Undisturbed Ground Temperature—Different Methods of Determination
Abstract
:1. Introduction
2. Heat Balance on the Surface of the Ground
2.1. Solar Radiation and Long-Wave Radiation
2.2. Evaporation of Water from the Surface of the Ground
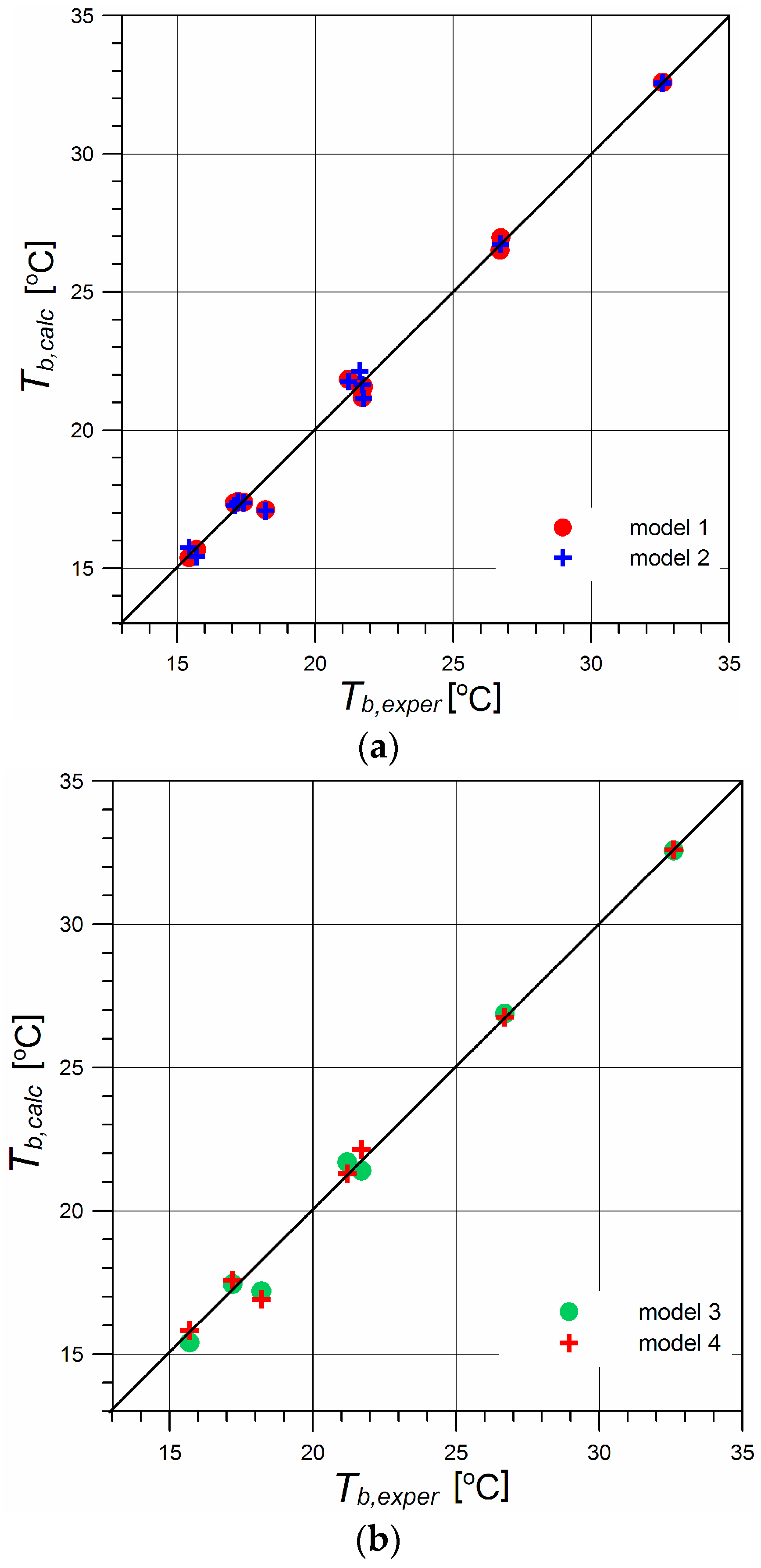
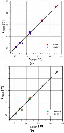
2.3. Results of Calculations
3. Empirical Dependencies
4. Conclusions
Acknowledgments
Author Contributions
Conflicts of Interest
Abbreviations
| UGT | Undisturbed Ground Temperature |
| Nomenclature | |
| A | amplitude |
| EV | evaporative heat flux, W/m2 |
| f | evaporation rate parameter |
| h | convective heat transfer coefficient, W/(m2K) |
| H | convective heat flux, W/m2 |
| k | ground thermal conductivity, W/(mK) |
| Levap | latent heat of water evaporation, J/kg |
| LW | long-wave radiation heat flux, W/m2 |
| p | water vapour partial pressure, Pa |
| P | yearly precipitation, m3/(m2year) |
| Psat | water vapour saturation pressure, Pa |
| RH | relative humidity of ambient air |
| S | solar radiation flux absorbed by the ground, W/m2 |
| S* | horizontal solar radiation, W/m2 |
| T | time, s |
| tc (=365 days) | cycle time, |
| T | ground temperature, °C |
| Ta | ambient temperature, °C and K |
| Tb | undisturbed ground temperature, °C |
| Tdp | dew point temperature, °C |
| Tsky | sky temperature, K |
| x | position coordinate, m |
| β | ground absorption coefficient |
| γ | empirical coefficient |
| ΔT (=) | temperature difference, K |
| ε | emittance of ground surface |
| Фs | phase angle between the air and the ground surface temperatures |
| Фl | phase angle between the insolation and the air temperatures |
| ω (=2π/365) | frequency, days−1 |
| Indices | |
| a | ambient |
| cond | conduction |
| m | mean value |
| s | ground surface |
| sol | solar |
| yearly average value | |
Appendix A. Determination of the Amplitude and Phase Shift of the Temperature of the Ground Surface
References
- Li, Y.; Geng, S.; Han, X.; Zhang, H.; Peng, F. Performance evaluation of borehole heat exchanger in multilayered subsurface. Sustainability 2017, 9, 356. [Google Scholar] [CrossRef]
- Al-Khoury, R. Computational Modeling of Shallow Geothermal Systems; CRC Press: Boca Raton, FL, USA, 2012; p. 5. [Google Scholar]
- Eskilson, P. Thermal Analysis of Heat Extraction Boreholes. Ph.D. Thesis, Department of Mathematical Physics, University of Lund, Lund, Sweden, 1987. [Google Scholar]
- Ouzzane, M.; Eslami-Nejad, P.; Badache, M.; Aidoun, Z. New correlations for the prediction of the undisturbed ground temperature. Geothermics 2015, 53, 379–384. [Google Scholar] [CrossRef]
- Kurevija, T.; Vulin, D.; Krapec, V. Influence of undisturbed ground temperature and geothermal gradient on the sizing of borehole heat exchangers. In Proceedings of the World Renewable Energy Congress, Linkoping, Sweden, 8–13 May 2011; pp. 1360–1367. Available online: http://www.ep.liu.se/ecp/057/vol5/017/ecp57vol5_017.pdf (accessed on 23 May 2017).
- Gehlin, S.E.A.; Nordell, B. Determining Undisturbed Ground Temperature for Thermal Response Test. In ASHRAE Transactions: Research. 2003, pp. 151–156. Available online: https://www.diva-portal.org/smash/get/diva2:1014062/FULLTEXT01.pdf (accessed on 23 May 2017).
- Yu, X.; Zhang, Y.; Deng, N.; Ma, H.; Dong, S. Thermal response test for ground source heat pump based on constant temperature and heat-flux methods. Appl. Therm. Eng. 2016, 93, 678–682. [Google Scholar] [CrossRef]
- Zhou, S.; Cui, W.; Tao, J.; Peng, Q. Study of ground temperature response of multilayer stratums under operation of ground-source heat pump. Appl. Therm. Eng. 2016, 101, 173–182. [Google Scholar] [CrossRef]
- Kusuda, T.; Achenbach, P.R. Earth Temperature and Thermal Diffusivity at Selected Stations in the United States; National Bureau of Standards Report Nr 8972. 1965. Available online: http://www.dtic.mil/dtic/tr/fulltext/u2/472916.pdf (accessed on 23 May 2017).
- Popiel, C.O.; Wojtkowiak, J. Temperature distributions of ground in the urban region of Poznan City. Exp. Therm. Fluid Sci. 2013, 51, 135–148. [Google Scholar] [CrossRef]
- Ouzzane, M.; Eslami-Nejad, P.; Aidoun, Z.; Lamarche, L. Analysis of the convective heat exchange effect on the undisturbed ground temperature. Sol. Energy 2014, 108, 340–347. [Google Scholar] [CrossRef]
- Badache, M.; Eslami-Nejad, P.; Ouzzane, M.; Aidoun, Z. A new modeling approach for improved ground temperature profile determination. Renew. Energy 2016, 85, 436–444. [Google Scholar] [CrossRef]
- Krarti, M.; Lopez-Alonzo, C.; Claridge, D.E.; Kreider, J.F. Analytical model to predict annual soil surface temperature variation. J. Sol. Energy Eng. 1995, 117, 91–99. [Google Scholar] [CrossRef]
- Mihalakakou, G.; Santamouris, M.; Lewis, J.O.; Asimakopoulos, D.N. On the application of the energy balance equation to predict ground temperature profiles. Sol. Energy 1997, 60, 181–190. [Google Scholar] [CrossRef]
- Herb, W.R.; Janke, B.; Mohseni, O.; Stefan, H.G. Ground surface temperature simulation for different land covers. J. Hydrol. 2008, 356, 327–343. [Google Scholar] [CrossRef]
- Nam, Y.; Ooka, R.; Hwang, S. Development of a numerical model to predict heat exchange rates for a ground-source heat pump system. Energy Build. 2008, 40, 2133–2140. [Google Scholar] [CrossRef]
- De Jesus Freire, A.; Alexandre, J.L.C.; Silva, V.B.; Couto, N.D.; Rouboa, A. Compact buried pipes system analysis for indoor air conditioning. Appl. Therm. Eng. 2013, 51, 1124–1134. [Google Scholar] [CrossRef]
- Bortoloni, M.; Bottarelli, M.; Su, Y. A study on the effect of ground surface boundary conditions in modelling shallow ground heat exchangers. Appl. Therm. Eng. 2017, 111, 1371–1377. [Google Scholar] [CrossRef]
- Fujii, H.; Nishi, K.; Komaniwa, Y.; Chou, N. Numerical modeling of slinky-coil horizontal ground heat exchangers. Geothermics 2012, 41, 55–62. [Google Scholar] [CrossRef]
- Fujii, H.; Yamasaki, S.; Maehara, T.; Ishikami, T.; Chou, N. Numerical simulation and sensitivity study of double-layer Slinky-coil horizontal ground heat exchangers. Geothermics 2013, 47, 61–68. [Google Scholar] [CrossRef]
- Demir, H.; Koyun, A.; Temir, G. Heat transfer of horizontal parallel pipe ground heat exchanger and experimental verification. Appl. Therm. Eng. 2009, 29, 224–233. [Google Scholar] [CrossRef]
- Duffie, J.A.; Beckman, W.A. Solar Engineering of Thermal Processes; Wiley Inc.: New York, NY, USA, 2006; p. 149. [Google Scholar]
- Klein, S.A.; Duffie, J.A.; Mitchell, J.C.; Kummer, J.P.; Thornton, J.W.; Bradley, D.E.; Arias, D.A. TRNSYS 17. A Transient System Simulation Program. Volume 4. Mathematical Reference; Solar Energy Laboratory, University of Wisconsin: Madison, WI, USA, 2017. [Google Scholar]
- Khatry, A.K.; Sodha, M.S.; Malik, M.A.S. Periodic variation of ground temperature with depth. Sol. Energy 1978, 20, 425–427. [Google Scholar] [CrossRef]
- Kupiec, K.; Larwa, B.; Gwadera, M.; Komorowicz, T. Modelling of heat transfer in the ground. Przem. Chem. 2016, 95, 1997–2002. [Google Scholar] [CrossRef]
- Cengel, Y.; Ghajar, A. Heat and Mass Transfer: Fundamentals and Applications; McGraw-Hill: New York, NY, USA, 2010; p. 836. [Google Scholar]
- Green, D.W.; Perry, R.H. Perry’s Chemical Engineers’ Handbook, 8th ed.; McGraw-Hill: New York, NY, USA, 2008. [Google Scholar]
- McAdams, W.H. Heat Transmission; McGraw-Hill: New York, NY, USA, 1954. [Google Scholar]
- Kiehl, J.T.; Trenberth, K.E. Earth’s Annual Global Mean Energy Budget. Bull. Am. Meteorol. Soc. 1997, 78, 197–208. [Google Scholar] [CrossRef]
- Gaisma. Sunrise, Sunset, Dawn and Dusk Time around the World. Available online: www.gaisma.com (accessed on 23 May 2017).
- Esen, H.; Inalli, M.; Esen, M. Numerical and experimental analysis of a horizontal ground-coupled heat pump system. Build. Environ. 2007, 42, 1126–1134. [Google Scholar] [CrossRef]
- Carslaw, H.S.; Jaeger, J.C. Conduction of Heat in Solids, 2nd ed.; Clarendon Press: Oxford, UK, 1959; pp. 64–70. [Google Scholar]




| Quantity | Value | Quantity | Value |
|---|---|---|---|
| k | 1.3 W/(mK) | Aa | 10.4 K |
| cv | 1.92 × 106 J/(m3K) | <S> | 113 W/m2 |
| ε | 0.9 | Asol | 97 W/m2 |
| LW | 63 W/m2 | Фl | 0.40 rad |
| <Ta> | 8.5 °C |
| Elazig, Turkey | Oklahoma City, OK, USA | Shanghai, China | Hamah, Syria | Kiln, MS, USA | Brownsville, TX, USA | Dhahran, Saudi Arabia | ||
|---|---|---|---|---|---|---|---|---|
| Yearly average ambient temperature , °C [4] | 13.0 * | 14.8 | 15.6 | 18.1 | 19.6 | 22.7 | 27.4 | |
| Undisturbed ground temperature Tb, °C [4] | 15.7 | 17.2 | 18.2 | 21.2 | 21.7 | 26.7 | 32.6 | |
| Yearly average dew point temperature , °C [4] | 1.78 | 7.94 | 11.66 | 6.71 | 14.24 | 17.61 | 14.99 | |
| Yearly av. effective sky temperature , °C, Equation (7) | 11.20 | −4.29 | −1.25 | −1.94 | 4.19 | 9.43 | 12.09 | |
| Yearly av. long wave radiation flux , W/m2, Equation (8) | 120 | 106 | 98 | 119 | 93 | 97 | 120 | |
| Yearly total precipitation m3/(m2year) [30] | 0.577 | 0.829 | 1.134 | 0.441 | 1.594 | 0.690 | 0.088 | |
| Yearly av. evaporative heat flux , W/m2, Equation (27) | 45 | 65 | 88 | 34 | 124 | 54 | 7 | |
| Yearly av. solar radiation flux absorbed by the ground [30] | kWh/(m2year) | 1519 | 1606 | 1411 | 1763 | 1619 | 1890 | 2036 |
| W/m2 | 173 | 183 | 161 | 201 | 185 | 216 | 232 | |
| Yearly av. horizontal solar radiation , W/m2 [4] | 250.0 | 235.9 | 198.4 | 253.6 | 230.8 | 248.0 | 291.7 | |
| Model | S* or S | LW | ε | X1 (Equation (28)) | X2 (Equation (28)) |
|---|---|---|---|---|---|
| 1 | constant | constant | − ε)/ | − | |
| 2 | coefficient of correlation | constant | / | ε/<EV> | |
| 3 | data | coefficient of correlation | / | / | |
| 4 | data | constant | / | ε/ |
© 2017 by the authors. Licensee MDPI, Basel, Switzerland. This article is an open access article distributed under the terms and conditions of the Creative Commons Attribution (CC BY) license (http://creativecommons.org/licenses/by/4.0/).
Share and Cite
Gwadera, M.; Larwa, B.; Kupiec, K. Undisturbed Ground Temperature—Different Methods of Determination. Sustainability 2017, 9, 2055. https://doi.org/10.3390/su9112055
Gwadera M, Larwa B, Kupiec K. Undisturbed Ground Temperature—Different Methods of Determination. Sustainability. 2017; 9(11):2055. https://doi.org/10.3390/su9112055
Chicago/Turabian StyleGwadera, Monika, Barbara Larwa, and Krzysztof Kupiec. 2017. "Undisturbed Ground Temperature—Different Methods of Determination" Sustainability 9, no. 11: 2055. https://doi.org/10.3390/su9112055
APA StyleGwadera, M., Larwa, B., & Kupiec, K. (2017). Undisturbed Ground Temperature—Different Methods of Determination. Sustainability, 9(11), 2055. https://doi.org/10.3390/su9112055

