; Geng, X.; Wang, J.; Huffman, T.; Shang, J. Estimating winter wheat biomass by assimilating leaf area index derived from fusion of landsat-8 and modis data. Int. J. App. Earth Obs. Geoinfor. 2016, 49, 63–74. [Google Scholar] [CrossRef]
- Veloso, A.; Mermoz, S.; Bouvet, A.; Le Toan, T.; Planells, M.; Dejoux, J.-F.; Ceschia, E. Understanding the temporal behavior of crops using sentinel-1 and sentinel-2-like data for agricultural applications. Remote Sens. Environ. 2017, 199, 415–426. [Google Scholar] [CrossRef]
- Chakraborty, A.; Sesha Sai, M.V.R.; Murthy, C.S.; Roy, P.S.; Behera, G. Assessment of area favourable for crop sowing using amsr-e derived soil moisture index (amsr-e smi). Int. J. App. Earth Obs. Geoinfor. 2012, 18, 537–547. [Google Scholar] [CrossRef]











| Year | Crop Types | Sample Number | Seeding Date (DOY) | SOS20 (DOY) | SOSinflection (DOY) | |||
|---|---|---|---|---|---|---|---|---|
| Range | µ ± σ | Range | µ ± σ | Range | µ ± σ | |||
| 2006 | Spring wheat | 3918 | 110–166 | 132 ± 8.1 | 130–175 | 151 ± 5.8 | 117–171 | 145 ± 5.9 |
| Canola | 2205 | 112–164 | 137 ± 7.3 | 137–178 | 154 ± 5.1 | 125–173 | 148 ± 5.3 | |
| Oats | 700 | 110–168 | 132 ± 9.7 | 124–169 | 149 ± 6.6 | 119–163 | 143 ± 6.7 | |
| 2009 | Spring wheat | 3130 | 117–172 | 139 ± 10.1 | 146–194 | 162 ± 5.8 | 135–189 | 156 ± 5.9 |
| Canola | 3696 | 119–172 | 147 ± 8.5 | 139–196 | 167 ± 5.7 | 125–185 | 160 ± 6.1 | |
| Oats | 288 | 125–171 | 147 ± 11.7 | 153–196 | 168 ± 8.0 | 141–191 | 160 ± 8.4 | |
| Linear Regression Model | Crops | Regression | R2 | RMSD (days) | Bias (days) | |
|---|---|---|---|---|---|---|
| 2006 | SOSinflection | Spring Wheat | y = 0.48x + 81.82 | 0.44 | 14.9 | 13.6 |
| Canola | y = 0.49x + 80.87 | 0.46 | 12.0 | 9.9 | ||
| Oats | y = 0.49x + 79.15 | 0.50 | 13.2 | 11.3 | ||
| All crops | y = 0.49x + 80.15 | 0.48 | 13.9 | 12.2 | ||
| SOS20 | Spring wheat | y = 0.51x + 84.46 | 0.51 | 20.2 | 19.4 | |
| Canola | y = 0.50x + 85.48 | 0.50 | 17.1 | 15.4 | ||
| Oats | y = 0.54x + 78.84 | 0.61 | 18.4 | 17.4 | ||
| All crops | y = 0.51x + 83.83 | 0.55 | 19.1 | 17.9 | ||
| 2009 | SOSinflection | Spring wheat | y = 0.40x + 100.18 | 0.47 | 17.9 | 16.3 |
| Canola | y = 0.34x + 109.50 | 0.19 | 15.0 | 12.6 | ||
| Oats | y = 0.56x + 78.65 | 0.60 | 15.1 | 13.1 | ||
| All crops | y = 0.41x + 99.49 | 0.38 | 16.4 | 14.3 | ||
| SOS20 | Spring wheat | y = 0.44x + 101.76 | 0.58 | 24.0 | 23.0 | |
| Canola | y = 0.39x + 110.37 | 0.27 | 21.0 | 19.6 | ||
| Oats | y = 0.58x + 82.57 | 0.73 | 21.7 | 20.7 | ||
| All crops | y = 0.45x + 100.94 | 0.48 | 22.4 | 21.1 | ||
| Year. | Crops | AGDDSOS, 20 (°C-days) | AGDDSOS, inflection (°C-days) | ||
|---|---|---|---|---|---|
| µ ± σ | 95% Confidence Intervals | µ ± σ | 95% Confidence Intervals | ||
| 2006 | Spring wheat | 158.1 ± 42.7 | 74.4–241.8 | 106.0 ± 37.3 | 32.8–179.1 |
| Canola | 156.1 ± 43.0 | 71.8–240.4 | 100.1 ± 37.1 | 27.5–172.8 | |
| Oats | 147.0 ± 47.6 | 53.7–240.3 | 95.0 ± 40.7 | 15.3–174.6 | |
| All crops | 156.3 ± 43.4 | 71.2–241.5 | 103.0 ± 37.8 | 28.9–177.0 | |
| 2009 | Spring wheat | 130.2 ± 41.6 | 48.7–211.7 | 91.3 ± 33.9 | 24.8–157.9 |
| Canola | 142.3 ± 55.9 | 32.7–252.0 | 89.5 ± 40.9 | 9.3–170.0 | |
| Oats | 159.7 ± 55.3 | 51.2–268.1 | 93.4 ± 43.2 | 8.7–178.2 | |
| All crops | 137.6 ± 50.6 | 38.4–236.9 | 90.5 ± 38.1 | 15.9–165.1 | |
| Model | Crops | Overall | ||||
|---|---|---|---|---|---|---|
| R2 | RMSD (days) | Bias | MAE (days) | |||
| 2006 | SOSinflection | Spring wheat | 0.41 | 7.2 | 1.2 | 5.6 |
| Canola | 0.42 | 6.2 | 0.0 | 4.5 | ||
| Oats | 0.46 | 7.7 | -1.5 | 5.6 | ||
| All crops | 0.46 | 6.9 | 0.6 | 5.3 | ||
| SOS20 | Spring wheat | 0.50 | 7.4 | 1.3 | 5.9 | |
| Canola | 0.43 | 6.9 | 0.9 | 5.2 | ||
| Oats | 0.59 | 7.5 | -0.8 | 5.8 | ||
| All crops | 0.52 | 7.3 | 1.0 | 5.7 | ||
| 2009 | SOSinflection | Spring wheat | 0.39 | 8.2 | -0.2 | 6.5 |
| Canola | 0.19 | 9.0 | -1.9 | 6.7 | ||
| Oats | 0.60 | 7.9 | -1.1 | 5.7 | ||
| All crops | 0.36 | 8.7 | -0.8 | 6.6 | ||
| SOS20 | Spring wheat | 0.54 | 7.4 | -0.1 | 5.8 | |
| Canola | 0.34 | 9.0 | -0.8 | 7.0 | ||
| Oats | 0.71 | 8.2 | 2.1 | 6.5 | ||
| All crops | 0.50 | 8.3 | -0.4 | 6.5 | ||
© 2019 by the Her Majesty the Queen in Right of Canada as represented by the Minister of Agriculture and Agri-Food. Licensee MDPI, Basel, Switzerland. This article is an open access article distributed under the terms and conditions of the Creative Commons Attribution (CC BY) license (http://creativecommons.org/licenses/by/4.0/).
Share and Cite
Dong, T.; Shang, J.; Qian, B.; Liu, J.; Chen, J.M.; Jing, Q.; McConkey, B.; Huffman, T.; Daneshfar, B.; Champagne, C.; et al. Field-Scale Crop Seeding Date Estimation from MODIS Data and Growing Degree Days in Manitoba, Canada. Remote Sens. 2019, 11, 1760. https://doi.org/10.3390/rs11151760
Dong T, Shang J, Qian B, Liu J, Chen JM, Jing Q, McConkey B, Huffman T, Daneshfar B, Champagne C, et al. Field-Scale Crop Seeding Date Estimation from MODIS Data and Growing Degree Days in Manitoba, Canada. Remote Sensing. 2019; 11(15):1760. https://doi.org/10.3390/rs11151760
Chicago/Turabian StyleDong, Taifeng, Jiali Shang, Budong Qian, Jiangui Liu, Jing M. Chen, Qi Jing, Brian McConkey, Ted Huffman, Bahram Daneshfar, Catherine Champagne, and et al. 2019. "Field-Scale Crop Seeding Date Estimation from MODIS Data and Growing Degree Days in Manitoba, Canada" Remote Sensing 11, no. 15: 1760. https://doi.org/10.3390/rs11151760
APA StyleDong, T., Shang, J., Qian, B., Liu, J., Chen, J. M., Jing, Q., McConkey, B., Huffman, T., Daneshfar, B., Champagne, C., Davidson, A., & MacDonald, D. (2019). Field-Scale Crop Seeding Date Estimation from MODIS Data and Growing Degree Days in Manitoba, Canada. Remote Sensing, 11(15), 1760. https://doi.org/10.3390/rs11151760

