Next Article in Journal
Sustainable Work and Comparing the Impact of Organizational Trust on Work Engagement Among Office and Production Workers in the Korean Food Manufacturing Industry
Previous Article in Journal
An ESG-Oriented Sustainable Business Model for Paint Industry Supply Chain in Indonesia
 
 
Font Type:
Arial Georgia Verdana
Font Size:
Aa Aa Aa
Line Spacing:
Column Width:
Background:
Article

Enhancing Phytoremediation of Heavy Metal-Contaminated Aridic Soil Using Olive Mill Wastewater, Sulfur, and Chelating Agents

1
Soil Science Department, College of Food and Agriculture Sciences, King Saud University, Riyadh 13362, Saudi Arabia
2
Department of Environmental Science, University of Arizona, 429 Shantz Bldg, Tucson, AZ 85721, USA
*
Author to whom correspondence should be addressed.
Sustainability 2025, 17(8), 3745; https://doi.org/10.3390/su17083745
Submission received: 24 March 2025 / Revised: 8 April 2025 / Accepted: 16 April 2025 / Published: 21 April 2025

Abstract

Soil contamination with heavy metals (HMs) poses a significant environmental threat. Phytoremediation, a sustainable and eco-friendly emerging bioremediation approach, utilizes plants to remove, immobilize, or stabilize soil contaminants. This study examines the interactive effects of sulfur (S), ethylenediaminetetraacetic acid (EDTA), and olive mill wastewater (OMW) on HM uptake and the growth of maize (Zea mays L.) and mustard (Brassica juncea). Mustard exhibited superior dry matter (DM) yield (2.4 g/pot with 5% OMW), nutrient uptake, and tolerance to metal toxicity. The translocation factor (TF) and bioaccumulation factor (BF) for maize and mustard plants vary significantly with different treatments. For maize, the S 2T/ha treatment achieved the highest TF and BF for cadmium (Cd), while 5% OMW led to maximum chromium (Cr) and manganese (Mn) uptake. In mustard, 5% OMW treatment resulted in the greatest bioconcentration factor (BCF) for cadmium (Cd), lead (Pb), and zinc (Zn), whereas sulfur application yielded the highest TF for Cd. The 5% OMW treatment overall enhanced HM uptake most significantly. Lower sulfur application rate (1 ton/hectare) increased the availability Cd and Pb, boosting plant growth and nutrient uptake. For instance, 1 ton/hectare of sulfur elevated Cd availability to 24.102 mg·kg−1 in maize and 58.705 mg·kg−1 in mustard. EDTA treatments further improved metal bioavailability, increasing Cd levels in maize (10.09 mg·kg−1) and mustard (7.78 mg·kg−1). Mustard’s superior tolerance and nutrient efficiency identify it as a promising candidate for phytoremediation of HM-contaminated soils in arid regions. Innovative treatments with sulfur, EDTA, and olive mill wastewater significantly enhance soil decontamination and plant growth.

1. Introduction

Rapid industrial and agricultural expansion has led to widespread soil contamination with heavy metals (HMs), originating from both natural processes and human activities such as mining, metallurgy, agricultural practices, the use of leaded gasoline and paints, and the disposal of industrial waste. These activities have substantially increased HM concentrations in soils, posing significant environmental challenges [1,2,3].
Various techniques have been developed to remediate HM-contaminated soils, including physical, chemical, and biological methods. Physical approaches such as soil replacement, solidification, and vitrification aim to remove or contain pollutants, while chemical methods, including reduction, oxidation, precipitation, and adsorption, modify the chemical state of contaminants to reduce their mobility [4,5,6]. Biological techniques, particularly phytoremediation, employ plants to extract or immobilize HMs, providing a cost-effective and eco-friendly solution to soil remediation [7]. Elevated pH, electrical conductivity (EC), and calcium carbonate content in arid soils often hinder the survival and performance of hyperaccumulator plants, necessitating the adoption of integrated approaches to enhance phytoremediation efficiency.
Soil amendments such as olive mill wastewater (OMW), ethylenediaminetetraacetic acid (EDTA), and elemental sulfur (S) have shown promise in improving HM bioavailability and supporting plant growth in contaminated soils [8,9].
OMW, a by-product of olive oil production, enriches soil properties like organic carbon, nitrogen, and trace elements, enhancing HM phytoextraction [10]. The application of olive mill wastewater (OMW) as a soil amendment has been shown to improve several soil properties, including total organic carbon, total nitrogen, available phosphorus, exchangeable potassium, and available trace elements [11]. Studies indicate that OMW application increases the uptake of metals such as arsenic (As), lead (Pb), and zinc (Zn) by plants, thereby aiding in soil decontamination [12].
EDTA, a potent chelating agent, improves HM solubility and facilitates their uptake by plants during phytoextraction [13]. Its application has been recognized as effective in enhancing the availability of metals in soil, although its persistence in the environment requires careful management to mitigate potential groundwater contamination [14,15].
Elemental sulfur (S) amendments contribute to lowering soil pH and increasing HM solubility through microbial oxidation. This process enhances metal availability for plant uptake, while sulfur also serves as an essential nutrient that promotes robust plant root systems, enabling better metal absorption. Furthermore, sulfur influences the microbial community in the rhizosphere, potentially facilitating HM immobilization or transformation by microorganisms [11].
This study aimed to investigate the effectiveness of these soil amendments—elemental sulfur, OMW, and EDTA—in enhancing HM uptake, translocation, and nutrient availability in plants. By targeting arid soils, the study explores innovative strategies to improve phytoremediation efficiency while leveraging mustard’s superior tolerance and capacity for HM uptake. The findings offer insights into sustainable solutions for remediating contaminated environments.

2. Materials and Methods

2.1. Soil Sampling

The soil samples used in this study obtained from the Mahad Ad Dahab area, situated approximately 170 km southeast of Medina city in western Saudi Arabia (coordinates: 23.275° N to 23.575° N and 40.625° E to 40.925° E). The soil collected from this site is situated near a mining area, which is likely responsible for the increased concentrations of heavy metals (HMs) found in the soil. The geological setting of Mahad Ad Dahab is characterized by Precambrian volcanic and sedimentary rocks, as well as intrusive igneous rocks. These rocks formations host a variety of valuable mineral deposits, including gold, silver, copper, zinc, lead, iron, and nickel [16]. Previous studies [17] have indicated potential HMs contamination at the Mahad Ad Dahab mine site, with measured concentrations of Cd, Co, Cr, Cu, Fe, Ni, Pb, and Zn found to be 18.1, 10.6, 34.7, 1100, 27,400, 22.8, 782, 2870 mg·kg−1, respectively [18]. The soil samples were collected randomly from 30 points at the same site at depth of 0–30 cm. Then, all samples were mixed to form a composite sample, which was immediately transported to the lab for further characterization.

2.2. Soil Analyses

The pH of the soil extract was determined using a pH meter (Model HI2211, Hanna Instruments, Woonsocket, RI, USA) in a 1:5 soil-to-water ratio. Electrical conductivity (EC) of the saturated soil extract was measured using an EC meter (Model CM35, Delta OHM, Caselle di Selvazzano, Italy) according to the method described in [19]. Soil texture was determined using the hydrometer (Model 152H, Soiltest Inc., Evanston, IL, USA) method [20]. Calcium carbonate content was estimated using calcimeters (Model GASTEC GV-100, Gastec Corporation, Kanagawa, Japan) according to Page et al. [19]. The concentrations of DTPA-extractable HMs in soils were determined according to Lindsay and Norvell [21]. Total concentrations of Cd, Cr, Cu, Ni, Pb, Zn, and Mn in soil samples were digested using a mixture of concentrated acids such as hydrofluoric acid (HF), sulfuric acid (H2SO4), and perchloric acid (HCLO4) [22]. The digested samples were therefore analyzed for their HMs using ICP-OES (Inductively Coupled Plasma Optical Emission Spectroscopy) (ICP-OES; Model Optima 8000, PerkinElmer Inc., Waltham, MA, USA).
To ensure the accuracy and reliability of analytical measurements, strict quality control protocols were followed. Instruments for soil pH, EC, texture, and calcium carbonate analyses were calibrated daily with standard reference solutions. For heavy metal analysis using ICP-OES, calibration curves were generated with multi-element standards and verified with quality control standards every 10 samples. Reagent blanks were used to monitor contamination, and 10% of samples were analyzed in duplicate to assess precision.

2.3. Bioaccumulation Factor (BF)

The bioaccumulation factor (BF), which indicates the plant’s ability to accumulate HMs from soil into its body, was calculated as the proportion between the average HMs concentration in the soil and the average HMs content in plant shoot. This study followed the methods of [23,24,25,26] in which the bioaccumulation factor (BF) was calculated as the ratio of HM concentration in shoots to that in soil.
BF = C 1 C 2
where C1 and C2 represent the average concentrations of a metal in plants and soil, respectively.

2.4. The Translocation Factor (TF)

The translocation factor (TF), which is the ratio of metal concentration in the roots to that in the shoots, was used to measure the ability of a plant to transfer metals from the roots to the shoots. It is calculated according to the following equation [27,28]:
TF = M 1 M 2
where M1 and M2 are the average concentrations of metals in the shoots and roots, respectively.

2.5. Greenhouse Study

The greenhouse experiment was conducted at the college of food and agriculture greenhouse. A completely randomized design with three replicates was used to assign the study treatments. The study used three phytoremediation amendments and control. Each amendment was applied at two rates as follows: sulfur (1 and 2 ton/ha), olive mill wastewater (OMW; 5% and 10%), EDTA (25 and 50 mmol·kg−1), and a mixture of the three treatments at low and high rates, along with a control (S0) resulting in 9 treatments (9 treatments × 3 replicates).
Soils were sieved, and 5 kg of soil was put in each pot. Six seeds of mustard and maize were sown in each pot with three replicates. All plant species were thinned to 3 plants per pot after 7 days of cultivation. Intercultural operations, such as weeding and watering, were performed as needed to ensure normal plant growth. At the end of the experiment, both plants were harvested (shoots and roots), and their wet and dry weights were recorded according to [28]. The total HM content in the shoots and roots was determined. The soil’s chemical properties after harvesting, such as pH, N, P, K, and EC, as well as DTPA-extractable HMs and total HMs, were analyzed at the Soil Sciences Department, King Saud University.

2.6. Statistical Analysis

The data were analyzed using statistical software. Descriptive statistics, such as mean and standard error, were calculated using Statistic8. Data visualization was performed using Origin pro (V. 6.0). To compare heavy metal concentrations across different sites, one-way ANOVA followed by a least significant difference (LSD) test were performed at a 5% significance level using Statistic8.

3. Results

3.1. Soil Physical and Chemical Properties

The basic physical and chemical properties of the soil used in the greenhouse experiment are given in Table 1. The soil is alkaline (pH 8.4), which can affect nutrient availability, including HMs [1]. It has low salinity (EC 83 µS/cm) and is predominantly sandy (70%), with lower proportions of silt (20%) and clay (10%). The presence of calcium carbonate (5.5%) indicates calcareous soil, which can influence pH and nutrients availability. The soil is low in nitrogen (0.06%) and phosphorus (0.064%), both crucial for plant growth and development. Potassium levels (0.9%) are moderate, essential for plant growth and stress resistance. The total concentrations of HMs in were as follows: Cd (53.6 mg·kg−1), Pb (84.9 mg·kg−1), Cu (47.1 mg·kg−1), Ni (53.1 mg·kg−1), Zn (106.4 mg·kg−1), and Mn (1168 mg·kg−1), as shown in Table 1. These values indicate that the soil is contaminated with heavy metals.

3.2. Dry Matter

Dry matter (DM) for maize is presented in Figure 1a. The results of the control treatment (S0) showed a DM of 1.0 g/pot. The sulfur treatment at 1 ton/ha resulted in a slightly higher DM of 1.1 g/pot, while sulfur at 2 ton/ha yielded a lower DM of 0.9 g/pot. EDTA treatments at 25 and 50 mmol·kg−1 showed significantly higher shoot DM values of 1.5 and 1.3 g/pot, respectively, compared to the sulfur treatments. Olive mill wastewater (OMW) treatments at 5% and 10% showed DM values of 1.4 and 1.2 g/pot, respectively. However, the mixture treatments (mix low and mix high) showed DM values of 1.1 and 1.2 g/pot, respectively (Figure 1a).
DM for mustard is given in Figure 1b. The control (S0) treatment resulted in a DM of 0.9 g/pot. Sulfur at 1 ton/ha increased shoot DM to 1.5 g/pot, while sulfur at 2 ton/ha decreased it to 1.2 g/pot. EDTA treatments at 25 and 50 mmol·kg−1 showed the highest DM values of 2.2 and 2.3 g/pot, respectively, significantly greater than all previous treatments. OMW treatments at 5% and 10% produced 2.4 and 1.9 g/pot DM, respectively. Mixture treatments (low and high) showed DM values of 1.9 and 2.2 g/pot, respectively.

3.3. HMs Contents in Maize and Mustard Shoots

Figure 2 illustrates the impact of various soil amendments on HM accumulation in maize and mustard shoots. Under control conditions (no amendments), maize exhibited a Cd concentration of 1 mg·kg−1, while mustard shoots had a higher baseline level of 12 mg·kg−1, as shown in Figure 2c,d. Maize shoots showed the highest Cd accumulation following application of sulfur at a lower rate (47.25 mg·kg−1). In contrast, mustard shoots displayed a significant increase (189.75 mg·kg−1) with sulfur applied at 1 ton/hectare. Conversely, EDTA treatments effectively reduced Cd levels in both plants. Maize shoots showed a minimal Cd concentration of 0.52 mg·kg−1 (Figure 2a), while mustard shoots had a Cd concentration of 9.5 mg·kg−1 (Figure 2d).
Chromium (Cr) accumulation patterns differed between maize and mustard. Maize shoots exhibited the highest Cr concentration (23 mg·kg−1) (Figure 2a) following treatment with lower-rate olive mill wastewater (OMW). In contrast, mustard shoots displayed a peak Cr level of 66 mg·kg−1 under high EDTA application (50 mmol·kg−1) (Figure 2c), as shown in Figure 2. Both sulfur and higher OMW treatments resulted in decreased Cr concentrations in both plants. Notably, mustard shoots showed a more pronounced reduction in Cr levels following sulfur amendments (Figure 2c).
Mn accumulation was highest in maize shoots for OMW-5%, EDTA-25 mmol·kg−1, and sulfur amendments, whereas mustard shoots showed the highest Mn levels (114.5 mg·kg−1) with 10% OMW, as illustrated in Figure 2d. EDTA significantly lowered Mn in both plants, with mustard shoots exhibited a more substantial decrease to 13.5 mg·kg−1 at 25%.
Under control conditions (no amendments), maize shoots had a higher Ni concentration (30 mg·kg−1) compared to mustard shoots (25.5 mg·kg−1) (Figure 2b,c, respectively). Amendments effectively reduced Ni in mustard shoots. Notably, sulfur applied at 2 t/ha significantly reduced Ni content to 0.675 mg·kg−1. In contrast, maize shoots showed moderate reductions in Ni (to 10–20 mg·kg−1) with most treatments. Interestingly, EDTA at 50 mmol·kg−1 increased Ni concentration in mustard shoots (44 mg·kg−1), exceeding the levels observed in maize (Figure 2c).
Pb concentrations peaked in maize shoots with treatments such as OMW-10% and sulfur, while mustard shoots reached a peak of 94 mg·kg−1 under 10% OMW, indicating higher Pb uptake in mustard shoots under certain conditions, as detailed in Figure 2c,d.
For Zn, maize shoots recorded its highest concentration under the Mix–Low treatment (30.3 mg·kg−1), while mustard shoots had elevated Zn levels (53.75 mg·kg−1) with 5% OMW treatment, as seen in Figure 2d. EDTA treatments enhanced Zn bioavailability in both plants, with mustard shoots generally showing higher Zn uptake across similar treatment conditions.

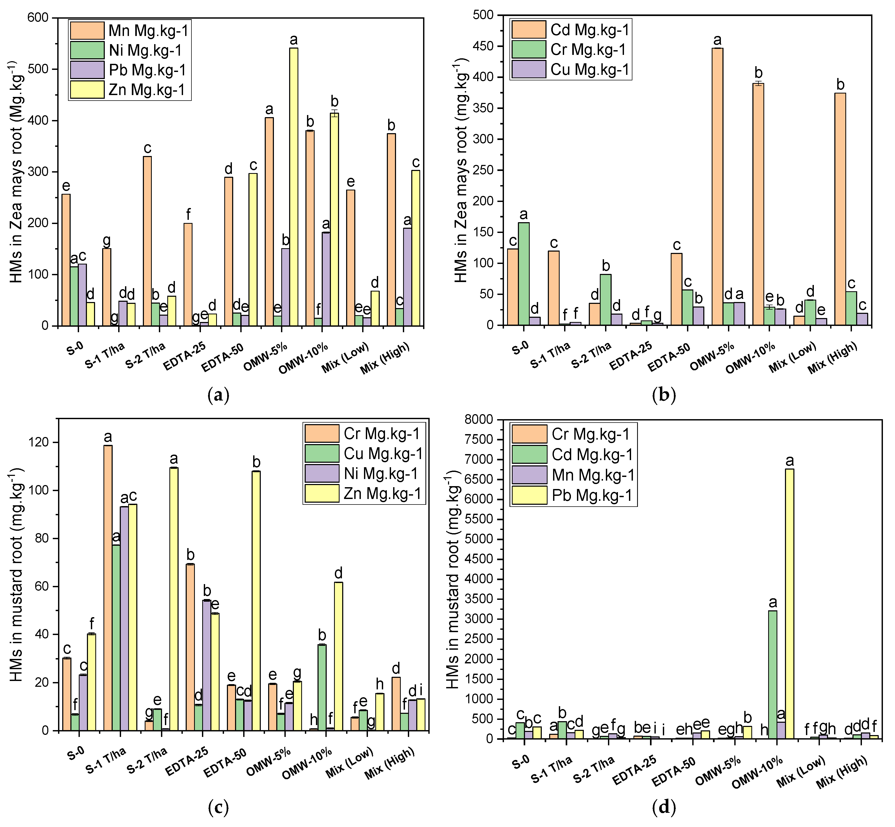
3.4. HMs Content in Maize and Mustard Roots

Accumulation of HMs in roots of maize and mustard is given in Figure 3. Accumulation of Cd in maize roots under control conditions (S0) showed high levels of Cd (123 mg·kg−1) compared to a slightly lower in mustard roots at 119.75 mg·kg−1. Mustard roots exhibited a peak in Cd accumulation of 46.75 mg·kg−1 when treated with 5% OMW. This indicates that both plants respond similarly to high Cd availability induced by OMW, though maize had a higher baseline Cd level under untreated conditions.
For Cr, both maize and mustard roots showed high levels under control conditions (165.5 mg·kg−1) (Figure 3b). Sulfur at 1 t/ha significantly reduced Cr in both plants, with maize showing a decrease to 2.25 mg·kg−1 and mustard matching this reduction. When sulfur was increased to 2 t/ha, Cr levels decreased to 82 mg·kg−1 in maize, while mustard showed a slightly higher reduction to 54.25 mg·kg−1 under 10% OMW treatment (Figure 3c).
Mn levels in maize roots were 256.5 mg·kg−1 under control conditions Figure 3a, which matched the baseline for mustard. Sulfur at 1 t/ha reduced Mn in mustard to 150.75 mg·kg−1 (Figure 3d) but increased it to 330 mg·kg−1 at 2 t/ha in maize, showing a contrasting response to sulfur between the two plants. Mn levels peaked in both plants with 5% OMW treatment, reaching 405.75 mg·kg−1 in maize and similar levels in mustard, indicating that OMW significantly enhances Mn bioavailability across both species.
For Pb, the control conditions indicated higher Pb levels in maize roots (182 mg·kg−1) (Figure 3a) compared to mustard (120.5 mg·kg−1) (Figure 3d). Sulfur at 1 t/ha reduced Pb in mustard to 48.25 mg·kg−1, while in maize, Pb levels decreased to 6.75 mg·kg−1 with 2 t/ha sulfur treatment. The Pb concentration increased in both plants with 10% OMW, reaching 190.25 mg·kg−1 in maize and 94 mg·kg−1 in mustard, demonstrating that higher OMW concentrations elevate Pb levels similarly in both plants.
Zn uptake in maize roots was extremely high when treated with 5% OMW (541.25 mg·kg−1) (Figure 3a), matching the levels observed in mustard. Under control conditions, Zn levels were moderate in maize roots, but mustard roots accumulated significantly higher Zn at 414.25 mg·kg−1 with 50 mmol·kg−1 EDTA (Figure 3c), showing that both plants respond strongly to EDTA and OMW treatments by significantly increasing Zn uptake.

3.5. Extractable DTPA

Figure 4a–d depict available heavy metal (HM) concentrations in soil post-harvest. Control treatments revealed consistently lower HM availability in mustard (e.g., Cd at 0.005 mg·kg−1) (Figure 4c) compared to maize (Cd at 6.471 mg·kg−1) (Figure 4b), reflecting distinct baseline soil metal levels. Application of sulfur at 1 t/ha resulted in moderate increases in Cd (24.102 mg·kg−1), Mn (3.534 mg·kg−1), and Pb (15.382 mg·kg−1) in maize (Figure 4b), while mustard exhibited a more substantial increase, particularly for Pb (103.885 mg·kg−1) and Cd (58.705 mg·kg−1) (Figure 4c), indicating a stronger interaction with sulfur. Sulfur at 2 t/ha reduced Cd in both crops, but differentially impacted Mn, increasing it in maize (8.538 mg·kg−1) Figure 4b and decreasing it in mustard (4.398 mg·kg−1) (Figure 4c). EDTA treatment significantly elevated Pb and Cd in both plants, with mustard demonstrating higher Pb availability (e.g., 35.135 mg·kg−1 at 25 mmol·kg−1) (Figure 4c), compared to maize (34.563 mg·kg−1) (Figure 4b). Olive mill wastewater (OMW) at 5% maintained low HM availability in both plants but 10% led to increased levels, with mustard showing more pronounced increases in Pb (65.342 mg·kg−1) and Cd (13.798 mg·kg−1) (Figure 4c) compared to maize.

3.6. Translocation Factor (TF)

The TF values for Cd in maize shoot range from 0.05 to 12.8, with the highest TF observed with the S 2 T/ha treatment. For the mustard shoot, the TF values for Cd range from 2.02 to 2400.0, with the highest TF observed with the S 0 treatment. The TF values for Cr in maize are relatively low, with the highest value being 0.27 for the EDTA 25 mmol·kg−1 treatment. In mustard, the highest TF value for Cr is 5.6 for the Mix (High) treatment (Table 2 and Table 3).
For Manganese (Mn), the TF values in maize range from 0.06 to 19.4, with the highest value observed for the EDTA 25 mmol·kg−1 treatment Table 2. In mustard, the TF values for Mn range from 0.34 to 16,700.0, with the highest value observed with the S 0 treatment Table 3. The TF values for Nickel (Ni) in maize are generally low, with the highest value being 120.0 for the S 0 treatment. In mustard, the TF values for Ni range from 17.03 to 3642.9, with the highest value observed with the S 0 treatment Table 3.
The TF values for Pb in maize range from 0.019 to 2.95, with the highest value observed for the S 2 T/ha treatment. In mustard, the TF values for Pb range from 0.02 to 5625.0, with the highest value observed with the S 0 treatment. The TF values for Zn in maize are generally low, with the highest value being 0.1685 for the S 1 T/ha treatment. In mustard, the TF values for Zn range from 5.97 to 5300.0, with the highest value observed with the S 0 treatment (Table 2 and Table 3).

3.7. Bioaccumulation Factor (BF)

For (Cd), the highest uptake in the maize shoot is in the S 2 T/ha treatment (1.181), while the lowest is in the EDTA 50 and Mix (High) treatments (0.008). In the mustard shoot, the OMW 5% treatment results in the highest accumulation (16.07) of Cd, whereas the S 2 T/ha treatment shows the lowest Cd accumulation (1.31) (Table 4 and Table 5).
Regarding Cr, the highest uptake in maize is in the OMW 5% treatment (0.272), and the lowest is in the S1 T/ha and S 0 treatments (0.012–0.013) Table 4. In mustard, the EDTA 50 treatment has the highest accumulation (0.756), while the S 2 T/ha treatment has the lowest accumulation (0.009) Table 5. For Mn, the highest uptake in maize is in the EDTA 25 and OMW 5% treatments (0.04–0.051), while the lowest is in the S 0 and Mix (Low) treatments (0.011–0.017) Table 4. In mustard, the OMW 5% treatment leads to the highest accumulation (0.446), and the S 0 treatment results in the lowest accumulation (0.071). In terms of Nickel (Ni), the highest uptake in maize is in the OMW 5% treatment (0.174), and the lowest is in the S 0 and EDTA 25 treatments (0.011). In mustard, the OMW 10% treatment shows the highest accumulation (0.6), whereas the S 2 T/ha treatment has the lowest accumulation (0.018) (Table 5).
For Pb, the highest uptake in maize is in the S 0 treatment (0.144), while the lowest is in the Mix (High) and EDTA 50 treatments (0.008–0.01) (Table 4). In mustard, the OMW 5% treatment results in the highest accumulation (1.826), while the S1 T/ha treatment shows the lowest accumulation (0.073) Table 5.
Lastly, Zn, the highest uptake in maize is in the S1 T/ha and Mix (Low) treatments (0.184–0.188), and the lowest is in the OMW 5% and S 0 treatments (0.005–0.012). In mustard, the OMW 5% treatment leads to the highest accumulation (0.999 mg·kg−1), and the S1 T/ha treatment results in the lowest accumulation (0.07) (Table 4 and Table 5).

4. Discussion

4.1. Available HMs

In the control treatment (S0), Cd levels were low in both maize and mustard. However, sulfur at 1 t/ha significantly increased Cd availability, with diminishing effects at higher rates due to altered soil pH [29]. EDTA enhanced Cd bioavailability by forming stable complexes, consistent with [30]. Similarly, olive mill wastewater (OMW) increased Cd levels, likely due to organic acids enhancing metal solubility [31]. Pb availability showed a similar trend. Sulfur at 1 t/ha increased Pb levels, but higher rates reduced Pb availability in mustard. EDTA further elevated Pb concentrations, while OMW also enhanced Pb solubility, aligning with [31]. See Table 6 and Table 7.
For Mn, sulfur at 1 t/ha increased availability in both crops, with higher rates amplifying this effect. EDTA and OMW also elevated Mn levels, confirming their role in metal solubility enhancement. Nickel (Ni) availability remained low in untreated soil. Sulfur increased Ni levels in maize, but EDTA and OMW had minimal impact. Low-rate mixtures of amendments reduced Ni levels, suggesting a stabilizing effect on metals. See Table 6 and Table 7.
These findings highlight the role of soil amendments in modifying metal bioavailability. Sulfur alters pH, enhancing metal solubility, but excessive rates may reduce availability [29]. EDTA increases metal mobility, requiring careful management to avoid toxicity [30]. OMW improves soil structure and nutrient cycling through organic acids [31]. Low-rate amendment mixtures effectively stabilize metals in less bioavailable forms, reducing plant uptake and optimizing soil conditions [32]. Additionally, mustard demonstrated greater resilience to heavy metal stress than maize, suggesting its suitability for phytoremediation [33]. See Table 6 and Table 7.

4.2. Dry Matter

This study assessed the impact of soil amendments on the dry matter (DM) yield of Zea mays and mustard, using the control treatment (S0) as a reference point (1.0 g/pot for maize, 0.9 g/pot for mustard). Sulfur application slightly increased maize DM at 1 t/ha but reduced it at 2 t/ha, indicating potential toxicity at higher levels. Mustard responded more positively, reaching its highest yield at 1 t/ha before declining at 2 t/ha, indicating better tolerance to soil acidification. This is due to its extensive root system, which enhances metal uptake by increasing contact with contaminated soil, as well as its naturally higher tolerance to stress [34]. See Table 6 and Table 7.
EDTA significantly improved DM yields, with maize reaching 1.5 g/pot and mustard 2.3 g/pot at optimal concentrations. While EDTA enhances metal bioavailability, excessive application may increase toxicity. Olive mill wastewater (OMW) also promoted DM yield, peaking at 5% concentration, with mustard achieving 2.4 g/pot, though higher levels reduced growth, likely due to inhibitory compounds [35]. See Table 6 and Table 7.
Mixed treatments led to moderate DM improvements, maintaining a balance between nutrient availability and metal accumulation. Mustard consistently outperformed maize under all amendments, demonstrating greater resilience to heavy metal stress and better adaptation to altered soil conditions, reinforcing its potential for phytoremediation and biomass production. See Table 6 and Table 7.

4.3. HM Accumulation in Maize and Mustard Shoots

The application of soil amendments significantly influenced heavy metal uptake in maize and mustard. Sulfur at 1 t/ha increased cadmium (Cd) accumulation in both crops, but higher sulfur rates reduced Cd uptake, likely due to pH changes limiting metal solubility [32,36]. EDTA at 25 mmol·kg−1 effectively lowered Cd levels, but higher concentrations led to increased uptake, particularly in mustard. Olive mill wastewater (OMW) at elevated levels further enhanced Cd accumulation, highlighting the role of organic acids in metal mobilization. See Table 6 and Table 7.
Chromium (Cr) and manganese (Mn) levels increased under EDTA and OMW treatments, with mustard accumulating more Cr (66 mg·kg−1) and Mn (114.5 mg·kg−1), suggesting species-specific differences in metal tolerance. Nickel (Ni) concentrations, initially high in control plants, decreased with most amendments, particularly at lower OMW rates. Lead (Pb) uptake increased with EDTA, peaking at 94 mg·kg−1 in mustard, while zinc (Zn) accumulation was highest with EDTA and OMW, reaching 302.75 mg·kg−1 in mustard. Sulfur application, however, resulted in a lower Zn uptake. EDTA chelation reduces Cd and Mn bioavailability [37,38] but increases the solubility and uptake of Ni and Zn. Similarly, organic acids in OMW enhance Cr and Pb bioavailability, leading to a greater plant uptake [36]. See Table 6 and Table 7.
These findings also align with previous research indicating that sulfur-induced acidification and EDTA chelation enhance metal bioavailability, while excessive amendment rates can lead to toxicity [14,39]. The observed reduction in metal uptake with low-rate mixtures supports the conclusions of [32], who emphasized the role of combined organic and inorganic amendments in mitigating heavy metal stress. Mustard demonstrated greater resilience to metal toxicity than maize, likely due to its superior metal uptake mechanisms and tolerance to soil conditions [40,41,42]. These results reinforce mustard’s potential for phytoremediation in contaminated soils. See Table 6 and Table 7.

4.4. HM Accumulation in Maize and Mustard Roots

Soil amendments differentially affected heavy metal uptake in maize and mustard. Low sulfur (1 t/ha) reduced cadmium (Cd) and chromium (Cr), but higher rates increased uptake, especially in mustard. EDTA decreased Cd in maize but increased it in mustard, and along with organic municipal waste (OMW), elevated Cd, Cr, manganese (Mn), nickel (Ni), and lead (Pb), with mustard accumulating more. Zinc (Zn) accumulation was highest with EDTA and OMW, while sulfur reduced it. Sulfur-induced acidification, a key factor in altering metal bioavailability [14], EDTA chelation, which significantly increases heavy metal mobility [32], and OMW’s organic acids, which enhance metal solubility [14,40,43], all influenced metal uptake. EDTA enhances Zn solubility [44], while sulfur and OMW reduce Cr bioavailability [40]. Low-rate amendment mixtures effectively mitigated metal stress [32,45]. Mustard exhibited greater heavy metal resilience than maize, likely due to efficient metal uptake mechanisms and tolerance [39], suggesting its potential for phytoremediation. See Table 6 and Table 7.

4.5. Transfer Factor (TF) and Bioaccumulation Factor for Maize and Mustard

The bioaccumulation factor (BF) and translocation factor (TF) for maize and mustard plants grown in polluted soil show significant variability based on the treatment applied. For maize, the highest TF for Cd is observed with the S 2 T/ha treatment, while the highest BF for Cd is also in the S 2 T/ha treatment. The OMW 5% treatment leads to the highest Cr and Mn uptake. For mustard, the highest TF for Cd is seen with the S 0 treatment, and the highest BF for Cd is in the OMW 5% treatment. The OMW 5% treatment also results in the highest accumulation of Pb and Zn in mustard. These results indicate that different treatments can significantly influence the uptake and accumulation of heavy metals in both maize and mustard plants. Overall, the OMW 5% treatment is the most effective in increasing heavy metal uptake compared to the control.
Previous research has explored the impact of sulfur and EDTA on HM bioavailability and uptake in maize [46]. Another study by [47] found that chelating agents like EDTA can increase the mobility and bioavailability of heavy metals in soil. Furthermore, studies have demonstrated the capacity of mustard plants to accumulate HMs from contaminated soils [33]. Other research has shown that the application of EDTA and other chelating agents (such as citric acid and oxalic acid) can significantly increase the bioavailability of cadmium (Cd) and zinc (Zn) in soil [48].

5. Conclusions

This study investigates sustainable approaches to mitigate and remediate heavy metal (HM) contamination in soils, focusing on arid regions like Saudi Arabia. It emphasizes the use of plant species such as mustard and maize for phytoremediation, harnessing their ability to absorb and immobilize HMs. Crucially, these plants are grown solely for soil remediation purposes, ensuring that heavy metals do not enter the food chain.
The findings demonstrate that soil amendments, including sulfur, EDTA, and olive mill wastewater (OMW), play a pivotal role in enhancing HM bioavailability, thereby improving the ability of plants to uptake and accumulate metals. Sulfur applied at lower rates (e.g., 1 t/ha) increases metal solubility through soil acidification, while EDTA facilitates the chelation and mobilization of metals like Cd and Pb. OMW, when used at an optimal concentration (5%), boosts both plant growth and metal uptake by providing organic acids that enhance solubility. However, excessive application of these amendments can negatively affect plant health or lead to metal leaching, necessitating precise management.
This work highlights that phytoremediation serves as an environmental restoration tool rather than a means of agricultural production. It underscores the importance of strategic soil management practices, such as controlled amendment application and careful plant species selection, to optimize soil decontamination efforts. By addressing the challenges posed by arid soils, this study offers valuable insights into the development of effective, sustainable strategies for HM remediation.

Author Contributions

Conceptualization, N.H.A., S.S.A. and K.D.A.; methodology, S.S.A. and N.H.A.; formal analysis, S.S.A., K.D.A. and S.S.A.; data curation, K.D.A., F.A., S.S.A., N.H.A. and B.A.; writing—original draft preparation, N.H.A., S.S.A., K.D.A. and B.A.; writing—review and editing, K.D.A.; supervision, S.S.A. and K.D.A. All authors have read and agreed to the published version of the manuscript.

Funding

The authors extend their appreciation to the Researchers Supporting Project at King Saud University, Riyadh, Saudi Arabia for funding this work through the project number (RSPD2025R866).

Data Availability Statement

The data used in this study is available from the corresponding author upon reasonable request.

Conflicts of Interest

The authors declare no conflicts of interest.

References

  1. Abdelkrim, S.; Jebara, S.H.; Saadani, O.; Chiboub, M.; Abid, G.; Mannai, K.; Jebara, M. Heavy metal accumulation in Lathyrus sativus growing in contaminated soils and identification of symbiotic resistant bacteria. Arch. Microbiol. 2019, 201, 107–121. [Google Scholar] [CrossRef] [PubMed]
  2. Sonker, S.; Fulke, A.; Monga, A. Recent trends on bioremediation of heavy metals; an insight with reference to the potential of marine microbes. Int. J. Environ. Sci. Technol. 2024, 21, 9763–9774. [Google Scholar] [CrossRef]
  3. Aloud, S.S.; Alotaibi, K.D.; Almutairi, K.F.; Albarakah, F.N. Assessment of heavy metals accumulation in soil and native plants in an industrial environment, Saudi Arabia. Sustainability 2022, 14, 5993. [Google Scholar] [CrossRef]
  4. Yadav, K.K.; Gupta, N.; Kumar, V.; Singh, J.K. Bioremediation of heavy metals from contaminated sites using potential species: A review. Indian J. Environ. Prot. 2017, 37, 65. [Google Scholar]
  5. Kurniawan, T.A.; Chan, G.Y.; Lo, W.-H.; Babel, S. Physico–chemical treatment techniques for wastewater laden with heavy metals. Chem. Eng. J. 2006, 118, 83–98. [Google Scholar] [CrossRef]
  6. Afolabi, O.O.; Olatunji, A.S. Contaminations evaluation and ecological risk assessment of selected potentially harmful elements in dusts, sediments and soils of Akure, Nigeria. Sci. Afr. 2024, 23, e02038. [Google Scholar] [CrossRef]
  7. Lavanya, M.; Viswanath, D.; Sivapullaiah, P. Phytoremediation: An eco-friendly approach for remediation of heavy metal-contaminated soils—A comprehensive review. Environ. Nanotechnol. Monit. Manag. 2024, 22, 100975. [Google Scholar] [CrossRef]
  8. Saffari, V.R.; Saffari, M. Effects of EDTA, citric acid, and tartaric acid application on growth, phytoremediation potential, and antioxidant response of Calendula officinalis L. in a cadmium-spiked calcareous soil. Int. J. Phytoremediation 2020, 22, 1204–1214. [Google Scholar] [CrossRef] [PubMed]
  9. Aloud, S.S.; Alotaibi, K.D.; Almutairi, K.F.; Albarakah, F.N. Phytoremediation potential of native plants growing in industrially polluted soils of Al-Qassim, Saudi Arabia. Sustainability 2023, 15, 2668. [Google Scholar] [CrossRef]
  10. Khalil, J.; Habib, H.; Bouguerra, S.; Nogueira, V.; Rodríguez-Seijo, A. The impact of olive mill wastewater on soil properties, nutrient and heavy metal availability—A study case from Syrian vertisols. J. Environ. Manag. 2024, 351, 119861. [Google Scholar] [CrossRef]
  11. Pardo, T.; Bernal, P.; Clemente, R. The use of olive mill waste to promote phytoremediation. In Olive Mill Waste; Academic Press: Cambridge, MA, USA, 2017; pp. 183–204. [Google Scholar]
  12. Kalyvas, G.; Tsitselis, G.; Gasparatos, D.; Massas, I. Efficacy of EDTA and olive mill wastewater to enhance As, Pb, and Zn phytoextraction by Pteris vittata L. from a soil heavily polluted by mining activities. Sustainability 2018, 10, 1962. [Google Scholar] [CrossRef]
  13. Suthar, V.; Memon, K.S.; Mahmood-ul-Hassan, M. EDTA-enhanced phytoremediation of contaminated calcareous soils: Heavy metal bioavailability, extractability, and uptake by maize and sesbania. Environ. Monit. Assess. 2014, 186, 3957–3968. [Google Scholar] [CrossRef]
  14. Nyiramigisha, P. Harmful impacts of heavy metal contamination in the soil and crops grown around dumpsites. Rev. Agric. Sci. 2021, 9, 271–282. [Google Scholar] [CrossRef] [PubMed]
  15. Tessier, A.; Campbell, P.C.; Bisson, M. Sequential extraction procedure for the speciation of particulate trace metals. Anal. Chem. 1979, 51, 844–851. [Google Scholar] [CrossRef]
  16. Zaidi, F.K.; Bassam, A.; Hussein, M.; Kassem, O.M.K. Hydrological characterization of Mahd Ad Dahab gold mine, Saudi Arabia. Int. J. Phys. Sci. 2012, 7, 2935–2943. [Google Scholar]
  17. Al-Farraj, A.; Al-Wabel, M. Heavy metals accumulation of some plant species grown on mining area at Mahad AD’Dahab, Saudi Arabia. J. Appl. Sci. 2007, 7, 1170–1175. [Google Scholar] [CrossRef]
  18. Al-Farraj, A.S.; Usman, A.R.; Al Otaibi, S.H.M. Assessment of heavy metals contamination in soils surrounding a gold mine: Comparison of two digestion methods. Chem. Ecol. 2013, 29, 329–339. [Google Scholar] [CrossRef]
  19. Page, A.; Miller, R.; Kenney, D.R. Method of Soil Analysis, 2nd ed.; Soil Science Society of America: Madison, WI, USA, 1982. [Google Scholar]
  20. Day, P.R. Particle fractionation and particle-size analysis. In Methods of Soil Analysis: Part 1 Physical and Mineralogical Properties, Including Statistics of Measurement and Sampling; American Society of Agronomy: Madison, WI, USA, 1965; Volume 9, pp. 545–567. [Google Scholar]
  21. Lindsay, W.L.; Norvell, W. Development of a DTPA soil test for zinc, iron, manganese, and copper. Soil Sci. Soc. Am. J. 1978, 42, 421–428. [Google Scholar] [CrossRef]
  22. Hossner, L.R. Dissolution for total elemental analysis. In Methods of Soil Analysis: Part 3 Chemical Methods; American Society of Agronomy: Madison, WI, USA, 1996; Volume 5, pp. 49–64. [Google Scholar]
  23. Marrugo-Negrete, J.; Durango-Hernández, J.; Pinedo-Hernández, J.; Olivero-Verbel, J.; Díez, S. Phytoremediation of mercury-contaminated soils by Jatropha curcas. Chemosphere 2015, 127, 58–63. [Google Scholar] [CrossRef]
  24. Marrugo-Negrete, J.; Marrugo-Madrid, S.; Pinedo-Hernández, J.; Durango-Hernández, J.; Díez, S. Screening of native plant species for phytoremediation potential at a Hg-contaminated mining site. Sci. Total Environ. 2016, 542, 809–816. [Google Scholar] [CrossRef]
  25. Ma, L.Q.; Komar, K.M.; Tu, C.; Zhang, W.; Cai, Y.; Kennelley, E.D. A fern that hyperaccumulates arsenic. Nature 2001, 409, 579. [Google Scholar] [CrossRef] [PubMed]
  26. Soda, S.; Hamada, T.; Yamaoka, Y.; Ike, M.; Nakazato, H.; Saeki, Y.; Kasamatsu, T.; Sakurai, Y. Constructed wetlands for advanced treatment of wastewater with a complex matrix from a metal-processing plant: Bioconcentration and translocation factors of various metals in Acorus gramineus and Cyperus alternifolius. Ecol. Eng. 2012, 39, 63–70. [Google Scholar] [CrossRef]
  27. Kim, I.S.; Kang, K.H.; Johnson-Green, P.; Lee, E.J. Investigation of heavy metal accumulation in Polygonum thunbergii for phytoextraction. Environ. Pollut. 2003, 126, 235–243. [Google Scholar] [CrossRef]
  28. Ali, H.; Khan, E.; Sajad, M.A. Phytoremediation of heavy metals—Concepts and applications. Chemosphere 2013, 91, 869–881. [Google Scholar] [CrossRef]
  29. Li, C.; Li, M.; Zeng, J.; Yuan, S.; Luo, X.; Wu, C.; Xue, S. Migration and distribution characteristics of soil heavy metal (loid) s at a lead smelting site. J. Environ. Sci. 2024, 135, 600–609. [Google Scholar] [CrossRef] [PubMed]
  30. Chen, S.; Fei, X.; Zhang, C.; Chen, Y.; Ge, Q. Release behavior of heavy metals from soil in ultrasound-assisted EDTA washing. J. Soils Sediments 2021, 21, 3825–3833. [Google Scholar] [CrossRef]
  31. Liu, F.; Yi, S.; Zhou, W.-H.; Chen, Y.-Z.; Wong, M.H. Amendment additions and their potential effect on soil geotechnical properties: A perspective review. Crit. Rev. Environ. Sci. Technol. 2021, 51, 535–576. [Google Scholar] [CrossRef]
  32. Wang, Z.; Liang, Y.; Liu, H. Phytoremediation of heavy metal contaminated soil: Technology, mechanism, and implementation. Front. Plant Sci. 2024, 14, 1347564. [Google Scholar] [CrossRef]
  33. Zhang, C.; He, F.; Chen, L. Phytoremediation of cadmium-trichlorfon co-contaminated water by Indian mustard (Brassica juncea): Growth and physiological responses. Int. J. Phytoremediation 2024, 26, 263–272. [Google Scholar] [CrossRef]
  34. Revathi, K.; Ansar Ali, P.Z.; Sudha, P.N. Phytoremediation Efficiency of Brassica Juncea plant from heavy metals Cr, Cu, Cd and Pb spiked Soil. Int. J. Nov. Trends Pharm. Sci. 2017, 7, 177–185. [Google Scholar]
  35. Alrowais, R.; Yousef, R.S.; Ahmed, O.k.; Mahmoud-Aly, M.; Abdel Daiem, M.M.; Said, N. Enhanced detoxification methods for the safe reuse of treated olive mill wastewater in irrigation. Environ. Sci. Eur. 2023, 35, 95. [Google Scholar] [CrossRef]
  36. Hong, Y.K.; Kim, J.W.; Lee, S.P.; Yang, J.E.; Kim, S.C. Heavy metal remediation in soil with chemical amendments and its impact on activity of antioxidant enzymes in Lettuce (Lactuca sativa) and soil enzymes. Appl. Biol. Chem. 2020, 63, 1–10. [Google Scholar] [CrossRef]
  37. Nie, X.; Huang, X.; Li, M.; Lu, Z.; Ling, X. Advances in Soil Amendments for Remediation of Heavy Metal-Contaminated Soils: Mechanisms, Impact, and Future Prospects. Toxics 2024, 12, 872. [Google Scholar] [CrossRef] [PubMed]
  38. Duan, Z.; Luo, Y.; Wu, Y.; Wang, J.; Cai, X.; Wen, J.; Xu, J. Heavy metals accumulation and risk assessment in a soil-maize (Zea mays L.) system around a zinc-smelting area in southwest China. Environ. Geochem. Health 2021, 43, 4875–4889. [Google Scholar] [CrossRef] [PubMed]
  39. Wan, Y.; Liu, J.; Zhuang, Z.; Wang, Q.; Li, H. Heavy metals in agricultural soils: Sources, influencing factors, and remediation strategies. Toxics 2024, 12, 63. [Google Scholar] [CrossRef]
  40. Ghori, N.-H.; Ghori, T.; Hayat, M.; Imadi, S.; Gul, A.; Altay, V.; Ozturk, M. Heavy metal stress and responses in plants. Int. J. Environ. Sci. Technol. 2019, 16, 1807–1828. [Google Scholar] [CrossRef]
  41. Feki, K.; Tounsi, S.; Mrabet, M.; Mhadhbi, H.; Brini, F. Recent advances in physiological and molecular mechanisms of heavy metal accumulation in plants. Environ. Sci. Pollut. Res. 2021, 28, 64967–64986. [Google Scholar] [CrossRef]
  42. Peng, J.-S.; Guan, Y.-H.; Lin, X.-J.; Xu, X.-J.; Xiao, L.; Wang, H.-H.; Meng, S. Comparative understanding of metal hyperaccumulation in plants: A mini-review. Environ. Geochem. Health 2021, 43, 1599–1607. [Google Scholar] [CrossRef]
  43. Alsafran, M.; Saleem, M.H.; Rizwan, M.; Al Jabri, H.; Usman, K.; Fahad, S. An overview of heavy metals toxicity in plants, tolerance mechanism, and alleviation through lysine-chelation with micro-nutrients—A novel approach. Plant Growth Regul. 2023, 100, 337–354. [Google Scholar] [CrossRef]
  44. Medyńska-Juraszek, A.; Rivier, P.-A.; Rasse, D.; Joner, E.J. Biochar affects heavy metal uptake in plants through interactions in the rhizosphere. Appl. Sci. 2020, 10, 5105. [Google Scholar] [CrossRef]
  45. Regni, L.; Pezzolla, D.; Ciancaleoni, S.; Marozzi, G.; Albertini, E.; Gigliotti, G.; Proietti, P. Long-term effects of amendment with olive mill wastewater on soil chemical properties, microbial community, and olive tree Vegetative and productive activities. Agronomy 2021, 11, 2562. [Google Scholar] [CrossRef]
  46. Shahid, M.; Austruy, A.; Echevarria, G.; Arshad, M.; Sanaullah, M.; Aslam, M.; Nadeem, M.; Nasim, W.; Dumat, C. EDTA-enhanced phytoremediation of heavy metals: A review. Soil Sediment Contam. Int. J. 2014, 23, 389–416. [Google Scholar] [CrossRef]
  47. Wuana, R.A.; Eneji, I.S.; Naku, J.U. Single and mixed chelants-assisted phytoextraction of heavy metals in municipal waste dump soil by castor. Adv. Environ. Res. 2016, 5, 19–35. [Google Scholar] [CrossRef]
  48. Guo, D.; Ali, A.; Ren, C.; Du, J.; Li, R.; Lahori, A.H.; Xiao, R.; Zhang, Z.; Zhang, Z. EDTA and organic acids assisted phytoextraction of Cd and Zn from a smelter contaminated soil by potherb mustard (Brassica juncea, Coss) and evaluation of its bioindicators. Ecotoxicol. Environ. Saf. 2019, 167, 396–403. [Google Scholar] [CrossRef]
Figure 1. Effect of sulfur, OMW, and EDTA amendments on the dry matter of maize (a) and mustard (b) plants. Means with the same letters are not significantly different from each other according to the LSD test (p < 0.05).
Figure 1. Effect of sulfur, OMW, and EDTA amendments on the dry matter of maize (a) and mustard (b) plants. Means with the same letters are not significantly different from each other according to the LSD test (p < 0.05).
Sustainability 17 03745 g001
Figure 2. Effect of sulfur, OMW, and EDTA soil amendments on HM uptake by the shoots of maize and mustard. In maize, panel (a) represents the total uptake of Cd, Cr, and Mn, while panel (b) represents the total uptake of Ni, Pb, and Zn. For mustard, panel (c) represents the total uptake of Cr, Cu, Ni, and Zn, and panel (d) represents the total uptake of Cd, Mn, and Pb. Means with the same letters are not significantly different from each other according to the LSD test (p < 0.05).
Figure 2. Effect of sulfur, OMW, and EDTA soil amendments on HM uptake by the shoots of maize and mustard. In maize, panel (a) represents the total uptake of Cd, Cr, and Mn, while panel (b) represents the total uptake of Ni, Pb, and Zn. For mustard, panel (c) represents the total uptake of Cr, Cu, Ni, and Zn, and panel (d) represents the total uptake of Cd, Mn, and Pb. Means with the same letters are not significantly different from each other according to the LSD test (p < 0.05).
Sustainability 17 03745 g002
Figure 3. Effect of sulfur, OMW, and EDTA soil amendments on HM uptake by roots of maize and mustard plants. In maize, panel (a) represents the total uptake of Mn, Ni, and Pb, and Zn, while panel (b) represents the total uptake of Cd, Cr, and Cu. For mustard, panel (c) represents the total uptake of Cr, Cu, Ni, and Zn, and panel (d) represents the total uptake of Cd, Mn, and Pb. Means with the same letters are not significantly different from each other according to the LSD test (p < 0.05).
Figure 3. Effect of sulfur, OMW, and EDTA soil amendments on HM uptake by roots of maize and mustard plants. In maize, panel (a) represents the total uptake of Mn, Ni, and Pb, and Zn, while panel (b) represents the total uptake of Cd, Cr, and Cu. For mustard, panel (c) represents the total uptake of Cr, Cu, Ni, and Zn, and panel (d) represents the total uptake of Cd, Mn, and Pb. Means with the same letters are not significantly different from each other according to the LSD test (p < 0.05).
Sustainability 17 03745 g003
Figure 4. DTPA-extracted HMs from soil after harvesting. Panel (a) represents the available concentrations of Cu, Ni, and Zn in soil planted with maize. Panel (b) represents the available concentrations of Cd, Pb, and Mn in soil planted with maize. For soil planted with mustard, panel (c) represents available Cd, Mn, and Pb, while panel (d) represents available Cu, Ni, and Zn. Means with the same letters are not significantly different from each other according to the LSD test (p < 0.05).
Figure 4. DTPA-extracted HMs from soil after harvesting. Panel (a) represents the available concentrations of Cu, Ni, and Zn in soil planted with maize. Panel (b) represents the available concentrations of Cd, Pb, and Mn in soil planted with maize. For soil planted with mustard, panel (c) represents available Cd, Mn, and Pb, while panel (d) represents available Cu, Ni, and Zn. Means with the same letters are not significantly different from each other according to the LSD test (p < 0.05).
Sustainability 17 03745 g004aSustainability 17 03745 g004b
Table 1. Physical and chemical properties of the soil used in the study.
Table 1. Physical and chemical properties of the soil used in the study.
Parameter Mean
pH8.4 ± 0.49
Ec us/cm83 ± 4.79
Silt %20 ± 1.15
Clay %10 ± 0.58
Sand %70 ± 4.04
Caco35.5 ± 0.32
TN %0.06 ± 0.0035
TP %0.064 ± 0.0037
TK %0.9 ± 0.052
Cd mg·kg−153.6 ± 3.09
Cr mg·kg−194.5 ± 5.45
Cu mg·kg−147.1 ± 2.72
Ni mg·kg−153.1 ± 3.06
Pb mg·kg−184.9 ± 4.91
Zn mg·kg−1106.4 ± 6.14
Mn mg·kg−11168 ± 67.44
Table 2. Translocation factor (TF) of Cd, Cr, Mn, Ni, Pb, and Zn for maize.
Table 2. Translocation factor (TF) of Cd, Cr, Mn, Ni, Pb, and Zn for maize.
TRTCd Cr Mn Ni Pb Zn
S 00.15 ± 0.0007f0.007 ± 0.00008h6.1 ± 0.04c120 ± 0.3a1.16 ± 0.01b0.006 ± 0.003e
S1 T/ha1.96 ± 0.006c0.05 ± 0.0004e6.9 ± 0.011b24.32 ± 0.02b1.12 ± 0.02b0.17 ± 0.0004a
S 2 T/ha12.8 ± 0.04a0.02 ± 0.0008f5.013 ± 0.03d0.4 ± 0.002d2.95 ± 0.001a0.005 ± 0.0001e
EDTA 254.74 ± 0.05b0.3 ± 0.0003a19.4 ± 0.04a11.1 ± 0.02c0.98 ± 0.001c0.09 ± 0.0006b
EDTA 500.7 ± 0.007d0.06 ± 0.0002d1.8 ± 0.001e0.05 ± 0.0002e0.45 ± 0.0002e0.005 ± 0.0004e
OMW 5%0.5 ± 0.001e0.01 ± 0.00005g0.8 ± 0.003f0.08 ± 0.001e0.02 ± 0.0002g0.006 ± 0.0001e
OMW 10%0.05 ± 0.001g0.005 ± 0.00005h0.06 ± 0.0005g0.03 ± 0.0005e0.2 ± 0.005f0.017 ± 0.0001c
Mix (Low)0.2 ± 0.0003f0.2 ± 0.001c0.11 ± 0.001g0.16 ± 0.0006d0.5 ± 0.005d0.17 ± 0.0001a
Mix (High)0.09 ± 0.0004g0.23 ± 0.001b0.07 ± 0.0004g0.1 ± 0.002d0.02 ± 0.0008g0.009 ± 0.00002d
LSD0.540.00190.0520.280.0250.0001
Table 3. Translocation factor (TF) of Cd, Cu, Ni, Zn, Mn and Pb for mustard.
Table 3. Translocation factor (TF) of Cd, Cu, Ni, Zn, Mn and Pb for mustard.
TRTCd Cu Ni Zn Mn Pb
S 02400 ± 2.8a100 ± 0.1 a3642.9 ± 0.11a5300 ± 0.01a16700 ± 0.1a5625 ± 0.01a
S1 T/ha3.2 ± 0.0002f4.3 ± 0.01 h17.03 ± 0.008f12.1 ± 0.03f3.98 ± 0.03f0.3 ± 0.001f
S 2 T/ha8.6 ± 0.01c28.4 ± 0.06c4.4 ± 0.01g67.9 ± 0.005c21.3 ± 0.008d2.47 ± 0.009c
EDTA 251.2 ± 0.006g7.41 ± 0.003g826.1 ± 0.2c59.8 ± 0.06c1.6 ± 0.004g0.022 ± 0.005g
EDTA 504.84 ± 0.0008e8.39 ± 0.003f24 ± 0.03e24.2 ± 0.011e0.34 ± 0.0005h0.202 ± 0.0005f
OMW 5%22.5 ± 0.01b43.8 ± 0.03b3083.3 ± 0.2b416.7 ± 0.05b30.6 ± 0.01c4.1 ± 0.02b
OMW 10%2.02 ± 0.002f22.7 ± 0.008e640 ± 0.01d45.6 ± 0.005d79.06 ± 0.01b2.4 ± 0.01c
Mix (Low)6.51 ± 0.002d3.09 ± 0.024i3250 ± 0.3b5.97 ± 0.06g3.06 ± 0.01f0.47 ± 0.0008e
Mix (High)11.2 ± 0.008c26.6 ± 0.1d208.3 ± 0.03d45.4 ± 0.005d11.08 ± 0.02e1.1 ± 0.0008d
LSD2.80.190.490.1190.0510.025
Table 4. Bioaccumulation factor (BF) of Cd, Cr, Mn, Ni, Pb, and Zn in the maize shoot.
Table 4. Bioaccumulation factor (BF) of Cd, Cr, Mn, Ni, Pb, and Zn in the maize shoot.
TRTCd Cr Mn Ni Pb Zn
S 00.02 ± 0.0001e0.01 ± 0.00005f0.01 ± 0.004d0.01 ± 0.00003d0.14 ± 0.001a0.01 ± 0.0004d
S1 T/ha0.3 ± 0.005b0.01 ± 0.0009f0.02 ± 0.001c0.02 ± 0.005b0.04 ± 0.003c0.19 ± 0.0002a
S 2 T/ha1.181 ± 0.00005a0.02 ± 0.0001e0.04 ± 0.0003b0.02 ± 0.01b0.09 ± 0.005b0.02 ± 0.0004d
EDTA 250.09 ± 0.0003d0.02 ± 0.003e0.04 ± 0.0003a0.01 ± 0.001d0.09 ± 0.001b0.12 ± 0.0001b
EDTA 500.008 ± 0.0001g0.14 ± 0.002b0.02 ± 0.001c0.03 ± 0.0002b0.01 ± 0.00005e0.01 ± 0.0002d
OMW 5%0.02 ± 0.00005e0.3 ± 0.002a0.05 ± 0.00008a0.2 ± 0.005a0.02 ± 0.0001d0.005 ± 0.0002e
OMW 10%0.006 ± 0.00002f0.03 ± 0.00005d0.02 ± 0.0001d0.02 ± 0.0002c0.11 ± 0.00005a0.04 ± 0.00002c
Mix (Low)0.07 ± 0.00002c0.08 ± 0.00002c0.02 ± 0.0008d0.02 ± 0.00002c0.09 ± 0.001b0.18 ± 0.0005a
Mix (High)0.008 ± 0.00002g 0.13 ± 0.0002b0.03 ± 0.00008c0.03 ± 0.0002b0.008 ± 0.00005f0.03 ± 0.00008c
LSD0.00950.00850.00170.0140.00250.0039
Table 5. Bioaccumulation factor (BF) of Cd, Cr, Mn, Ni, Pb, and Zn in the mustard shoot.
Table 5. Bioaccumulation factor (BF) of Cd, Cr, Mn, Ni, Pb, and Zn in the mustard shoot.
TRTCd Cr Mn Ni Pb Zn
S 00.2 ± 0.0004f0.38 ± 0.0002c0.07 ± 0.0002e0.48 ± 0.0008b0.27 ± 0.001e0.25 ± 0.0004c
S1 T/ha1.2 ± 0.003c0.17 ± 0.001e0.05 ± 0.0001f0.13 ± 0.0002f0.07 ± 0.0001f0.07 ± 0.18f
S 2 T/ha1.3 ± 0.0005c0.009 ± 0.0008g0.08 ± 0.005e0.02 ± 0.05h0.44 ± 0.0008d0.26 ± 0.006c
EDTA 250.6 ± 0.01e0.23 ± 0.0005d0.18 ± 0.001d0.31 ± 0.002c0.19 ± 0.002e0.1 ± 0.0002e
EDTA 501.3 ± 0.003c0.76 ± 0.0005a0.23 ± 0.001c0.16 ± 0.02f0.62 ± 0.0001c0.1 ± 0.0005d
OMW 5%16.07 ± 0.002a0.22 ± 0.0005d0.45 ± 0.002a0.22 ± 0.001e1.83 ± 0.002a1 ± 0.68a
OMW 10%0.7 ± 0.0002d0.47 ± 0.004b0.32 ± 0.0004b0.6 ± 0.28a0.73 ± 0.00005c0.89 ± 0.00002a
Mix (Low)2.1 ± 0.0002b0.07 ± 0.001f0.12 ± 0.0004d0.04 ± 0.14g0.22 ± 0.01e0.11 ± 0.0007d
Mix (High)2.7 ± 0.006b0.44 ± 0.01b0.31 ± 0.0005b0.48 ± 0.01b1.23 ± 0.003b0.8 ± 0.01b
LSD0.240.0190.0150.020.0180.082
Table 6. Descriptive summary of the effects of soil amendments on HM bioavailability, impact on plant growth, key results, and possible management strategies.
Table 6. Descriptive summary of the effects of soil amendments on HM bioavailability, impact on plant growth, key results, and possible management strategies.
AmendmentEffect on Metal BioavailabilityImpact on Plant GrowthKey ResultsManagement Suggestions
Sulfur (S)Increased Cd, Pb, Mn, and Ni availability at low rates; reduced availability at higher rates due to pH changes.Enhanced growth at 1 t/ha, reduced at 2 t/ha (toxicity).Improved Cd availability: 24.102 mg·kg−1 (maize), 58.705 mg·kg−1 (mustard).Apply at lower rates (e.g., 1 t/ha) to optimize metal solubility and plant growth while avoiding toxicity.
EDTAEnhanced bioavailability of Cd, Cr, Mn, Pb, and Zn.Improved DM yield but excessive use risks toxicity.Increased Cd levels: 10.09 mg·kg−1 (maize), 7.78 mg·kg−1 (mustard); Max DM yield: 1.5 g/pot (maize), 2.3 g/pot (mustard).Use controlled dosages to improve metal uptake; monitor for potential environmental risks like groundwater contamination.
Olive Mill Wastewater (OMW)Increased solubility of Cd, Pb, Cr, and Zn through organic acids; reduced Ni bioavailability at low rates.Promoted growth at 5% concentration, with inhibitory effects at higher levels.Max DM yield: 2.4 g/pot (mustard); Elevated Cd, Pb, and Zn uptake in mustard.Apply moderate concentrations (e.g., 5%) to enhance metal uptake and growth while minimizing inhibitory effects.
Mixed TreatmentsStabilized metals in less bioavailable forms at low rates.Moderate improvements in growth and metal uptake.Balanced nutrient availability and reduced metal toxicity.Employ mixtures of amendments to balance nutrient availability and minimize metal toxicity.
Table 7. Descriptive summary of plant species used in this study and their effects on metal tolerance, uptake efficiency, metal accumulation capacity, and phytoremediation recommendations.
Table 7. Descriptive summary of plant species used in this study and their effects on metal tolerance, uptake efficiency, metal accumulation capacity, and phytoremediation recommendations.
Plant SpeciesMetal ToleranceMetal UptakeKey ResultsRecommendations
MustardHigher tolerance to heavy metal stress.Greater uptake of Cd, Pb, Cr, Zn, and Mn than maize.Max metal accumulation: Cr (66 mg·kg−1), Mn (114.5 mg·kg−1), Pb (94 mg·kg−1), Zn (302.75 mg·kg−1).Use for phytoremediation in contaminated soils, particularly in arid regions.
MaizeLower tolerance and uptake compared to mustard.Accumulated metals less efficiently under all treatments.Lesser metal uptake and growth improvement than mustard.Consider as a secondary option in less contaminated or mixed treatment scenarios.
Disclaimer/Publisher’s Note: The statements, opinions and data contained in all publications are solely those of the individual author(s) and contributor(s) and not of MDPI and/or the editor(s). MDPI and/or the editor(s) disclaim responsibility for any injury to people or property resulting from any ideas, methods, instructions or products referred to in the content.

Share and Cite

MDPI and ACS Style

Almeaiweed, N.H.; Aloud, S.S.; Alotaibi, K.D.; Alotaibi, F.; Alshebel, B. Enhancing Phytoremediation of Heavy Metal-Contaminated Aridic Soil Using Olive Mill Wastewater, Sulfur, and Chelating Agents. Sustainability 2025, 17, 3745. https://doi.org/10.3390/su17083745

AMA Style

Almeaiweed NH, Aloud SS, Alotaibi KD, Alotaibi F, Alshebel B. Enhancing Phytoremediation of Heavy Metal-Contaminated Aridic Soil Using Olive Mill Wastewater, Sulfur, and Chelating Agents. Sustainability. 2025; 17(8):3745. https://doi.org/10.3390/su17083745

Chicago/Turabian Style

Almeaiweed, Nasser H., Saud S. Aloud, Khaled D. Alotaibi, Fahad Alotaibi, and Basil Alshebel. 2025. "Enhancing Phytoremediation of Heavy Metal-Contaminated Aridic Soil Using Olive Mill Wastewater, Sulfur, and Chelating Agents" Sustainability 17, no. 8: 3745. https://doi.org/10.3390/su17083745

APA Style

Almeaiweed, N. H., Aloud, S. S., Alotaibi, K. D., Alotaibi, F., & Alshebel, B. (2025). Enhancing Phytoremediation of Heavy Metal-Contaminated Aridic Soil Using Olive Mill Wastewater, Sulfur, and Chelating Agents. Sustainability, 17(8), 3745. https://doi.org/10.3390/su17083745

Note that from the first issue of 2016, this journal uses article numbers instead of page numbers. See further details here.

Article Metrics

Back to TopTop