A Critical Review of the Utilization of Recycled Glass in Transportation Infrastructure Including Roads and Railways
Abstract
1. Introduction
2. Physical Properties of Recycled Crushed Glass (RCG)
2.1. Particle Size and Gradation


2.2. Specific Gravity
2.3. Durability
3. Chemical Properties of RCG
4. Geotechnical Properties of RCG
4.1. Plasticity Index (PI)
4.2. Hydraulic Conductivity
4.3. Compaction Behaviour
4.4. California Bearing Ratio (CBR)
4.5. Shear Strength Behaviour
4.5.1. Direct Shear Test
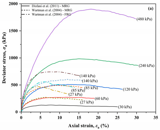
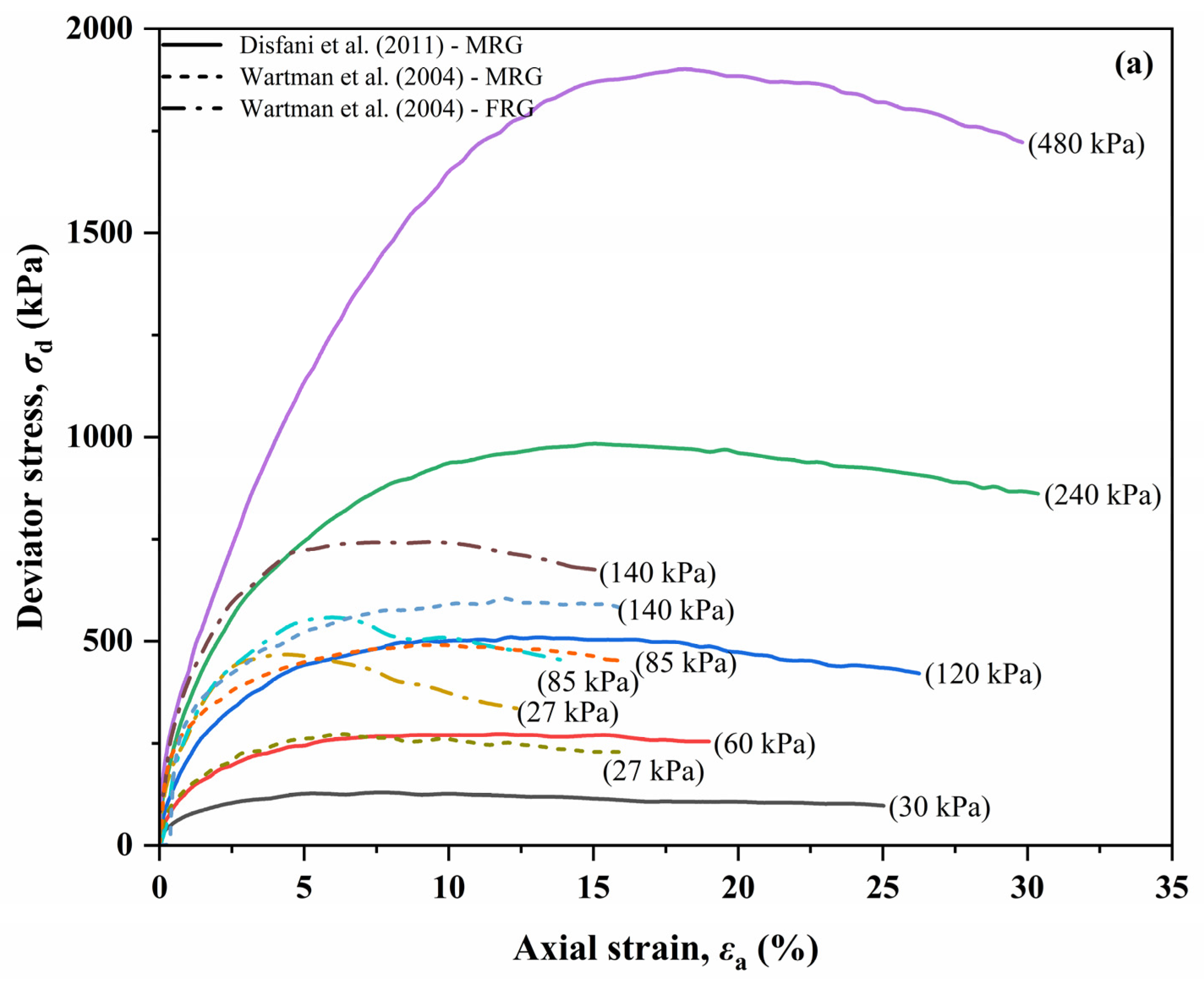
4.5.2. Triaxial Test
5. Applications of RCG in Transport Infrastructures
5.1. Applications as a Stabilizing Agent in Clayey Soils
5.2. Applications of RCG in Railways
5.3. Applications of RCG in Road Substructure
| Study | Materials | Application | Glass Content (%) |
|---|---|---|---|
| [43] | Recycled glass | Stationary load backfills | Up to 30% |
| Fluctuating load backfills | Up to 15% | ||
| Non-structural backfills | Up to 100% | ||
| [40] | Recycled glass | Load-bearing material in road pavements, backfill material in trenches, and behind the retaining walls | - |
| [32] | FRG | Road embankment fills, pipeline beddings, and road subbase layers | - |
| [63] | FRG with crushed rock | Footpath trial (asphalt shared path) | Limited to 15% |
| [6,7] | FRG and MRG | Filling material in trenches, behind the retaining walls, road pavements, and embankment fills | - |
| [15] | Recycled glass with crushed rock | Road pavement subbase | Up to 30% (by weight) |
| [16] | FRG with RCA and FRG with waste rock | Road pavement subbase | 20% |
| [9] | FRG and tyre crumbs | Lightweight backfill/embankment fills | FRG from 70% to 90% |
| [65] | FRG and crushed limestone | Granular base layer (MG20) | Up to 11.4% (by volume) |
| [10] | Glass, gravel, and rubber | Structural fills | Up to 60% (by volume) |
6. Field Applications—A Way Forward
7. Environmental Impacts and Health Concerns
8. Limitations of the Study
9. Conclusions and Future Recommendations
- The properties of RCG can vary significantly due to differences in material suppliers, particle sizes, shape, gradation, and the presence of debris.
- Well-graded RCG particles passing through a 9.5 mm sieve can replace natural aggregates, maintain angularity, and improve their interlocking behaviour, while showing high shear strength and friction angles like natural sand and gravels.
- The specific gravity of RCG is approximately 10% lower than most natural aggregates (2.60 to 2.83).
- Los Angeles (LA) abrasion values for RCG range from 24% to 27%, which is slightly higher than natural aggregates (12–20%), but still within acceptable limits for road bases and subbases set by the road authorities.
- Direct shear tests indicated that the shear strength of RCG is influenced by particle size, applied pressure, and particle breakage. The friction angles of FRG and MRG resemble well-graded dense sands or gravels, thus demonstrating their potential suitability for geotechnical applications.
- Triaxial shear tests indicated that the internal friction angles of RCG materials were approximately 10–20% lower than the direct shear tests, due to differences in boundary conditions. Since triaxial tests better simulate field conditions, they are recommended for the design and application of RCG in engineering projects.
- The use of RCG significantly improves the engineering properties of expansive clays by enhancing its workability, CBR, porosity, hydraulic conductivity, shear strength, and resilient modulus, while reducing the swelling–shrinkage potential, compressibility, and dilation behaviour.
- The addition of up to 80% RCG increases the dry density of dredged material under field conditions, thus achieving higher density levels than traditional stabilization additives such as Portland cement, fly ash, or lime.
- Blending RCG with RCA up to 40% meets the CBR requirements and achieves a stiffness that is comparable to conventional capping materials. Furthermore, the addition of RCG (up to 30%) enhances the friction angle and improves the ductility of the blend compared to pure RCA, contributing to greater stability and overall performance in railway capping applications.
Author Contributions
Funding
Data Availability Statement
Acknowledgments
Conflicts of Interest
Appendix A
| References | Wartman et al. [6] | EPA Victoria [72,73] | Disfani et al. [70] | ||||||||||
|---|---|---|---|---|---|---|---|---|---|---|---|---|---|
| Contaminant | Hazardous Waste Thresholds (mg/L) | US EPA (1999) Potable Water Standard (mg/L) | TCLP (mg/L) | SPLP (mg/L) | Maximum TC for Fill Material (mg/kg) | Threshold for Solid Inert Waste | FRG | MRG | |||||
| TC (mg/kg) | ASLP (mg/L) | TC (mg/kg) | ASLP (Acet) (mg/L) | ASLP ((Borate) (mg/L) | TC (mg/kg) | ASLP (Acet) (mg/L) | ASLP ((Borate) (mg/L) | ||||||
| Arsenic | 5.0 | 0.05 | <0.1 | <0.1 | 20 | 500 | 0.35 | <5 | <0.01 | <0.1 | <5 | <0.01 | <0.1 |
| Barium | 100 | 2.0 | 0.151 | <0.1 | - | 6250 | 35 | 6 | 0.1 | <0.1 | 53 | 0.31 | 0.1 |
| Beryllium | - | - | - | - | - | 100 | 0.5 | <5 | <0.01 | <0.1 | <5 | <0.01 | <0.1 |
| Cadmium | 1.0 | 0.005 | <0.01 | <0.01 | 3 | 100 | 0.1 | 0.5 | 0.004 | <0.02 | <0.2 | 0.004 | <0.02 |
| Chromium | 5.0 | 0.1 | 0.0772 | <0.03 | 1 | 500 | 2.5 | <5 | <0.01 | <0.1 | 11 | 0.01 | <0.1 |
| Copper | - | - | - | - | 100 | 5000 | 100 | 6 | 0.12 | <0.1 | 6 | 0.06 | <0.1 |
| Lead | 5.0 | 0.015 | 0.128 | <0.1 | 300 | 1500 | 0.5 | 12 | 0.19 | <0.1 | 72 | 0.4 | <0.1 |
| Mercury | 0.2 | 0.002 | <0.0002 | 0.00024 | 1 | 75 | 0.05 | <0.05 | <0.001 | <0.01 | <0.05 | <0.001 | <0.01 |
| Nickel | - | - | - | - | 60 | 3000 | 1 | <5 | <0.01 | <0.1 | <5 | <0.01 | <0.1 |
| Selenium | 1.0 | 0.05 | <0.2 | <0.2 | 10 | 50 | 0.5 | <5 | <0.01 | <0.1 | <5 | <0.01 | <0.1 |
| Silver | 5.0 | 0.05 | <0.02 | <0.02 | 10 | 180 | 5 | <5 | <0.01 | <0.1 | 7 | <0.01 | <0.1 |
| Zinc | - | - | - | - | 200 | 35,000 | 150 | 34 | 0.79 | 0.1 | 70 | 1.6 | <0.1 |
| Cyanide | - | - | - | - | 50 | 2500 | 4 | <5 | <0.05 | <0.5 | <0.5 | <0.05 | <0.05 |
| Monocyclic aromatic hydrocarbons | - | - | - | - | 7 | 50 | N/A | <0.1 | <0.001 | <0.001 | <0.1 | <0.001 | <0.001 |
| Monocyclic aromatic Benzene | - | - | - | - | 1 | 4 | 0.05 | <0.1 | <0.001 | <0.001 | <0.1 | <0.001 | <0.001 |
| Polycyclic aromatic hydrocarbons | - | - | - | - | 20 | 50 | N/A | <0.1 | <0.01 | <0.01 | <0.1 | <0.01 | <0.01 |
| Benzo (a) pyrene | - | - | - | - | 1 | 5 | 0.0005 | <0.1 | <0.001 | <0.001 | <0.1 | <0.001 | <0.001 |
| PAHs (total) | - | - | - | - | N/A | 50 | N/A | <0.1 | <0.001 | <0.001 | <0.1 | <0.001 | <0.001 |
References
- Steinberger, J.K.; Krausmann, F.; Eisenmenger, N. Global patterns of materials use: A socioeconomic and geophysical analysis. Ecol. Econ. 2010, 69, 1148–1158. [Google Scholar] [CrossRef]
- Gallagher, L. Sand and Sustainability: Finding New Solutions for Environmental Governance of Global Sand Resources; United Nations Environment Programme: Gigiri Nairobi, Kenya, 2019. [Google Scholar]
- Peduzzia, P. UNEP Global Environmental Alert Service (GEAS). Sand, Rarer than One Thinks; United Nations Environment Programme: Gigiri Nairobi, Kenya, 2014; pp. 1–15. [Google Scholar]
- Masad, E.; Taha, R.; Ho, C.; Papagiannakis, T. Engineering properties of tire/soil mixtures as a lightweight fill material. Geotech. Test. J. 1996, 19, 297–304. [Google Scholar] [CrossRef]
- Lee, J.; Salgado, R.; Bernal, A.; Lovell, C. Shredded tires and rubber-sand as lightweight backfill. J. Geotech. Geoenviron. Eng. 1999, 125, 132–141. [Google Scholar] [CrossRef]
- Wartman, J.; Grubb, D.G.; Nasim, A. Select engineering characteristics of crushed glass. J. Mater. Civ. Eng. 2004, 16, 526–539. [Google Scholar] [CrossRef]
- Disfani, M.; Arulrajah, A.; Bo, M.; Hankour, R. Recycled crushed glass in road work applications. Waste Manag. 2011, 31, 2341–2351. [Google Scholar] [CrossRef]
- Tasalloti, S.M.; Indraratna, B.; Rujikiatkamjorn, C.; Heitor, A.; Chiaro, G. A laboratory study on the shear behavior of mixtures of coal wash and steel furnace slag as potential structural fill. Geotech. Test. J. 2015, 38, 361–372. [Google Scholar] [CrossRef]
- Disfani, M.M.; Tsang, H.-H.; Arulrajah, A.; Yaghoubi, E. Shear and compression characteristics of recycled glass-tire mixtures. J. Mater. Civ. Eng. 2017, 29, 06017003. [Google Scholar] [CrossRef]
- Chiaro, G.; Christian, S.; Goldingham, L.; Murali, A. Direct shear response of gravel-glass-rubber mixtures. In Proceedings of the 14th Australia and New Zealand Conference on Geomechanics, Cairns, Australia, 2–5 July 2023. [Google Scholar]
- Grubb, D.G.; Davis, A.F.; Sands, S.C.; Carnivale, M.; Wartman, J.; Gallagher, P.M. Field Evaluation of Crushed Glass–Dredged Material Blends. J. Geotech. Geoenviron. Eng. 2006, 132, 577–590. [Google Scholar] [CrossRef]
- Grubb, D.G.; Gallagher, P.M.; Wartman, J.; Liu, Y.; Carnivale, M. Laboratory Evaluation of Crushed Glass–Dredged Material Blends. J. Geotech. Geoenviron. Eng. 2006, 132, 562–576. [Google Scholar] [CrossRef]
- Malasavage, N.E.; Gallagher, P.M.; Grubb, D.G.; Wartman, J.; Carnivale III, M. Modifying a plastic clay with crushed glass: Implications for constructed fills. Soils Found. 2007, 47, 1017–1027. [Google Scholar] [CrossRef]
- Perera, S.T.A.M.; Saberian, M.; Zhu, J.; Roychand, R.; Li, J. Effect of crushed glass on the mechanical and microstructural behavior of highly expansive clay subgrade. Case Stud. Constr. Mater. 2022, 17, e01244. [Google Scholar]
- Ali, M.M.Y.; Arulrajah, A.; Disfani, M.M.; Piratheepan, J. Suitability of Using Recycled Glass-Crushed Rock Blends for Pavement Subbase Applications. In Geo-Frontiers 2011: Advances in Geotechnical Engineering; ASCE: Reston, VA, USA, 2011; pp. 1325–1334. [Google Scholar]
- Arulrajah, A.; Ali, M.; Disfani, M.M.; Horpibulsuk, S. Recycled-glass blends in pavement base/subbase applications: Laboratory and field evaluation. J. Mater. Civ. Eng. 2014, 26, 04014025. [Google Scholar] [CrossRef]
- Qi, Y.; Indraratna, B.; Heitor, A.; Vinod, J.S. Effect of rubber crumbs on the cyclic behavior of steel furnace slag and coal wash mixtures. J. Geotech. Geoenviron. Eng. 2018, 144, 04017107. [Google Scholar] [CrossRef]
- Naeini, M.; Mohammadinia, A.; Arulrajah, A.; Horpibulsuk, S.; Leong, M. Stiffness and strength characteristics of demolition waste, glass and plastics in railway capping layers. Soils Found. 2019, 59, 2238–2253. [Google Scholar]
- Arulrajah, A.; Naeini, M.; Mohammadinia, A.; Horpibulsuk, S.; Leong, M. Recovered plastic and demolition waste blends as railway capping materials. Transp. Geotech. 2020, 22, 100320. [Google Scholar]
- Mohammadinia, A.; Naeini, M.; Arulrajah, A.; Horpibulsuk, S.; Leong, M. Shakedown analysis of recycled materials as railway capping layer under cyclic loading. Soil Dyn. Earthq. Eng. (1984) 2020, 139, 106423. [Google Scholar]
- Naeini, M.; Mohammadinia, A.; Arulrajah, A.; Horpibulsuk, S. Recycled glass blends with recycled concrete aggregates in sustainable railway geotechnics. Sustainability 2021, 13, 2463. [Google Scholar] [CrossRef]
- Tawk, M.; Qi, Y.; Indraratna, B.; Rujikiatkamjorn, C.; Heitor, A. Behavior of a mixture of coal wash and rubber crumbs under cyclic loading. J. Mater. Civ. Eng. 2021, 33, 04021054. [Google Scholar]
- Indraratna, B.; Qi, Y.; Malisetty, R.S.; Navaratnarajah, S.K.; Mehmood, F.; Tawk, M. Recycled materials in railroad substructure: An energy perspective. Railw. Eng. Sci. 2022, 30, 304–322. [Google Scholar] [CrossRef]
- Indraratna, B.; Qi, Y.; Rujikiatkamjorn, C. Waste Materials Utilisation for Transport Infrastructure; CRC Press: Boca Raton, FL, USA, 2025. [Google Scholar]
- Global Statistics and Trends-Glass Recycling Efficiency 2024. Available online: https://gradeall.com/glass-recycling-efficiency-global-statistics-and-trends/ (accessed on 15 December 2024).
- Glass recycling–Current Market Trends. Available online: https://www.recovery-worldwide.com/en/artikel/glass-recycling-current-market-trends-3248774.html (accessed on 24 January 2025).
- Yuan, X.; Wang, J.; Song, Q.; Xu, Z. Integrated assessment of economic benefits and environmental impact in waste glass closed-loop recycling for promoting glass circularity. J. Clean. Prod. 2024, 444, 141155. [Google Scholar]
- Zhao, Y.; Meng, B.; Yin, X.; Bao, Y. The Sustainable Use of Waste Glass Powder in Concrete-Filled Steel Tubes: A Mechanical and Economic Analysis. Buildings 2024, 14, 3892. [Google Scholar] [CrossRef]
- Ferdous, W.; Manalo, A.; Siddique, R.; Mendis, P.; Zhuge, Y.; Wong, H.S.; Lokuge, W.; Aravinthan, T.; Schubel, P. Recycling of landfill wastes (tyres, plastics and glass) in construction–A review on global waste generation, performance, application and future opportunities. Resour. Conserv. Recycl. 2021, 173, 105745. [Google Scholar]
- FEVE-The European Container Glass Federation. Available online: https://feve.org/eu-glass-value-chain-80-collection-rate/ (accessed on 19 January 2025).
- Circle Economy. The Circularity Gap Report 2021; Circle Economy Foundation: Amsterdam, The Netherlands, 2021; pp. 1–71. [Google Scholar]
- Taha, B.; Nounu, G. Properties of concrete contains mixed colour waste recycled glass as sand and cement replacement. Constr. Build. Mater. 2008, 22, 713–720. [Google Scholar]
- Mohajerani, A.; Vajna, J.; Cheung, T.H.H.; Kurmus, H.; Arulrajah, A.; Horpibulsuk, S. Practical recycling applications of crushed waste glass in construction materials: A review. Constr. Build. Mater. 2017, 156, 443–467. [Google Scholar]
- Jani, Y.; Hogland, W. Waste glass in the production of cement and concrete–A review. J. Environ. Chem. Eng. 2014, 2, 1767–1775. [Google Scholar]
- Escalante-Garcia, J.I. Overview of potential of urban waste glass as a cementitious material in alternative chemically activated binders. J. Chin. Ceram. Soc. 2015, 43, 1441–1448. [Google Scholar]
- Chesner, W.H.; Collins, R.J.; MacKay, M.H.; Emery, J. User Guidelines for Waste and by-Product Materials in Pavement Construction; FHWA-RD-97-148, Guideline Manual; Federal Highway Administration (FHWA): Washington, DC, USA, 1998. [Google Scholar]
- Lee, L.T. Recycled Glass and Dredged Materials; ERDC TN-DOER-T8; Engineer Research and Development Center Vicksburg Missippi, Geotechnical and Structures Lab: Vicksburg, MS, USA, 2007. [Google Scholar]
- Kazmi, D.; Williams, D.J.; Serati, M. Waste glass in civil engineering applications—A review. Int. J. Appl. Ceram. Technol. 2020, 17, 529–554. [Google Scholar]
- Bareither, C.A.; Edil, T.B.; Benson, C.H.; Mickelson, D.M. Geological and physical factors affecting the friction angle of compacted sands. J. Geotech. Geoenviron. Eng. 2008, 134, 1476–1489. [Google Scholar]
- Ooi, P.S.; Li, M.M.; Sagario, M.L.; Song, Y. Shear strength characteristics of recycled glass. Transp. Res. Rec. 2008, 2059, 52–62. [Google Scholar]
- Perera, S.T.A.M.; Saberian, M.; Zhu, J.; Roychand, R.; Li, J.; Ren, G.; Yamchelou, M.T. Improvement of Low Plasticity Clay with Crushed Glass: A Mechanical and Microstructural Study. Int. J. Pavement Res. Technol. 2023, 18, 213–233. [Google Scholar]
- Lambe, T.W.; Whitman, R.V. Soil Mechanics; John Wiley & Sons: Hoboken, NJ, USA, 1969. [Google Scholar]
- Clean Washington Center. A Tool Kit for the Use of Post-Consumer Glass as a Construction Aggregate; Clean Washington Center: Seattle, WA, USA, 1998. [Google Scholar]
- Das, B.M. Advanced Soil Mechanics, 3rd ed.; Taylor & Francis Group: Milton, UK, 2007. [Google Scholar]
- ASTM C131/C131M; Standard Test Method for Resistance to Degradation of Small-Size Coarse Aggregate by Abrasion and Impact in the Los Angeles Machine. ASTM: West Conshohocken, PA, USA, 2020; pp. 1–5.
- Altuhafi, F.N.; Coop, M.R.; Georgiannou, V.N. Effect of Particle Shape on the Mechanical Behavior of Natural Sands. J. Geotech. Geoenviron. Eng. 2016, 142, 04016071. [Google Scholar]
- Gallagher, P.M.; Hamderi, M.; Grubb, D.G.; Liu, Y. Dynamic response of compacted CG, DM, and CG-DM blends. J. Geotech. Geoenviron. Eng. 2009, 135, 1148–1154. [Google Scholar]
- Terzaghi, K.; Peck, R.B.; Mesri, G. Soil Mechanics in Engineering Practice; John Wiley & Sons: Hoboken, NJ, USA, 1996. [Google Scholar]
- PennDOT. Laboratory Evaluation of Select Engineering-Related Properties of Glass Cullet; Pennsylvania Department of Transportation: Harrisburg, PA, USA, 2001. [Google Scholar]
- Epps, R.J.; Head, K.H. Manual of Soil Laboratory Testing-Permeability, Shear Strength and Compressibility Tests, 3rd ed.; Whittles Publishing: Dunbeath, UK, 2014; Volume 3. [Google Scholar]
- Dames & Moore Inc. Glass Feedstock Evaluation Project: Engineering Suitability Evaluation; Clean Washington Center: Seattle, WA, USA, 1993. [Google Scholar]
- Cosentino, P.J.; Kalajian, E.; Shieh, C.; Heck, H. Developing Specifications for Waste Glass, Municipal Waste Combustor Ash and Waste Tires as Highway Fill Materials; Florida Institute of Technology: Melbourne, Australia, 1995. [Google Scholar]
- Holtz, R.D.; Kovacs, W.D.; Sheahan, T.C. An Introduction to Geotechnical Engineering; Prentice-Hall: Englewood Cliffs, NJ, USA, 1981; Volume 733. [Google Scholar]
- Bilgen, G. Utilization of powdered glass as an additive in clayey soils. Geotech. Geol. Eng. 2020, 38, 3163–3173. [Google Scholar]
- Fauzi, A.; Djauhari, Z.; Fauzi, U.J. Soil engineering properties improvement by utilization of cut waste plastic and crushed waste glass as additive. Int. J. Eng. Technol. 2016, 8, 15. [Google Scholar]
- Yu, M.; Gui, Y.; Laguna, R. Hydraulic Conductivity Characteristics of a Clayey Soil Incorporating Recycled Rubber and Glass Granules. Water 2023, 15, 2028. [Google Scholar] [CrossRef]
- Indraratna, B.; Ngo, T. Ballast Railroad Design: Smart-Uow Approach; CRC Press: Boca Raton, FL, USA, 2018. [Google Scholar]
- Indraratna, B.; Rujikiatkamjorn, C.; Salim, W. Advanced Rail Geotechnology–Ballasted Track; CRC Press: Boca Raton, FL, USA, 2023. [Google Scholar]
- Selig, E.T.; Waters, J.M. Track Geotechnology and Substructure Management; Thomas Telford: London, UK, 1994. [Google Scholar]
- ARTC. Australian Rail Track Corporation, Earthworks Materials Specification, ETC-08-03-2020; ARTC: Keswick Terminal, Australia, 2020. [Google Scholar]
- MTM_L1-CHE-SPE-178; Earthworks & Formation Specification. Metro Trains Melbourne: Melbourne, Australia, 2023.
- Li, D.; Hyslip, J.; Sussmann, T.; Chrismer, S. Railway Geotechnics, 1st ed.; CRC Press: Milton, UK, 2016. [Google Scholar]
- Vuong, B.; Arulrajah, A. Field trials of recycled crushed glass in footpaths and shared paths. Report for Municipal Association of Victoria. Swinburne Univ. Technol. Hawthorn VIC 2010, 24. [Google Scholar]
- Edil, T.B.; Bosscher, P.J. Engineering properties of tire chips and soil mixtures. Geotech. Test. J. 1994, 17, 453–464. [Google Scholar]
- Mohsenian Hadad Amlashi, S.; Vaillancourt, M.; Carter, A.; Bilodeau, J.-P. Resilient modulus of pavement unbound granular materials containing recycled glass aggregate. Mater. Struct. 2018, 51, 89. [Google Scholar]
- Austroads. Development of a Specification for Recycled Crushed Glass as a Sand Aggregate Replacement (AP-T362-22); Austroads: Sydney, Australia, 2022. [Google Scholar]
- TFNSW. Transport Sustainability Report 2020-21; TFNSW: Sydney, Australia, 2021. [Google Scholar]
- ARRB. Australian Road Research Board. International Road Federation (IRF). World Congress–2022; ARRB: Melbourne, Australia, 2022. [Google Scholar]
- Tushar, Q.; Salehi, S.; Santos, J.; Zhang, G.; Bhuiyan, M.A.; Arashpour, M.; Giustozzi, F. Application of recycled crushed glass in road pavements and pipeline bedding: An integrated environmental evaluation using LCA. Sci. Total Environ. 2023, 881, 163488. [Google Scholar]
- Disfani, M.; Bo, M.; Sivakugan, N. Environmental risks of using recycled crushed glass in road applications. J. Clean. Prod. 2012, 20, 170–179. [Google Scholar]
- EPA-Victoria. Classification of Wastes; Environmental Protection Agency of Victoria: Melbourne, Australia, 2007; Volume Publication No. 448. [Google Scholar]
- EPA-Victoria. Waste Categorization, Industrial Waste Resource Guidelines; Environmental Protection Agency of Victoria: Melbourne, Australia, 2010; Volume Publication No. IWRG 600.2. [Google Scholar]
- EPA-Victoria. Solid Industrial Waste Hazard Categorization and Management, Industrial Waste Resource Guidelines; Environmental Protection Agency of Victoria: Melbourne, Australia, 2009; Volume Publication No. IWRG 631. [Google Scholar]










| Properties | Value | References |
|---|---|---|
| Specific gravity | 2.47–2.64 | [6,7,10,15,21,38,40,41] |
| Los Angeles abrasion (%) | 24–27.7 | [6,7,15,16,40] |
| Chemical Composition | Kazmi et al. [38] | Mohajerani et al. [33] | Perera et al. [41] | ||||
|---|---|---|---|---|---|---|---|
| Natural Sand (%) | RCG (Mixed Colour) (%) | White Glass (%) | Amber Glass (%) | Green Glass (%) | Brown Glass (%) | RCG (Mixed Colour) (%) | |
| SiO2 | 99.81 | 72.07 | 69.82 | 70.66 | 72.25 | 72.1 | 68.14 |
| CaO | 0.01 | 11.09 | 8.76 | 9.12 | 12.35 | - | 14.15 |
| Na2O | <0.01 | 13.73 | 8.42 | 8.32 | 10.54 | - | 12.51 |
| Al2O3 | <0.01 | 1.45 | 1.02 | 6.53 | 2.54 | 1.74 | 2.18 |
| Fe2O3 | 0.05 | 0.34 | 0.55 | 2.52 | - | 0.31 | 0.92 |
| MgO | 0.03 | 0.69 | 3.43 | 1.45 | 1.18 | - | 0.74 |
| K2O | 0.01 | 0.33 | 0.13 | 1.03 | 1.15 | - | 0.54 |
| TiO2 | 0.06 | 0.05 | - | 0.27 | - | - | 0.12 |
| P2O5 | 0.01 | 0.03 | - | 0.07 | - | - | 0.24 |
| MnO | <0.01 | 0.01 | - | - | - | - | 0.03 |
| MnO2 | - | - | - | 0.04 | - | - | - |
| SO3 | 0.01 | 0.09 | 0.20 | - | - | 0.13 | 0.09 |
| Cr2O3 | 11 ppm | 539 ppm | - | - | - | 0.01 | 0.11 |
| V2O5 | 9 ppm | 20 ppm | - | - | - | - | - |
| ZnO | 5 ppm | 72 ppm | - | - | - | - | 0.03 |
| SrO | 2 ppm | 155 ppm | - | - | - | - | 0.03 |
| BaO | 26 ppm | 355 ppm | - | - | - | - | - |
| Co3O4 | 42 ppm | 26 ppm | - | - | - | - | - |
| NiO | 8 ppm | 4 ppm | - | - | - | - | 0.01 |
| CuO | <2 ppm | 4 ppm | - | - | - | - | 0.01 |
| Chemical Composition | Mohajerani et al. [33]; Chesner et al. [36] | |||
|---|---|---|---|---|
| Soda-Lime Glass (%) | Borosilicate Glass (%) | Lead Glass (Crystal) (%) | Aluminosilicate Glass (%) | |
| SiO2 | 70–75 | 72–81 | 54–70 | 57–64.5 |
| Na2O | 12–17 | 4–7 | 7–10 | 0.5–1.0 |
| CaO | 5–12 | - | - | 8–10 |
| Al2O3 | 0.5–1.5 | 1–6 | 1–2 | 16–24.5 |
| Fe2O3 | 0.06–0.24 | - | - | - |
| MgO | 0.1–5 | - | - | 7–10.5 |
| K2O | 0.1–3 | 1 | 2–9 | - |
| Cr2O3 | 0.1 | - | - | - |
| BaO | 0.14–0.18 | - | - | 6 |
| PbO | - | - | 15–38 | - |
| B2O3 | - | 11–15 | - | 4–5 |
| Applications | Windowpanes, light bulbs, bottles, containers, and some types of tableware | Laboratory glassware, cookware, pharmaceuticals, and devices used in space exploration | Electronic parts, colour TV funnel, fine glassware, decorative items, and neon tubing | Glass screen for mobile devices, ignition tubes, resistors, lamps, and fibreglass |
| Particle Size Range (mm) | USCS Classification | Coefficient of Permeability (cm/s) | References | |
|---|---|---|---|---|
| FRG | 0.0035–4.75 | SW-SM | 1.7 × 10−3 | [7] |
| 0.075–4.75 | SW | 1.61 × 10−4 | [6] | |
| 3.3 × 10−3 | [15] | |||
| 3.5 × 10−3 | [16] | |||
| 0.425–2.36 | SP | 4.01 × 10−2 | [38] | |
| MRG | 0.0035–9.5 | SW-SM | 2.85 × 10−3 | [7] |
| 0.075–9.5 | SW | 6.45 × 10−4 | [6] | |
| SP | 6.20 × 10−2 | [13] | ||
| <6.4 | 6.0 × 10−2 | [36] | ||
| CRG | <19 | GW | 2.0 × 10−1 | [36] |
| Materials | Standard Compaction Effort | Modified Compaction Effort | References | ||
|---|---|---|---|---|---|
| MDD (kN/m3) | OMC (%) | MDD (kN/m3) | OMC (%) | ||
| FRG (≤4.75 mm) | 16.7 | 12.5 | 17.5 | 10.0 | [7] |
| - | - | 18.0 | 9.2 | [15] | |
| 16.8 | 12.8 | 18.3 | 9.7 | [6] | |
| - | - | 18.0 | 9.2 | [16] | |
| 17.2 | 13.25 | - | - | [18] | |
| 17.0 | 10.0 | - | - | [41] | |
| 16.9–17.6 | - | [49] | |||
| MRG (≤9.5 mm) | 16.6 | 13.6 | 17.5 | 11.2 | [6] |
| 18.0 | 9.0 | 19.5 | 8.8 | [7] | |
| - | - | 18.5 | 9.7 | [40] | |
| 17.6–18.4 | - | [49] | |||
| Crushed rock (≤20 mm) | - | - | 22.6 | 8.7 | [15] |
Disclaimer/Publisher’s Note: The statements, opinions and data contained in all publications are solely those of the individual author(s) and contributor(s) and not of MDPI and/or the editor(s). MDPI and/or the editor(s) disclaim responsibility for any injury to people or property resulting from any ideas, methods, instructions or products referred to in the content. |
© 2025 by the authors. Licensee MDPI, Basel, Switzerland. This article is an open access article distributed under the terms and conditions of the Creative Commons Attribution (CC BY) license (https://creativecommons.org/licenses/by/4.0/).
Share and Cite
Indraratna, B.; Thayananthan, N.; Qi, Y.; Rujikiatkamjorn, C. A Critical Review of the Utilization of Recycled Glass in Transportation Infrastructure Including Roads and Railways. Sustainability 2025, 17, 3187. https://doi.org/10.3390/su17073187
Indraratna B, Thayananthan N, Qi Y, Rujikiatkamjorn C. A Critical Review of the Utilization of Recycled Glass in Transportation Infrastructure Including Roads and Railways. Sustainability. 2025; 17(7):3187. https://doi.org/10.3390/su17073187
Chicago/Turabian StyleIndraratna, Buddhima, Nekasiny Thayananthan, Yujie Qi, and Cholachat Rujikiatkamjorn. 2025. "A Critical Review of the Utilization of Recycled Glass in Transportation Infrastructure Including Roads and Railways" Sustainability 17, no. 7: 3187. https://doi.org/10.3390/su17073187
APA StyleIndraratna, B., Thayananthan, N., Qi, Y., & Rujikiatkamjorn, C. (2025). A Critical Review of the Utilization of Recycled Glass in Transportation Infrastructure Including Roads and Railways. Sustainability, 17(7), 3187. https://doi.org/10.3390/su17073187

