Abstract
Community regeneration plays a pivotal role in creating human-centered spaces by transforming spatial configurations, enhancing multifunctional uses, and optimizing designs that promote sustainability and vibrancy. However, the influence of such regeneration on spatial vitality—particularly its spatial heterogeneity and nonlinear effects—remains insufficiently explored. This study presents a comprehensive framework that combines the Difference-in-Differences (DID) method with multiple socio-spatial correlated factors, including place agglomeration, individual agglomeration, and social perception, offering a systematic assessment of urban vitality and evaluating the impact of regeneration interventions. By leveraging street-level imagery to capture environmental changes pre- and post-regeneration, this research applies Gradient Boosting Decision Tree Regression (GBDT) to uncover nonlinear built environment dynamics affecting urban vitality. Empirical analysis from six districts in Suzhou reveals the following: (1) A pronounced increase in urban vitality is seen in core areas, while peripheral districts exhibit more moderate improvements, highlighting spatially uneven regeneration outcomes. (2) In historically significant areas such as Wuzhong, limited vitality gains underscore the complex interplay among historical preservation, spatial configurations, and urban development trajectories. (3) Furthermore, environmental transformations, including variations in sky visibility, nonprivate vehicles, architectural elements, and the introduction of glass-wall structures, exhibit nonlinear impacts with distinct threshold effects. This study advances the discourse on sustainable urban regeneration by proposing context-sensitive, data-driven assessment tools that reconcile heritage conservation with contemporary urban regeneration goals. It underscores the need for integrated, adaptive regeneration strategies that align with local conditions, historical contexts, and urban development trajectories, informing policies that promote green, inclusive, and digitally transformed cities.
1. Introduction
Against the backdrop of rapid urbanization accelerating globally, community regeneration plays a pivotal role in addressing the challenges of urban decay, fostering sustainable development, and realizing the 11th Sustainable Development Goal (SDG) of the United Nations 2030 Agenda—the creation of inclusive, safe, resilient, and sustainable cities and human settlements [1]. In China, community regeneration is a cornerstone of the strategic framework outlined in the 14th Five-Year Plan, underscoring the imperative to enhance spatial quality and performance in urban spaces [2]. Defined as communities built before 2000, old communities represent key targets for regeneration efforts, presenting complex challenges and opportunities across urban planning, land use, and architectural design [3]. As a multidimensional endeavor, community regeneration requires careful assessment of the spatial attributes and socioeconomic dynamics inherent to these areas, with a focus on improving the effectiveness of regeneration processes [4,5]. A human-centered approach prioritizes resident needs, fosters community engagement, and strengthens a sense of belonging and equity through strategic planning [6,7].
However, despite its substantial potential for fostering sustainable urban revitalization, the actual impact of community regeneration remains contested [8]. Administrative measures often focus on the retrofit level and superficial, cosmetic interventions that fail to address core social and spatial needs, resulting in suboptimal outcomes [9]. This disconnect between intervention strategies and actual improvements undermines residents’ quality of life (QoL) and threatens the long-term sustainability of renewed communities [10]. It is crucial to incorporate advanced methodologies to quantify and optimize regeneration impacts in urban planning and policy discourse [11,12]. Consequently, evaluating old community regeneration efficiency (OCRE) is essential for understanding contemporary challenges and guiding evidence-based regeneration planning.
Currently, advancements in quantitative spatial analysis have significantly improved the evaluation of OCRE, integrating theoretical and empirical rigor [13]. Given the dynamic relationship between urban systems and human well-being, quantitative assessments of regeneration efficiency provide essential insights to inform policy decisions. A range of innovative spatial analysis techniques now exist to assess spatial quality and urban vitality, leveraging multisourced big data [14,15]. Integrating diverse data sources facilitates a more holistic understanding of urban development trends, resident perceptions, and the intricate interplay between built environments and human activity [16].
For assessing the comparative spatial performance pre- and post-regeneration, the Difference-in-Differences (DID) model quantifies the impact of regeneration efforts by comparing treated and control communities before and after intervention [17]. In this study, the treated group comprises regenerated communities, while the control group consists of comparable communities without interventions [18]. Additionally, AI-driven image semantic segmentation is employed to capture and quantify spatial transformations. Furthermore, Gradient Boosting Decision Tree (GBDT) Regression is applied to street-level imagery to analyze environmental changes and their impact on urban vitality, identifying key spatial determinants [19,20]. This integrated approach allows for a deeper understanding of the impact of specific urban features on regeneration outcomes, enabling more targeted interventions to improve the urban environment [21,22], and it also improves the accuracy and reliability of the performance evaluation.
This article aims to evaluate OCRE using a comprehensive set of multisourced data. By reviewing the relevant literature and employing methodologies such as the DID and GBDT models, we quantitatively assess the performance of 226 old community regeneration projects in Suzhou. Additionally, the impact of community regeneration measures is analyzed using AI-based semantic image segmentation techniques. Specifically, this study seeks to address the following research questions:
- (1)
- To what extent did the community regeneration influence urban vitality in terms of social perception and spatial behavior?
- (2)
- How do community regeneration interventions impact urban vitality across different districts at varying stages of development?
- (3)
- Which built environment elements exhibit significant correlations with changes in urban vitality following regeneration efforts?
This research is structured as follows. First, based on a literature review, OCRE is initially quantified by integrating individual and place agglomeration with multisource data. Second, the DID model is applied to quantitatively assess OCRE. Third, machine learning-based semantic segmentation is used to quantify environmental elements surrounding the communities, followed by a correlation analysis with OCRE findings. Fourth, the results of the DID analysis and machine learning-based correlation analysis are examined through GBDT, providing insights into the overall impact of regeneration and its key influencing factors. Finally, policy recommendations and strategic suggestions for enhancing community regeneration efforts are proposed.
2. Literature Review
2.1. Regeneration Efficiency Assessment via Urban Vitality
Generally, OCRE refers to the outcomes and impacts of regeneration measures implemented within a community [23]. Specifically, building upon the United Nations Human Settlements Program’s urban regeneration assessment framework [24] and Couch’s input–output theory [25], this study explicitly defines OCRE as the optimization of resource investment—including capital, land, and human resources—over a specific period in relation to multidimensional benefits such as enhanced spatial vitality, social capital accumulation, and environmental quality improvements, achieved through a combination of physical interventions and socioeconomic policies. It encompasses both tangible and intangible aspects of regeneration actions, including the transformation of the built environment, socioeconomic revitalization, and improvements in residents’ overall well-being [26,27,28,29]. Research highlights the necessity of integrating a “socio-spatial” dual-cycle mechanism in OCRE evaluation [30,31]. This study innovatively introduces urban vitality as a mediating variable, constructing an “input–vitality transformation–social benefit” evaluation pathway through the quantitative coupling of spatial behavior (place aggregation) and social perception. This approach overcomes the traditional dichotomy between physical and social dimensions in regeneration assessments [32,33].
Urban regeneration serves as a critical mechanism for transforming the built environment, including housing conditions, building density, and the accessibility of green spaces, all of which significantly influence residents’ spatial behaviors and social perceptions [3,34,35]. Urban vitality, as a synthesized reflection of spatial behavior and social perception, offers a robust intermediary framework for evaluating regeneration effectiveness [36,37]. Key indicators of urban vitality are selected to capture economic, social, and physical dimensions, providing comprehensive insights into the multidimensional impacts of regeneration efforts [38,39,40].
Furthermore, residents’ demands for regeneration are multidimensional and dynamic, necessitating a theoretical framework to elucidate their prioritization [41,42]. For instance, the KANO model classifies demand attributes into three categories: must-be (basic), one-dimensional (performance), and attractive (excitement). This classification reveals the nonlinear relationship between demand fulfillment and resident satisfaction. Must-be demands represent fundamental expectations that regeneration projects must address (e.g., infrastructure safety), one-dimensional demands exhibit a proportional relationship with satisfaction (e.g., public space accessibility), and attractive demands exceed expectations and significantly enhance residents’ sense of identity and belonging (e.g., cultural heritage revitalization) [43]. Additionally, relying solely on environmental and physical indicators to assess OCRE risks neglects its intangible dimensions, including social cohesion and perceived well-being [44,45,46,47]. A holistic evaluation approach that incorporates residents’ spatial experiences and social perceptions is essential for capturing the full scope of regeneration effectiveness [45]. By assessing changes in spatial behavior and social perception before and after regeneration, this study seeks to provide deeper insights into the effectiveness of urban regeneration strategies, thereby offering empirical support for refining regeneration policies and decision-making processes [48].
2.2. Assessing OCRE via Multisource Data
Recently, the integration of multisource data has opened new avenues for a more comprehensive and systematic assessment of OCRE [38,46,49]. By incorporating diverse datasets, including administrative records, satellite imagery, sensor networks, and social media analytics, researchers can capture both explicit and latent dimensions of the regeneration process [50,51]. Especially against the backdrop of the post-pandemic era, street view data [52,53,54], geotagged data [55,56], and mobile signaling data have gained prominence due to their accessibility and real-time applicability [57,58,59,60,61].
Various methods and indicators have been developed to evaluate OCRE by leveraging large-scale geographic and spatiotemporal datasets [34,62]. These approaches typically apply econometric and statistical techniques to quantify regeneration efficiency, including DID, regression analysis, and cost–benefit analysis [63,64], as well as machine learning-based methods [65], etc. As the gold standard of quasi-experimental design, DID constructs a comparison between treated (regenerated) and untreated (non-regenerated) communities, effectively isolating policy intervention effects from confounding factors related to temporal trends and spatial heterogeneity [66]. This study builds upon Yoo et al.’s multiperiod DID approach in high-speed rail-induced gentrification research, adopting a dynamic treatment effects model (Dynamic DID) to capture the temporal evolution of regeneration effects and address the limitations of traditional DID in handling policy implementation heterogeneity [67]. To address nonlinear relationships, GBDT offers a powerful solution by adaptively combining features and optimizing binning thresholds, thereby capturing the asymmetric response mechanisms between built environment factors and urban vitality. For instance, Yuan’s study on tourist behavior during the pandemic highlighted threshold effects, demonstrating how GBDT overcomes the limitations of conventional linear regression in modeling spatial heterogeneity [68]. Each evaluation method has distinct advantages, and their complementary application enhances the reliability and integrative depth of OCRE assessments [47,62,69].
However, a major challenge in community regeneration research lies in the extraction, processing, and interpretation of statistical results from multisource data, which remains a subject of ongoing debate [70]. Notably, quantitative studies adopting a holistic perspective on community regeneration performance remain scarce [71]. The current volume of such research is misaligned with the human-centered urban regeneration policies increasingly emphasized in contemporary planning discourse, nor does it adequately respond to the evolving health and well-being demands of urban residents in the post-pandemic context [72,73]. This research gap not only limits urban planning practitioners’ ability to harness the full potential of community environments but also constrains the effectiveness of regeneration interventions aimed at enhancing public health and well-being.
2.3. Research Gaps and Framework
Several critical research gaps existed in the existing literature. First, while theoretical frameworks have been developed to define various aspects of urban community regeneration, there is a lack of systematic evaluation of regeneration effectiveness across different regional contexts. This gap highlights the need for a more nuanced understanding of how geospatial disparities influence the outcomes of urban regeneration initiatives. Additionally, the role of urban vitality as a mediating variable in assessing urban regeneration effectiveness remains underexplored. Although urban vitality is frequently mentioned as a crucial factor, its mediating effect requires further empirical validation.
From the methodological perspective, existing studies on urban vitality typically relied on either objective spatial metrics or subjective questionnaires. However, studies integrating objective and subjective approaches to provide a comprehensive assessment remain scarce. This indicates a significant gap in methodological rigor, limiting the accuracy of urban vitality measurements.
From the implementation perspective, while evaluating regeneration effectiveness is widely recognized to inform decision-making, its operationalization remains underdeveloped. The absence of rigorous statistical validation in practical applications weakens the reliability and applicability of such evaluations in guiding regeneration policies.
Addressing these research gaps requires a multifaceted approach incorporating theoretical, methodological, and practical advancements. This study systematically examines the multifaceted impacts of old community regeneration across diverse urban contexts, integrating advanced quantitative and AI-driven analytical methods (Figure 1). The research framework is structured into three core components: impact assessment, environmental quantification, and policy guidance. First, this study adopts a DID model to evaluate the regeneration effects on the built environment, spatial behavior, and social perception. By leveraging spatial and temporal variations in regeneration projects, this approach isolates the causal impact of interventions, providing empirical evidence for assessing the effectiveness of urban renewal efforts. Second, to quantify the physical environment, this study employs AI-based image semantic segmentation using GBDT. This method extracts streetscape elements—such as buildings, greenery, roads, and sky—from urban imagery, enabling a refined analysis of how different spatial attributes contribute to the regeneration outcomes. The quantified environmental features are then incorporated into the DID model to explore their moderating effects on regeneration impacts. Third, this study synthesizes these analytical results to formulate policy and design recommendations. By linking the observed changes in the built environment and behavioral responses to specific urban renewal strategies, the research provides actionable insights for optimizing future regeneration projects. The findings offer guidance on balancing physical upgrades with social well-being, ensuring that urban renewal enhances both spatial quality and residents’ experiences. Through this integrated approach, this study bridges quantitative assessment with AI-driven urban analytics, advancing methodological rigor in regeneration studies while offering practical implications for urban policy and design interventions.
Figure 1.
Research framework.
3. Methods and Data
3.1. Study Area
This research selects the Suzhou City area as the research area, including Xiangcheng, Gusu, Suzhou New District (SND), Suzhou Industrial Park (SIP), Wuzhong, and Wujiang, due to its strategic role in urban regeneration and its well-established policy framework. As one of China’s first designated National Historic and Cultural Cities, Suzhou retains 22.5 square kilometers of Ming and Qing dynasty historical districts, accounting for 7.3% of its built-up area. Its aging neighborhoods exhibit a dual-heritage character—both as physical remnants of traditional residential forms (with a median building age of 1987) and as carriers of the “water alley” social network, with a community organization density of 3.2 per 1000 residents [74]. This unique coexistence of physical decay and social capital makes Suzhou an ideal case for examining the multidimensional paradox of urban renewal efficiency [75]. On the one hand, located within China’s eastern coastal economic belt, Suzhou faces unique geographical and urban challenges, particularly due to numerous outdated communities stemming from its long historical background and extensive urban footprint. On the other hand, driven by the needs of government policy background, in 2021, Suzhou was selected as one of the first 21 cities nationwide for urban regeneration pilot projects. Additionally, relevant government policies such as Jiangsu Province’s “Regulations on Housing Demolition and Relocation” and specific urban regeneration policies in Suzhou underscore the urgent need to address these issues.
This study selected 226 renewed communities in the Suzhou City area from 2019 to 2021 as the experimental group. For comparison, 241 similar communities within a 1000 m radius, which have not undergone regeneration, were selected as the control group. The selection of “comparable communities” follows precise criteria: building age differences remain within ±5 years, floor area ratio variations do not exceed 0.3, and community size (measured by building area) differs by no more than ±15%. Additionally, only communities with the same residential typology (low-rise/high-rise) qualify. To ensure comparability, the analysis also accounts for balance in infrastructure and population density. The study area is divided into three zones: black denotes the 226 renewed communities in the experimental group, blue represents the 241 nonrenewed communities in the control group, and gray marks other communities in Suzhou that are not included in this study. Figure 2 mainly shows the sample distribution of Suzhou District, where blue represents the control group building outline, red represents the experimental group building outline, and the gray area represents the updated project building outline in Suzhou.
Figure 2.
Research area and distribution of research objects.
3.2. Research Methods
3.2.1. Spatial Qualitative Analysis Methods
- (1)
- Place-based: place agglomeration
Previous studies suggest that the degree of agglomeration of different types of places to some extent reflects the changing trend of urban vitality, especially the changes in catering venues. Therefore, this study quantifies the agglomeration degree of place by exploring the agglomeration trend of catering in POI data. The specific formula is as follows:
Among them, S is the agglomeration degree of places, a is the type of old communities’ regeneration, i is the type of places, p is the number of places, t is the weight of places, and G is the area of regeneration projects.
- (2)
- People-based: individual agglomeration
The degree of individual agglomeration in different areas could reflect the changing trend of urban vitality. This study quantifies the agglomeration degree of individuals by exploring the spatial clustering patterns of Weibo check-in data. The specific formula is as follows:
Among them, H is the agglomeration degree of individuals, a is the type of old communities’ regeneration, i is the type of places, t is the weight of places, k is the number of individuals, and G is the area of regeneration projects. Notably, the location weights in Equations (1) and (2) represent each site’s relative influence on overall clustering. Research indicates that in urban renewal, commercial and public facilities exert a stronger impact than residential upgrades [76]. Accordingly, this study assigns differentiated weights based on facility type to enhance analytical precision and methodological robustness.
- (3)
- Social Perception
Social network information often reflects the emotional tendencies of groups. This study retrieves location-based textual data from a social media platform named Sina Weibo, one of China’s most widely used social networking platforms. These data are processed using machine learning techniques to reflect the social perception bias of specific locations, aiming to quantify the social perception of old community regeneration. The process is outlined in Figure 3.
Figure 3.
Schematic diagram of the principle of sentiment map analysis.
This study utilizes SnowNLP, a machine learning based natural language processing library, to perform sentiment analysis and keyword extraction on Weibo texts. Each positive word is assigned a value of 1, while each negative word is assigned a value of −1. These values are used to calculate the comprehensive score for each coordinate. A smaller average score indicates stronger negative emotions, while a larger score indicates stronger positive emotions. ArcGIS’s spatial join is used to assign values and visualize the social perception around old communities, revealing the overall trend and tendency of Weibo sentiment from 2015 to 2023. This process helps calculate the social perception before and after the old community’s regeneration.
- (4)
- Principal component analysis (PCA)
PCA is a technique used to analyze and simplify datasets. It aims to reduce the dimensionality of the dataset while retaining the features that contribute the most to the variance in the data. In this study, PCA is used to construct a covariance matrix for three dimensions: “individual agglomeration”, “place agglomeration”, and “social perception”. The covariance matrix is then subjected to eigenvalue decomposition, and the top k eigenvectors corresponding to the largest eigenvalues are selected as the principal components. The specific formula is as follows:
where are the original variables, namely, “individual agglomeration”, “place agglomeration”, and “social perception”. The coefficients are transformation coefficients used to determine how to transform the original variables into principal components, forming an n × p data matrix X, where n is the number of samples and p is the number of original variables. Using Formula (3), the original variables are transformed into a new set of uncorrelated variables , to quantify the changes in vitality before and after the regeneration of old communities.
3.2.2. DID Model
This study uses the difference model method to analyze the differences before and after the old community regeneration areas. The DID model is usually used to evaluate the performance of policy interventions, and the specific calculation formula is as follows:
Among them, is the regeneration performance of the i community at time t, indicates whether it is within the time period after the policy intervention, and is the double difference estimator, reflecting the old community regeneration. The effect on the regeneration performance of the treated group relative to the control group. To minimize cross-regional interference and isolate the impact of community regeneration on urban vitality, this study employed a matching approach for the treatment and control groups. This method ensured both groups remained comparable across key variables, reducing the influence of extraneous factors and enhancing the accuracy of the estimated regeneration effects.
3.2.3. Spatial Quantitative Analysis
- (1)
- Image semantic segmentation
In this study, image semantic segmentation was used to quantify the differences in the built environment before and after the regeneration of 226 old communities. Image semantic segmentation is a computer vision technology that can segment different regions in an image and label their semantic information, such as buildings, roads, green spaces, etc. Detailed data about the environmental characteristics around the regeneration project can be obtained by quantifying the built environment. In this study, the research team used image semantic segmentation technology to quantify the built environment around the old communities, based on the PyCharm 3.5 platform, and ran an image semantic segmentation model to perform scene analysis on the current street view dataset, including changes in buildings, vegetation, sky, roads, and infrastructure. A pixel-based semantic segmentation method was used, and a large amount of labeled data was used to train the model for pixel-level semantic segmentation of images to explore the factors that affect the performance of old community regeneration.
- (2)
- GBDT
GBDT primarily addresses the optimization problem of general loss functions. Its core idea involves fitting the negative gradient of the loss function to the residual of the previous round of base learners. This process progressively reduces the residual estimation at each round, thereby approaching the true value with each subsequent round of base learner output. Fitting along the negative gradient direction ensures that each training round minimizes the loss function as quickly as possible, facilitating convergence to a local or global optimum. Given an input training set T = {(x1, y1), (x2, y2), …, (xN, yN)}, and a loss function L(y, f(x)), the final GBDT model can be roughly divided into three steps.
N denotes the number of urban regeneration projects, M represents the number of regression trees, J signifies the number of leaf nodes in the regression trees, I(x) indicates the indicator function for judging elements in a set, and θ represents transcendental parameters.
3.3. Data Collection
The research data can be roughly divided into four categories based on data analysis methods, namely, POI data, Weibo check-in data (Weibo check-in data and Weibo text data), updated project information, and urban street view data (Table 1). To address the bias that user sentiment may not directly relate to check-ins’ locations—for instance, negative sentiments expressed in a park may stem from personal issues rather than the park itself—this study refines text analysis to minimize such interference. Using natural language processing (NLP), we filter Weibo posts that explicitly reference spatial attributes (e.g., “outdated plaza facilities” or “insufficient greenery”) while excluding those containing only generic emotional terms (e.g., “feeling down”) without location-specific context. A domain-specific sentiment analysis model further enhances precision by prioritizing emotions tied to urban spatial experiences (e.g., “crowded”, “convenient”, or “aesthetic”) over generalized personal feelings (e.g., “work stress”), reducing the impact of unrelated sentiment [36].
Table 1.
A detailed description of the data sources used in our empirical research.
4. Results
4.1. Qualitative Analysis Results
4.1.1. Spatial Analysis via Spatial Behavior and Social Perception
This research conducts spatial analysis on population agglomeration, place agglomeration, and social perception via POI data, Weibo check-in data, and Weibo text data from 2019 to 2023, aiming to reveal the changing characteristics of spatial patterns of social activities in time series (Figure 4). Density scores and sentiment scores are represented using color coding, where blue squares indicate areas with negative sentiment and lower scores. In comparison, red squares represent areas with positive sentiment and higher scores, thus constructing sentiment spatial maps and spatial density maps.
Figure 4.
Schematic diagram of changes in three indicators. Note: The images represent the spatial distribution of three-dimensional indicators, including individual agglomeration (up), social perception (middle), and place agglomeration (down).
The spatial distribution trend based on Weibo check-in data (Figure 4, top) indicates that in 2019, population aggregation also exhibited significant clustering characteristics in the ancient city area of Gusu. Compared to 2019, the spatial clustering effect in 2021 was enhanced, which was particularly evident in the overall elevation of the core area of the ancient city. In contrast, not only was the clustering effect in 2023 enhanced in the core area but also the geographical range of its radiation influence significantly expanded. Additionally, the Weibo check-in density in 2023 was significantly higher than in the previous period, indicating a denser distribution of social activities in the online space. During this period, several new high-intensity aggregation areas emerged in the surrounding areas of Suzhou, further confirming the trend of expansion and deepening of social activities in space. In summary, as time progresses to 2023, population aggregation increases in density in the core area and achieves density growth and clustering effect expansion in a broader geographical range, reflecting the dynamic evolution process of the spatial structure and social network activities.
Figure 4 adopts a 500 m grid as the fundamental spatial unit, a choice informed by the Modifiable Areal Unit Problem (MAUP) framework. This meso-scale resolution balances research validity with computational efficiency. Unlike administrative units, a regular grid mitigates boundary heterogeneity and scale dependency issues [77]. Methodologically, the 500 m resolution meets the minimum statistical unit required for identifying spatial behavior patterns, capturing spatial autocorrelation in movement trajectories while discretizing social perception data [78]. Studies further indicate that at this resolution, the Heterogeneity Index effectively captures the spillover effects of community regeneration while avoiding the ecological fallacy. Overly fine spatial divisions can amplify outliers, distorting regional trends and misrepresenting local anomalies as broader patterns [79].
The sentiment map transform trend based on Weibo text data (Figure 4, middle) shows that in 2019, the distribution of social perception exhibits specific geographical clustering patterns, with the core area focusing on the ancient city area within Gusu District, demonstrating a relatively uniform positive sentiment tendency. At the same time, there is a non-uniform distribution around the clustering center of the ancient city area, indicating that positive sentiment spills over to some extent and affects surrounding areas. The density of social perception in 2019 was low, with limited coverage of positive sentiment areas, indicating a state of weak density distribution. In 2021, the ancient city area remained the core area of high clustering, with high consistency in the radiation range, and the overall spatial clustering effect was enhanced. Moving to 2023, social perception aggregation was no longer limited to the ancient city area of Gusu but extended to a broader border area, including Gusu District, New District, and industrial parks, forming a multicentered high-density emotional aggregation zone. At the same time, the overall density of social perception was significantly enhanced, and high-emotion perception areas were more concentrated within these newly formed aggregation areas, highlighting the trend of concentration and reinforcement of positive emotional expression. Overall, from 2019 to 2023, emotional aggregation not only expands in geographical range but also tends to be more complex in its internal structure, accompanied by the increase in overall emotional expression density, demonstrating profound changes in the spatial pattern of social network emotional expression.
The spatial distribution trend based on POI data (Figure 4, down) shows that in 2019, place aggregation exhibited significant clustering characteristics in space, with the ancient city area of Gusu District becoming the core area of clustering phenomena. Clustering effects were not limited to the interior of the ancient city but also spread outward along the east–west axis. Compared to 2019, in 2021, the ancient city area remained the core area of high clustering, with high consistency in the radiation range. However, the spatial clustering effect in 2021 declined, with a noticeable decrease in the clustering density of the core area. By contrast, the spatial distribution pattern in 2023, while retaining similar core clustering areas as in 2021, showed enhanced clustering effects in the core area, and the geographical range of radiation influence significantly expanded. In general, as time progresses to 2023, place aggregation not only increases in density in the core area but also achieves density growth and clustering effect expansion in a broader geographical range.
4.1.2. PCA Analysis Results
The results in Figure 4 indicate significant differences in the values of the three indicators. Therefore, this study utilized principal component analysis (PCA) to reduce the dimensions of the three indicators and calculate urban vitality. Based on this, this study divided the results into seven models using administrative boundary boundaries. Models 1–7 correspond to the seven regions of Suzhou: Suzhou Urban Area, Gusu District, Xiangcheng District, SIP, SND, Wuzhong District, and Wujiang District. Table 2 displays the cross-tabulation results of different regions (Suzhou Urban Area, Gusu, Xiangcheng, SIP, SND, Wuzhong, Wujiang) in 2019, 2021, and 2023. The model serves as the grouping variable, and Vitality19, -21, and -23 are the analysis variables in the cross-analysis results, including variables, frequencies, percentages, etc.
Table 2.
Descriptive statistics on the changes in indicators.
4.2. DID Analysis Results
4.2.1. Parallel Trend Test
Figure 5 displays the results of the parallel trend test for different regions (Suzhou Urban Area, Gusu, Xiangcheng, SIP, SND, Wuzhong, Wujiang) during the period from 2019 to 2023. The horizontal axis represents the time period (the first four periods before the update, with each period spanning six months, followed by the four periods after the update), while the vertical axis represents urban vitality. Before the project update, all seven models’ experimental and control groups exhibited parallel trends in their impact on urban vitality. This serves as the basis for constructing the DID model analysis.
Figure 5.
Parallel trend test diagram (Models 1–7). (Note: This figure demonstrates the parallel pre-trends followed by a structural break in the transaction outcomes of the treated and control groups before and after the project regeneration).
4.2.2. Reliability Test of DID Model
Table 3 presents the results of the DID analysis used to assess the impact of rejuvenating old communities on urban vitality in different regions (Suzhou Urban Area, Gusu, Xiangcheng, Suzhou Industrial Park, Suzhou New District, Wuzhong, Wujiang), including the results of different models (Model 1 to Model 7). Among them, the p-value of Model 1 is 0.00 ***, indicating statistical significance and thus confirming validity. The Diff-in-Diff coefficient is 0.25, suggesting that the intervention in old communities’ regeneration in the Suzhou Urban Area positively and effectively impacts urban vitality. Similarly, the p-values of Models 2, 4, 5, and 7 indicate significant results, which can be accepted.
Table 3.
Analysis and reliability testing of different models for DID.
4.3. A Case Study on the Applicability of Gusu District as a Sample
Suzhou’s Gusu District (Model 2) is chosen as a case sample for further analysis using street view semantic analysis and GBDT to investigate the impact of urban built environment on urban vitality, aiming to provide further guidance for urban regeneration.
The selection of old community renovation projects within Suzhou’s Gusu District (Model 2) as a case sample is primarily motivated by two reasons. Firstly, the significant results of the DID analysis in Gusu District indicate a pronounced effect. This suggests a substantial change in the renovation projects of old communities in Gusu District before and after the intervention. This is crucial for studying intervention effects and evaluating policy impacts. The marked results in Gusu District bolster the credibility and persuasiveness of the research findings. Secondly, the concentration of samples of old community regeneration projects in Gusu District renders the research outcomes more representative and informative. Being a core area of Suzhou City, Gusu District exhibits typicality in policy implementation and unique geographical advantages.
4.3.1. Image Semantic Segmentation Results
A machine learning algorithm constructed an image segmentation model to verify the measurement results. The main focus was quantifying the changes in the built environment, including buildings, vegetation, sky, roads, infrastructure, and other elements, around 226 old communities to evaluate the differences in the surrounding environment after the old community regeneration. To present the results more intuitively, examples of images with more significant differences are presented in Figure 6. It can be seen that there is some variability in the changes in the built environment before and after the old community regeneration.
Figure 6.
Schematic diagram of selecting objects and image semantics. (Note: The figure mainly shows the sample distribution of Suzhou Gusu District (Model 2), where blue represents the control group building outline, red represents the experimental group building outline, and the gray area represents the updated project building outline in Suzhou).
4.3.2. GBDT Analysis Results
The results in Figure 7 illustrate the relative importance of street view elements, such as sky, individual, nonprivate cars, and buildings, in the urban built environment on urban vitality. The total relative importance value of all predictive variables is 100%. These variables are ranked based on their importance in predicting results, with those deemed to have higher importance considered to exert more influence on the model’s predictions (Figure 8).
Figure 7.
Analysis of impact weights of GBDT Secondary Indicator Model to OCRE. (Note: The figure shows the weight of environmental factors in the urban built-up environment on the efficiency of urban regeneration. The Y-axis represents the category of elements for semantic segmentation of street scenes, and the X-axis represents the proportion of influence weights).
Figure 8.
The impact analysis of spatial elements on urban vitality via decision tree.
Building upon this, the predictive variables of urban street view elements are categorized into three groups: community architecture, landscape greenery, and facility and transportation. The results in Table 4 depict the relative importance of these three categories of predictive variables on urban vitality. Among them, facility and transportation accounts for approximately 30.2% of the total importance, highlighting the crucial role of facilities and transportation in urban activities. Nonprivate cars contribute approximately 14.8%, indicating their greater importance than other variables, such as private cars.
Table 4.
Relative importance of predictors to urban vitality.
Regarding landscape greenery, the proportion of sky in the predictive variables is a significant predictor, followed by shrubs, trees, and rivers. Community architecture contributes, collectively, 29.9%, where buildings emerge as important predictive factors, followed by glass walls and sidewalks.
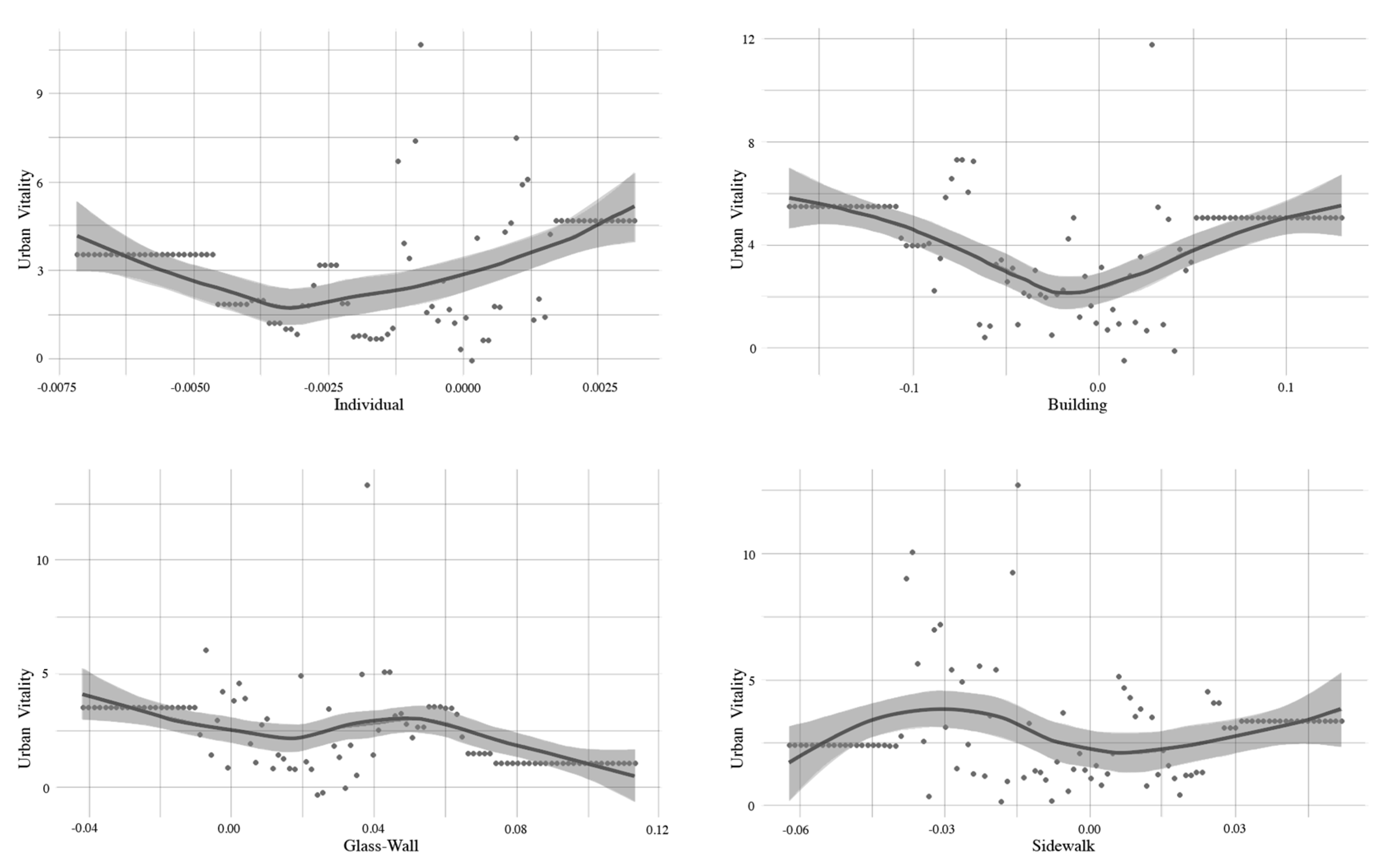
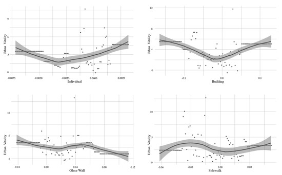
Figure 9 illustrates the linear relationship between the community architecture variables and urban vitality. This figure shows the relative importance of a single streetscape element to urban vitality in the built-up area environment. The Y-axis represents the urban vitality used to characterize the efficiency of urban regeneration, while the X-axis represents the proportional scale of a single streetscape element. When the performance of individuals is below a neutral level, their influence weight is limited. The building has a higher impact on urban vitality at lower and higher values. In other words, when the stock of community buildings is either low or high, it increases the impact on urban vitality. In contrast, the glass wall and sidewalk variables exhibit a nonsignificant linear relationship. The characteristics of these two variables show a relatively smooth fluctuating trend in their influence on urban vitality as the variable scale changes.
Figure 9.
Nonlinear analysis of individuals and built environment variables and urban vitality.
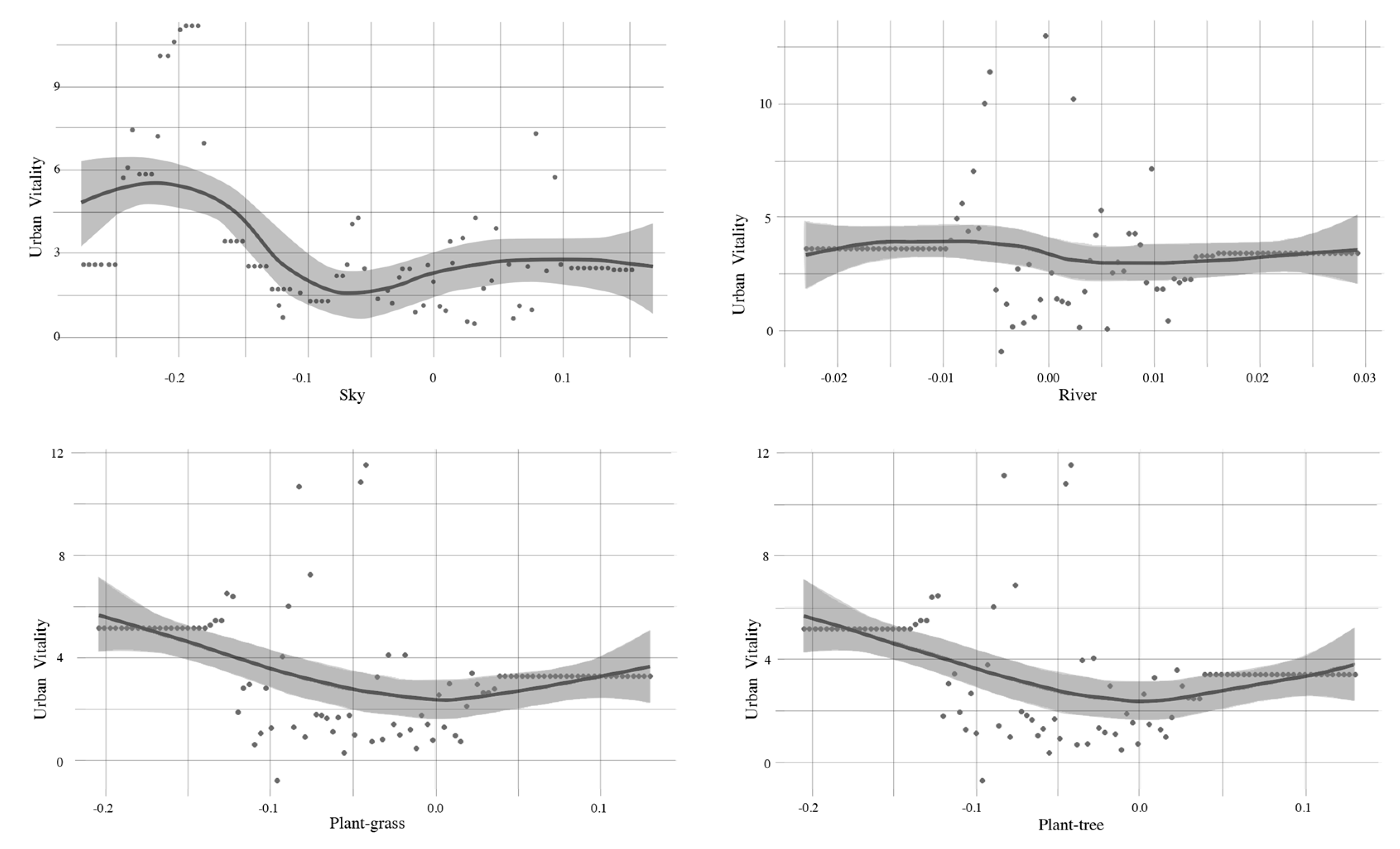
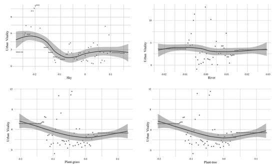
Figure 10 displays the relationship between landscape greenery and urban vitality. In particular, when the value of the sky variable is low, it exerts a higher impact on urban vitality. Conversely, both planted grass and planted trees have a higher impact on urban vitality at both their lower and higher values. In other words, when planted grass and planted trees are either low or high, they increase their impact on urban vitality. The river variable shows a nonsignificant linear relationship. The characteristic of this variable is a relatively smooth fluctuating trend in its influence on urban vitality as the variable scale changes.
Figure 10.
Nonlinear analysis of landscape greenery variables with urban vitality. (Note: This figure shows the relative importance of a single streetscape element to urban vitality in the built-up area environment. The Y-axis represents the urban vitality used to characterize the efficiency of urban regeneration, while the X-axis represents the proportional scale of a single streetscape element).
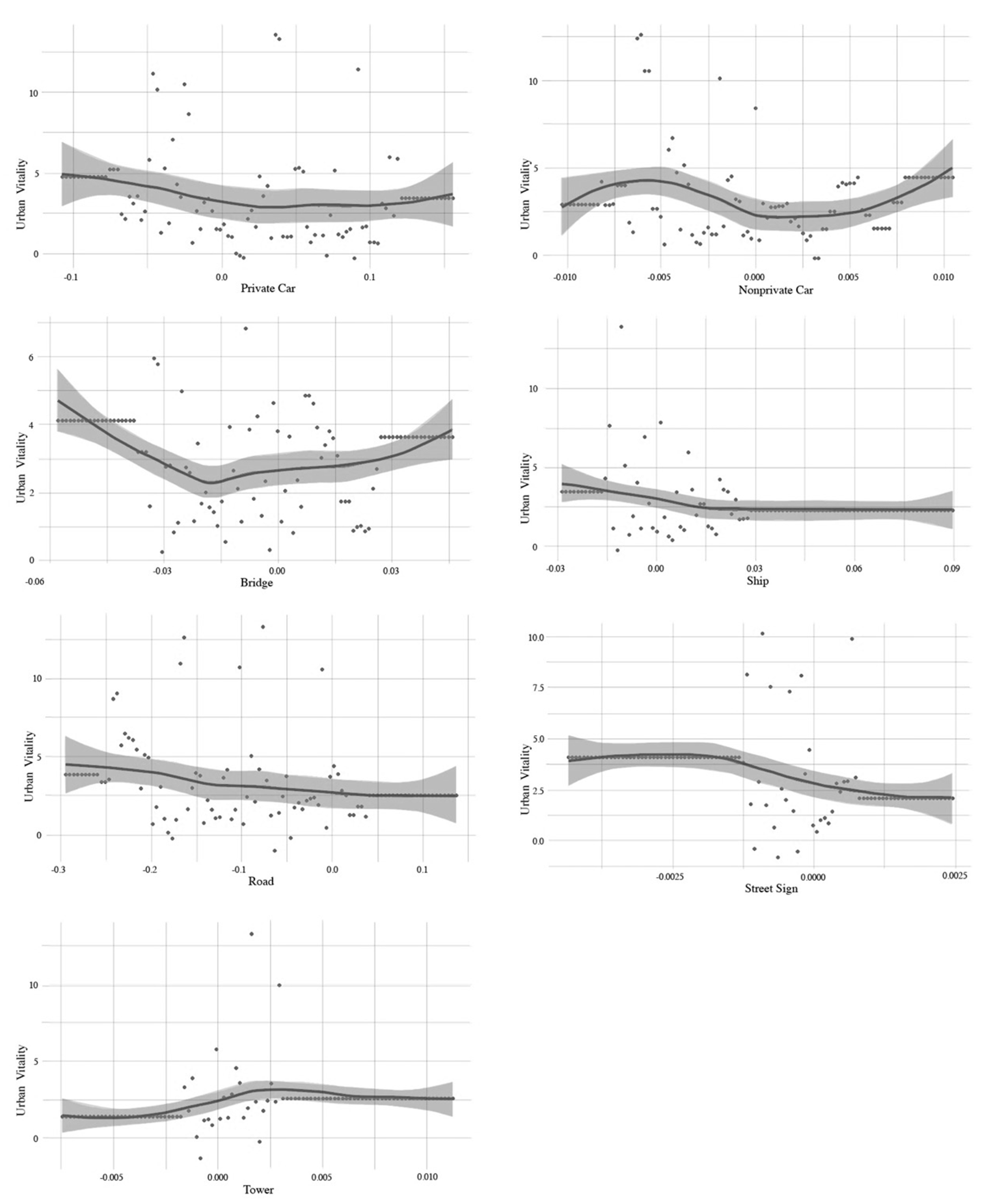
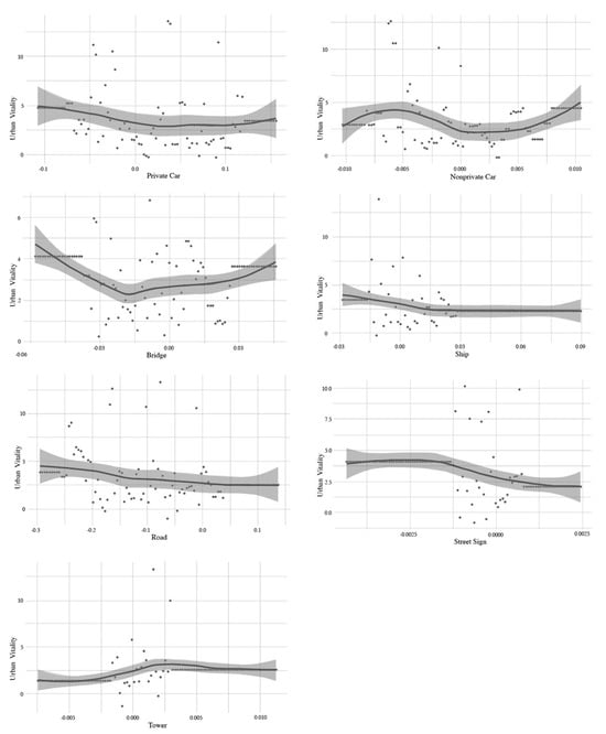
Figure 11 depicts the relationship between facilities’ transportation and urban vitality. Specifically, the bridge variable has a higher impact on urban vitality at both its lower and higher values. In other words, when the bridge variable is either low or high, its impact on urban vitality increases. The private car, ship, and road variables exhibit a nonsignificant linear relationship. The characteristic of these variables is a smooth downward trend in their influence on urban vitality as the variable scale changes, but the overall trend decreases slowly. The nonprivate car variable shows a high impact weight on urban vitality at scale 2 and the lowest impact weight on urban vitality at scale 4, but overall, it exhibits a smooth fluctuating trend.
Figure 11.
Nonlinear analysis of facility transportation variables with urban vitality. (Note: This figure shows the relative importance of a single streetscape element to urban vitality in the built-up area environment. The Y-axis represents the urban vitality used to characterize the efficiency of urban regeneration, while the X-axis represents the proportional scale of a single streetscape element).
5. Discussion
5.1. To What Extent Did the Community Regeneration Influence Urban Vitality Regarding Social Perception and Spatial Behavior?
According to the Model 1 results in Table 3, old community regeneration in Suzhou’s urban area significantly enhanced urban vitality from 2019 to 2023, with a coefficient of 0.25. This aligns with findings from the empirical research in Hong Kong, Shenzhen, and Berlin [80,81,82], reinforcing that urban regeneration revitalizes the built environment by activating social attributes and optimizing place functionality, thereby attracting people and reshaping urban dynamics [83].
From a social perception perspective, regeneration satisfies fundamental social needs. Sentiment analysis of Weibo text data (2019–2023) reveals an intensified demand for social interaction post-pandemic, reflecting a broader societal need rather than an isolated preference. According to needs theory, individuals prioritize different needs dynamically; once physiological and safety needs are met, social engagement becomes dominant [84,85]. Urban regeneration, particularly in old communities, provides essential conditions for social interaction, manifesting in shifting social network activities and enhanced collective perception.
From a spatial behavior perspective, regeneration fosters population clustering and functional aggregation. Upgrades such as public facility expansion, road interface improvements, and enhanced greening boost comfort and visual appeal, drawing people to specific areas. The “herd effect” suggests individuals instinctively align with collective behavior trends [86]. Spatial diversity analysis using POI and Weibo check-in data confirms increased aggregation over time, indicating that regeneration enhances place attractiveness while strengthening functional spatial attributes.
5.2. How Consistent Are the Impacts of Community Regeneration Interventions on Urban Vitality Across Districts at Different Stages of Development?
Results from Models 2–7 in Table 3 show that while regeneration positively affects urban vitality overall, its impact varies by district. Models 2, 4, 5, and 7 show significant positive effects, whereas Models 3 and 6 suggest no substantial impact.
Urban vitality coefficients are highest in Gusu (Model 2: 0.29), SIP (Model 4), and SND (Model 5). Gusu’s dominance suggests that regeneration effects depend on the development stage and historical–cultural accumulation. The KANO model categorizes individual demand attributes as basic, expected, or attractive. Basic and attractive attributes follow nonlinear patterns, where regeneration’s impact increases exponentially with intervention intensity. Expected attributes, however, exhibit a linear relationship, strengthening as interventions become more comprehensive [43,87].
Gusu, characterized by traditional Suzhou-style architecture, outdated infrastructure, and deteriorating buildings, primarily sees regeneration fulfilling expected attributes, leading to the highest vitality coefficient. SIP and SND, modern districts with weak preexisting vitality or specific development patterns, emphasize basic attribute expansion. Here, despite regeneration efforts, vitality gains remain moderate, failing to generate the anticipated transformative effect.
5.3. Which Elements of the Built Environment Demonstrate Significant Correlations with Changes in Urban Vitality Following Community Regeneration Efforts?
Figure 7’s results indicate that changes in the built environment can influence individual behavior to a certain extent. Excessive commercialization can erode local identity, altering urban vitality in distinct ways depending on the relative importance of built elements [83]. Table 4 categorizes predictive variables in the built environment into three categories based on spatial attributes: community architecture (23.9), landscape and greenery (29.9), and facility and transportation (30.2).
In the architectural elements, buildings and glass walls hold high importance coefficients. The Prospect Refuge Theory suggests that a place that can be seen but not seen by others can give people a sense of security, relaxation, and pleasure [88,89]. Glass walls, to some extent, fulfill this characteristic. Additionally, the nonlinear relationship shown in Figure 8 indicates that the relative importance of the glass-wall variable increases within the 0.02–0.04 scale range concerning urban vitality. Therefore, in urban planning processes, it is essential to appropriately control the proportion of glass walls to enhance urban vitality.
Within the facility and transportation variable set, Table 4’s results demonstrate the relatively high importance of elements such as towers, ships, and bridges for urban vitality. Although the growth characteristics of these elements shown in Figure 10 may differ from the KANO model, when these elements are concentrated, such as “small bridges flowing water”, “ancient towers”, and “pavilion boats”, they will significantly enhance the urban vitality of a single region [52,90,91]. Therefore, while rejuvenating old communities, attention should be paid to maintaining Suzhou’s unique regional characteristics, integrating regional place features into modern urban textures, and shaping a series of spatial nodes rich in regional characteristics to enhance the city’s overall vitality.
Though landscape greenery (29.9) also scores high, elements like sky, vegetation, and rivers act as indirect environmental factors. Figure 9 shows that their importance diminishes beyond a certain threshold, suggesting that while greenery contributes to urban vitality, excessive proportions may dilute its effectiveness.
6. Conclusions
This research investigates the impact of urban regeneration on urban vitality using the DID method. It quantifies the urban vitality of seven regions in Suzhou City from the perspectives of spatial behavior and social perception. Three dimensions, namely, “place aggregation”, “individual aggregation”, and “social perception”, are selected and combined with the PCA method for comprehensive quantification. Street-level images capturing environmental changes before and after regeneration are analyzed using GBDT to identify various spatial factors influencing urban vitality.
The findings reveal that old community regeneration has generally enhanced urban vitality, yet significant regional differences in policy effects highlight the presence of spatial nonstationarity. The DID results demonstrate that community regeneration has had a pronounced positive impact on urban vitality in areas such as Gusu (Model 2, β = 0.29), SIP (Model 4, β = 0.28), and SND (Model 5, β = 0.25), exhibiting a gradient effect across different urban contexts. In terms of nonlinear influence mechanisms, GBDT analysis identifies built environment features—notably architectural structures (feature importance = 0.12)—as key determinants, revealing an interaction effect with threshold characteristics. Additionally, street view image analysis further confirms the significance of façade renovation and pedestrian-friendly facilities in shaping urban vitality.
The contribution of this paper lies in theoretical supplementation, methodological framework construction, and applicability research of regeneration decisions. Specifically, this paper employs urban vitality as an intermediary value to quantify the effectiveness of urban regeneration, aiming to provide a new measurement perspective for evaluating urban regeneration effectiveness. On the methodological perspective, from the perspectives of spatial behavior and social perception, this paper comprehensively quantifies urban vitality by selecting three dimensions, namely, “place aggregation”, “individual aggregation”, and “social perception”, combined with the PCA method. It utilizes DID to explore the impact of old community regeneration on urban vitality, offering a new research approach for measuring its effectiveness. For the implementation aspect, this paper uses GBDT to investigate the relevance and importance of environmental variables in the urban built environment to assist in formulating urban regeneration decisions, further enhancing the applicability and feasibility of urban regeneration decisions.
Although leveraging multisource data to quantify community-level vitality provides valuable insights for sustainable land use and urban management, this approach has inherent limitations. The current study evaluates urban vitality in Suzhou using POI data, Weibo check-in data, and Weibo text data, yet the generalizability of these data requires further validation on a larger spatial scale. Future research should extend the current findings to a broader geographical context, such as the Yangtze River Delta urban agglomeration, to explore policy heterogeneity across different city tiers and cultural settings. Moreover, temporal constraints in traditional POI and social media data hinder real-time monitoring of urban vitality during the regeneration process. To address this, future studies should incorporate in-depth interviews and user behavior profiling (e.g., check-in frequency and historical trajectories) to distinguish localized perceptions from generalized emotional expressions. Additionally, integrating real-time data streams such as mobile signaling data and shared bicycle trajectories could facilitate the development of a dynamic urban vitality response model. Lastly, the incorporation of eye-tracking experiments and monitoring techniques would allow for more precise quantification of neurocognitive responses to built environment elements, thereby enhancing the reliability of social perception measurements.
Author Contributions
Conceptualization, H.N. and J.Y.; data curation, P.L.; formal analysis, H.N.; investigation, H.L. and P.L.; methodology, H.L. and P.L.; project administration, H.N. and J.Y.; resources, H.N., H.L. and J.Y.; supervision, H.N. and J.Y.; validation, H.N., H.L. and J.Y.; visualization, P.L.; writing—original draft, H.N., H.L. and P.L.; writing—review and editing, H.N., H.L. and J.Y. All authors have read and agreed to the published version of the manuscript.
Funding
This research was funded by the Advantageous Discipline Construction Project for Urban and Rural Planning in Jiangsu Universities (2022–2025) and the key disciplines of Architecture and Landscape Architecture in Jiangsu Province during the 14th Five Year Plan period (2022–2025).
Institutional Review Board Statement
Not applicable.
Informed Consent Statement
Not applicable.
Data Availability Statement
The original contributions presented in the study are included in the article, further inquiries can be directed to the corresponding author.
Conflicts of Interest
The authors declare no conflicts of interest.
References
- Kalfas, D.; Kalogiannidis, S.; Chatzitheodoridis, F.; Toska, E. Urbanization and Land Use Planning for Achieving the Sustainable Development Goals (SDGs): A Case Study of Greece. Urban Sci. 2023, 7, 43. [Google Scholar] [CrossRef]
- State Council of the PRC Notice of the General Office of the Ministry of Housing and Urban Rural Development on Carrying out the First Batch of Urban Renewal Pilot Work. Available online: https://www.gov.cn/zhengce/zhengceku/2021-11/06/content_5649443.htm (accessed on 10 December 2024).
- Jiang, C.; Xiao, Y.; Cao, H. Co-Creating for Locality and Sustainability: Design-Driven Community Regeneration Strategy in Shanghai’s Old Residential Context. Sustainability 2020, 12, 2997. [Google Scholar] [CrossRef]
- Kim, G.; Newman, G.; Jiang, B. Urban Regeneration: Community Engagement Process for Vacant Land in Declining Cities. Cities 2020, 102, 102730. [Google Scholar] [CrossRef] [PubMed]
- Mayer, B.; Joshweseoma, L.; Sehongva, G. Environmental Risk Perceptions and Community Health: Arsenic, Air Pollution, and Threats to Traditional Values of the Hopi Tribe. J. Community Health 2019, 44, 896–902. [Google Scholar] [CrossRef]
- Winston, N. Urban Regeneration for Sustainable Development: The Role of Sustainable Housing? Eur. Plan. Stud. 2009, 17, 1781–1796. [Google Scholar] [CrossRef]
- Bevilacqua, C.; Calabrò, J.; Maione, C. The Role of Community in Urban Regeneration: Mixed Use Areas Approach in USA. Proceedings REAL CORP 2013. pp. 1361–1365. Available online: https://www.corp.at/archive/CORP2013_194.pdf (accessed on 10 December 2024).
- Wang, X.; Aoki, N. Paradox between Neoliberal Urban Redevelopment, Heritage Conservation, and Community Needs: Case Study of a Historic Neighbourhood in Tianjin, China. Cities 2019, 85, 156–169. [Google Scholar] [CrossRef]
- Zhuang, T. Urban Renewal Decision—Making in China. 2020. ISBN 9789463663120. Available online: https://journals.open.tudelft.nl/abe/article/view/5247 (accessed on 10 December 2024).
- He, X.; Lv, F.; Wei, X. Research on the Renewal Strategy of Old Urban Communities Based on Multi Objective Collaboration. West. J. Hum. Settl. Environ. 2021, 102–111. [Google Scholar] [CrossRef]
- Korkmaz, C.; Balaban, O. Sustainability of Urban Regeneration in Turkey: Assessing the Performance of the North Ankara Urban Regeneration Project. Habitat Int. 2020, 95, 102081. [Google Scholar] [CrossRef]
- Bianchi, C.; Bereciartua, P.; Vignieri, V.; Cohen, A. Enhancing Urban Brownfield Regeneration to Pursue Sustainable Community Outcomes through Dynamic Performance Governance. Int. J. Public Adm. 2021, 44, 100–114. [Google Scholar] [CrossRef]
- Yao, X.; Ye, B.; Lan, Y.; Lin, Z.; Zhu, Z.; Yang, F.; Zeng, X. Diurnal Contrast of Urban Park Cooling Effects in a “Furnace City” Using Multi-Source Geospatial Data and Optimal Parameters-Based Geographical Detector Model. Sustain. Cities Soc. 2024, 114, 105765. [Google Scholar] [CrossRef]
- Lin, Z.; Xu, H.; Yao, X.; Yang, C.; Ye, D. How Does Urban Thermal Environmental Factors Impact Diurnal Cycle of Land Surface Temperature? A Multi-Dimensional and Multi-Granularity Perspective. Sustain. Cities Soc. 2024, 101, 105190. [Google Scholar] [CrossRef]
- Yao, X.; Yu, K.; Zeng, X.; Lin, Y.; Ye, B.; Shen, X.; Liu, J. How Can Urban Parks Be Planned to Mitigate Urban Heat Island Effect in “Furnace Cities”? An Accumulation Perspective. J. Clean. Prod. 2022, 330, 129852. [Google Scholar] [CrossRef]
- Anrong, D.; Jian, X.M. Summary of Research on the Application of Big Data in Urban Planning. Geogr. Inf. World 2019, 26, 8. [Google Scholar]
- Liang, Z. Assessment of the Construction of a Climate Resilient City: An Empirical Study Based on the Difference in Differences Model. Int. J. Environ. Res. Public Health 2021, 18, 2082. [Google Scholar] [CrossRef]
- Li, Y.; Cheshmehzangi, A.; He, B.-J. A Framework of Urban Renewal for Leisure Space in Neighborhood Streets: A Case Study of Shazheng Street in Chongqing, China. In Proceedings of the International Conference on Urban Climate, Sustainability and Urban Design, Mianyang, China, 11–12 November 2023; Springer: Berlin/Heidelberg, Germany, 2023; pp. 693–705. [Google Scholar]
- Li, C.; Zhao, J.; Hou, W. Nonlinear Effects of Landscape Patterns on Ecosystem Services at Multiple Scales Based on Gradient Boosting Decision Tree Models. Remote Sens. 2023, 15, 1919. [Google Scholar] [CrossRef]
- Jun, M.-J. A Comparison of a Gradient Boosting Decision Tree, Random Forests, and Artificial Neural Networks to Model Urban Land Use Changes: The Case of the Seoul Metropolitan Area. Int. J. Geogr. Inf. Sci. 2021, 35, 2149–2167. [Google Scholar] [CrossRef]
- Zhang, X.; Chen, J.; Wang, H.; Yang, D. From Policy Synergy to Equitable Greenspace: Unveiling the Multifaceted Effects of Regional Cooperation upon Urban Greenspace Exposure Inequality in China’s Megacity-Regions. Appl. Geogr. 2025, 174, 103472. [Google Scholar] [CrossRef]
- Jinliu, C.; Pengcheng, L.; Haoqi, W. Assessment of Influential Factors on Commute and Life Satisfaction in a Historic Campus-Adjacent Environment: Evidence from a Comparison Study of Twin Cities. J. Urban Plan. Dev. 2025, 151, 4024065. [Google Scholar] [CrossRef]
- Figueiredo, Y.D.d.S.; Prim, M.A.; Dandolini, G.A. Urban Regeneration in the Light of Social Innovation: A Systematic Integrative Literature Review. Land Use Policy 2022, 113, 105873. [Google Scholar] [CrossRef]
- Canton, H. United Nations Human Settlements Programme—UN-Habitat. In The Europa Directory of International Organizations 2021; Routledge: London, UK, 2021; pp. 234–240. [Google Scholar]
- Van Orden, G.C.; Pennington, B.F.; Stone, G.O. Word Identification in Reading and the Promise of Subsymbolic Psycholinguistics. Psychol. Rev. 1990, 97, 488. [Google Scholar] [CrossRef]
- Cao, J. The Association between Light Rail Transit and Satisfactions with Travel and Life: Evidence from Twin Cities. Transportation 2013, 40, 921–933. [Google Scholar] [CrossRef]
- Cao, X.; Wang, D. Environmental Correlates of Residential Satisfaction: An Exploration of Mismatched Neighborhood Characteristics in the Twin Cities. Landsc. Urban Plan. 2016, 150, 26–35. [Google Scholar] [CrossRef]
- Fan, L.; Cao, J.; Hu, M.; Yin, C. Exploring the Importance of Neighborhood Characteristics to and Their Nonlinear Effects on Life Satisfaction of Displaced Senior Farmers. Cities 2022, 124, 103605. [Google Scholar] [CrossRef]
- Wang, Y.; Gao, Y. Travel Satisfaction and Travel Well-Being: Which Is More Related to Travel Choice Behaviour in the Post COVID-19 Pandemic? Evidence from Public Transport Travellers in Xi’an, China. Transp. Res. Part A Policy Pract. 2022, 166, 218–233. [Google Scholar] [CrossRef]
- Song, H.; Chen, J.; Li, P. Decoding the Cultural Heritage Tourism Landscape and Visitor Crowding Behavior from the Multidimensional Embodied Perspective : Insights from Chinese Classical Gardens. Tour. Manag. 2025, 110, 105180. [Google Scholar] [CrossRef]
- Hu, J.; Chen, J.; Li, P.; Yan, J.; Wang, H. Systematic Review of Socially Sustainable and Community Regeneration: Research Traits, Focal Points, and Future Trajectories. Buildings 2024, 14, 881. [Google Scholar] [CrossRef]
- Zhao, M.; Liu, N.; Chen, J.; Wang, D.; Li, P.; Yang, D.; Zhou, P. Navigating Post-COVID-19 Social–Spatial Inequity: Unravelling the Nexus between Community Conditions, Social Perception, and Spatial Differentiation. Land 2024, 13, 563. [Google Scholar] [CrossRef]
- Chen, J.; Gan, W.; Liu, N.; Li, P.; Wang, H.; Zhao, X.; Yang, D. Community Quality Evaluation for Socially Sustainable Regeneration: A Study Using Multi-Sourced Geospatial Data and AI-Based Image Semantic Segmentation. ISPRS Int. J. Geo-Inf. 2024, 13, 167. [Google Scholar] [CrossRef]
- Hoggett, P. Contested Communities: Experiences, Struggles, Policies; Policy Press: Bristol, UK, 1997; ISBN 1861340362. [Google Scholar]
- Chen, J.; Pellegrini, P.; Xu, Y.; Ma, G.; Wang, H.; An, Y.; Shi, Y.; Feng, X. Evaluating Residents’ Satisfaction before and after Regeneration. The Case of a High-Density Resettlement Neighbourhood in Suzhou, China. Cogent Soc. Sci. 2022, 8, 2144137. [Google Scholar] [CrossRef]
- Chen, J.; Ren, K.; Li, P.; Wang, H.; Zhou, P. Toward Effective Urban Regeneration Post-COVID-19: Urban Vitality Assessment to Evaluate People Preferences and Place Settings Integrating LBSNs and POI. Environ. Dev. Sustain. 2024. [Google Scholar] [CrossRef]
- Chen, J.; Li, P.; Wang, H. MSPA-Based Collaborative Evaluation and Planning Governance of Territory and Natural Environment in Metropolitan Agglomerations—A Case Study of EGIDDZ in Yangtze River Delta. J. Resour. Ecol. 2024, 15, 1263–1273. [Google Scholar] [CrossRef]
- Zhang, T.; Liu, Y.; Rao, Y.; Li, X.; Zhao, Q. Optimal Design of Building Environment with Hybrid Genetic Algorithm, Artificial Neural Network, Multivariate Regression Analysis and Fuzzy Logic Controller. Build. Environ. 2020, 175, 106810. [Google Scholar] [CrossRef]
- Asadi, S.; Amiri, S.S.; Mottahedi, M. On the Development of Multi-Linear Regression Analysis to Assess Energy Consumption in the Early Stages of Building Design. Energy Build. 2014, 85, 246–255. [Google Scholar] [CrossRef]
- Boarnet, M.G.; Greenwald, M.; McMillan, T.E. Walking, Urban Design, and Health: Toward a Cost-Benefit Analysis Framework. J. Plan. Educ. Res. 2008, 27, 341–358. [Google Scholar] [CrossRef]
- Chen, J.; Zhao, X.; Wang, H.; Yan, J.; Yang, D.; Xie, K. Portraying Heritage Corridor Dynamics and Cultivating Conservation Strategies Based on Environment Spatial Model: An Integration of Multi-Source Data and Image Semantic Segmentation. Herit. Sci. 2024, 12, 419. [Google Scholar] [CrossRef]
- Yang, N.; Chen, J.; Ban, L.; Li, P.; Wang, H. Pre-Planning and Post-Evaluation Approaches to Sustainable Vernacular Architectural Practice: A Research-by-Design Study to Building Renovation in Shangri-La’s Shanpian House, China. Sustainability 2024, 16, 9568. [Google Scholar] [CrossRef]
- Xu, Q.; Jiao, R.J.; Yang, X.; Helander, M.; Khalid, H.M.; Opperud, A. An Analytical Kano Model for Customer Need Analysis. Des. Stud. 2009, 30, 87–110. [Google Scholar] [CrossRef]
- Turel, H.S.; Yigit, E.M.; Altug, I. Evaluation of Elderly People’s Requirements in Public Open Spaces: A Case Study in Bornova District (Izmir, Turkey). Build. Environ. 2007, 42, 2035–2045. [Google Scholar] [CrossRef]
- Przybylowski, A.; Stelmak, S.; Suchanek, M. Mobility Behaviour in View of the Impact of the COVID-19 Pandemic—Public Transport Users in Gdansk Case Study. Sustainability 2021, 13, 364. [Google Scholar] [CrossRef]
- Zhao, X.; Chen, J.; Li, J.; Wang, H.; Zhang, X.; Yu, F. Unraveling the Renewal Priority of Urban Heritage Communities via Macro-Micro Dimensional Assessment—A Case Study of Nanjing City, China. Sustain. Cities Soc 2025, 124, 106317. [Google Scholar] [CrossRef]
- Deakin, M. A Community-Based Approach to Sustainable Urban Regeneration. J. Urban Technol. 2009, 16, 91–112. [Google Scholar] [CrossRef]
- Yang, D.; Lin, Q.; Li, H.; Chen, J.; Ni, H.; Li, P.; Hu, Y.; Wang, H. Unraveling Spatial Nonstationary and Nonlinear Dynamics in Life Satisfaction: Integrating Geospatial Analysis of Community Built Environment and Resident Perception via MGWR, GBDT, and XGBoost. ISPRS Int. J. Geoinf. 2025, 14, 131. [Google Scholar] [CrossRef]
- Lin, H.; Wen, H.; Zhang, D.-Y.; Yang, L.; Hong, X.-C.; Wen, C. How Social Media Data Mirror Spatio-Temporal Behavioral Patterns of Tourists in Urban Forests: A Case Study of Kushan Scenic Area in Fuzhou, China. Forests 2024, 15, 1016. [Google Scholar] [CrossRef]
- Sdino, L.; Rosasco, P.; Lombardini, G. The Evaluation of Urban Regeneration Processes. In Regeneration of the Built Environment from a Circular Economy Perspective; Della Torre, S., Cattaneo, S., Lenzi, C., Zanelli, A., Eds.; Springer: Cham, Switzerland, 2020. [Google Scholar] [CrossRef]
- Zhu, L.; Dong, S.; Chen, X.; Zhou, Q.; Li, F.; Wang, G. Does Social Distancing Affect the Stress Reduction and Attention Restoration of College Students in Different Natural Settings? Sustainability 2024, 16, 3274. [Google Scholar] [CrossRef]
- Zhang, A.; Li, W.; Wu, J.; Lin, J.; Chu, J.; Xia, C. How Can the Urban Landscape Affect Urban Vitality at the Street Block Level? A Case Study of 15 Metropolises in China. Environ. Plan. B Urban Anal. City Sci. 2021, 48, 1245–1262. [Google Scholar] [CrossRef]
- Biljecki, F.; Ito, K. Street View Imagery in Urban Analytics and GIS: A Review. Landsc. Urban Plan. 2021, 215, 104217. [Google Scholar] [CrossRef]
- Zhang, L.; Ye, Y.; Zeng, W.; Chiaradia, A. A Systematic Measurement of Street Quality through Multi-Sourced Urban Data: A Human-Oriented Analysis. Int. J. Environ. Res. Public Health 2019, 16, 1782. [Google Scholar] [CrossRef]
- Liu, K.; Yin, L.; Lu, F.; Mou, N. Visualizing and Exploring POI Configurations of Urban Regions on POI-Type Semantic Space. Cities 2020, 99, 102610. [Google Scholar] [CrossRef]
- Hu, Y.; Han, Y. Identification of Urban Functional Areas Based on POI Data: A Case Study of the Guangzhou Economic and Technological Development Zone. Sustainability 2019, 11, 1385. [Google Scholar] [CrossRef]
- Wang, D.; Zhong, W.; Yin, Z.; Xie, D.; Luo, X. Spatio-Temporal Dynamics of Population in Shanghai: A Case Study Based on Cell Phone Signaling Data. Adv. Geogr. Inf. Sci. 2018, 239–254. [Google Scholar] [CrossRef]
- Yang, X.; Zhao, Z.; Lu, S. Exploring Spatial-Temporal Patterns of Urban Human Mobility Hotspots. Sustainability 2016, 8, 674. [Google Scholar] [CrossRef]
- Lee, K.S.; You, S.Y.; Eom, J.K.; Song, J.; Min, J.H. Urban Spatiotemporal Analysis Using Mobile Phone Data: Case Study of Medium- and Large-Sized Korean Cities. Habitat Int. 2018, 73, 6–15. [Google Scholar] [CrossRef]
- Tu, W.; Cao, J.; Yue, Y.; Shaw, S.L.; Zhou, M.; Wang, Z.; Chang, X.; Xu, Y.; Li, Q. Coupling Mobile Phone and Social Media Data: A New Approach to Understanding Urban Functions and Diurnal Patterns. Int. J. Geogr. Inf. Sci. 2017, 31, 2331–2358. [Google Scholar] [CrossRef]
- Calabrese, F.; Diao, M.; Di Lorenzo, G.; Ferreira, J.; Ratti, C. Understanding Individual Mobility Patterns from Urban Sensing Data: A Mobile Phone Trace Example. Transp. Res. Part C Emerg. Technol. 2013, 26, 301–313. [Google Scholar] [CrossRef]
- Hui, E.C.; Chen, T.; Lang, W.; Ou, Y. Urban Community Regeneration and Community Vitality Revitalization through Participatory Planning in China. Cities 2021, 110, 103072. [Google Scholar] [CrossRef]
- Pan, L.; Gan, W.; Chen, J.; Ren, K. An Integrated Model for Constructing Urban Ecological Networks and Identifying the Ecological Protection Priority: A Case Study of Wujiang District, Suzhou. Sustainability 2023, 15, 4487. [Google Scholar] [CrossRef]
- Chen, J.; Wang, H.; Yang, Z.; Li, P.; Ma, G.; Zhao, X. Comparative Spatial Vitality Evaluation of Traditional Settlements Based on SUF: Taking Anren Ancient Town’s Urban Design as an Example. Sustainability 2023, 15, 8178. [Google Scholar] [CrossRef]
- Middel, A.; Lukasczyk, J.; Zakrzewski, S.; Arnold, M.; Maciejewski, R. Urban Form and Composition of Street Canyons: A Human-Centric Big Data and Deep Learning Approach. Landsc. Urban Plan. 2019, 183, 122–132. [Google Scholar] [CrossRef]
- Fan, F.; Zhang, X. Transformation Effect of Resource-Based Cities Based on PSM-DID Model: An Empirical Analysis from China. Environ. Impact Assess. Rev. 2021, 91, 106648. [Google Scholar] [CrossRef]
- Yoo, S.; Kumagai, J.; Sho, K.; Managi, S. Impact of High-Speed Railway on Gentrification and Regional Inequality in Japan. Transp. Res. Part D Transp. Environ. 2024, 134, 104346. [Google Scholar] [CrossRef]
- Yuan, L.; Sho, K.; Eom, S.; Nishi, H.; Hasegawa, D.; Zhao, H.; Aoki, T.; Zhu, J.; Matsuo, K.; Masumura, A. Changes in Visitor Behaviour across COVID-19 Pandemic: Unveiling Urban Visitation Dynamics and Non-Linear Relationships with the Built Environment Using Mobile Big Data. Habitat Int. 2024, 154, 103216. [Google Scholar] [CrossRef]
- Li, X.; Zhang, F.; Hui, E.C.; Lang, W. Collaborative Workshop and Community Participation: A New Approach to Urban Regeneration in China. Cities 2020, 102, 102743. [Google Scholar] [CrossRef]
- Cabuk, S.N.; Cabuk, A.; Bakış, R. Landscape Based Urbanism Enriched with Geospatial Understanding against Landscape Urbanism: Regeneration Project Proposal for Antakya City. Afr. J. Agric. Res. 2013, 8, 832–843. [Google Scholar] [CrossRef]
- Kusumaningdyah, N.H.; Ratri, W. Evaluating Human-Centered Design Methods as an Approach for Inclusive Green Design: Case Study Kampung Kota Surakarta. IOP Conf. Ser. Earth Environ. Sci. 2021, 780, 012030. [Google Scholar] [CrossRef]
- Yin, C.; Zhao, W.; Cherubini, F.; Pereira, P. Integrate Ecosystem Services into Socio-Economic Development to Enhance Achievement of Sustainable Development Goals in the Post-Pandemic Era. Geogr. Sustain. 2021, 2, 68–73. [Google Scholar] [CrossRef]
- Liao, C.; Nong, L.; Wu, Y.-F.; Wu, Y.-T.; Ye, J.-H. The Relationships between University Students’ Physical Activity Needs, Involvement, Flow Experience and Sustainable Well-Being in the Post-Pandemic Era. Sustainability 2023, 15, 8719. [Google Scholar] [CrossRef]
- Suzhou Municipal Bureau Statistics. Suzhou Statistical Yearbook 2021. Available online: https://www.suzhou.gov.cn/sztjj/tjnj/2021/zk/indexee.htm (accessed on 10 December 2024).
- Wang, L.; Shen, J.; Chung, C.K.L. City Profile: Suzhou-a Chinese City under Transformation. Cities 2015, 44, 60–72. [Google Scholar] [CrossRef]
- Ding, L.; Zhang, Y.; Li, Y. A Novel Multi-Dimensional Evaluation Framework and Spatiotemporal Analysis of Shipping Cities Based on Entropy-Weighted TOPSIS Method. J. Knowl. Econ. 2024, 1–32. [Google Scholar] [CrossRef]
- Zhang, M.; Kukadia, N. Metrics of Urban Form and the Modifiable Areal Unit Problem. Transp. Res. Rec. 2005, 1902, 71–79. [Google Scholar] [CrossRef]
- Jelinski, D.E.; Wu, J. The Modifiable Areal Unit Problem and Implications for Landscape Ecology. Landsc. Ecol. 1996, 11, 129–140. [Google Scholar] [CrossRef]
- Wang, Y.; Di, Q. Modifiable Areal Unit Problem and Environmental Factors of COVID-19 Outbreak. Sci. Total Environ. 2020, 740, 139984. [Google Scholar] [CrossRef] [PubMed]
- Li, X.; Wang, J.; Luo, K.; Liang, Y.; Wang, S. Exploring the Spillover Effects of Urban Renewal on Local House Prices Using Multi-Source Data and Machine Learning: The Case of Shenzhen, China. Land 2022, 11, 1439. [Google Scholar] [CrossRef]
- Fan, Y.; Fu, Y.; Qian, Z. Time-Varying and Land Use-Induced Spillover Effects of Urban Redevelopment: Evidence from Hong Kong. Cities 2024, 146, 104760. [Google Scholar] [CrossRef]
- Bardaka, E.; Delgado, M.S.; Florax, R.J.G.M. Causal Identification of Transit-Induced Gentrification and Spatial Spillover Effects: The Case of the Denver Light Rail. J. Transp. Geogr. 2018, 71, 15–31. [Google Scholar] [CrossRef]
- Jin, X.; Long, Y.; Sun, W.; Lu, Y.; Yang, X.; Tang, J. Evaluating Cities’ Vitality and Identifying Ghost Cities in China with Emerging Geographical Data. Cities 2017, 63, 98–109. [Google Scholar] [CrossRef]
- Dye, K.; Mills, A.J.; Weatherbee, T. Maslow: Man Interrupted: Reading Management Theory in Context. Manag. Decis. 2005, 43, 1375–1395. [Google Scholar] [CrossRef]
- Gaines, L.K.; Van Tubergen, N.; Paiva, M.A. Police Officer Perceptions of Promotion as a Source of Motivation. J. Crim. Justice 1984, 12, 265–275. [Google Scholar] [CrossRef]
- BenSaïda, A. Herding Effect on Idiosyncratic Volatility in US Industries. Financ. Res. Lett. 2017, 23, 121–132. [Google Scholar] [CrossRef]
- Chen, C.-C.; Chuang, M.-C. Integrating the Kano Model into a Robust Design Approach to Enhance Customer Satisfaction with Product Design. Int. J. Prod. Econ. 2008, 114, 667–681. [Google Scholar] [CrossRef]
- Dosen, A.S.; Ostwald, M.J. Prospect and Refuge Theory: Constructing a Critical Definition for Architecture and Design. Int. J. Des. Soc. 2013, 6, 9. [Google Scholar] [CrossRef]
- Veenhoven, R. Is Happiness a Trait? Tests of the Theory That a Better Society Does Not Make People Any Happier. Soc. Indic. Res. 1994, 32, 101–160. [Google Scholar] [CrossRef]
- Mouratidis, K.; Poortinga, W. Built Environment, Urban Vitality and Social Cohesion: Do Vibrant Neighborhoods Foster Strong Communities? Landsc. Urban Plan. 2020, 204, 103951. [Google Scholar] [CrossRef]
- Yue, W.; Chen, Y.; Zhang, Q.; Liu, Y. Spatial Explicit Assessment of Urban Vitality Using Multi-Source Data: A Case of Shanghai, China. Sustainability 2019, 11, 638. [Google Scholar] [CrossRef]
Disclaimer/Publisher’s Note: The statements, opinions and data contained in all publications are solely those of the individual author(s) and contributor(s) and not of MDPI and/or the editor(s). MDPI and/or the editor(s) disclaim responsibility for any injury to people or property resulting from any ideas, methods, instructions or products referred to in the content. |
© 2025 by the authors. Licensee MDPI, Basel, Switzerland. This article is an open access article distributed under the terms and conditions of the Creative Commons Attribution (CC BY) license (https://creativecommons.org/licenses/by/4.0/).










