Abstract
Urban centralized heating systems, as a crucial component of the energy transition, face new challenges in terms of reliable and balanced operation, energy-saving performance, and optimized control. Based on the accurate quantification of user heat load, an operational optimization method for secondary heating networks is proposed. By accurately analyzing the actual heating demands of different users according to building characteristics and climatic conditions and integrating the hydraulic and thermal modeling of a pipeline network, a Particle Swarm Optimization (PSO) algorithm is employed to optimize the valve opening degrees of users and the secondary side, achieving the optimal operating state of the secondary network that matches user load and obtaining the optimal valve regulation strategy. The results of a case analysis show that, after optimization, the overall variance of return water temperature for heat users decreased by 12.16%, and the electricity consumption of the secondary network circulation pump was reduced by 16.46%, demonstrating the effectiveness and practicality of the proposed optimization method. On the basis of ensuring hydraulic balance in the heating system, the method meets the individual heating demands of users, effectively improves user thermal comfort, and reduces energy consumption, addressing the issues of excessive and uneven heat supply.
1. Introduction
Energy is the foundation and driving force for human survival and social development, and it is an important pillar of modern industrial civilization [1]. The continuous advancement of the Industrial Revolution has led to large-scale consumption of non-renewable energy sources such as coal and oil, and countries around the world are facing severe challenges posed by energy crises and global warming. With the rapid development of urbanization in China and the continuous growth of the construction industry, the area of urban centralized heating in northern China has also grown rapidly. By the end of 2021, the urban heating area in northern China reached 16.2 billion m2, with heating energy consumption of 212 million tons of standard coal equivalent (tce), accounting for 21% of the total energy consumption of buildings in the country [2]. Heating systems are not only one of the important livelihood projects in China but also a key link in urban energy transformation, energy saving, and emission reduction.
Currently, the secondary heating networks of heating systems are generally faced with the significant problem of reduced thermal user comfort and excessive energy consumption due to uneven flow distribution. Since the actual operation mode of heating pipeline networks fails to effectively address the heat loss during the transmission process, as the heat transmission distance increases, the heat loss accumulates gradually, resulting in insufficient heat supply to distant users, while excessive heat supply to near users causes energy waste, leading to the phenomenon of “near heat and far cold”. Therefore, the optimization of the operation of secondary networks is of far-reaching significance. Establishing a scientific and rational operation regulation strategy for secondary heating networks based on the actual heat load demand of thermal users can effectively improve the energy efficiency of heating systems, reduce energy consumption and operating costs, and provide users with more comfortable and reliable heating services, thereby achieving the green and low-carbon development of heating systems.
Hydraulic and thermal modeling of heating systems is an important basis for system operation regulation and energy-saving optimization. The premise of thermal balance in heating systems is to ensure the overall hydraulic balance of pipeline networks. A large number of studies have been conducted on the hydraulic modeling of heating systems, mainly using graph theory to represent the topology of heating networks and combining various mathematical methods to solve them, ultimately establishing a hydraulic calculation and analysis model for such systems. Zhou et al. [3] proposed a new hydraulic modeling method for dual-source ring heat networks, establishing an experimental network and its hydraulic model, which included dual heat sources, dual rings, and 12 users. The modeling method was verified to have a small error under three hydraulic conditions, effectively solving the modeling issues of hydraulic cross-users and common pipelines. Zheng et al. [4] established distributed parameter models and lumped parameter models for heating networks, effectively simulating and analyzing network hydraulic transients caused by valve and pump operations through numerical algorithms. Wang et al. [5] presented a dynamic model for district heating pipelines based on the method of characteristics, accounting for both hydraulic and thermal dynamics. Experimental validation shows that this is more precise than traditional models that rely solely on static hydraulic conditions for thermodynamic calculations.
In research on the thermal modeling of heating systems, scholars mainly analyze the heat loss and temperature changes in pipeline networks by establishing mathematical and physical models. Liu et al. [6] established a hydraulic–thermal coupled model for steady-state thermal analysis and optimization of heating networks. They first modeled the hydraulic conditions of the network, obtained the hydraulic calculation results, and then analyzed the thermal model, updating the hydraulic calculation parameters based on the thermal condition simulation results. This method uses a steady-state thermal model to describe the temperature distribution characteristics of a pipeline network but lacks analysis of the thermodynamic characteristics of the network. In terms of thermodynamic modeling, Gabrielaitienė I. et al. [7] analyzed the thermodynamic characteristics of a heating system network based on the node method, calculated the spatial distribution of the supply water temperature in the pipeline network, found that the temperature distribution was not uniform at different locations, and then evaluated the system’s thermal parameters and inertia in combination with specific cases. Oppelt et al. [8] established a quasi-steady-state hydraulic model and a dynamic thermal model for a pipeline network based on the Lagrange method, and they verified the high accuracy of the model in branching pipeline networks through actual engineering cases.
The operation and regulation of actual heating systems are greatly influenced by the coupling of hydraulic and thermal conditions in the pipeline network. Only by jointly modeling hydraulics and thermodynamics can the actual operation status of a pipeline network be accurately assessed. Wang et al. [9] quantified the impact of wall thermal inertia and proposed an improved hydraulic–thermal coupled model to predict the thermal transient characteristics of pipelines. They used a new numerical solution method to solve the proposed model, and this method can quickly calculate the temperature changes in the pipeline heat transfer process and obtain good calculation accuracy even for coarse grids. Duquette et al. [10] used a steady-state heat transfer model and a variable transmission delay model to construct a dynamic heat transfer analysis model for hot water heating networks, and they verified the reliability and accuracy of the model through actual operation data of a district heating system in Canada. Chen et al. [11] developed an input–benefit exergy model and an exergy loss calculation model for each link within heat-and-electricity-based IESs (HE-IESs), which encompassed transmission networks. Then, an exergy-based unified optimal operation model for HE-IESs was introduced by minimizing the total exergy loss of the system.
Regarding the research on operation optimization methods for heating systems, Zhou et al. [12] proposed a predictive model for the operation parameters of heating networks and established an operation optimization method for heating systems based on the dynamic model of a pipeline network. This method effectively predicted key parameters for system operation regulation, such as user load, indoor temperature, and pipeline flow. The proposed operation optimization method is significant for guiding the quality regulation of pipeline networks and demonstrates notable energy-saving benefits compared with traditional regulation methods. Wang et al. [13] established a simulation model for a university’s heating system and proposed an optimized control method for indoor temperature based on the time-of-use characteristics of buildings. By implementing start–stop optimization strategies and regulating electric valves at heat supply inlets, the method ensures that indoor temperatures are maintained within an appropriate range, effectively addressing the issue of uneven heating and reducing system energy consumption. Jie et al. [14] established an operation regulation strategy for secondary heating networks based on the theory of heat balance while considering parameters such as the circulating flow rate, indoor temperature, and heating area of the heating system, and they analyzed the impacts of different parameters on heating performance. Ancona et al. [15] proposed an optimization strategy for designing district heating networks, considering investment costs, fuel costs, and heat energy prices to compare the pump consumption and heat loss of different system schemes, and they conducted a parametric economic analysis to achieve optimal annual system energy efficiency and cost-effectiveness. Zhang et al. [16] proposed a state estimation model for district heating networks based on unified heat equations with incomplete measurement configurations and considered two typical regulation modes for comprehensive application. The study analyzed the characteristics of different regulation methods and proposed a linear least squares algorithm for the quality regulation model and a bi-level optimization algorithm for the flow regulation model. The results show that the proposed model exhibits high applicability to various measurement configuration systems, and the solution algorithm provides accurate state estimation and robustness.
Compared with the above research on operation optimization methods, some scholars have also analyzed regulation strategies and parameter optimization of heating systems. Liu et al. [17] proposed an operation regulation strategy for heating systems based on indoor temperature feedback that can accurately predict indoor temperature changes with only a small amount of measurement data. By comparing the proposed regulation strategy with a weather compensator, it was found that the new temperature regulation strategy outperforms the weather compensator in maintaining indoor temperature, with an increase in the energy-saving rate of 5.4%. Zhou et al. [18] constructed a nonlinear hydraulic model for secondary heating networks based on graph theory and proposed an operation optimization regulation model for secondary networks combined with a genetic algorithm, achieving online optimization of key parameters. This method provides a reference for dynamic optimization regulation of secondary networks with multiple actuators. Zwan et al. [19] proposed a predictive control method for heating operation regulation while considering the thermal inertia of buildings to adjust heating parameter settings and combining temperature-limited renewable energy sources to adjust operational control strategies. This approach ensures the preheating benefits of capacity-limited renewable energy sources while reducing additional system heat losses. Wang et al. [20] proposed a multi-level control model for water–heat coupling in multi-user building heating systems, analyzing the regulatory characteristics between users and buildings, as well as the impacts of control cycles and methods on the operation optimization of heating systems. The results show that the control cycle has a significant impact on the regulation of multi-user building heating systems. The response time for floor radiant heating systems exceeds 4 h, while that for radiator systems is less than 30 min. Liu et al. [21] proposed a loop regulation method for installing valves or pumps in loop pipelines using an improved algorithm combining particle swarm optimization and linear search to solve the nonlinear optimization problems caused by loop adjustments. The optimal installation locations and operating conditions of valves or pumps in the loop were obtained. Subsequently, a comparative analysis of the hydraulic performance of three scenarios—no loop regulation strategy, loop valve strategy, and loop pump strategy—was conducted in an actual heating system case. The results showed that the loop regulation method can reduce the total pump power by more than 20%.
In summary, heating systems encompass diverse equipment and intricate networks. Global optimization demands decision making under multiple objectives and constraints, yet existing research often fails to balance economic efficiency and operational stability. While some studies have attempted to incorporate intelligent algorithms and machine learning technologies, the level of intelligence and automation in practical applications remains constrained. Further in-depth research is required to effectively integrate advanced technologies into the operation optimization and management of heating systems. This paper begins with the hydraulic and thermal modeling of a heating system network. Subsequently, based on the actual heat load of each user in the secondary network, valve adjustment strategies for heat stations and users in the secondary network are developed. This approach achieves heat supply according to user demand and effectively addresses the issue of heat imbalance.
2. Methods
2.1. Traditional Heat Supply System Regulation Methods
Before the operation of a heat supply system, initial regulation of the pipeline network is essential, utilizing methods such as the proportional coefficient method and the resistance coefficient method. The primary objective is to adjust the flow rate of users to an appropriate level based on the actual heat load, ensuring that the heat demands of users are met and effectively addressing the issue of uneven heat supply. Once the hydraulic initial regulation is completed, deviations between the actual operating conditions of the heat supply system and the design state may arise due to changes in outdoor meteorological conditions and user demands. Therefore, throughout the entire heating season, it is crucial to make immediate adjustments to the supply water temperature and flow rate in response to changes in outdoor air temperature, ensuring that the system accurately and efficiently responds to user demands. This dynamic regulation process is a key step in achieving precise heat supply, improving energy efficiency, and enhancing user comfort.
Existing regulation methods for heat supply systems mainly include quantity regulation, quality regulation, and combined quality–flow regulation. Quantity regulation adjusts the circulating flow rate of the pipeline network to accommodate load fluctuations caused by changes in outdoor temperature, while the supply water temperature remains constant during system operation. This method is simple to operate and has a wide range of regulation, although the initial investment cost may be relatively high. When the outdoor temperature rises, quantity regulation rapidly reduces the flow rate in the heat supply network to adapt to the changes, which may lead to an imbalance in heat distribution among different floors within a building. Therefore, quantity regulation is generally not used alone but as an auxiliary method in combination with other regulation strategies.
Quality regulation adjusts the heat supply by varying the supply and return water temperatures during system operation, while the circulating flow rate remains constant. Based on the system’s performance at maximum load, quality regulation ensures that equipment can operate at full speed under these conditions. This method is simple to operate and manage and ensures the stability of the system’s hydraulic conditions. However, due to the continuous and high-level constant flow rate, the system’s pump power consumption is relatively large.
The staged variable–flow quality regulation method divides the heating season into different stages to adapt to changes in outdoor temperature. When the outdoor temperature is low, the system increases the flow rate to provide sufficient heat; conversely, when the outdoor temperature is high, the flow rate is reduced. This strategy maintains a constant total flow rate for each heating stage while adjusting the supply and return water temperatures according to daily temperature changes to meet the heat load demands of different stages. This method is not only convenient to operate but also effectively reduces pump energy consumption, achieving significant energy-saving effects. However, it may also cause hydraulic imbalance and poor stability, with its accuracy depending on a suitable mathematical model analysis and control.
Combined quality–flow regulation involves simultaneously adjusting the flow rate and supply water temperature of the heat supply network during its operation management, which can result in more efficient energy utilization and better heat supply performance. A characteristic of this method is that as the heat load decreases, the flow rate and supply water temperature are correspondingly reduced, effectively saving the energy consumption of circulating pumps. To avoid hydraulic imbalance caused by low flow rates, especially for users directly connected to the heat supply network, the system must be equipped with variable-frequency pumps and automatic control devices. Such a configuration not only ensures the flexibility and responsiveness of the heat supply system but also allows for the adjustment of heat supply parameters according to actual demands. This approach meets user heat demands while improving the overall energy efficiency and economic viability of the system. However, the complexity of operation makes it difficult to achieve ideal effects in practical regulation.
2.2. An Optimization Method for Demand-Based Operation of Secondary Networks Based on User Load Quantification
In the secondary network of heat supply systems, the thermal characteristics of user buildings vary significantly, making it difficult to address the issue of uneven heat supply relying solely on manual experience-based regulation. Improper adjustments lead to mismatches between the flow rates in the heat supply pipelines of end-users and their actual required flow rates, which not only affect user comfort but also result in the waste of system thermal energy.
Based on the quantification of users’ actual heat load, this paper establishes an optimization method for the demand-based operation of the secondary network in heat supply systems, as shown in Figure 1. First, according to the building types and thermal parameters of the envelopes of each heat user in the secondary network, as well as the meteorological parameters of the region where the heat users are located, the hourly heat load of each user in the secondary network is calculated using the mechanistic load quantification model established in [22]. Combined with the load characteristics of heat users and historical supply–return water temperature differences during actual operation, the recommended supply–return water temperature differences for each user are determined. This leads to the target flow rates at the network nodes corresponding to the actual heat load of each user, preliminarily determining the total flow rate of the secondary network.
Figure 1.
Schematic diagram of the optimization process for the operation of secondary networks based on user load quantification.
The hourly flow rate on the secondary side of the heat supply station, pump characteristic parameters, network topology, length, diameter, friction coefficient, heat dissipation coefficient of each pipeline section, and initial valve opening degree are used as initialization parameters. The hydraulic calculation model is employed to compute the steady-state hydraulic conditions of the secondary network on an hourly basis, obtaining the initial flow distribution for each heat user and completing the preliminary calculation. Subsequently, the sum of squared differences between the two sets of flow results, calculated based on the flow distribution values obtained from the load quantification model in this paper, is used as the optimization objective. The PSO algorithm is invoked, with the valves on the secondary side and those of each heat user being treated as particles for optimization. The valve opening degrees at this time are outputted, completing the first iteration.
Further, the steady-state hydraulic model of the secondary network is utilized to calculate the flow distribution for each user, and the results of the objective function are analyzed. Based on the actual operating scenario, whether to continue iterating is determined until the process is terminated. The final hourly valve opening strategies and corresponding flow distributions for each user are outputted. Combined with the supply water temperature on the secondary side of the heat supply station and the hourly calculation results of steady-state hydraulics, the supply water temperature for each heat user is calculated using the thermal model of the secondary network. Since the time scale for hydraulic balance in heat supply systems is relatively short, the actual operational regulation can be regarded as a transition from one steady state to another. Therefore, this study simplifies the time scale of hydraulic steady state to 1 h, with each hour corresponding to a steady-state hydraulic condition. At this point, the return water temperature for each heat user can be calculated based on the previously determined recommended supply–return water temperature difference, which serves as the basis for evaluating the results of operational optimization.
The PSO algorithm is an optimization method based on swarm intelligence, inspired by the simulation of bird flock foraging behavior, and it is used to seek solutions to optimization problems. In the structure of this algorithm, each possible solution in the solution space is regarded as a “particle,” and each particle has its own position and velocity, symbolizing a potential solution and its direction and step size of movement in the solution space, respectively. Particles adjust their velocities and positions based on the best position discovered by themselves and the best position found by all individuals in the swarm, thereby driving the entire swarm to evolve towards the optimization objective. Due to its simple structure and the lack of reliance on gradient information of the problem, the PSO algorithm is particularly suitable for solving complex problems that are difficult to address using traditional optimization methods. The specific implementation steps of the PSO algorithm in the secondary network operation optimization method in this paper are as follows.
- Initialization of Particles
The objective of this paper is to optimize the valve opening degrees during the operation of the secondary network. Thus, the position of each particle corresponds to the valve opening degrees of each user. The range of particle positions is set to 0–100, with the initial position set to 30 and the initial velocity set to 0.8.
- 2.
- Calculation of particle fitness function values and update of particle velocities and positions
In this paper, the fitness function value of each particle is defined as the sum of squared differences between the target flow rates and the iteratively calculated flow rates. The best position of each particle during iteration is denoted as , while the optimal value of the fitness function is denoted as . In each iteration, the fitness function value of each particle is calculated. If the current position of a particle is better than its historical best value, is updated. If the current fitness function value is better than the global historical optimal value, is updated. The velocity and position of each particle i in the m-th dimension are updated according to Equations (1) and (2), respectively [23].
In the equations, represents the inertia weight; and are acceleration coefficients; and denote random numbers within the interval [0,1]; and represent the velocity vectors of particle in the m-th dimension at the n+1-th and n-th iterations, respectively; and represent the position vectors of particle in the m-th dimension at the n+1-th and n-th iterations, respectively.
- 3.
- Determination of whether to terminate the operation
In this paper, the number of iterations is set as the termination condition for the PSO algorithm.
3. Modeling and Analysis of the Secondary Network in Heat Supply Systems
3.1. Analysis of Pipeline Resistance and Heat Dissipation Characteristics
The resistance characteristics of a heat supply pipeline network describe the magnitude of resistance encountered by fluid flow within the network. This resistance is determined by the friction between the fluid and the inner wall of the pipeline, as well as the flow state of the fluid within the pipeline. Analyzing the resistance characteristics of pipeline sections is fundamental to calculating the flow distribution within the network. The resistance of a pipeline section mainly includes frictional losses and local losses, which can be calculated using the following equation:
In the equation, ΔP is the total pressure loss of the pipeline section (Pa); ΔPy is the frictional pressure loss along the pipeline section (Pa); ΔPj is the local pressure loss of the pipeline section (Pa); λ is the frictional resistance coefficient; d is the diameter of the pipeline section (m); ρ is the density of the heat supply medium (kg/m3); ν is the flow velocity of the medium inside the pipeline (m/s); l is the length of the pipeline section (m); ξ is the local resistance coefficient of pipeline fittings such as tees, bends, and valves within the network.
The total dissipation coefficient ϵ of the pipeline network indicates the heat dissipation rate per unit length of the pipeline when the temperature difference between the heat carrier and the external environment is 1 °C. It can be calculated using the following simplified formula:
In the equation, α1 and α2 are the heat transfer coefficients between the heat carrier and the inner wall of the pipe and between the outer side of the pipe and the external environment (W/(m2·K)); σi is the thickness of the insulation layer (m); λi is the thermal conductivity corresponding to each insulation layer (W/(m·K)); D is the pipe diameter (m).
3.2. Hydraulic and Thermal Modeling Analysis of the Pipeline Network
3.2.1. Steady-State Hydraulic Model of the Pipeline Network
In heat supply systems, the hydraulics and thermodynamics of the pipeline network exhibit a one-way coupling relationship. Changes in the hydraulic state directly affect the thermal state, whereas adjustments in the thermal state do not influence the hydraulic state. Therefore, when conducting steady-state modeling, priority should be given to the hydraulic modeling of the pipeline network. This process includes calculating the flow velocity and pressure loss in each pipeline section, as well as the pressure at each node within the system, thereby providing the necessary hydraulic parameters for subsequent thermal condition modeling.
The one-dimensional flow process of water in the pipeline sections of a heat supply network can be described using the mass conservation Equation (5) and the momentum conservation Equation (6) [24].
In the equations, ρ is the density of water (kg/m3); ν is the flow velocity of water (m/s); p is the pressure of water (Pa); λ is the friction coefficient of the pipeline; D is the inner diameter of the pipeline (m); g is the acceleration due to gravity (m/s2; x is spatial coordinates(m); t is time (s).
In the pipeline network, water is regarded as an incompressible fluid, with its density being considered to be constant. The flow velocity of water within a unit length of the pipeline is uniform and does not vary with the position. Therefore, we have the following:
For ease of calculation, the quadratic relationship between the flow velocity of water and the pressure difference across the pipeline section is linearized through an approximate treatment, as shown in Equation (9). The formula for calculating the flow rate within the pipeline can be expressed as Equation (10):
The mass conservation Equation (5) and the momentum conservation Equation (6) can be simplified as follows:
In the equations, A is the cross-sectional area of the pipeline section (m2); νb is the reference flow velocity corresponding to the reference flow rate Gb.
Due to the fact that the time scale of hydraulic regulation in actual heat supply pipeline networks is significantly longer than the time scale of hydraulic dynamic processes, the hydraulic regulation of the pipeline network can be considered as multiple steady-state conditions, and the flow rate in the pipeline section does not change with time during the steady-state process. Taking a micro-element of unit length dx, the difference in flow rate and the pressure drop at its two ends can be expressed as follows:
By employing the analogy of electrical circuits, one can obtain hydraulic elements corresponding to voltage and resistance, namely, the water pressure source and hydraulic resistance. These can be expressed as follows:
In the equation, Rh is the hydraulic resistance, representing the frictional resistance of the pipe to water flow; Eh is the water pressure source, which is used to represent the adjustment of water pressure loss due to the inclination angle of the pipe and changes in flow rate.
Since the water flow values in the above distributed parameter hydraulic pipe sections are the same, a lumped parameter method can be used to describe the relationship between water flow and water pressure at the beginning and end of the pipe section.
Based on the above analysis, the steady-state hydraulic characteristics of valves and pumps in the pipeline network are also modeled. The pressure difference between the inlet and outlet of the valve can be expressed as follows:
In the equation, kv is the valve opening coefficient.
For a pump in the heat supply pipeline network with a given rotational speed, the pressure difference between the inlet and outlet can also be expressed through the flow rate:
In the equation, ks1, ks2, and ks3 are the inherent coefficients of the pump; ωs is the frequency at which the pump operates.
After completing the modeling of key hydraulic components such as pipeline sections, valves, and pumps in the heat supply network, further analysis is conducted on the hydraulic topology model of the network. A general steady-state hydraulic branch can be represented by Equation (21) as follows:
In the equation, Gz is the water flow rate of the branch (kg/s); pz is the water pressure difference across the branch (Pa); Ez is the total water pressure source of the branch; Rz is the hydraulic resistance of the branch (Pa/(kg/s)).
All hydraulic branches in the heat supply network can be expressed as follows:
, , and are column vectors consisting of the branch variables and parameters; is a diagonal matrix composed of the reciprocals of the branch hydraulic resistances.
Further, the hydraulic topology of the network is characterized using the node–branch method. The node–branch incidence matrix is an n × m matrix, where n is the number of nodes and m is the number of branches. is the element in the i-th row and j-th column of the matrix. indicates that branch j is not connected to node i, indicates that the water flow in branch j is outflowing from node i, and indicates that the water flow in branch j is inflowing into node i.
By analogy with Kirchhoff’s laws, the water flow rate out of each node is equal to the water flow rate into the node. The total water pressure drop around any closed loop is zero, which gives us the following:
In the equation, is the column vector of water flow rates in each branch; is the column vector of water pressure values at each node; is the column vector of pressure differences across each branch.
Combining Equations (22)–(24), we can obtain the steady-state hydraulic characteristic equation of the pipeline network, as shown in Equation (25):
Using the node admittance matrix and the generalized node to simplify the equation, the hydraulic characteristic equation of the heat supply network is
In the steady-state hydraulic condition, the flow rate in the pipeline section is fixed. During the derivation of the hydraulic characteristic equation, a linear approximation is used, and the accuracy of the model is directly affected by the choice of the base value. Therefore, the quasi-Newton method is used to iteratively correct the error between the actual flow rate and the base value to ensure the accuracy of the equation solution and finally obtain the accurate flow distribution in the pipeline section. The flow base value in the iteration process can be updated according to the following formula:
In the equation, is the current flow base value; is the next flow base value; is the updated flow value from the iteration; is the iteration adjustment speed, with a value in the range (0, 1].
3.2.2. Steady-State and Dynamic Thermal Models of the Pipeline Network
The energy conservation equation for fluid heat transfer in the heat supply pipeline network is
In the equation, c is the specific heat capacity of water, taken as 4.2 kJ/(kg·°C); T is the temperature difference between the heat carrier and the external environment, and it is used to describe the relative temperature of the hot water (°C); ϵ is the heat loss coefficient for heat dissipation from the pipeline to the external environment (W/(m·K)).
A with the idea of hydraulic modeling, corresponding thermal elements can be abstracted. It is important to note that the flow rate in the thermal model is the result of hydraulic modeling. Since the time scale of thermal regulation is much larger than that of hydraulic balance, the change of thermal conditions over time is considered to occur on the basis of the hydraulic steady state. Based on the transformation of Equation (28), the key operating parameters of the pipeline network are converted into multiple sinusoidal steady-state excitations using a Fourier transform, and the characteristics of the thermal branches are described using vector notation. The temperature relationship between the beginning and end of the pipeline section can be expressed as
In the equation, T0 and T1 are the temperatures at the beginning and end nodes of the pipeline section (K); kt is the heat loss and time delay of hot water from the beginning to the end of the pipeline.
The characteristic equation of the thermal branch can be expressed in matrix form as
In the equation, and , respectively, represent the column vectors of temperatures at the beginning and end of the pipeline.
The temperature constraints of convergence and divergence at each node within the pipeline section can be expressed as
In the equation, is the weighted node inflow branch incidence matrix; is the node outflow branch incidence matrix; is the column vector of hot water temperatures at each node; is the column vector of weighted inflow temperatures at each node.
Combining Equations (27)–(29), the temperature calculation equation for the beginning and end of the pipeline network branches can be expressed as
3.3. Model Validation
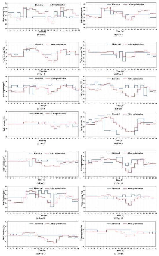
In this paper, the operational data of a secondary heat supply network on 19 January 2022 are selected as a case to validate the hydraulic and thermal models. The hydraulic condition of the secondary network is adjusted by regulating the valve openings of each user to change the flow distribution within the pipeline network. The thermal condition is determined by the supply temperature on the secondary side of the heat supply station and changes with the adjustment of the hydraulic condition. The valve opening conditions of each heat user and secondary-side heating supply temperature on the case day are shown in Figure 2.
Figure 2.
Valve opening conditions of each heat user and secondary-side heating supply temperature on the case day.
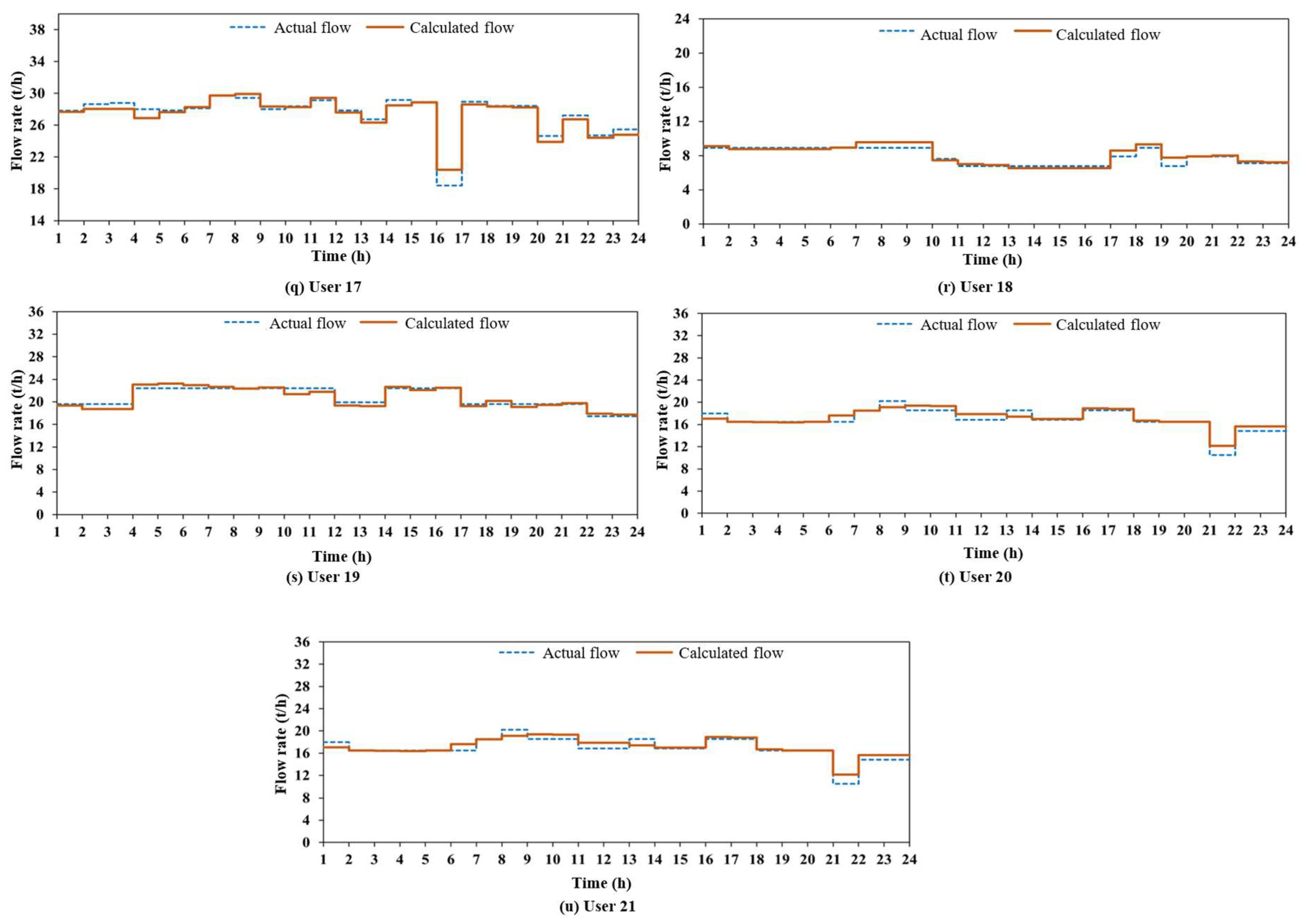
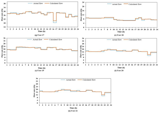
Combining the basic situation of the secondary network, the hourly flow distribution of each heat user is calculated through the hydraulic model and then compared with the historical flow data of the users to verify the accuracy of the hydraulic calculation. The comparison and verification results of the hydraulic conditions of each heat user are shown in Figure 3, which shows that the calculated flow rate of each user at each moment is close to the actual flow rate.


Figure 3.
Comparison of the calculated flow rate for each heat user with the actual value.
Further calculations were performed on the relative errors of the results of the comparison of the hydraulic conditions for each heat user, as shown in Figure 4. From Figure 4t, it can be seen that the maximum relative error of the calculated flow rate for this heat user is −16.01%, corresponding to a maximum flow error of 1.68 t/h. The relative errors of the calculated flow rates for other heat users are stable within the range of −5% to 6%. The average flow error results for each user are shown in Table 1. It can be seen that the overall calculated flow error is small, meeting the accuracy requirements for the case study calculations and effectively validating the accuracy of the hydraulic model.


Figure 4.
Calculation error of the hydraulic conditions for each heat user.
Table 1.
Average flow error of the hydraulic conditions for each heat user.
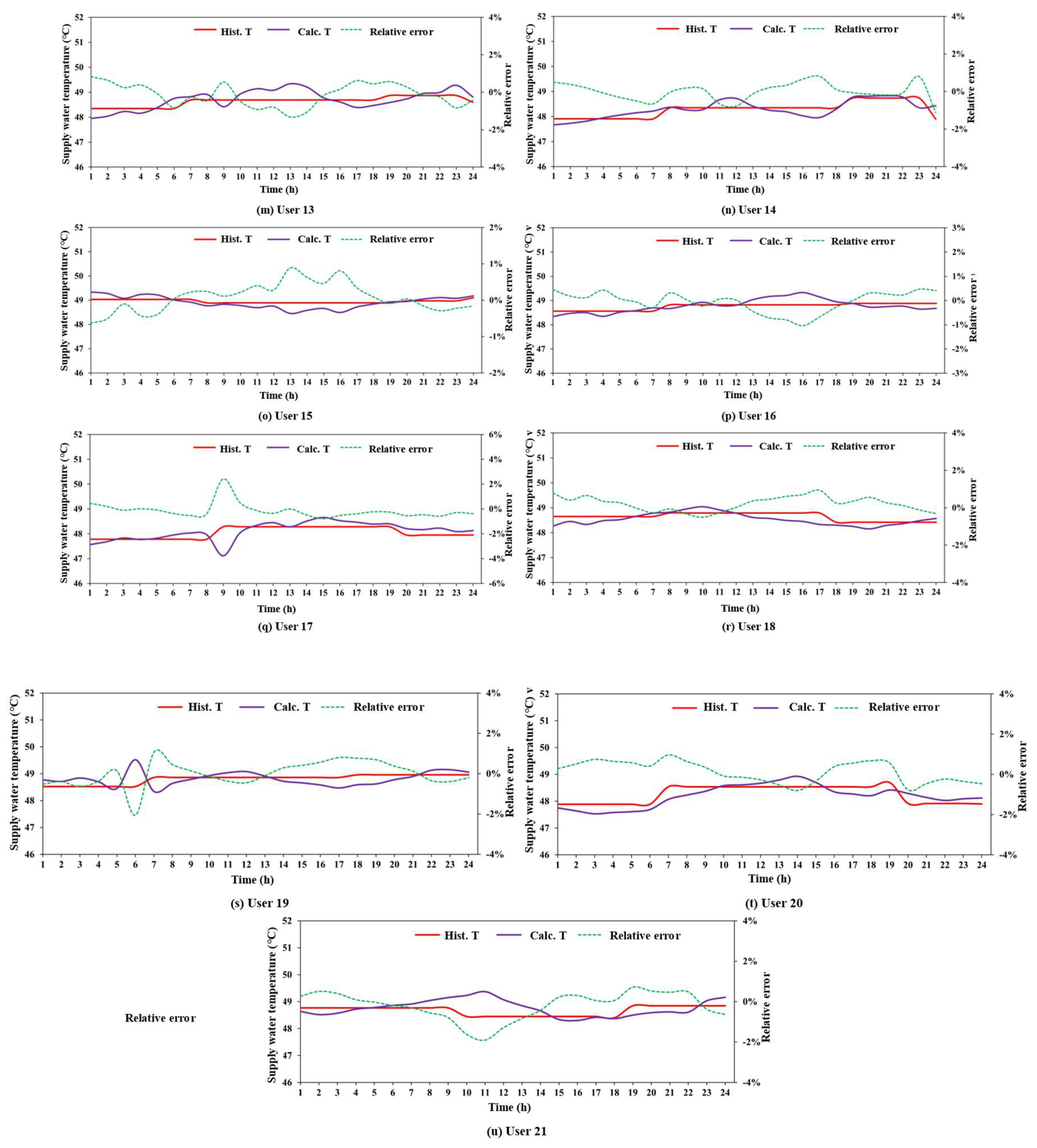
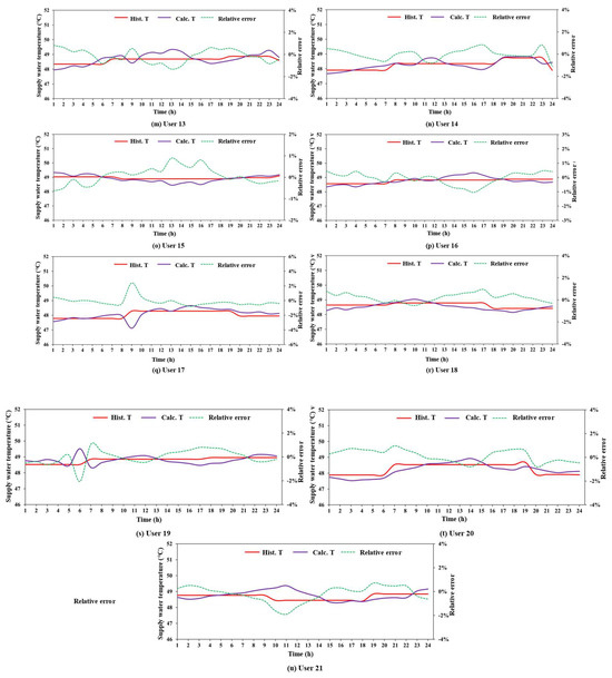
Based on the topology of the pipeline network and using the flow distribution of each heat user obtained from the previous hydraulic calculations, the hourly supply water temperature for each user is calculated using the thermal mechanism model in combination with the supply temperature on the secondary side of the heat supply station. The results of the comparison of the calculated supply temperature and historical supply temperature for each user, as well as the relative errors, are shown in Figure 5.

Figure 5.
Comparison and validation of the thermal conditions for each heat user and the calculation error.
From the above comparison results, it can be seen that the relative errors between the calculated supply temperatures and historical supply temperatures for each heat user are relatively small and generally stable within the range of −2% to 3%. According to the comparison results shown in Figure 5q, the maximum relative error of the calculated supply temperature for this heat user is 2.4%, corresponding to a maximum supply temperature error of 1.17 °C. Table 2 presents the average supply temperature errors for each heat user, with overall errors within an acceptable range, satisfying the requirements for the subsequent operation optimization of the secondary network. In summary, through the calculation of the pipeline flow distribution and supply water temperature on the case day, the effectiveness and accuracy of the hydraulic and thermal models presented in this paper have been validated.
Table 2.
Average supply temperature error of the thermal conditions for each heat user.
4. Case Study
4.1. Introduction to the Secondary Network in the Case
This paper further elaborates on the specific conditions of the secondary heat supply network in question. The secondary network in question uses a community heat supply station as its heat source and serves 21 heat user buildings distributed on both sides of the street. The entire pipeline network has undergone preliminary retrofitting, with the installation of necessary electric control valves and monitoring equipment for temperature and flow rate, which can meet the requirements for refined regulation and control. This paper takes this case secondary network as the research object and compares it with the actual operating conditions of the network during the 2022–2023 heating season to verify and analyze the accuracy and effectiveness of the proposed demand-based operation optimization method for secondary networks based on load quantification. The historical data collection period covers the entire heating cycle of that year, namely, from 16 November 2022 to 15 March 2023. The data types include the flow rate, pressure, and temperature data of pipeline nodes and users. The topology of the pipeline network and the corresponding relationships between nodes and branches of this secondary network are shown in Figure 6, where solid lines represent the supply water pipes and dashed lines represent the return water pipes.
Figure 6.
Schematic diagram of the topology and node–branch relationships of the case’s secondary network.
The basic information of each heat user in the case’s secondary network, including the heating area, is shown in Table 3.
Table 3.
Schematic diagram of the topology and node–branch relationships of the secondary network in the case.
Combining Equations (3) and (4) with the actual parameters of the pipes in the case’s secondary network, the friction coefficients and heat dissipation coefficients of each supply and return pipe section can be obtained. The relevant parameters for the supply pipe sections are shown in Table 4.
Table 4.
Friction coefficients and heat dissipation coefficients of each pipe section in the secondary network of the case.
4.2. Identification of Heat User Valve Parameters
In the secondary networks of heat supply systems, there are usually various types of building heat users, and even within the same type of building, the heat load demands can vary. Differences in design flow rates lead to variations in pipe diameters and valve types for corresponding pipelines. For newly commissioned heat users, the valve characteristic parameters can be determined according to their design curves. However, for valves of heat users that have been in operation for a long time, their characteristic parameters may deviate from the design values due to differences in operating conditions and usage frequency. From the secondary network operation optimization method, it can be seen that after the model calculation and iteration are completed, the optimal valve characteristic parameters are determined. However, in actual regulation, the output needs to be in terms of valve opening degrees. Therefore, in this paper, the valves of each heat user are analyzed based on different valve opening degrees and their corresponding historical flow and pressure difference data. The opening coefficient corresponding to different valve opening degrees is calculated, and the least squares method is used to fit the variation curve of the relationship. First, datasets of flow and pressure difference under corresponding valve openings are obtained. Through fitting, the complete relationship curve can be obtained, and the opening coefficient under the valve opening can be calculated. Further calculations of the opening coefficients under different valve openings are performed, and the valve opening coefficient curves for the secondary side of the heat supply station and each heat user are shown in Figure 7 and Figure 8, respectively. The corresponding loss function and solution are as follows:
Figure 7.
Valve opening coefficient curve of the secondary side of the heat supply station.

Figure 8.
Identification results of valve opening degrees for each heat user.
In the equation, , , and are the valve opening degree, pressure, and flow rate corresponding to the m-th data group, respectively.
4.3. Analysis of the Operation Optimization Results of the Secondary Network
To compare the heating effects of each heat user using the proposed operation optimization method for the secondary heat supply network in this paper with the original conditions, 19 January 2023 is selected as a case for analysis in this section. The hourly outdoor temperature on that day is shown in Figure 9. Based on the historical weather parameters and basic building parameters of each heat user, the mechanistic load quantification model is used to calculate the heat load of the 21 heat users in the secondary network, as shown in Figure 10. According to the load characteristics of each heat user and their historical supply–return water temperature differences, the recommended supply–return water temperature differences for each heat user are determined. The corresponding hourly flow distribution relationships are then calculated, as shown in Figure 11 and Figure 12.
Figure 9.
Outdoor temperature distribution on the case day.
Figure 10.
Hourly heat load distribution of each heat user.
Figure 11.
Hourly supply–return water temperature difference distribution for each heat user.
Figure 12.
Hourly flow distribution curves for each heat user.
From the outdoor temperature distribution, it can be seen that the highest outdoor temperature on the case day was 1.88 °C at 2 p.m., while the lowest was −12.75 °C at 5 a.m. Combining the analysis of the heat usage characteristics of typical buildings with the actual conditions of the case, the user buildings in this secondary network are mainly residential. The hourly load distribution trends of each heat user are generally consistent.
In this secondary network, the supply–return water temperature difference for heat users ranges from −11 °C to −6 °C, and the flow distribution fluctuates according to the load changes throughout the day. Combined with the actual case scenario, the design values of the supply and return water temperatures on the secondary side of the heat supply station in this secondary network are 50 °C and 40 °C, respectively. The historical supply water temperature and flow distribution on the secondary side on the case day are shown in Figure 13.
Figure 13.
Supply temperature and flow distribution on the secondary side of the heat supply station.
The operation optimization method for the secondary network established in this paper is used to calculate and analyze the flow distribution and valve opening strategies for each heat user at different time points. During the iteration process of the PSO algorithm, the control objects are the valves on the secondary side and the valves of each heat user. The initial particles set the valve openings to 30, with the upper and lower boundaries of the valve openings being set to 100 and 0, respectively. The swarm size is set to 240, and the maximum number of iterations is 200. The hyperparameters of the PSO are set as . After obtaining the final hourly valve opening strategies and corresponding flow distributions, the supply water temperature for each heat user is calculated using the secondary network thermal model combined with the secondary-side supply temperature data and the hourly steady-state hydraulic calculation results. At this point, the return water temperature for each heat user can be calculated based on the previously determined recommended supply–return water temperature difference, which serves as the basis for judging the operation optimization. Through iterative calculations, the target flow obtained through load quantification analysis and the actual flow output at the end of the iteration at 0 o’clock on the typical day are shown in Table 5.
Table 5.
Comparison of the target flow and actual flow at a specific moment.
From the comparison of the iterative results in Table 5, it can be seen that the sum of squared differences between the target flow and the actual flow obtained through iteration at this moment is 6.09. A comprehensive analysis indicates that the calculation error is small and meets the requirements of the actual operating scenario. According to the actual situation of the secondary network, the design return water temperature for each heat user is 42 °C. The actual heating effect of each heat user is analyzed by calculating the overall variance between the historical return water temperature and the design return water temperature of the heat users. The return temperature variance obtained through operation optimization is compared to verify the effectiveness and advantages of the proposed secondary network operation optimization method in this paper. The historical return water temperature distribution of each heat user and the return water temperature obtained through optimization calculation are shown in Figure 14 and Figure 15, respectively, and the corresponding return temperature variance comparison is shown in Figure 16.
Figure 14.
Distribution of historical return water temperatures for each heat user.
Figure 15.
Distribution of return water temperatures for each heat user after optimization.
Figure 16.
Comparison of the distribution of return temperature variance for heat users before and after optimization.
From the variance values of return water temperature for each heat user at every moment shown in Figure 16, it can be seen that the secondary network operation optimization method proposed in this paper, which is based on load quantification analysis, accurately calculates the actual heat load of each heat user and further combines hydraulic and thermal modeling analysis and parameter optimization of the pipeline network. Compared with the historical return temperature variance of heat users, the average return temperature variance after optimization is reduced by 12.16%. Combined these results with the comparison in Figure 14 and Figure 15, the return water temperatures of each heat user are closer to the design values. After optimization, the overall fluctuation of return water temperature for each heat user is smaller, and the heating stability is better, which better matches the hourly load demands of heat users and effectively improves the overall heating effect. This validates the effectiveness of the secondary network operation optimization method, which solves the problems of uneven heat distribution and excessive heating in the secondary network. A circulation pump is installed at the return water point on the secondary side of the heat supply station. By comparing the pump power consumption before and after optimization, the energy-saving effect of the secondary network operation optimization method is analyzed. Based on the historical and optimized pipeline resistance characteristics, the head of each pipeline section and user is determined, and the power consumption of the circulation pump is calculated in combination with the pressure difference and flow rate relationships in each pipeline section. The specific calculation formula can be expressed as
In the equation, is the theoretical power of the pump (kW); is the running time of the pump (h). The pump running time corresponding to each valve adjustment to achieve hydraulic balance is 5 min; is the flow rate of the pipeline section (m3/h); is the head (m); is the pump efficiency, which is taken as 0.85. Combining the above results, the hourly power consumption of the circulation pump on that day is calculated and shown in Table 6.
Table 6.
Comparison of the hourly power consumption of the circulation pump after optimization.
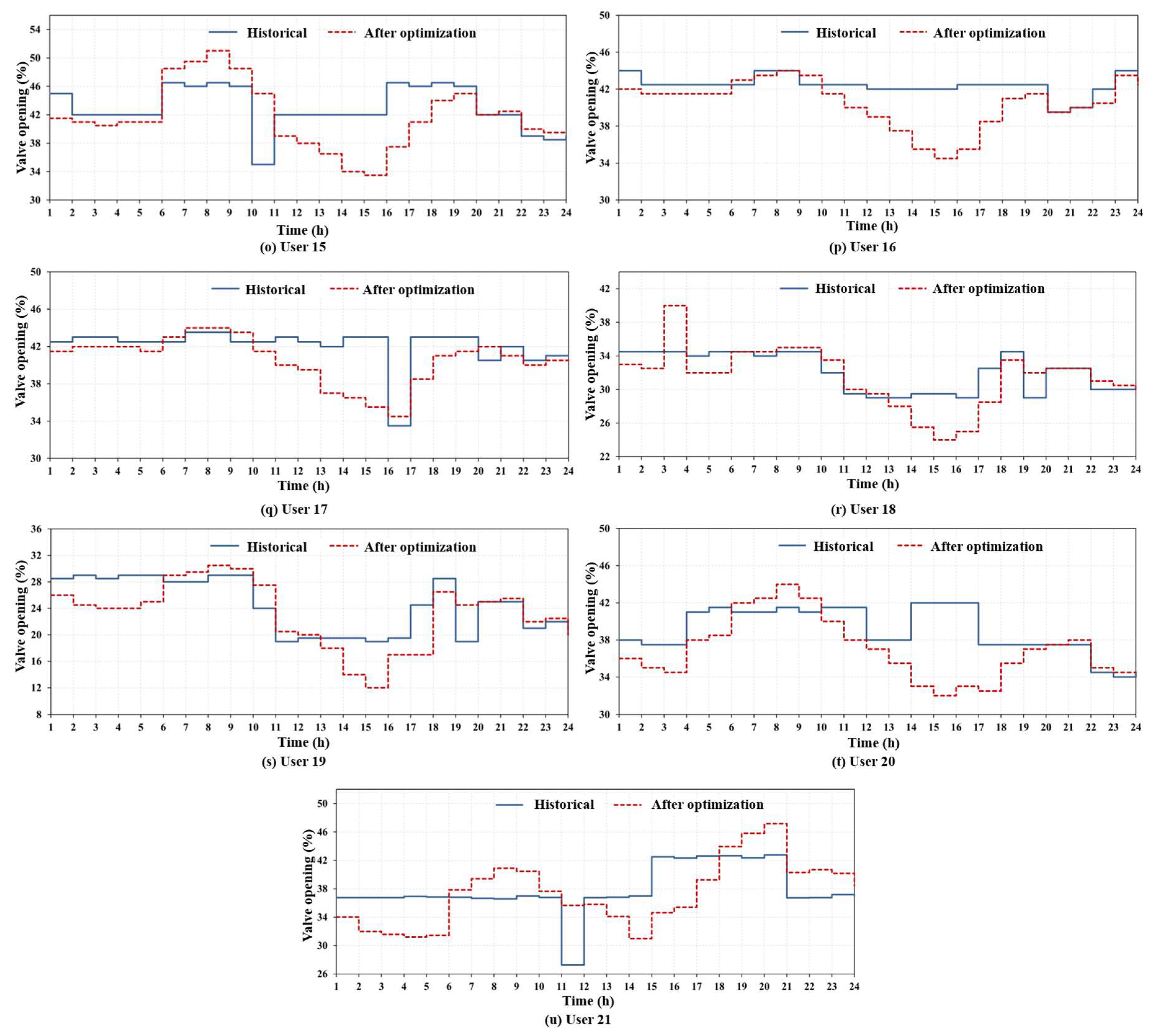
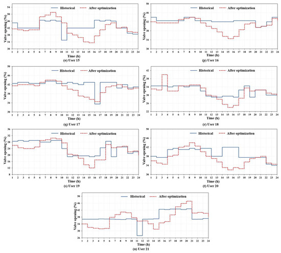
According to the results, the historical total power consumption of the circulation pump on that day was 110.85 kWh, while the total power consumption after optimization was 92.60 kWh, representing a reduction of 16.46% in the power consumption of the circulation pump. Through the secondary network operation optimization method, the hourly flow distribution of the secondary side of the heat supply station and each heat user in the secondary network was determined. Combined with the valve opening coefficient identification curves of each valve in the secondary network, the corresponding valve opening strategies were obtained, providing an effective regulation strategy for the overall efficient operation of the secondary heat supply network and demand-based heat supply to heat users. The comparison of the optimized valve opening strategies for the secondary side of the heat supply station and each heat user on the case day is shown in Figure 17 and Figure 18.
Figure 17.
Comparison of valve opening strategies for the secondary side of the heat supply station after optimization.

Figure 18.
Comparison of valve opening strategies for each heat user after optimization.
As shown in Figure 17, on the case day, the historical valve strategy for the secondary side of the heat supply station in this secondary network maintained the valve opening within the range of 34–36%, with a small adjustment range. This kept the heat output of the secondary side at a relatively high level. Through the operation optimization calculation, the optimized valve opening was slightly reduced by 2% during the period from 0:00 to 6:00 compared with the original strategy. At night, when user load decreases, appropriately reducing the overall heat output can prevent energy waste caused by excessive heating. From 7:00 to 10:00, the optimized valve strategy increased compared with the original one. This is because the residential load demand rises during this period, and more flow needs to be allocated to each heat user to better match the heat demand. From 11:00 to 17:00, as the outdoor temperature rises and user heat demand decreases, the optimized valve strategy reduced the opening by 4% overall. This effectively minimized heat waste while meeting the heat load of each user. From 18:00 to 24:00, the valve strategy obtained through the secondary network operation optimization method was almost the same as the original strategy, maintaining the heat load demand of users during the night.
Figure 18 shows the valve opening strategies for each moment under the corresponding heat supply station load output for the 21 heat users in this secondary network. By adjusting the valves on the secondary side and for each user, the flow distribution at each node in the pipeline network is made more balanced. At the same time, the node flow for each heat user is matched with the actual flow demand of the user, thus achieving the goal of demand-based heat supply. By analyzing the results of the comparison of the operation optimization strategies for the 21 heat users, it can be seen that the overall valve adjustment strategy for each heat user corresponds to the load change pattern of the user and the current outdoor temperature. Taking the valve strategy of User 8 as an example, from 0:00 to 6:00, the optimized valve opening was, on average, 2% lower than the original hourly valve opening. However, from 7:00 to 11:00, the original valve opening dropped sharply. This period is when user load increases, and reducing the valve opening decreases user flow, thus failing to meet the heat load demand and reducing user comfort. This may be due to incorrect valve adjustment strategies caused by human experience or operational errors, and the sudden change in user flow can also affect the overall hydraulic balance of the pipeline network. The optimized valve strategy effectively avoids this problem by punctually adjusting the valve opening to meet the heat load of the user and ensure a stable and comfortable heat supply. According to the comparison of the valve strategies for User 17, its original valve strategy matched the user load well from 0:00 to 11:00 and from 20:00 to 24:00. However, it failed to make timely adjustments and maintained the original valve opening from 12:00 to 16:00 and from 18:00 to 20:00, resulting in some heat waste. Overall, the secondary network operation optimization method based on user load quantification can output appropriate valve adjustment strategies according to the current weather and user load characteristics. It ensures user comfort while reducing the overall energy consumption of the system, making the hydraulic and thermal distribution of the pipeline network more balanced and reducing the occurrence of uneven heating.
5. Conclusions
This paper summarizes the existing methods for initial and operational regulation of pipeline networks. By comparing and analyzing the principles, advantages, and application limitations of different methods, a theoretical foundation is established. Further, the steady-state hydraulic and thermal mechanism models of heat supply networks are analyzed. Subsequently, the paper validates the accuracy of the developed model through an example, thereby ensuring that the subsequent operation optimization is based on a correct model. Then, combined with the PSO algorithm, an operation optimization method for secondary networks is proposed, which yields hourly valve opening strategies for the secondary side of heat supply stations and heat users.
A case study of a secondary heat supply network in Beijing is conducted to verify the effectiveness of the proposed method by comparing it with historical data. As shown by the variance values of the return water temperature for each heat user at every moment in Figure 16, the secondary network operation optimization method proposed in this paper, based on load quantification analysis, accurately calculates the actual heat load of each user. Furthermore, by integrating hydraulic and thermal modeling analysis and parameter optimization of the pipeline network, the average variance of return water temperature is reduced by 12.16% compared with the historical data of heat users. Combined with the comparative analysis in Figure 14 and Figure 15, the return water temperature of each heat user is closer to the design value after optimization. The overall fluctuation of return water temperature for each user is smaller, and the heating stability is better. This method matches the hourly load demands of heat users more effectively and significantly improves the overall heating performance. This validates the effectiveness of the secondary network operation optimization method and addresses the issues of uneven heat distribution and excessive heating in the secondary network.
A circulation pump is installed at the return water point on the secondary side of the heat supply station. According to Table 6, the total electricity consumption of the circulation pump before optimization was 110.85 kWh, while after optimization, it was reduced to 92.60 kWh, representing a decrease of 16.46% in electricity consumption. This demonstrates the energy-saving nature of the optimization method proposed in this paper.
By analyzing the operation optimization strategy results of the 21 heat users shown in Figure 18, it can be seen that the overall valve adjustment strategies for each user correspond to the load variation patterns of the users and the current outdoor temperature. This indicates that the secondary network operation optimization method based on user load quantification can output appropriate valve adjustment strategies according to the weather and user load characteristics at a given moment. This not only ensures user comfort but also reduces the overall energy consumption of the system. It leads to a more balanced hydraulic and thermal distribution in the pipeline network and reduces the occurrence of heating imbalance. In the future, we will apply the optimization method used in this paper to more practical heating systems in order to improve the operational efficiency of heating systems and enhance user comfort.
Author Contributions
Conceptualization, G.T., X.L., J.Z. and N.Z.; methodology, G.T., X.L. and J.Z.; software, J.Z.; validation, N.Z., K.C., L.W. and Y.W.; writing—original draft preparation, J.Z., N.Z. and K.C.; writing—review and editing, K.C.; visualization, J.Z. and K.C.; supervision, Y.W. All authors have read and agreed to the published version of the manuscript.
Funding
This work is supported by “Pioneer” and “Leading Goose” R&D Program of Zhejiang (Grant No. 2024C03247), and the National Key R&D Program of China (Grant No. 2024YFB4206500).
Institutional Review Board Statement
Not applicable.
Informed Consent Statement
Not applicable.
Data Availability Statement
The data presented in this study are available on request from the corresponding author.
Conflicts of Interest
Author Guo Tang was employed by the company Sinopec New Star New Energy Research Institute Co., Ltd. The remaining authors declare that the research was conducted in the absence of any commercial or financial relationships that could be construed as a potential conflict of interest.
Glossary
| Term | Definition |
| Urban centralized heating systems | Systems that provide centralized heat supply to urban areas. |
| Secondary heating networks | The branch networks that distribute heat from heat supply stations to end-users. |
| User heat load | The amount of heat required by users under specific conditions. |
| Hydraulic and thermal modeling | Mathematical modeling and analysis of the hydraulic and thermal characteristics of heating pipeline networks. |
| Particle Swarm Optimization (PSO) algorithm | A population-based optimization algorithm inspired by the social behavior of bird flocking. |
| Valve opening degrees | The extent to which control valves in the heating system are opened. |
References
- “China’s Energy Development in the New Era” White Paper. 2020. Available online: https://english.mee.gov.cn/Resources/publications/Whitep/202012/t20201222_814160.shtml (accessed on 12 March 2025).
- Development Report on China’s Clean Heating Industry (2022); Clean Heating Industry Committee: Beijing, China, 2023.
- Zhou, S.; Li, H.; Gong, P.; Tian, M. Hydraulic Modeling of Double-Source and Ring-Shaped Heating Networks. Appl. Therm. Eng. 2017, 119, 215–221. [Google Scholar] [CrossRef]
- Zheng, X.; Xu, B.; Wang, Y.; You, S.; Zhang, H.; Wei, S.; Wang, N. Hydraulic Transient Modeling and Analysis of the District Heating Network. Sustain. Energy Grids Netw. 2021, 25, 100409. [Google Scholar] [CrossRef]
- Wang, Y.; Wang, X.; Zheng, L.; Gao, X.; Wang, Z.; You, S.; Zhang, H.; Wei, S. Thermo-Hydraulic Coupled Analysis of Long-Distance District Heating Systems Based on a Fully-Dynamic Model. Appl. Therm. Eng. 2023, 222, 119912. [Google Scholar] [CrossRef]
- Liu, X.; Wu, J.; Jenkins, N.; Bagdanavicius, A. Combined Analysis of Electricity and Heat Networks. Appl. Energy 2016, 162, 1238–1250. [Google Scholar] [CrossRef]
- Gabrielaitienė, I.; Bøhm, B.; Sundén, B. Dynamic Temperature Simulation in District Heating Systems in Denmark Regarding Pronounced Transient Behaviour. J. Civ. Eng. Manag. 2011, 17, 79–87. [Google Scholar] [CrossRef]
- Oppelt, T.; Urbaneck, T.; Gross, U.; Platzer, B. Dynamic Thermo-Hydraulic Model of District Cooling Networks. Appl. Therm. Eng. 2016, 102, 336–345. [Google Scholar] [CrossRef]
- Wang, H.; Meng, H. Improved Thermal Transient Modeling with New 3-Order Numerical Solution for a District Heating Network with Consideration of the Pipe Wall’s Thermal Inertia. Energy 2018, 160, 171–183. [Google Scholar] [CrossRef]
- Duquette, J.; Rowe, A.; Wild, P. Thermal Performance of a Steady State Physical Pipe Model for Simulating District Heating Grids with Variable Flow. Appl. Energy 2016, 178, 383–393. [Google Scholar] [CrossRef]
- Chen, J.; Chen, H.; Liang, Z.; Zheng, X.; Xiao, D.; Li, Y.; Yan, H. An Exergy Analysis Model for the Optimal Operation of Integrated Heat-and-Electricity-Based Energy Systems. Prot. Control Mod. Power Syst. 2024, 9, 1–18. [Google Scholar] [CrossRef]
- Zhou, S. Operational Parameters Prediction and Optimization Research of District Heating System Based on Pipe Network Dynamic Model. Ph.D. Thesis, Shandong University, Jinan, China, 2012. [Google Scholar]
- Wang, R.; Zhou, Z.; Jing, Q.; Chen, X. Research on Optimizing Control Strategy of Heating System in Colleges and Universities. Gas Heat 2020, 40, 1–8+43–44. [Google Scholar] [CrossRef]
- Jie, P.; Fu, L. Operational Regulation of the Secondary Network Ofdistrict Heating Systems Based on Actual Parameters. HV AC 2015, 44, 107–111. [Google Scholar] [CrossRef]
- Ancona, M.A.; Melino, F.; Peretto, A. An Optimization Procedure for District Heating Networks. Energy Procedia 2014, 61, 278–281. [Google Scholar] [CrossRef]
- Zhang, S.; Gu, W.; Qiu, H.; Yao, S.; Pan, G.; Chen, X. State Estimation Models of District Heating Networks for Integrated Energy System Considering Incomplete Measurements. Appl. Energy 2021, 282, 116105. [Google Scholar] [CrossRef]
- Liu, Z.; Zhang, H.; Wang, Y.; Fan, X.; You, S.; Li, A. Data-Driven Predictive Model for Feedback Control of Supply Temperature in Buildings with Radiator Heating System. Energy 2023, 280, 128248. [Google Scholar] [CrossRef]
- Zhou, X.; Liu, G.; Wang, X.; Yan, J. Study on Optimal Adjustment Method of Second Pipe Network in Central Heating System Based on Dynamic Hydraulic Balance. J. Cent. South Univ. 2019, 50, 220–233. [Google Scholar] [CrossRef]
- van der Zwan, S.; Pothof, I. Operational Optimization of District Heating Systems with Temperature Limited Sources. Energy Build. 2020, 226, 110347. [Google Scholar] [CrossRef]
- Wang, R.; Cong, M.; Zhou, Z.; Wei, C.; Ni, L.; Liu, J.; Chen, J. Investigation of Control Characteristics in Multi-User Building Heating System Based on Demand-Side Adjustment. Appl. Therm. Eng. 2023, 219, 119534. [Google Scholar] [CrossRef]
- Liu, Z.; Zhang, H.; Wang, Y.; Fan, X.; You, S.; Jiang, Y.; Gao, X. Optimization of Hydraulic Distribution Using Loop Adjustment Method in Meshed District Heating System with Multiple Heat Sources. Energy 2023, 284, 128595. [Google Scholar] [CrossRef]
- Lin, X.; Zhang, J.; Du-Ikonen, L.; Zhong, W. An Infiltration Load Calculation Model of Large-Space Buildings Based on the Grand Canonical Ensemble Theory. Energy 2023, 275, 127331. [Google Scholar] [CrossRef]
- Kennedy, J.; Eberhart, R. Particle Swarm Optimization. In Proceedings of the ICNN’95—International Conference on Neural Networks, Perth, WA, Australia, 27 November–1 December 1995; Volume 4, pp. 1942–1948. [Google Scholar]
- Ferziger, J.H.; Perić, M.; Street, R.L. Computational Methods for Fluid Dynamics, 3rd ed.; Springer: Berlin/Heidelberg, Germany, 2002. [Google Scholar]
Disclaimer/Publisher’s Note: The statements, opinions and data contained in all publications are solely those of the individual author(s) and contributor(s) and not of MDPI and/or the editor(s). MDPI and/or the editor(s) disclaim responsibility for any injury to people or property resulting from any ideas, methods, instructions or products referred to in the content. |
© 2025 by the authors. Licensee MDPI, Basel, Switzerland. This article is an open access article distributed under the terms and conditions of the Creative Commons Attribution (CC BY) license (https://creativecommons.org/licenses/by/4.0/).
























