Stormwater Management toward Water Supply at the Community Scale—A Case Study in Northern Taiwan
Abstract
:1. Introduction
2. Materials and Methods
2.1. Community Water Supply Model
2.2. Modeling LID Modules Using the SWMM
2.3. Calculation of Rainwater Harvesting System Capacity
2.4. Performance Indicators
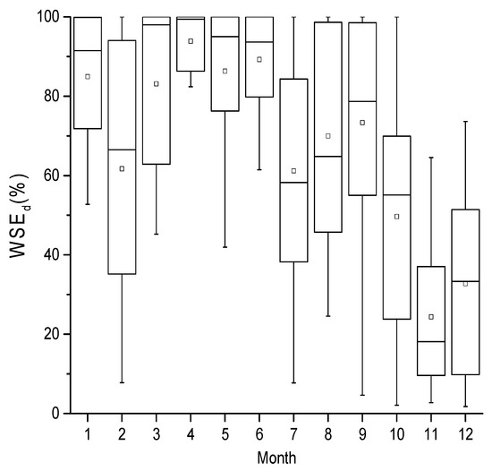
2.4.1. Water Saving Efficiency
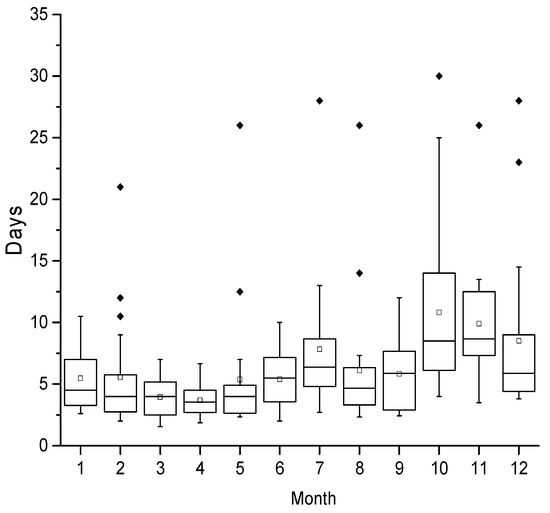
2.4.2. Tolerance Duration
2.4.3. Water Use Efficiency
2.5. Design Cases
3. Results and Discussion
3.1. Water Saving Efficiency
3.2. Tolerance Duration
3.3. Water Use Efficiency
4. Conclusions
Acknowledgments
Author Contributions
Conflicts of Interest
References
- Pachauri, R.K.; Allen, M.; Barros, V.; Broome, J.; Cramer, W.; Christ, R.; Church, J.; Clarke, L.; Dahe, Q.; Dasgupta, P. Climate Change 2014: Synthesis Report. Contribution of Working Groups I, II and III to the Fifth Assessment Report of the Intergovernmental Panel on Climate Change; Intergovernmental Panel on Climate Change (IPCC): Geneva, Switzerland, 2014. [Google Scholar]
- Lin, B.S.; Ho, H.C.; Hsiao, C.Y.; Keck, J.; Chen, C.Y.; Chi, S.Y.; Chien, Y.D.; Tsai, M.F. Using multi-scale sediment monitoring techniques to evaluate remediation effectiveness of the Tsengwen reservoir watershed after sediment disasters induced by typhoon Morakot. In Proceedings of the 18th International Conference for Soil Mechanics and Geotechnical Engineering, Paris, France, 2–6 September 2013; pp. 571–574. [Google Scholar]
- Damodaram, C.; Giacomoni, M.H.; Prakash Khedun, C.; Holmes, H.; Ryan, A.; Saour, W.; Zechman, E.M. Simulation of Combined Best Management Practices and Low Impact Development for Sustainable Stormwater Management1. J. Am. Water Resour. Assoc. 2010, 46, 907–918. [Google Scholar] [CrossRef]
- Jia, Z.; Wu, Z.; Luo, W.; Xi, W.; Tang, S.; Liu, W.L.; Fang, S. The impact of improving irrigation efficiency on wetland distribution in an agricultural landscape in the upper reaches of the Yellow River in China. Agric. Water Manag. 2013, 121, 54–61. [Google Scholar] [CrossRef]
- Abdulla, F.A.; Al-Shareef, A.W. Roof rainwater harvesting systems for household water supply in Jordan. Desalination 2009, 243, 195–207. [Google Scholar] [CrossRef]
- Villarreal, E.L.; Dixon, A. Analysis of a rainwater collection system for domestic water supply in Ringdansen, Norrköping, Sweden. Build. Environ. 2005, 40, 1174–1184. [Google Scholar] [CrossRef]
- Wu, Y.; Jia, Z.; Ren, X.; Zhang, Y.; Chen, X.; Bing, H.; Zhang, P. Effects of ridge and furrow rainwater harvesting system combined with irrigation on improving water use efficiency of maize (Zea mays L.) in semi-humid area of China. Agric. Water Manag. 2015, 158, 1–9. [Google Scholar] [CrossRef]
- Lai, F.H.; Dai, T.; Zhen, J.; Riverson, J.; Alvi, K.; Shoemaker, L. Sustain—An Epa Bmp Process and Placement Tool for Urban Watersheds. In Proceedings of the Water Environment Federation 2007 TMDL Specialty Conference, Bellevue, WA, USA, 24–27 June 2007; pp. 946–968. [Google Scholar]
- Rossman, L.A. Storm Water Management Model User’s Manual Version 5.1; EPA-600/R-14/413b; National Risk Management Research Laboratory, United States Environmental Protection Agency (USEPA): Cincinnati, OH, USA, 2015.
- Alfredo, K.; Montalto, F.; Goldstein, A. Observed and Modeled Performances of Prototype Green Roof Test Plots Subjected to Simulated Low- and High-Intensity Precipitations in a Laboratory Experiment. J. Hydrol. Eng. 2010, 15, 444–457. [Google Scholar] [CrossRef]
- Burszta-Adamiak, E.; Mrowiec, M. Modelling of green roofs’ hydrologic performance using EPA’s SWMM. Water Sci. Technol. 2013, 68, 36–42. [Google Scholar] [CrossRef] [PubMed]
- Jia, H.; Lu, Y.; Yu, S.L.; Chen, Y. Planning of LID–BMPs for urban runoff control: The case of Beijing Olympic Village. Sep. Purif. Technol. 2012, 84, 112–119. [Google Scholar] [CrossRef]
- Lee, J.M.; Hyun, K.H.; Choi, J.S.; Yoon, Y.J.; Geronimo, F.K.F. Flood reduction analysis on watershed of LID design demonstration district using SWMM5. Desalin. Water Treat. 2012, 38, 255–261. [Google Scholar] [CrossRef]
- Zhang, S.; Guo, Y. SWMM Simulation of the Storm Water Volume Control Performance of Permeable Pavement Systems. J. Hydrol. Eng. 2014, 20, 06014010. [Google Scholar] [CrossRef]
- Abi Aad, M.P.; Suidan, M.T.; Shuster, W.D. Modeling Techniques of Best Management Practices: Rain Barrels and Rain Gardens Using EPA SWMM-5. J. Hydrol. Eng. 2010, 15, 434–443. [Google Scholar] [CrossRef]
- Steffen, J.; Jensen, M.; Pomeroy, C.A.; Burian, S.J. Water Supply and Stormwater Management Benefits of Residential Rainwater Harvesting in U.S. Cities. J. Am. Water Resour. Assoc. 2013, 49, 810–824. [Google Scholar] [CrossRef]
- Walsh, T.C.; Pomeroy, C.A.; Burian, S.J. Hydrologic modeling analysis of a passive, residential rainwater harvesting program in an urbanized, semi-arid watershed. J. Hydrol. 2014, 508, 240–253. [Google Scholar] [CrossRef]
- Li, Y.H.; Chen, P.Y.; Lo, W.H.; Tung, C.P. Integrated water resources system dynamics modeling and indicators for sustainable rural community. Paddy Water Environ. 2015, 13, 29–41. [Google Scholar] [CrossRef]
- Saving Water Use Indicators, Water Resources Agency. Available online: http://www.wcis.org.tw/Home/Case_3 (accessed on 5 July 2017). (In Chinese).
- Jothiprakash, V.; Sathe, M.V. Evaluation of Rainwater Harvesting Methods and Structures Using Analytical Hierarchy Process for a Large Scale Industrial Area. J. Water Resour. Prot. 2009, 1, 427–438. [Google Scholar] [CrossRef]
- Kang, S.; Shi, W.; Zhang, J. An improved water-use efficiency for maize grown under regulated deficit irrigation. Field Crop. Res. 2000, 67, 207–214. [Google Scholar] [CrossRef]
- Jia, H.; Yao, H.; Tang, Y.; Yu, S.; Zhen, J.; Lu, Y. Development of a multi-criteria index ranking system for urban runoff best management practices (BMPs) selection. Environ. Monit. Assess. 2013, 185, 7915–7933. [Google Scholar] [CrossRef] [PubMed]
- Li, Z.; Boyle, F.; Reynolds, A. Rainwater harvesting and greywater treatment systems for domestic application in Ireland. Desalination 2010, 260, 1–8. [Google Scholar] [CrossRef]
- Profile on Taiwan Water Resources, Water Resources Agency. Available online: https://www.ncdr.nat.gov.tw/itp2006/download/02.reports/01.Taiwan/06Profile%20on%20Taiwan%20Water%20Resources.pdf (accessed on 26 June 2017).
- Sadras, V.O.; Grassini, P.; Steduto, P. Status of Water Use Efficiency of Main Crops: SOLAW Background Thematic Report—TR07; Food and Agriculture Organization of the United Nations (FAO): Rome, Italy, 2012. [Google Scholar]
- Zaghloul, N.Z. Sensitivity Analysis of the SWMM runoff-transport parameters and the effects of catchment discretisation. Adv. Water Res. 1983, 6, 214–223. [Google Scholar] [CrossRef]
- Zhao, D.Q.; Wang, H.Z.; Chen, J.N.; Wang, H.C. Parameters uncertainty analysis of urban rainfall-runoff simulation. Adv. Water Sci. 2009, 20, 45–51. [Google Scholar]






| LID Module | Surface | Pavement | Soil | Storage | Drain |
|---|---|---|---|---|---|
| Bio-retention cell | V | -- | V | V | * |
| Rain garden | V | -- | V | -- | -- |
| Green roof | V | -- | V | V | V |
| Infiltration trench | V | -- | -- | V | * |
| Permeable pavement | V | V | * | V | * |
| Rainwater harvesting system | -- | -- | -- | V | V |
| Rooftop disconnection | V | -- | -- | -- | V |
| Vegetative swale | V | -- | -- | -- | -- |
| Design Cases | Constructed Wetland (WL) | Rainwater Harvesting System (RB) | Green Roof (GR) | Permeable Pavement (PP) |
|---|---|---|---|---|
| Case 1 | -- | -- | -- | -- |
| Case 2 | V | -- | -- | -- |
| Case 3 | -- | V | -- | -- |
| Case 4 | V | -- | V | -- |
| Case 5 | -- | V | V | -- |
| Case 6 | V | -- | -- | V |
| Case 7 | V | -- | V | V |
| Case 8 | V | V | V | V |
| WSEd (%) | Min | Q1 | Q2 | Q3 | Max |
|---|---|---|---|---|---|
| 3 (RB) | 47.6 | 62.8 | 68.4 | 73.2 | 80.6 |
| 5 (RB + GR) | 47.5 | 62.7 | 68.2 | 73.2 | 80.5 |
| Reliability | Capacity (m3) | WSEd |
|---|---|---|
| 50% | 2880 | 49.5% |
| 70% | 5783 | 63.2% |
| 75% | 7140 | 67.5% |
| 80% | 8848 | 72.1% |
| 99% | 30,863 | 93.7% |
| WSEagri (%) | Min | Q1 | Q2 | Q3 | Max | |||||
|---|---|---|---|---|---|---|---|---|---|---|
| Growth period | 1 | 2 | 1 | 2 | 1 | 2 | 1 | 2 | 1 | 2 |
| 2 (WL) | 12.2 | 1.7 | 15.5 | 6.9 | 19.9 | 10.7 | 23.0 | 12.9 | 27.6 | 19.5 |
| 4 (WL + GR) | 13.1 | 1.4 | 17.9 | 7.0 | 21.7 | 11.8 | 24.6 | 15.4 | 30.4 | 23.2 |
| 6 (WL + PP) | 15.5 | 0.7 | 21.6 | 8.6 | 25.0 | 13.1 | 29.5 | 18.1 | 37.4 | 29.0 |
| 7 (WL + PP + GR) | 16.0 | 0.5 | 23.0 | 9.2 | 26.7 | 13.8 | 31.3 | 20.0 | 40.0 | 32.1 |
| 8 (WL + PP + RB + GR) | 12.2 | 0.0 | 17.7 | 7.1 | 19.9 | 11.3 | 25.7 | 14.8 | 31.1 | 26.0 |
| TD | Min | Q1 | Q2 | Q3 | Max |
|---|---|---|---|---|---|
| 1 (Baseline) | 1 | 1 | 1 | 1 | 1 |
| 2 (WL) | 1 | 1 | 1 | 1 | 1 |
| 3 (WL + RB) | 2 | 2 | 2 | 2 | 2 |
| 4 (WL + GR) | 1 | 1 | 1 | 1 | 1 |
| 5 (RB + GR) | 2 | 2 | 2 | 2 | 2 |
| 6 (WL + PP) | 1 | 1 | 1 | 1 | 1 |
| 7 (WL + PP + GR) | 1 | 1 | 1 | 1 | 1 |
| 8 (WL + PP + RB + GR) | 2 | 2 | 2 | 2 | 2 |
| WUE (kg/m3) | Min | Q1 | Q2 | Q3 | Max | |||||
|---|---|---|---|---|---|---|---|---|---|---|
| Growth period | 1 | 2 | 1 | 2 | 1 | 2 | 1 | 2 | 1 | 2 |
| 1 (Baseline) | 0.15 | 0.18 | 0.30 | 0.29 | 0.35 | 0.47 | 0.41 | 0.53 | 0.51 | 0.58 |
| 2 (WL) | 0.21 | 0.22 | 0.41 | 0.36 | 0.46 | 0.49 | 0.58 | 0.54 | 0.75 | 0.70 |
| 3 (RB) | 0.15 | 0.18 | 0.30 | 0.29 | 0.35 | 0.47 | 0.41 | 0.53 | 0.51 | 0.58 |
| 4 (WL + GR) | 0.22 | 0.22 | 0.43 | 0.35 | 0.47 | 0.49 | 0.59 | 0.55 | 0.77 | 0.73 |
| 5 (RB + GR) | 0.15 | 0.18 | 0.30 | 0.29 | 0.35 | 0.47 | 0.41 | 0.53 | 0.51 | 0.58 |
| 6 (WL + PP) | 0.25 | 0.21 | 0.45 | 0.35 | 0.49 | 0.52 | 0.61 | 0.57 | 0.84 | 0.78 |
| 7 (WL + PP + GR) | 0.25 | 0.21 | 0.45 | 0.35 | 0.50 | 0.52 | 0.63 | 0.58 | 0.86 | 0.80 |
| 8 (WL + PP + RB + GR) | 0.21 | 0.19 | 0.40 | 0.30 | 0.45 | 0.49 | 0.57 | 0.56 | 0.79 | 0.73 |
© 2017 by the authors. Licensee MDPI, Basel, Switzerland. This article is an open access article distributed under the terms and conditions of the Creative Commons Attribution (CC BY) license (http://creativecommons.org/licenses/by/4.0/).
Share and Cite
Li, Y.-H.; Tung, C.-P.; Chen, P.-Y. Stormwater Management toward Water Supply at the Community Scale—A Case Study in Northern Taiwan. Sustainability 2017, 9, 1206. https://doi.org/10.3390/su9071206
Li Y-H, Tung C-P, Chen P-Y. Stormwater Management toward Water Supply at the Community Scale—A Case Study in Northern Taiwan. Sustainability. 2017; 9(7):1206. https://doi.org/10.3390/su9071206
Chicago/Turabian StyleLi, Yuan-Hua, Ching-Pin Tung, and Pei-Yuan Chen. 2017. "Stormwater Management toward Water Supply at the Community Scale—A Case Study in Northern Taiwan" Sustainability 9, no. 7: 1206. https://doi.org/10.3390/su9071206
APA StyleLi, Y.-H., Tung, C.-P., & Chen, P.-Y. (2017). Stormwater Management toward Water Supply at the Community Scale—A Case Study in Northern Taiwan. Sustainability, 9(7), 1206. https://doi.org/10.3390/su9071206
