Next Article in Journal
Sustaining Learning Practices: Exploring the Roles of External Engagement for Engineering Graduates
Previous Article in Journal
A Normalized Shannon Entropy–CV Framework for Diagnosing Short-Term Surface Water Quality Instability from High-Frequency WQI Data in Southwest China
 
 
Font Type:
Arial Georgia Verdana
Font Size:
Aa Aa Aa
Line Spacing:
Column Width:
Background:
Article

A Two-Level Optimal Water Allocation Model for Canal-Drip Irrigation Systems Based on Decomposition–Coordination Theory

1
College of Hydraulic and Civil Engineering, Xinjiang Agricultural University, Urumqi 830052, China
2
Xinjiang Institute of Water Resources and Hydropower Research, Urumqi 830049, China
*
Author to whom correspondence should be addressed.
Sustainability 2026, 18(7), 3217; https://doi.org/10.3390/su18073217
Submission received: 31 January 2026 / Revised: 6 March 2026 / Accepted: 18 March 2026 / Published: 25 March 2026

Abstract

Agriculture in Xinjiang, a region in arid northwest China, is almost entirely dependent on irrigation, leading to significant supply–demand contradictions. This study addresses the spatial and temporal mismatches between water supply and demand, and the resulting conflicts in crop water supply. Using the primary irrigation cycle of Wutai branch canal as a case study, we developed a two-level optimal water allocation model based on large-scale system optimization. For the lateral canal water distribution, a model minimizing the sum of squares of the water shortage rate was solved using the Sequential Quadratic Programming (SQP) algorithm. For the drip irrigation systems, water distribution time was incorporated as a second objective, and the resulting bi-objective model was solved using the Non-dominated Sorting Genetic Algorithm II (NSGA-II). Compared to actual distribution processes, our results show that (1) 74% of the distribution canals and pipelines achieved over 90% of their design flow rate, fully utilizing flow capacity and reducing the overall distribution time of the branch canal by 4.68 h. (2) The overall water shortage rate was reduced by 1.59% compared to the actual rate, with a more balanced water allocation among users. These results demonstrate that the model can effectively coordinate water distribution in a multi-level canal system, enhance the fairness of water use, and provide a valuable reference for single-event water distribution in water-scarce areas.

1. Introduction

With global climate change and population growth, the imbalance in water resource allocation across time and space has become increasingly severe, posing significant challenges to food security [1,2]. In arid regions with scarce rainfall, irrigation serves as the cornerstone for agricultural development and crop yields, making the contradiction in agricultural water demand particularly acute [3]. As a typical water-scarce region in China, Xinjiang relies heavily on agricultural water use. Structural water shortages (where water distribution at irrigation sources fails to match crop water requirements, leading to either over-supply or under-supply in critical areas) have emerged as the primary constraint on agricultural development [4]. Statistics show that Xinjiang’s total water consumption reached 63.33 billion m3 in 2023, accounting for 73% of the region’s total water resources. And the agricultural irrigation alone consumed 56.36 billion m3, accounting for 89% of total water usage and ranking first among all sectors, with an irrigation water utilization coefficient of 0.579 [5]. Although water-saving technologies in Xinjiang’s farmlands have become increasingly mature and the irrigation water utilization coefficient has been significantly improved, during the critical growth period of crops from June to August, the irrigation areas experience scarce rainfall and intense evaporation, making it difficult to meet crop water demands solely through surface water. Moreover, the irrigation model in these areas still relies heavily on empirical water allocation, which continues to have issues such as prolonged water distribution and uneven water allocation, leading to water resource waste and reduced water use efficiency [6]. Taking the Wutai Branch Canal in the Daheyanzi Irrigation District of Xinjiang as a typical case, the multi-level canal drip irrigation system here is plagued by unfair water allocation among subordinate drip irrigation systems, which further aggravates the waste of limited water resources and the crop water supply conflict. Therefore, selecting a scientifically sound water resource allocation plan, by shortening irrigation time and reducing water wastage, can not only effectively enhance the irrigation benefits and management level of the irrigation areas but also holds profound significance for alleviating water scarcity in Xinjiang and promoting water-saving agriculture and sustainable development [7].
Irrigation canal systems are typically composed of multi-level channels, including “main canals, branch canals, and lateral canals.” Traditional water allocation methods often result in significant seepage losses, excessive water waste, and frequent gate adjustments. To address these challenges, scholars worldwide have developed optimized water allocation models for canal systems. Early research concentrated on single-objective optimization. Wang Qingjie et al. [8] aimed to minimize leakage loss and applied an improved particle swarm optimization algorithm to solve the problem. Wu et al. [9] employed the backtracking-search algorithm to minimize residual flow, validating the irrigation plan for the Xiyin Irrigation District in arid regions. As research advanced, the focus shifted towards multi-objective optimization [10], which balances conflicting objectives such as water conveyance losses, allocation timing, and water deficit. Cao et al. [11] created a multi-objective model integrating hydrological simulation and nonlinear programming, taking into account water supply satisfaction, economic benefits, fairness, and irrigation efficiency. Shen Laiyin et al. [12] and Ma Jianqin et al. [13] developed multi-objective models incorporating water salinity dynamics or crop water requirements, addressing specific autumn irrigation patterns and real-time allocation needs while minimizing canal water losses. Spatially, research progressed from simple two-level systems [14] to three-level systems [15]. Zheng et al. [16] improved the grey wolf algorithm to solve the “branch canal-distribution canal” two-level system optimization model with minimal seepage loss. Gao Yuan et al. [17] adopted a large-system decomposition and coordination approach to optimize water resource utilization in irrigation districts. In their study, by decomposing the three-tier canal system (main, branch, and distribution) into a two-level hierarchical coordination model, they enhanced the stability of water flow in distribution channels and improved water distribution efficiency, thereby reducing water loss during transportation. Despite the abundance of current research findings, existing studies still have certain limitations. Most optimization models are restricted to surface irrigation water distribution problems, and the research only focuses on the backbone canal network (e.g., main, branch, and lateral canals) [18]. Overall, the “last link” of the irrigation system—the field drip irrigation system—is often excluded from the optimization chains. Research on integrated optimization configurations from the canal head to the field remains scarce. Moreover, different levels (main, branch, and lateral) often use the same objective functions in optimization, failing to reflect their specific requirements.
Methodologically, optimization algorithms have evolved from traditional mathematical programming approaches [19,20] to widely adopted intelligent algorithms [21] and machine learning techniques [22], which offer enhanced robustness and flexibility, providing new solutions for complex problems [23,24]. Han Yu et al. [25] employed backtracking search algorithms to optimize water distribution in irrigation districts. This approach ensures the optimal irrigation timing while maintaining relative fluid transport stability to achieve canal system optimization. Mai et al. [26] proposed an innovative canal optimization model using the NSGA-III algorithm, incorporating the gravity irrigation rate as a multi-objective criterion. The results demonstrated an increase in the flow of branch canals and a significant improvement in the gravity irrigation rates under various flow constraints. Tian Guilin et al. [27] set the minimization of total seepage losses as the optimization objective and used the Tian Niu Qun (a modified ant colony optimization algorithm) to solve the problem. A comparative analysis with the Tian Niu Xu search algorithms and particle swarm optimization algorithms validated the applicability of the improved Tian Niu Qun in the water resource allocation of irrigation districts. Pi Yingying [28] utilized the genetic algorithm to address the water distribution issue in a three-tier canal system, with the aim of minimizing water loss and seepage. The results indicated substantial reductions in water leakage during transportation and an improvement in the irrigation water utilization coefficient of the canal system. Li Zhuoman et al. [29] constructed sluice regulation models using random forest methods based on historical data, including sluice operations, water depth before and after opening, and precipitation, achieving water distribution scheduling for different inflow volumes. Although the optimization algorithm is constantly being improved, most studies apply the same algorithm to all levels without selecting appropriate optimization algorithms based on the different objective functions of different levels.
The irrigation water distribution system studied in this research exhibits a typical multi-level hierarchical structure, which consists of three tiers: branch canals, lateral canals, and field drip irrigation systems. Traditional centralized optimization methods often encounter challenges such as difficulties in water distribution coordination and high-dimensional decision variables when dealing with these issues. The large-system decomposition and coordination theory can decompose complex high-dimensional problems with specific target requirements into multiple independent sub-problems that do not affect each other, thus reducing computational complexity. Although each sub-problem is solved independently, the decomposition and coordination theory interconnects them through coordination variables, ensuring that solutions at different levels are mutually compatible and ultimately converge to the global optimum [30]. Moreover, the large-system decomposition and coordination theory supports differentiated modeling for multi-level and multi-objective scenarios, making it more in line with practical management needs [31].
To address the limitations of current research, which predominantly focuses on irrigation canals while neglecting drip irrigation systems and lacks targeted optimization at different levels, this study examines the Wutai Branch Canal and its subordinate lateral canals and drip irrigation systems in the Daheyanzi Irrigation District of Xinjiang. Based on the decomposition and coordination theory of large systems, a two-tier optimization model was constructed to break down the barriers between canal networks and field irrigation, establishing a joint scheduling framework for branch-lateral canal systems and drip irrigation. The differences between this study and previous research can be summarized in Table 1. The first-tier optimization aims to minimize the sum of squared water deficit rates across branch canals, determining water allocation for each distribution channel. The second-tier optimization seeks to achieve the shortest water distribution time and minimize the sum of squared water deficit rates, rationally allocating flow rates and timing for each drip irrigation system to identify optimal water distribution plans. This study achieves coordinated optimization between canal water allocation and field drip irrigation scheduling, providing a reference and basis for optimal water resource allocation in arid and semi-arid regions worldwide.

2. Overview of the Study Area

2.1. Introduction to the Research Area

The Daheyanzi Irrigation District (81°45′–82°33′ E, 44°14′–44°40′ N) is located in Daheyanzi Town, Xinjiang. It is situated 46 km east of Bole City and 50 km west of Jinghe County. Spanning 29.67 km from east to west and 18.08 km from north to south, it covers an irrigation area of 15,947 hm2. Characterized as a typical water-scarce region, the district has an average annual temperature of 7.8 °C, with an annual precipitation of 99.7 mm and an evaporation of 1626 mm. The primary irrigation source is the Daheyanzi River, which supports three irrigation systems: pure well irrigation, pure surface water irrigation, and a well-river hybrid system. The main crops cultivated here are cotton and corn. This study focuses on the well-river hybrid irrigation zone downstream of the Wutai Branch Canal within the Daheyanzi Irrigation District.
The Wutai Branch Canal (Figure 1) receives direct water supply from the Daheyanzi Main Canal. This study focuses on the Wutai Branch Canal, its subordinate distribution canals, and drip irrigation systems, with the canal network schematic presented in Figure 2. The mixed irrigation zone under the branch canal controls 2617 hm2 of irrigated land. Seven lateral canals are installed underneath the main canal, and each is equipped with 2 to 7 drip irrigation systems, amounting to a total of 26 drip irrigation systems. Five electric wells offer supplementary irrigation for Drip irrigation system 13 and Drip irrigation system 15. The Wutai Branch Canal area cultivates five types of crops cotton, corn, forest belt, alfalfa, and wheat across three land types: responsibility field, forage grassland, and forest land. Each drip irrigation system controls an area devoted to a single crop and a specific land type. Typical canal system information is detailed in Table 2 (The numbers 1–7 in the figure indicate the channel numbering system).

2.2. Status and Problems of Water Distribution

Analysis of the 2023 water distribution data from Jinghe County Water Management Station reveals that the Wutai Branch Canal faced water shortages in all months except September, with the most severe deficit occurring in July (Table 3). Lateral Canal 4 and Lateral Canal 7 had the largest number of drip irrigation systems. During the water allocation in mid-July, only 2 out of 6 drip systems in Lateral Canal 4 were operational (Figure 3a), while Lateral Canal 7 irrigated only 3 systems (Figure 3b). This indicates that over half of the drip irrigation systems failed to meet the scheduled irrigation requirements.
The analysis reveals three critical issues in the current water distribution situation: (1) There is a gap between the water supply from branch canals and the total crop water demand, with a water supply satisfaction rate of only 88.87%, indicating a state of water deficit. (2) Given the mismatch between the total allocated water and the actual demand, there are instances where the allocated water for certain crops exceeds their water demand (Table 4), which means water resources have not been utilized rationally. (3) For lateral canals with numerous subordinate drip irrigation systems, it is often challenging to ensure water distribution fairness. This leads to discrepancies in water supply among different drip irrigation systems and results in “localized waterlogging and drought” for crops.
The temperature reaches its peak in July, and crop growth enters a critical stage, which is the most crucial period for water use in the irrigation area. Therefore, this study selected the single irrigation period in mid-July to optimize water distribution for the Wutai branch canal, which has a designed flow rate of 1.8 m3/s and a rotation cycle of 10 d. According to the irrigation data from the Daheyanzi Irrigation District provided by Jinghe County Water Management Station, the total planned surface water supply for the Wutai Branch Canal in mid-July 2023 was 902,520 m3, while the planned total supply from electromechanical wells was 90,000 m3. Table 5 details the five electromechanical wells distributed along the Wutai Branch Canal. Since the Yerken Electromechanical Well was not operational in 2023, its data was excluded from subsequent research.

3. Optimization of Water Distribution Model Constructions

The large system decomposition coordination theory is applied to decompose canal-system optimized water distribution into a two-tier progressive coordination model (Figure 4), enabling hierarchical management of irrigation water allocation. The first tier is a coordinated optimization model for branch canals. In this model, the water flow and timing allocated from branch canals to lateral canals are used as decision variables. The objective function of this model is to minimize the sum of squared water deficit rates, which ensures the rational allocation of flow and timing across lateral canals. The second tier consists of optimized water distribution models for subsystems, with each lateral canal functioning as an independent subsystem. By utilizing the optimization results from the first tier (water flow and timing for each lateral canal), the water distribution process of subsystems is constrained. Under these constraints, the system further allocates water flow and timing for drip irrigation systems and establishes rational rotation groups, thereby enhancing the operational management of subsystems.
Assuming a superior channel has N subordinate channels, the division of rotational irrigation groups is calculated according to Equation (1):
floor ( N Q s / q ¯ )   M     ceil ( N Q s / q ¯ )
where M is number of irrigation rounds; Qs is the inflow rate from the upstream channel (m3/s); q ¯ is the average design flow rate of the water distribution channel; and floor and ceil are the floor and ceiling rounding functions respectively.
The core logic of Equation (1) for determining the range of the rotational irrigation group number, M, is as follows: The ratio of the water flow rate in the lateral canal to the average design flow rate of the drip irrigation system serves as the control basis. This ratio determines the maximum number of drip irrigation systems that the lateral canal can supply simultaneously. The theoretical rotational irrigation group number is calculated by dividing the total number of drip irrigation systems by the number of simultaneously operating systems. By rounding this theoretical value down or up, the feasible range of M can be obtained. When the average design flow rate q ¯ of the water distribution channel is less than the inflow flow rate Qs of the upstream channel, it indicates that the water conveyance capacity of the upstream channel far exceeds the demand of a single water distribution channel. In this case, rounding down can be adopted to reduce the number of irrigation groups, thereby shortening the rotational irrigation cycle and increasing the irrigation speed. Conversely, rounding up is recommended to increase the number of irrigation groups, ensuring safer operation.

3.1. Optimization of Water Distribution Model for Drip Irrigation System in Lateral Canal

The water distribution model was established by using the water distribution flow and water distribution time of the rotary irrigation system and the drip irrigation system as decision variables, aiming to minimize the sum of the squares of the water shortage rate and achieve the shortest water distribution time.

3.1.1. Objective Function

(1)
Minimum sum of squares of water shortage rates: To minimize the water shortage of each drip irrigation system and avoid the key issue of internal imbalance in water allocation, instead of using the sum of the water shortage rates of each drip irrigation system as the objective function, this study selects the sum of the squares of the water shortage rates as the objective function. This ensures the minimum water shortage and achieves fair water allocation among users as much as possible.
f 1 = min D s = j = 1 N ω u × ( W x , j q j × t j GW j W x , j ) 2
  W x , j = e = 1 E   A e × B e η
where Ds is the square sum of the water shortage rates of the upper channels; ωu is the weight of different land types; Wx,j is the water demand for the jth drip irrigation system (m3); GWj is the groundwater supply volume for the jth drip irrigation system (m3); qj is the optimized water distribution flow rate of the jth drip irrigation system (m3/s); tj is the optimal water distribution time for the jth drip irrigation system (h); Ae is the planting area of crop e (hm2); Be is the net irrigation quota of crop e, which is derived from the management department of irrigation area (m3/hm2); and η indicates the effective utilization coefficient of irrigation water.
(2)
Shortest water distribution time: To shorten the irrigation cycle and ensure that water flows rapidly through the channels into the field drip irrigation system, the shortest water distribution time is adopted as the second objective function.
f 2 = min   T s = i = 1 M max X ij t j
where Xij = {0, 1} indicates whether drip irrigation system j is included in the ith irrigation group, Xij = 1 (i = 1, 2, …, M) indicates that the drip irrigation system j is in the off state (not included in the i th rotational irrigation group), and the remaining values denote that the system is on. Xij is a binary variable (0 or 1) that uses binary encoding. Each gene position directly corresponds to Xij, with values limited to 0 or 1. This encoding ensures natural integer integrity without additional relaxation.

3.1.2. Water Priority Principle

To ensure national food security, maintain farmers’ income and the stability of the agricultural economy, the water demand of crops in the contracted fields should be met first, followed by that of grasslands for feed, and finally that of forest lands.
P 1 t P 2 t P 3 t
where P1t, P2t, P3t denote the priority levels of irrigation water requirements for crops in the responsibility field, forage grassland, and forest land during cycle t. The higher the priority order, the greater the weight ωu of the corresponding land type. The symbol indicates the priority of water demand.

3.1.3. Constraints

(1)
Time constraint: The water distribution time of each irrigation group must not exceed the irrigation cycle T.
i = 1 M max X ij t j     T
(2)
Subordinate canal gate constraint: Any drip irrigation system can only be activated once within the rotation period T.
i = 1 M X ij = 1
(3)
Flow constraint: At any time, the total flow rate of drip irrigation systems within the rotational irrigation group shall not exceed the water distribution flow rate of the upstream channel.
j = 1 N X ij q j     Q s
(4)
Surface water constraint: The sum of the products of the water distribution flow rate and the water diversion duration of the drip irrigation system is not greater than the surface water supply capacity within the control area of the lateral canal.
j = 1 N q j × t j     W s
(5)
Water pumping constraint: The total water pumping capacity of the electromechanical well under the drip irrigation system should not exceed the available groundwater volume in the area.
j = 1 N GW j     GW s
(6)
Water-passing capacity constraint: The water distribution flow rate of any drip irrigation system should fall between the minimum and maximum values of the design flow rate. As a pipeline system, the drip irrigation system has strict requirements for the inlet flow velocity. On one hand, an excessively high flow velocity can disrupt the pressure balance of the pipeline network, resulting in a reduced uniformity of water distribution. On the other hand, an insufficient flow velocity may cause the sedimentation of micro-particles in the water, increasing the risk of system clogging. Therefore, this study adopts a minimum and maximum coefficient of 0.6 and 1 for the drip irrigation system.
0.6 q j   d   q j     q j d
Note: For the flow constraint, real-time evaluation is conducted after population initialization, crossover, and mutation. If the total flow rate of concurrently operating drip irrigation systems exceeds the upstream channel inflow rate Qs, the solution is considered infeasible. The system is rectified by randomly deactivating some drip irrigation systems (setting the corresponding Xij to 0) until the flow rate limit is satisfied. For the surface water constraint and water pumping constraint, the total water consumption is adjusted by modifying the irrigation duration or the number of operation periods to ensure that the total water consumption does not exceed the available surface water and groundwater quota.

3.2. Optimization of Water Distribution Coordination Model for Branch Canal

In the overall water distribution model of the branch canal, the water distribution flow and time of the lateral canal are taken as decision variables, and a water distribution model with the minimum sum of the squares of the water shortage rate is established. Except for the water-passing capacity constraint, the other constraints are consistent with the water distribution model of the lateral canal drip irrigation system.
(1)
Objective function: Minimize the sum of squares of water shortage rates.
min D s = k = 1 L ω u × ( W x , k q k × t k GW k W x , k ) 2
  W x , k = j = 1 N W x , j
(2)
Water-passing capacity constraint: As open channels, branch and distribution channels may cause unstable flow patterns, such as water jumps, downstream when the inflow is too high. They may even result in serious safety accidents like overflow. If the inflow is too low, it may lead to sediment accumulation. Therefore, all channels must meet the required flow rates without causing erosion or siltation [32].
0.6 q k   d   q k     1.3 q k d

3.3. Model Solving Based on SQP Algorithm

For the optimization of primary branch canals and lateral canals, the decision variables are selected as the water distribution flow rate q and time t for each distribution channel. The objective is to minimize the sum of squared water shortage rates while satisfying constraints, including flow rate limits, water volume constraints, and hydraulic capacity requirements. This problem exhibits nonlinear and continuous characteristics, with both the objective function and constraints being smooth functions. For such problems, gradient-based deterministic algorithms demonstrate superior efficiency. The Sequential Quadratic Programming (SQP) algorithm is widely recognized as one of the most effective methods for solving smooth nonlinear constrained optimization problems. By approximating the original nonlinear problem as quadratic programming sub-problems during each iteration and leveraging Lagrange multiplier information to accelerate convergence, SQP offers advantages such as robustness, fast convergence, and high computational accuracy. Additionally, SQP excels in handling equality and inequality constraints, ensuring reliable local optimal solutions that provide stable input conditions for subsequent complex secondary optimization. Therefore, applying SQP to solve the primary model can efficiently and accurately establish boundary constraints for water volume and time allocation in downstream channels.
(1)
The general constraint optimization problem is considered:
min f(x)
s.t. gi(x) = 0
gj(x) ≤ 0
where gi denotes an equality constraint and gj denotes an inequality constraint.
(2)
Construct the quadratic programming (QP) sub-problem: At the current iteration pointxk, perform a second-order approximation on the Lagrangian function of the original problem (which integrates the objective and constraints), and apply a first-order linear approximation to the constraints. The resulting sub-problem is a standard quadratic programming problem, expressed as
min   f ( x k ) T d + 1 2   d T B k d s . t .   g i ( x k ) T d + g i ( x k ) = 0 g j ( x k ) T d + g j ( x k )     0
where d is the search direction of x-xk; Bk is the Hessian matrix of the Lagrange function with respect to the variable x; and ∇f and ∇g are the gradients of the objective function and the constraint function, respectively.
The flowchart of the SQP algorithm is shown in Figure 5a. The main process steps are as follows:
Step 1: Parameter initialization, specifying initial points x0, presetting the algorithm tolerance, and approximating the Hessian matrix B0.
Step 2: At the current iteration point xk, simplify the objective function and constraints using local approximation to construct the QP sub-problem.
Step 3: Solve the QP sub-problem to obtain the search direction, determine the step size dk through linear search, and perform iterative point updates xk+1.
Step 4: Check if the convergence accuracy is met. If it is met, stop and output the result. If not, increment the iteration count and return to Step 2 to continue until the termination condition is met.

3.4. Model Solving Based on NSGA-II Algorithm

The optimization of the secondary-level lateral canal drip irrigation system faces a more complex decision-making space. It involves not only continuous variables such as flow rates and timing for each drip irrigation system but also discrete 0–1 variables like the activation status Xij of irrigation groups. Simultaneously, it requires optimizing two conflicting objectives—minimizing water distribution time (f1) and reducing the sum of squared water deficit rates (f2)—forming a typical multi-objective combinatorial optimization problem. Traditional single-objective algorithms face significant challenges in solving this model. The Non-Dominated Sorting Genetic Algorithm (NSGA-II), proposed by Deb et al., represents an improvement over conventional genetic algorithms. For dual-objective models, it reduces computational complexity while enhancing processing speed and robustness [33]. NSGA-II employs non-dominant sorting and crowding distance mechanisms to hierarchically select optimal solutions, providing decision-makers with multiple trade-off options. Additionally, its elite retention strategy merges parent and offspring populations, effectively preventing the loss of superior solutions and ensuring convergence toward the global optimal frontier. Therefore, applying NSGA-II to solve the secondary-level model enables the rational scheduling of irrigation groups, meeting the demands of precision field management.
(1)
Fast Non-Dominant Sorting: The primary function of fast non-dominant sorting is to rank solutions according to Pareto order (rank), where solutions with lower ranks are considered better. This strategy defines two variables for each solution in the population: np and Sp. np indicates the number of solutions that dominate solution p, while Sp stores all solutions dominated by solution p. After the initial sorting, solutions with np = 0 are non-dominant solutions, which are placed into the first-level Pareto set F1 with rank 1. By iterating through all Sp values in F1, the np value of each recorded solution is decremented by 1, and solutions with np = 0 are identified again. These non-dominant solutions are then stored as second-level non-dominant solutions in set F2. The process is repeated for the remaining solution set, assigning non-dominant solutions with np = 0 to the third level F3. This hierarchical structure continues, with solutions in the solution set being ranked by Pareto order, where F1 represents the highest Pareto rank. The hierarchical structure of the Pareto solution set is illustrated in Figure 6.
(2)
Crowding Degree Calculation: The crowding degree measures the spatial density of solutions within the same Pareto level in a population. A higher crowding degree indicates greater dispersion among population members and better diversity, which aligns with the requirements for population diversity. The crowding distance of the i-th solution is calculated by summing the absolute values of the distances between it and its two adjacent solutions:
d i = k = 1 m | ( f k i + 1 f k i 1 ) |
where m denotes the number of objective functions, with the ith solution being adjacent to the (i − 1)th and (i + 1)th solutions, as illustrated in Figure 6.
(3)
Elite Retention Strategy: The elite retention strategy aims to preserve non-dominated solutions in multi-objective optimization problems, preventing their loss during evolutionary operations. First, it combines the parent and offspring populations to form a hybrid population with double the size, which serves as the search scope. Then, fast non-dominated sorting is applied to assign different Pareto rankings (e.g., F1, F2, F3, etc. The darkest area represents F1, the highest level. The colors range from dark to light, and the levels decrease accordingly) to each individual in the merged population. Individuals are placed into the next-generation population in sequence, starting from those with the highest Pareto rankings and moving downwards, until a layer cannot be fully filled. Subsequently, the individuals in this layer are sorted by their crowding degree, and those with a higher crowding degree are selected for the next generation until the population reaches its full capacity. This strategy broadens the population’s search scope, incorporates outstanding individuals from the parent population, prevents the loss of superior individuals during evolution, and ensures that all elite individuals are retained. The specific implementation flowchart of this strategy is shown in Figure 7.
The NSGA-II algorithm workflow is illustrated in Figure 5b, with key steps detailed below:
Step 1: Generate a random initial population Pt of size N (where t is the current generation, initially set to 0).
Step 2: Rank the initial population Pt based on fast non-dominated sorting and crowding distance calculation.
Step 3: Generate the offspring population Qt (size N) using selection, crossover, and mutation operators.
Step 4: Merge the parent population Pt and the offspring population Qt to form a hybrid population Rt (with a size of 2N).
Step 5: Calculate the objective function for each individual in the hybrid population Rt. Then, execute operations including fast non-dominated sorting, crowding distance calculation, and elite strategy to ultimately generate a new parent population Pt+1 of size N.
Step 6: Check if the termination condition is met. If it is, stop the program and output the result. If not, increment the iteration count and return to Step 3 to continue until the termination condition is met.

4. Results and Analysis

The optimization model developed in this study encompasses one branch canal, seven lateral canals, and all 26 drip irrigation systems within the study area. To demonstrate the optimization outcomes, the results analysis section selected three representative distribution canals (Lateral canal 1, Lateral canal 4, and Lateral canal 7) along with their subordinate drip irrigation systems. These canals exhibit variations in spatial distribution (head, middle, and tail sections) and differences in scale, ensuring that the analysis sample accurately reflects the overall operational status and optimization effects of the study area.
This study examines primary irrigation in the Wutai Branch Canal of the Daheyanzi Irrigation District, adopting a 10-day rotational irrigation cycle from mid-July 2023. For branch-lateral canal optimization, the objective was to minimize the sum of squared water deficit rates, solved using the SQP algorithm with parameters: maximum iterations kmax = 1000, maximum function evaluations neval, max = 10,000, step tolerance ϵstep = 1 × 10−6, optimality tolerance ϵopt = 1 × 10−6, and constraint tolerance ϵcon = 1 × 10−6. The multi-objective model for drip irrigation system optimization additionally incorporated the objective of minimizing water distribution time, solved using the NSGA-II algorithm. Parameters for NSGA-II included: population size Npop = 200, maximum iterations Gmax = 500, crossover probability pc = 0.9, crossover distribution exponent ηc = 20, mutation probability pm = 0.15, and mutation distribution exponent ηm = 20.
After identifying Pareto frontiers generated by NSGA-II, a final water distribution plan must be selected. This study employs the weighted sum method for decision-making. Given that the study area experienced water scarcity during July (the peak water demand period), along with concurrent drought and flooding phenomena (i.e., severe water shortages in some units and water surplus in others), fairness was prioritized when selecting the final plan. Accordingly, the square sum of water shortage rates (f1) was assigned a weight of ω1 = 0.6, while the water distribution time (f2) received a weight of ω2 = 0.4. After normalizing the objective values of all Pareto frontier solutions, the comprehensive evaluation score F was calculated, and the solution with the lowest F value was selected as the final plan.
F = ω 1 × f 1 + ω 2 × f 2
Parameter settings only establish the operational framework of the algorithm, while the reliability of optimization results must be validated through convergence diagnostics. As a deterministic gradient-based method, the convergence of the SQP algorithm is typically assessed by monitoring changes in the iteration curve [34]. For NSGA-II, a multi-objective evolutionary algorithm, its convergence behavior requires specialized performance metrics, and Hypervolume (HV) is a commonly used indicator to evaluate the convergence and distribution of the Pareto front [35]. Based on this, this paper diagnoses the algorithm’s convergence performance from the following two aspects.
Figure 8a illustrates the convergence process of the SQP algorithm in solving the first-order optimization problem. The value of the objective function shows a rapid decline during the initial iterations and then gradually stabilizes after the 49th iteration, indicating that the algorithm quickly converges to the neighborhood of the optimal solution. The degree of constraint violation drops below the preset tolerance of 10−6 after the 45th iteration, confirming that the final solution strictly meets all hydraulic constraints. The norm of the Lagrangian gradient also decreases below the tolerance threshold, verifying the first-order optimality of the solution. The overall convergence curve progresses smoothly without significant oscillations, demonstrating the applicability and stability of the SQP algorithm for this problem.
Figure 8b,c demonstrates the evolution of the HV metric (Hypervolume) for the NSGA-II algorithm when solving a typical ditch optimization problem, plotted against the number of evolutionary generations. The reference point is set at (1.2 × max f1, 1.2 × max f2) to ensure that all solutions remain within the hypercube defined by this reference. The graph reveals three distinct phases: Initially, the HV value surges, indicating rapid convergence to the true Pareto front and a significant improvement in solution quality. During the intermediate phase, the growth rate slows but the HV value continues to rise, reflecting the algorithm’s ability to conduct fine-tuned searches while maintaining population diversity. In the final phase, the HV value stabilizes, meeting the predefined convergence criteria, which confirms the algorithm’s successful convergence.

4.1. Model Solution

Table 6 compares the model’s solution with the actual water distribution process of Wutai Branch Canal in mid-July 2023, as provided by Jinghe Water Management Station. The overall water shortage rate decreased by 1.59%, while the sum of squares of the shortage rates dropped from 1.3 to 0.54. The optimized allocation time enabled irrigation water to reach fields more quickly, enhancing time utilization efficiency by 2.25% and water resource allocation efficiency by 1.59%. The optimized allocation time allows irrigation water to reach fields more rapidly via the canal system, significantly enhancing water distribution efficiency. For each typical distribution channel, although the allocation time was extended and the overall shortage rate increased in some instances, the sum of squares of the shortage rates still exhibited a certain degree of reduction compared to the actual distribution, notably improving water distribution fairness.
To more intuitively illustrate this improvement in fairness, Lorenz curves and the Gini coefficient were introduced to analyze the distribution of water shortage rates across all subsystems (lateral canals) (Figure 9). The Gini coefficient calculation formula is as follows:
G = 1 j = 1 N ( X j X j 1 ) ( Y j + Y j 1 )
where Xj denotes the cumulative percentage of subsystems (the cumulative proportion of the j-th subsystem in the total system, %); Yj represents the cumulative percentage of water shortage (the cumulative proportion of the water shortage rate of the j-th subsystem in the total water shortage rate of all subsystems, %). Additionally, X0 = 0, Y0 = 0.
Figure 9 demonstrates that prior to optimization, the Lorenz curves of water scarcity rates across subsystems deviated significantly from the 45% absolute fairness threshold, with a Gini coefficient reaching 0.56. This indicates a highly uneven distribution, where scarcity was concentrated in Subsystem 1 (79.01%) and Subsystem 5 (78.63%). After optimization, the Lorenz curves converged towards the diagonal, with the Gini coefficient dropping to 0.33, indicating a marked improvement in the scarcity distribution and enhanced fairness across the system. This phenomenon stems from the fact that the study area is inherently located in a water-scarce region where the incoming water cannot fully meet all demands. Consequently, subsystems with lower water scarcity rates must make partial sacrifices, which significantly reduces the scarcity rate in high-water-scarce subsystems. This reflects the trade-offs in resource allocation under global optimization objectives. Such trade-offs originate from the penalty mechanism for extreme water scarcity in optimization goals. By prioritizing the reduction in scarcity rates in high-water-scarce regions, the global sum of squared values is minimized, though at the cost of additional water supply pressure on some originally less water-scarce areas. In practical management, this can be addressed by setting minimum water supply guarantee thresholds or balancing interests through ecological compensation mechanisms to achieve more sustainable water resource allocation.

4.2. Comparative Analysis

4.2.1. Water Distribution Time

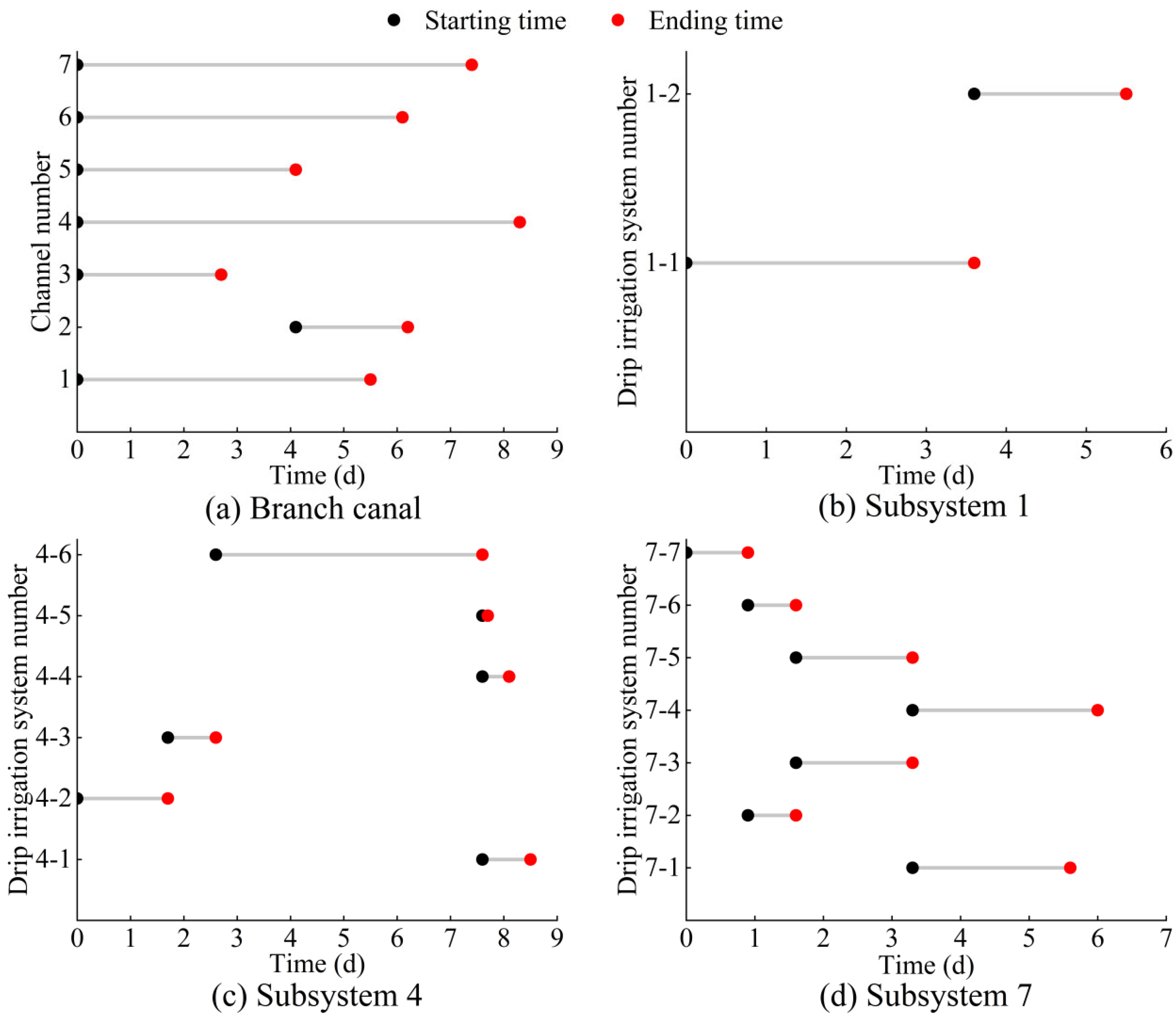
After multiple optimization iterations, the final water distribution plan achieved a total allocation time of 203.32 h, representing a 4.68-h reduction compared to the actual 208 h allocation time for the Wutai Branch Canal (Figure 10). As shown in Figure 11, the optimized allocation times for both the Wutai Branch Canal and typical irrigation systems indicate that all distribution channels and drip irrigation systems operate within the upstream channel’s allocation time frame, complying with rotational constraints. The branch canal adopts a continuous irrigation method because it can support simultaneous irrigation across multiple lateral channels. For lateral channels, the “continuous irrigation within groups, rotational irrigation between groups” approach is implemented to meet water diversion flow constraints. A comparative analysis between the actual allocation times [Figure 3a,b] and the optimized allocation times [Figure 11c,d] for Lateral canal 4 and Lateral canal 7 reveals that the optimized plan ensures full water supply to all drip irrigation systems within its control area. This approach minimizes the total water deficit while effectively reducing instances of insufficient irrigation and excessive water shortage rates, thereby achieving a more equitable and rational water resource allocation.

4.2.2. Water Distribution Flow

Figure 12 presents the frequency distribution of optimized flow-to-design flow for 34 optimized canals and pipelines. The x-axis represents the optimized flow-to-design flow (q/qd), while the y-axis shows the number of canals within corresponding ratio ranges, with a red dashed line marking the 0.9 reference threshold. The data reveals that all ratios fall within the model’s constraint range, predominantly clustered between 0.9 and 1. Notably, 24 canals (70.6% of the total) achieve ratios ≥ 0.9, indicating that optimized canals operate near their designed flow. The left-skewed histogram (with the peak distribution to the right) demonstrates the system’s ability to maintain higher flow rates post-optimization, enhancing water conveyance efficiency. Seven canals (20.6%) exhibit ratios below 0.8, primarily in drip irrigation systems due to their smaller designed flow rates and minimum flow coefficient constraints. This distribution pattern confirms that the optimized water distribution scheme effectively improves operational efficiency for most canals while meeting hydraulic capacity requirements, validating the effectiveness of the optimization approach.
The optimized water distribution scheme demonstrates significant improvements in flow rates across most canals compared to the original design, as shown in Figure 13a. During actual operation, nearly half of the canals maintained flow rates below 60% of their designed capacity, with the lowest reaching merely 33% of the design value. In contrast, the optimized system consistently operated within the maximum and minimum permissible flow ranges, achieving over 90% of the designed capacity. This approach effectively prevents efficiency losses caused by low flow rates while maximizing the canals’ hydraulic capacity.
Figure 13b–d compare the optimized water distribution flow rate with the actual and designed flow rates for a typical drip irrigation system in a canal. The results demonstrate that both the actual and optimized flow rates remain within the permissible range. Moreover, the optimized system achieves higher water coverage, enhances overall operational efficiency, and ensures efficient utilization and rational allocation of water resources.

4.2.3. Water Allocation

In this study, the actual water allocation was compared with the results of the optimized model. Using water demand as the benchmark, the actual water supply surplus rate and the optimized water supply surplus rate (calculated as the ratio of the difference between water allocation and water demand to water demand, where negative values indicate water shortage and positive values indicate water surplus) were calculated respectively. This allowed for the analysis of the two schemes.
Table 7 presents the statistical analysis of optimized water shortage rates for 34 branch canals, their subordinate sub-canals, and drip irrigation systems, illustrating the distribution of channels and drip irrigation systems across different water deficit levels. The data reveals a distribution pattern in which channels and drip systems with water shortage rates below 20% predominate. This indicates that the optimized water allocation scheme effectively meets the irrigation requirements for most subordinate channels under the Wutai Branch Canal system, ensuring basic agricultural production needs for farmers.
The optimized water distribution plan reduced the overall water shortage rate of branch canals from 24% to 22.28%. While a few distribution canals showed a slight increase in the shortage rate (Figure 14a), the increase was negligible. This approach effectively prevented high shortage rates during actual water allocation, resulting in a more balanced water distribution. Moreover, no significant instances of water shortages or excess supply were observed between drip irrigation systems [Figure 14c,d], thereby enhancing the fairness of water distribution.
Figure 15 illustrates the water supply–demand balance and surplus ratios for different crops in the Wutai Branch Canal. The drought rate of cotton decreased from 64% to 31%, while that of the forest belt dropped from 48% to 11%. The drought rate of alfalfa fell from 67% to 7%, and the water supply ratio of corn improved from 150% to 13%. Wheat, which was previously in a complete drought state, now has a 35% drought rate. The optimized water allocation plan not only reduced the drought rates of crops such as cotton and the forest belt but also prevented corn from receiving excessive water beyond its actual needs. This rational distribution of limited water resources maximizes the overall water utilization efficiency.

4.3. Uncertainty Analysis

In practical operations, the performance of the optimal solution S0 is affected by fluctuations in input parameters such as water inflow and demand. To evaluate its robustness, the Monte Carlo method was employed to apply ±10–20% perturbations to key parameters, including available water supply, irrigation quotas, and flow rates. Each simulation comprehensively accounts for the combined effects of all parameters. Under each scenario, the decision variables of the baseline solution S0 were fixed, and the actual water distribution time and water shortage rate were recalculated. The results of 10 simulations were statistically analyzed to obtain the performance distribution of S0 across different scenarios (Figure 16). The findings indicate that, after accounting for parameter uncertainties, the mean total water distribution time is 192.81 h with a standard deviation of 14.94 h, while the mean reduction in water shortage rate is −4.31% with a standard deviation of 14.94%.

5. Discussion

Under the current water resource allocation model in irrigation districts, farmers submit water demand applications based on their own experience, while management departments formulate water distribution plans according to water inflow, historical usage data, and farmers’ needs. This empirical allocation approach lacks a scientific basis in planning and involves outdated thinking patterns among personnel, making it difficult to meet the requirements of modern irrigation districts’ informatization and automation management. In recent years, with the advancement of digital transformation projects in irrigation districts, how to achieve scientific management of water transmission and distribution systems has gradually become a focal point of industry attention.
This study employs the large system decomposition and coordination theory to solve a two-tier water distribution model, aiming to identify the optimal allocation scheme for the study area. The results demonstrate that this theoretical framework effectively coordinates variables across two hierarchical levels, enabling rapid computation of optimal allocation solutions for each tier. These findings align with the conclusions presented by Dong Xiaozhi et al. [36]. Tang Xiaoyu et al. [37] and Wu Lingqin et al. [38] indicates that the NSGA-II algorithm significantly enhances water resource utilization efficiency. Zhang Yaqi [39] further confirms that rational water resource allocation leads to more uniform distribution processes, which corroborates the conclusions of this study.
Research indicates that the uncertainty analysis results differ significantly from the baseline scenario, revealing the limitations of deterministic optimization approaches. The baseline solution (203.32 h, +1.59%) is only valid when the input parameters precisely match the assumed values. However, in real-world irrigation systems, parameters such as water inflow and demand inevitably fluctuate. Under parameter perturbations, the system’s average water deficit rate actually increases (−4.31%) with significant volatility (standard deviation of 14.94%), demonstrating the scheme’s high sensitivity to parameter changes and the risk of being “optimal yet fragile.” Notably, while the uncertainty analysis based on 10 stochastic runs can reveal the fluctuation ranges, more refined probabilistic modeling (e.g., Bayesian methods) would enhance the robustness of the conclusions. The total water distribution time has shortened to 192.81 h, with a significantly larger standard deviation (14.94 h), indicating the optimizer’s ability to flexibly adjust the distribution durations under varying perturbation scenarios. The fluctuation range of 178–208 h can also serve as a reference interval for developing rotational irrigation plans.
This study has the following limitations: First, the analysis was carried out using a single irrigation cycle in mid-July, concentrating only on the most water-scarce period. The specific timing of water allocation restricts the generalizability of the conclusions. Given the seasonal variations and annual differences in hydrological conditions and crop water requirements, the optimization results and parameter settings may need to be recalibrated when applying this method to different hydrological years or full growth cycles. Second, the model calculation solely relied on irrigation quotas for water demand estimation, using fixed values for water requirements and inflow data without integrating real-time monitoring or short-term forecasts. Future practical applications should adopt more accurate water demand calculation methods. Finally, while optimizing water allocation efficiency, implementation must also take into account operational costs and staffing requirements. However, challenges in data collection hindered comprehensive data acquisition, leading to less intuitive comparisons that may impact the long-term reliability of optimization outcomes.

6. Conclusions

Research on optimized irrigation water distribution in irrigation districts is a critical direction for achieving rational water resource allocation, promoting water-saving agriculture, and advancing sustainable development. By adopting modern optimization techniques to develop water distribution plans, we can overcome the limitations of traditional empirical rotational irrigation methods in flow allocation and irrigation grouping. This approach effectively reduces uneven water distribution and resource wastage during irrigation, significantly improving water utilization efficiency. Based on the decomposition–coordination theory of large systems, this study decomposes the branch–ditch–drip irrigation system into a two-level progressive model, achieving coordinated optimization of irrigation water distribution between canal networks and field drip irrigation. Through hierarchical management of the distribution process, it ensures rational allocation of both water flow and timing. The main conclusions are as follows:
(1)
The optimized results were compared with the actual water distribution process in the irrigation district in mid-July 2023. The total water distribution time per irrigation session was reduced from 208 h to 203.32 h, which lowered labor costs. Moreover, 74% of the distribution channels and drip irrigation systems reached 90% of their designed flow rates, indicating that the optimization model effectively maximizes channel capacity and improves water delivery efficiency. Uncertainty analysis revealed that under parameter fluctuations (± 10% to 20%), the mean total water distribution time was 192.81 h with a standard deviation of 14.94 h, while the mean reduction in water shortage rate was −4.31% with a standard deviation of 14.94%. This indicates that the optimization scheme exhibits temporal robustness, but the improvement in water shortage rates shows significant fluctuations. In practical applications, risks arising from parameter uncertainties must be considered.
(2)
Compared to the current water distribution, the Gini coefficient decreased from 0.56 before optimization to 0.33 after optimization. The Lorenz curve converged toward the diagonal, indicating a significant improvement in water distribution fairness. Although the water shortage rate in some subsystems increased, by mid-July, the overall shortage rate of the five branch canals dropped from 24% to 22.41% (a reduction of 1.59%). The distribution of water shortage rates across drip irrigation systems became more balanced, reflecting the challenges of multi-level optimization in arid regions: it is difficult to simultaneously achieve optimal global objectives and local fairness. Ensuring full coverage of drip irrigation systems over time inevitably leads to insufficient water supply, requiring trade-offs based on actual needs. Meanwhile, the water shortage rates for staple crops like cotton and wheat were effectively controlled, ensuring the water demands of high-priority crops and enhancing the comprehensive utilization efficiency of water resources.
(3)
The optimization results demonstrate that, under the constraints of channel water supply capacity, the irrigation schedules of various drip irrigation systems were optimally coordinated. This achieved full-coverage irrigation within the same cycle, significantly improving management efficiency. The reduced Gini coefficient indicates more equitable water distribution among farmers during the current period, effectively mitigating water conflicts. Based on these findings, irrigation district managers are advised to establish multi-scenario water allocation plans during actual water distribution. By integrating short-term weather forecasts and water demand projections, they can dynamically adjust the allocation plans to address water flow uncertainties. When formulating rotational irrigation schedules, implementing a minimum water supply guarantee rate (e.g., prioritizing over 90% water demand for grain crops) can prevent chronic water shortages in individual systems.
This study, taking the Wutai Branch Canal in the Daheyanzi Irrigation District as a case, applies the SQP algorithm and NSGA-II algorithm based on the large-system decomposition and coordination theory to solve the model and achieves favorable results. These findings offer significant reference value for optimizing water resource allocation in irrigation districts. However, the research has certain limitations. The study is solely based on typical irrigation cycles, without considering dynamic changes in water demand or the time-varying characteristics of parameters. Future research could extend the model to the entire crop growth cycle, taking into account the differences in water demand at different growth stages and precipitation replenishment. By integrating monitoring data with short-term weather forecasts, real-time optimization and dynamic scheduling could be achieved. Additionally, introducing game theory or water market theory could explore water rights allocation mechanisms that balance fairness and efficiency.

Author Contributions

Conceptualization, C.Y. and J.L.; methodology, J.L.; software, J.L.; validation, C.Y. and J.L.; formal analysis, J.L.; investigation, S.Z. and J.L.; resources, C.Y. and S.Z.; data curation, J.L. and C.Y.; writing—original draft preparation, J.L.; writing—review and editing, C.Y.; visualization, J.L.; supervision, C.Y.; project administration, C.Y.; funding acquisition, C.Y. All authors have read and agreed to the published version of the manuscript.

Funding

This research was funded by the Xinjiang Uygur Autonomous Region Major Science and Technology Special Projects (grant number 2022A02003-5).

Institutional Review Board Statement

Not applicable.

Informed Consent Statement

Not applicable.

Data Availability Statement

The original contributions presented in this study are included in the article. Further inquiries can be directed to the corresponding author.

Conflicts of Interest

The authors declare no conflicts of interest.

References

  1. Tong, J.; Zbigniew, W.; Bu, S.; Miao, G.; Jian, Z.; Ying, L.; Heike, H. Editorial: Extreme hydro-meteorological events in a changing climate: Monitoring, risk assessment, and early warning. Front. Earth Sci. 2025, 13, 1650815. [Google Scholar] [CrossRef]
  2. Li, A. Optimization of Water Resource Allocation in a Typical Irrigation Areas of Hexi Inland Regions Considering Sensitivity of Crop Water Demand. Master’s Thesis, Northwest A&F University, Xianyang, China, 2025. [Google Scholar]
  3. Ma, H.; Jiang, P.; Zhang, X.; Liu, R.; Sun, Q.; Wang, L. Regulation of alfalfa growth, water and nitrogen utilization and distribution in arid region of Northwest China by optimizing irrigation method. Front. Plant Sci. 2025, 16, 1517398. [Google Scholar] [CrossRef] [PubMed]
  4. Zhao, W.; Ren, H.; Du, J.; Yang, R.; Yang, Q.; Liu, H. Thoughts and Suggestions on Oasis Ecological Construction and Agricultural Development in Hexi Corridor. Bull. Chin. Acad. Sci. 2023, 38, 424–434. [Google Scholar]
  5. Ministry of Water Resources of the People’s Republic of China. 2023 China Water Resources Bulletin; China Water Resources and Hydropower Press: Beijing, China, 2024.
  6. Gao, J.; Zhang, Y. Research on optimal water distribution in branch and lateral canals based on genetic algorithm optimized particle swarm algorithm. Water Sav. Irrig. 2023, 108–113+123. [Google Scholar] [CrossRef]
  7. Zhang, Z.; Zhang, J.; Guan, Q.; Luo, H.; Sun, Y.; Liu, H.; Li, X. Multi-objective optimal allocation and spatial distribution of water and land resources in Yellow River Basin irrigated farmland: A government-farmer duality perspective. J. Hydrol. 2025, 662, 134070. [Google Scholar] [CrossRef]
  8. Wang, Q.; Yue, C.; Li, Y.; Liu, X. Optimal allocation of water resources with two-level channel based on improved particle swarm optimization algorithm. Agric. Res. Arid. Areas 2019, 37, 26–33. [Google Scholar] [CrossRef]
  9. Wu, J.; Chen, J.; Han, Y.; Li, T. Study on Unsteady Flow Based on Optimized Water Distribution Model in Irrigation District. Sustainability 2020, 12, 1580. [Google Scholar] [CrossRef]
  10. Pi, Y.; Wang, W.; Hu, X.; Wang, C.; Zhang, B.; Wu, C. Multi-stage canal system and multi-objective water distribution optimization in large-scale irrigation districts and its application. J. Chin. Agric. Univ. 2025, 30, 183–193. [Google Scholar]
  11. Cao, K.; Liu, X.; Fu, Q.; Wang, Y.; Liu, D.; Li, T.; Li, M. Dynamic and harmonious allocation of irrigation water resources under climate change: A SWAT-based multi-objective nonlinear framework. Sci. Total Environ. 2023, 905, 167221. [Google Scholar] [CrossRef]
  12. Shen, L.; Hu, T.; Zhou, S.; Fu, G.; Huang, J. Study on optimal water distribution model of canal system for autumn irrigation in Hetao Irrigation Area based on SHAW model. J. Hydraul. Eng. 2020, 51, 458–467. [Google Scholar] [CrossRef]
  13. Ma, J.; Zhao, Z. Study on real time optimal water distribution model of canal system in irrigation district based on water demand process. Yellow River 2021, 43, 153–157+162. [Google Scholar] [CrossRef]
  14. Fan, Y.; Chen, H.; Gao, Z.; Chang, X. Canal water distribution optimization model based on water supply conditions. Comput. Electron. Agric. 2023, 205, 107565. [Google Scholar] [CrossRef]
  15. Wang, R.; Ren, D.; Jessen, S.; Xiong, L.; Jensen, K.; Huang, G. Enhancing the representation of multi-level canal systems and reactive transport of nitrate in agro-hydrological modelling of arid irrigation districts. J. Hydrol. 2025, 658, 133203. [Google Scholar] [CrossRef]
  16. Zheng, Q.; Yue, C.; Zhang, S.; Yao, C.; Zhang, Q. Optimal Allocation of Water Resources in Canal Systems Based on the Improved Grey Wolf Algorithm. Sustainability 2024, 16, 3635. [Google Scholar] [CrossRef]
  17. Gao, Y.; Chen, F.; He, C.; Shao, H.; Zhou, L. Water resources allocation in hierarchical canal systems via two-tier particale swarm optimization. Agric. Res. Arid. Areas 2025, 43, 192–202. [Google Scholar] [CrossRef]
  18. Wu, C.; Bai, M.; Zhang, B.; Shi, Y.; Hou, W.; Zhao, Z. Study on Optimized Regulation Mode of Irrigation District Water Distribution System Based on Water Hydrodynamic Process Simulation. Water Sav. Irrig. 2023, 87–95. [Google Scholar] [CrossRef]
  19. Fan, Y.; Chen, H.; Gao, Z.; Wang, Y.; Xu, J. Optimal water distribution model of canals considering the workload of managers. Irrig. Drain. 2023, 72, 182–195. [Google Scholar] [CrossRef]
  20. Liu, H. Water and Fertilizer Response of Forage Crops and Optimal Allocation of Irrigation Water Under Different Planting Patterns in Desert Area of Northern Xinjiang. Master’s Thesis, Inner Mongolia Agricultural University, Huhhot, China, 2021. [Google Scholar]
  21. Fan, Y.; Gao, Z.; Chen, H.; Wang, Y.; Fang, B.; Xu, N. Optimizing Water Distribution in Irrigation Canals Using the NSGA-II Algorithm. J. Irrig. Drain. Eng. 2023, 42, 130–135. [Google Scholar] [CrossRef]
  22. Miao, J.; Zhang, X.; Zhang, G.; Wei, T.; Zhao, Y.; Ma, W.; Chen, Y.; Li, Y.; Wang, Y. Applications and interpretations of different machine learning models in runoff and sediment discharge simulations. Catena 2024, 238, 107848. [Google Scholar] [CrossRef]
  23. Satic, U.; Jacko, P.; Kirkbride, C. A simulation-based approximate dynamic programming approach to dynamic and stochastic resource-constrained multi-project scheduling problem. Eur. J. Oper. Res. 2024, 315, 454–469. [Google Scholar] [CrossRef]
  24. Svensson, A.; Magnus, P. Production Planning of Cascaded Hydropower Stations using Approximate Dynamic Programming. IFAC PapersOnLine 2023, 56, 10069–10076. [Google Scholar] [CrossRef]
  25. Han, Y.; Sun, Z.; Huang, R.; Guo, S.; Yi, K.; Chen, J. Optimized water distribution model of irrigation district based on the backtracking search algorithm. Adv. Eng. Sci. 2020, 52, 29–37. [Google Scholar] [CrossRef]
  26. Mai, Z.; He, Y.; Feng, C.; Han, C.; Shi, Y.; Qi, W. Multi-objective modeling and optimization of water distribution for canal system considering irrigation coverage in artesian irrigation district. Agric. Water Manag. 2024, 301, 108959. [Google Scholar] [CrossRef]
  27. Tian, G.; Su, F.; Zou, H.; Lv, M.; Shen, J.; Qin, J.; Fan, X. Research on irrigation canal system water distribution based on tianniu swarm optimization algorithm. J. Irrig. Drain. 2022, 41, 96–103. [Google Scholar] [CrossRef]
  28. Pi, Y. Optimal Water Distribution Model of Multistage Canal System in Baojixia Irrigation District and Its Application. Master’s Thesis, Northwest A&F University, Xianyang, China, 2025. [Google Scholar]
  29. Li, M.; Zhou, W.; Zhao, Q.; Zhang, Z.; Chen, X. Design and Implementation of Water Resources Allocation Support System Based on Digital Twin in Irrigation Area. Yellow River 2024, 46, 195–196. [Google Scholar]
  30. Guo, S.; Zhang, F.; Zhang, C.; An, C.; Wang, S.; Guo, P. A Multi-Objective Hierarchical Model for Irrigation Scheduling in the Complex Canal System. Sustainability 2019, 11, 24. [Google Scholar] [CrossRef]
  31. Li, M.; Liu, W.; Fu, Q.; Li, H.; Zhao, L. Multi-layer and Multi-objective Coordinated Regulation of Agricultural Water Resources in Irrigation Districts with Water Supply Uncertainties Considered. J. Irrig. Drain. 2022, 41, 20–29. [Google Scholar] [CrossRef]
  32. Wang, Z. Irrigation and Drainage Engineering, 2nd ed.; China Agriculture Press: Beijing, China, 2010. [Google Scholar]
  33. Deb, K.; Pratap, A.; Agarwal, S.; Meyarivan, T. A fast and elitist multi-objective genetic algorithm: NSGA-II. IEEE Trans. Evol. Comput. 2002, 6, 182–197. [Google Scholar] [CrossRef]
  34. Chun, S.; Wen, X.; Xiong, C. Global convergence of a robust filter SQP algorithm. Eur. J. Oper. Res. 2010, 206, 34–45. [Google Scholar] [CrossRef]
  35. Antunes, C.; Dolores, M. Sensor location in water distribution networks to detect contamination events—A multiobjective approach based on NSGA-II. In Proceedings of the 2016 IEEE Congress on Evolutionary Computation (CEC), Vancouver, BC, Canada, 24–29 July 2016. [Google Scholar]
  36. Dong, X.; Xu, L.; Xu, Z. Research on the Optimal Allocation of Water Resources in Xingjiadu Irrigation Area Based on Large-Scale System Decomposition-Coordination Method. Yellow River 2021, 43, 82–88. [Google Scholar]
  37. Tang, X.; He, Y.; Peng, L.; Wang, J. Research on Multi-Objective Optimization of Xinjiang Cotton Irrigation System Based on CNSGA-II Algorithm. Water Sav. Irrig. 2020, 59–63+67. [Google Scholar]
  38. Wu, L.; Zhang, M.; Shen, X.; Li, Z.; Zhao, H.; Mai, Z. Research on the Combined Model of Water Resources Transfer and Distribution in Ganfu Plain Irrigation Area Based on Multi-objective Optimization. Water Sav. Irrig. 2025, 59–63+67. [Google Scholar] [CrossRef]
  39. Zhang, Y. Study on Real-Time Optimal Water Distribution Technology in Medium-Sized Irrigation District—A Case Study of Sanliuzhai Yellow River Irrigation District. Master’s Thesis, North China University of Water Resources and Electric Power, Zhengzhou, China, 2023. [Google Scholar]
Figure 1. Map of Wutai Branch Canal.
Figure 1. Map of Wutai Branch Canal.
Sustainability 18 03217 g001
Figure 2. Generalized map of the study area.
Figure 2. Generalized map of the study area.
Sustainability 18 03217 g002
Figure 3. Actual water distribution time diagram of typical canal system (d = day). (a) Subsystem 4. (b) Subsystem 7.
Figure 3. Actual water distribution time diagram of typical canal system (d = day). (a) Subsystem 4. (b) Subsystem 7.
Sustainability 18 03217 g003
Figure 4. Diagram of large system decomposition and coordination.
Figure 4. Diagram of large system decomposition and coordination.
Sustainability 18 03217 g004
Figure 5. Algorithm flow chart. (a) The Sequential Quadratic Programming Algorithm. (b) The Non-Dominated Sorting Genetic Algorithm.
Figure 5. Algorithm flow chart. (a) The Sequential Quadratic Programming Algorithm. (b) The Non-Dominated Sorting Genetic Algorithm.
Sustainability 18 03217 g005
Figure 6. Distributive relationship diagram.
Figure 6. Distributive relationship diagram.
Sustainability 18 03217 g006
Figure 7. Block diagram of elite retention strategy implementation.
Figure 7. Block diagram of elite retention strategy implementation.
Sustainability 18 03217 g007
Figure 8. Convergence curve. (a) Iteration curve of SQP algorithm. (b) Convergence curve of NAGA-II algorithm for subsystem 1. (c) Convergence curve of NAGA-II algorithm for subsystem 4. (d) Convergence curve of NAGA-II algorithm for subsystem 7. Note: SQP algorithm = The Sequential Quadratic Programming; NAGA-II algorithm = The Non-Dominated Sorting Genetic Algorithm.
Figure 8. Convergence curve. (a) Iteration curve of SQP algorithm. (b) Convergence curve of NAGA-II algorithm for subsystem 1. (c) Convergence curve of NAGA-II algorithm for subsystem 4. (d) Convergence curve of NAGA-II algorithm for subsystem 7. Note: SQP algorithm = The Sequential Quadratic Programming; NAGA-II algorithm = The Non-Dominated Sorting Genetic Algorithm.
Sustainability 18 03217 g008
Figure 9. Lorenz curves and Gini coefficients of water shortage distribution among subsystems before and after optimization.
Figure 9. Lorenz curves and Gini coefficients of water shortage distribution among subsystems before and after optimization.
Sustainability 18 03217 g009
Figure 10. Actual water distribution time chart (d = day). (a) Branch canal. (b) Subsystem 1.
Figure 10. Actual water distribution time chart (d = day). (a) Branch canal. (b) Subsystem 1.
Sustainability 18 03217 g010
Figure 11. Optimization water distribution time chart (d = day). (a) Branch canal. (b) Subsystem 1. (c) Subsystem 4. (d) Subsystem 7.
Figure 11. Optimization water distribution time chart (d = day). (a) Branch canal. (b) Subsystem 1. (c) Subsystem 4. (d) Subsystem 7.
Sustainability 18 03217 g011
Figure 12. Distribution of traffic ratio across canals.
Figure 12. Distribution of traffic ratio across canals.
Sustainability 18 03217 g012
Figure 13. Comparison chart of flow. (a) Branch canal. (b) Subsystem 1. (c) Subsystem 4. (d) Subsystem 7.
Figure 13. Comparison chart of flow. (a) Branch canal. (b) Subsystem 1. (c) Subsystem 4. (d) Subsystem 7.
Sustainability 18 03217 g013
Figure 14. Comparison of water supply and water demand and surplus rate. (a) Branch canal. (b) Subsystem 1. (c) Subsystem 4. (d) Subsystem 7.
Figure 14. Comparison of water supply and water demand and surplus rate. (a) Branch canal. (b) Subsystem 1. (c) Subsystem 4. (d) Subsystem 7.
Sustainability 18 03217 g014
Figure 15. Comparison of crop water supply and water demand and surplus rate.
Figure 15. Comparison of crop water supply and water demand and surplus rate.
Sustainability 18 03217 g015
Figure 16. Uncertainty Analysis Diagram. (a) Time. (b) Water shortage rate.
Figure 16. Uncertainty Analysis Diagram. (a) Time. (b) Water shortage rate.
Sustainability 18 03217 g016
Table 1. Comparison of differences between the current study and previous studies.
Table 1. Comparison of differences between the current study and previous studies.
Contrast DimensionPrevious StudiesCurrent Study
Research levelTwo-stage canal system with branch and lateral canals or three-stage canal system with main, branch, and lateral canals.Expansion into the field: Based on the two-level canal system of the branch canal and the lateral canal, the drip irrigation system is incorporated to realize the joint scheduling of the “branch and lateral canal system-field drip irrigation system”.
Optimization methodDifferent levels typically employ the same objective function and a unified optimization algorithm.Set different objective functions for different levels of requirements and solve them using appropriate algorithms.
Table 2. Basic parameter information of the study area.
Table 2. Basic parameter information of the study area.
SubsystemNameNumberDesign Flow (m3/s)Irrigated Area (hm2)
Wutai Branch Canal01.82617
Lateral canal 110.15246.93
Lateral canal 220.378.67
Lateral canal 330.170
Lateral canal 440.71284.13
Lateral canal 550.2311.67
Lateral canal 660.2280
Lateral canal 770.2345.6
Subsystem 1Drip irrigation system 11-10.2156.67
Drip irrigation system 21-20.290.27
Subsystem 2Drip irrigation system 32-10.154
Drip irrigation system 42-20.114.8
Drip irrigation system 52-30.19.87
Subsystem 3Drip irrigation system 63-10.163.34
Drip irrigation system 73-20.16.67
Subsystem 4Drip irrigation system 84-10.273.33
Drip irrigation system 94-20.6176.67
Drip irrigation system 104-30.7515.33
Drip irrigation system 114-40.340
Drip irrigation system 124-50.28
Drip irrigation system 134-60.8470.8
Subsystem 5Drip irrigation system 145-10.12
Drip irrigation system 155-20.2289.13
Drip irrigation system 165-30.120.53
Subsystem 6Drip irrigation system 176-10.253.33
Drip irrigation system 186-20.190.67
Drip irrigation system 196-30.2136
Subsystem 7Drip irrigation system 207-10.1560
Drip irrigation system 217-20.240
Drip irrigation system 227-30.1561.07
Drip irrigation system 237-40.180
Drip irrigation system 247-50.157.87
Drip irrigation system 257-60.113.33
Drip irrigation system 267-70.1533.33
Table 3. Supply and demand water balance analysis table.
Table 3. Supply and demand water balance analysis table.
TimeMarchAprilMayJuneJulyAugustSeptember
Water supply (×104 m3)9.8179.06170.39284.16297.24260.6448.20
Water demand (×104 m3)45.6181.20183.15292.73373.56281.7435.62
Residual water (×104 m3) 12.58
Water shortage (×104 m3)35.802.1412.758.5776.3221.10
Table 4. Analysis table of water balance of supply and demand of different crops in 2023.
Table 4. Analysis table of water balance of supply and demand of different crops in 2023.
Crop VarietiesCottonCornWheatAlfalfaForest Belt
Water supply (×104 m3)356.81391.73156.104.03240.93
Water demand (×104 m3)551.37338.38111.9734.80257.08
Residual water (×104 m3) 53.3544.13
Water shortage (×104 m3)194.56 30.7716.15
Table 5. Basic Information of Electromechanical Well.
Table 5. Basic Information of Electromechanical Well.
Name of Electrical WellThe Drip Irrigation System Belongs ToPlanned Water Supply (×104 m3)Allow Depth Reduction (m)Water Pump Power (kW)
Li Jinsong 7 Electromechanical WellDrip irrigation system 130.7513037
Yerken Electromechanical WellDrip irrigation system 131.01510045
Ailibusen Electromechanical WellDrip irrigation system 13512045
Zhang Yongwei 1 Electromechanical WellDrip irrigation system 15215037
Zhang Yongwei 2 Electromechanical WellDrip irrigation system 151.2517037
Table 6. Comparison of calculation results.
Table 6. Comparison of calculation results.
Typical Canal SystemCalculation MethodWater Shortage Rate/%Time/hSum of Squares of Water Shortage Rate
Wutai Branch CanalActual water distribution24.002081.30
Optimal water distribution22.41203.320.54
Subsystem 1Actual water distribution79.01241.20
Optimal water distribution7.631320.02
Subsystem 4Actual water distribution8.401847.14
Optimal water distribution10.90203.320.26
Subsystem 7Actual water distribution17.052045.28
Optimal water distribution36.00176.770.91
Table 7. Distribution of water deficiency rate.
Table 7. Distribution of water deficiency rate.
Water Shortage Rate Range0–20%20–40%40–60%60–80%80–100%
Quantitative distribution217510
Proportion/%62211530
Disclaimer/Publisher’s Note: The statements, opinions and data contained in all publications are solely those of the individual author(s) and contributor(s) and not of MDPI and/or the editor(s). MDPI and/or the editor(s) disclaim responsibility for any injury to people or property resulting from any ideas, methods, instructions or products referred to in the content.

Share and Cite

MDPI and ACS Style

Li, J.; Yue, C.; Zhang, S. A Two-Level Optimal Water Allocation Model for Canal-Drip Irrigation Systems Based on Decomposition–Coordination Theory. Sustainability 2026, 18, 3217. https://doi.org/10.3390/su18073217

AMA Style

Li J, Yue C, Zhang S. A Two-Level Optimal Water Allocation Model for Canal-Drip Irrigation Systems Based on Decomposition–Coordination Theory. Sustainability. 2026; 18(7):3217. https://doi.org/10.3390/su18073217

Chicago/Turabian Style

Li, Jingzheng, Chunfang Yue, and Shengjiang Zhang. 2026. "A Two-Level Optimal Water Allocation Model for Canal-Drip Irrigation Systems Based on Decomposition–Coordination Theory" Sustainability 18, no. 7: 3217. https://doi.org/10.3390/su18073217

APA Style

Li, J., Yue, C., & Zhang, S. (2026). A Two-Level Optimal Water Allocation Model for Canal-Drip Irrigation Systems Based on Decomposition–Coordination Theory. Sustainability, 18(7), 3217. https://doi.org/10.3390/su18073217

Note that from the first issue of 2016, this journal uses article numbers instead of page numbers. See further details here.

Article Metrics

Back to TopTop