Comparative Analysis of Polarimetric SAR Calibration Methods
Abstract
:1. Introduction
2. Polarimetric Distortion Problem and Methods
2.1. Van Zyl Method
2.2. Quegan Method
2.3. Villa Method
3. Experimental Results
3.1. Experiment with Simulated Data
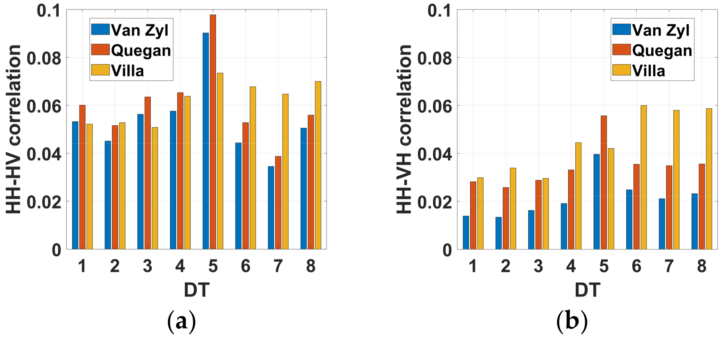
3.2. Experiments on Real Data
4. Discussion
5. Conclusions
Author Contributions
Funding
Acknowledgments
Conflicts of Interest
References
- Van Zyl, J.J. Calibration of polarimetric radar images using only image parameters and trihedral corner reflector responses. IEEE Trans. Geosci. Remote Sens. 1990, 28, 337–348. [Google Scholar] [CrossRef]
 - Freeman, A.; Van Zyl, J.J.; Klein, J.D.; Zebker, H.A.; Shen, Y. Calibration of Stokes and scattering matrix format polarimetric SAR data. IEEE Trans. Geosci. Remote Sens. 1992, 30, 531–539. [Google Scholar] [CrossRef]
 - Quegan, S. A unified algorithm for phase and cross-talk calibration of polarimetric data-theory and observations. IEEE Trans. Geosci. Remote Sens. 1994, 32, 89–99. [Google Scholar] [CrossRef]
 - Ainsworth, T.L.; Ferro-Famil, L.; Lee, J.S. Orientation angle preserving a posteriori polarimetric SAR calibration. IEEE Trans. Geosci. Remote Sens. 2006, 44, 994–1003. [Google Scholar] [CrossRef]
 - Kimura, H.; Mizuno, T. Improvement of polarimetric SAR calibration based on the Quegan algorithm. In Proceedings of the IGARSS 2004—IEEE International Geoscience and Remote Sensing Symposium, Anchorage, AK, USA, 20–24 September 2004; pp. 184–187. [Google Scholar]
 - Shimada, M.; Isoguchi, O.; Tadono, T.; Isono, K. PALSAR radiometric and geometric calibration. IEEE Trans. Geosci. Remote Sens. 2009, 47, 3915–3932. [Google Scholar] [CrossRef]
 - Villa, A.; Iannini, L.; Giudici, D.; Monti-Guarnieri, A.; Tebaldini, S. Calibration of SAR polarimetric images by means of a covariance matching approach. IEEE Trans. Geosci. Remote Sens. 2015, 53, 674–686. [Google Scholar] [CrossRef]
 - Barnes, R.M. Polarimetric Calibration Using In-Scene Reflectors; Rep. TT-65; MIT Lincoln Lab: Lexington, MA, USA, 1986. [Google Scholar]
 - Klein, J.D. Calibration of complex polarimetric SAR imagery using backscatter correlations. IEEE Trans. Aerosp. Electron. Syst. 1992, 28, 183–194. [Google Scholar] [CrossRef]
 - Van Zyl, J.J. Synthetic Aperture Radar Polarimetry; John Wiley & Sons: Hoboken, NJ, USA, 2011. [Google Scholar]
 - Yamaguchi, Y.; Moriyama, T.; Ishido, M.; Yamada, H. Four-component scattering model for polarimetric SAR image decomposition. IEEE Trans. Geosci. Remote Sens. 2005, 43, 1699–1706. [Google Scholar] [CrossRef]
 - Freeman, A. The effect of noise on polarimetric SAR data. In Proceedings of the IGARSS 1993—IEEE International Geoscience and Remote Sensing Symposium, Tokyo, Japan, 18–21 August 1993; pp. 799–802. [Google Scholar]
 - Wang, Y.; Ainsworth, T.L.; Lee, J.S. Assessment of system polarization quality for polarimetric SAR imagery and target decomposition. IEEE Trans. Geosci. Remote Sens. 2011, 49, 1755–1771. [Google Scholar] [CrossRef]
 













| Distortion Parameters | Unit | Value | |
|---|---|---|---|
| Cross-talk | Amplitude | [dB] | [−40 : 5 : −25] | 
| Phase | [deg] | [∠−120 : ∠60 : ∠120] | |
| Channel imbalance | Amplitude | [dB] | [−2 : 2 : 2] | 
| Phase | [deg] | [∠−20, ∠0, ∠20] | |
© 2018 by the authors. Licensee MDPI, Basel, Switzerland. This article is an open access article distributed under the terms and conditions of the Creative Commons Attribution (CC BY) license (http://creativecommons.org/licenses/by/4.0/).
Share and Cite
Jung, Y.T.; Park, S.-E. Comparative Analysis of Polarimetric SAR Calibration Methods. Remote Sens. 2018, 10, 2060. https://doi.org/10.3390/rs10122060
Jung YT, Park S-E. Comparative Analysis of Polarimetric SAR Calibration Methods. Remote Sensing. 2018; 10(12):2060. https://doi.org/10.3390/rs10122060
Chicago/Turabian StyleJung, Yoon Taek, and Sang-Eun Park. 2018. "Comparative Analysis of Polarimetric SAR Calibration Methods" Remote Sensing 10, no. 12: 2060. https://doi.org/10.3390/rs10122060
APA StyleJung, Y. T., & Park, S.-E. (2018). Comparative Analysis of Polarimetric SAR Calibration Methods. Remote Sensing, 10(12), 2060. https://doi.org/10.3390/rs10122060
        
